Coordination Compounds of 3d Metals with 2,4-Dimethylpyrazolo[1,5-а]benzimidazole: Magnetic and Biological Properties
- Authors: Shakirova O.G.1,2, Kuz’menko T.A.3, Kurat’eva N.V.1, Klyushova L.S.4, Lavrov A.N.1, Lavrenova L.G.1
-
Affiliations:
- Nikolaev Institute of Inorganic Chemistry, Siberian Branch, Russian Academy of Sciences
- Komsomolsk-on-Amur State University
- Institute of Physical and Organic Chemistry, Southern Federal University
- Institute of Molecular Biology and Biophysics, Federal Research Center for Fundamental and Translational Medicine
- Issue: Vol 50, No 11 (2024)
- Pages: 773-786
- Section: Articles
- URL: https://ogarev-online.ru/0132-344X/article/view/273433
- DOI: https://doi.org/10.31857/S0132344X24110033
- EDN: https://elibrary.ru/LMVCGZ
- ID: 273433
Cite item
Full Text
Abstract
New coordination compounds of copper(I), copper(II), cobalt(II), and nickel(II) with 2,4-dimethylpyrazolo[1,5-а]benzimidazole (L) were synthesized and studied. The complexes [CuLCl] (I), [CuLBr] (II), [CuL2Cl2] (III), [CuL2(NO3)2] · H2O (IV), [CoL2Cl2] · 0,5H2O (V), [CoL2(NO3)2] · · 0,5H2O (VI), and [NiL2(NO3)2] · 0,5H2O (VII) were studied by IR spectroscopy and powder and single crystal X-ray diffraction (CCDC nos. 2321779 ([CuL2Cl2]), 2321780 ([CoL2(NO3)2])). The results indicate that the coordination polyhedron in 2,4-dimethylpyrazolo[1,5-a]benzimidazole complexes is formed by the nitrogen atoms of the monodentate ligand and the coordinated anion. The cytotoxic and cytostatic properties of L and complexes I–III were studied in relation to the HepG2 hepatocellular carcinoma cells.
Full Text
Полиазотсодержащие гетероциклические соединения представляют собой перспективный класс лигандов для синтеза координационных соединений переходных металлов, обладающих биологической активностью [1–3]. Бензимидазол и его производные проявляют широкий спектр фармакологических свойств. Комплексообразование биологически важных органических соединений с ионами металлов позволяет значительно увеличить их эффективность в сравнении со свободным органическим лигандом. Координационные соединения переходных металлов с бензимидазолом и его производными оказывают антибактериальное, противопаразитарное, противовоспалительное, противовирусное и противоопухолевое действия [4–15]. Комплексы хлорида меди(II) с лигандами этого класса имитируют активность супероксиддисмутазы (SOD), которая является одним из основных ферментов антиоксидантной системы. Металлоферменты, среди которых значительной активностью обладает Cu,Zn-SOD, катализируют реакцию диспропорционирования супероксидных анион-радикалов и уменьшают вероятность образования еще более активного синглетного кислорода [16, 17]. Кроме того, SOD играет важную роль в антивозрастных механизмах [18, 19].
Ранее в нашей группе получена серия комплексов галогенидов меди(II) с 4Н-1,2,4-триазоло[1,5-а]бензимидазолом, 3-метил-1,2,4-триазоло[1,5-а]бензимидазолом, 4-метил-1,2,4-триазоло[1,5а]бензимидазолом, 2,4-диметил-1,2,4-триазоло[1,5-а]бензимидазолом, 2-метил-1,2,4-триазоло[1,5-а]бензимидазолом и 2-(3,5-диметилпиразол-1-ил)бензимидазолом. Изучено цитотоксическое действие комплексов и лигандов на клеточную линию лигандами приводит к значительному усилению их цитотоксичности [20–24]. Полученный комплекс [CuLCl2] с 2-(3,5-диметилпиразол-1-ил)бензимидазолом по цитотоксическому воздействию сопоставим с цисплатином [24]. Представлялось целесообразным продолжить исследования в этом направлении.
Цель настоящей работы — получение новых координационных соединений меди(II), кобальта(II) и никеля(II) и исследование их биологической и магнитной активности. В качестве лиганда для синтеза использовали 2,4-диметилпиразоло[1,5-а]бензимидазол (L, схема 1).
ЭКСПЕРИМЕНТАЛЬНАЯ ЧАСТЬ
Для синтеза использовали коммерчески доступные реагенты и растворители без дополнительной очистки. 2,4-Диметилпиразоло[1,5-а]бензимидазол (L,C11H11N3) получали по методике [25].
Синтез [CuLCl] (I). Навески 0.19 г (1.0 ммоль) лиганда L и 0.17 г (1.0 ммоль) CuCl2 · 2H2O растворяли отдельно в 5 мл этанола. Раствор соли прибавляли к раствору лиганда, при этом образовывался раствор фиолетового цвета, из которого быстро выпадал белый осадок. Осадок отфильтровывали, промывали несколько раз этанолом и высушивали на воздухе. Аналогично высушивали все полученные соединения. Выход 0.08 г (28%).
Синтез [CuLBr] (II). Навески CuBr2 0.22 г (1.0 ммоль) и лиганда L 0.37 г (2.0 ммоль) растворяли отдельно в 5 мл этанола или ацетона. Затем к раствору лиганда приливали раствор CuBr2 в этаноле или ацетоне (5 мл). При любом соотношении металл: лиганд и в обоих растворителях бурый раствор сразу обесцвечивался, и из него выпадал белый осадок, который отфильтровывали и промывали несколько раз соответствующим растворителем. Выход 0.30–0.32 г (91–97%) в этаноле, 0.18–0.20 г (55–61%) в ацетоне.
Синтез [CuL2Cl2] (III). Навеску лиганда L (0.09 г (0.5 ммоль) растворяли в ацетоне (5 мл). К раствору L приливали раствор 0.19 г (1.0 ммоль) CuCl2 · 2H2O в ацетоне (5 мл). Образовался раствор темно-красного цвета. Выпадал серо-черный осадок, когда объем раствора уменьшился вдвое при медленном упаривании ацетона. Осадок отфильтровывали, промывали несколько раз ацетоном (цвет осадка не менялся) и высушивали на воздухе. Выход 0.17 г (67%). В маточном растворе при стоянии в течение ночи образовались пригодные для РСА темно-красные кристаллы состава [CuL2Cl2] (III).
Синтез [CuL2(NO3)2] · H2O (IV), [CoL2Cl2] · · 0,5H2O (V), [CoL2(NO3)2] · 0,5H2O (VI), [NiL2(NO3)2] · 0,5H2O (VII). Навеску лиганда L 0.37 г (2.0 ммоль) растворяли в 5 мл ацетона. К полученному раствору L приливали раствор 0.24 г (1.0 моль) CoCl2 · 6H2O или 0.29 г Co(NO3)2 · 6H2O или 0.29 г Ni(NO3)2 · 6H2O или 0.24 г Cu(NO3)2 · 3H2O в 5 мл ацетона. При этом образовывались растворы коричневого (IV), синего (V), сиреневого (VI) или светло-зеленого (VII) цвета, из которых быстро выпадали осадки, совпадающие с цветом раствора. Осадок отфильтровывали и промывали несколько раз этанолом. Выходы IV — 0.30 г (52%); V — 0.37 г (72%); VI — 0.33 г (59%); VII — 0.20 г (36%).
Элементный анализ на C, H, N выполняли в аналитической лаборатории ИНХ СО РАН на приборе EURO EA 3000 фирмы EuroVector (Италия). Результаты анализа приведены в табл. 1.
РСА структур [CuL2Cl2] и [CoL2(NO3)2] проведен по стандартной методике на автоматическом четырехкружном дифрактометре Bruker-Nonius X8Apex, оснащенном двухкоординатным CCD детектором, при температуре 150 K с использованием молибденового излучения (λ = 0.71073 Å) и графитового монохроматора. Интенсивности отражений измерены методом φ- и ω-сканирования узких (0.5°) фреймов. Поглощение учтено эмпирически по программе SADABS [26]. Структуры расшифрованы прямым методом и уточнены полноматричным МНК в анизотропном для неводородных атомов приближении по комплексу программ SHELXTL [27]. Атомы водорода уточнены в приближении жесткого тела. Кристаллографические данные и параметры эксперимента приведены в табл. 2, основные межатомные расстояния и валентные углы — в табл. 3.
Кристаллографические параметры структур [CuL2Cl2] и [CoL2(NO3)2] депонированы в Кембриджском банке структурных данных (№ CCDC2321779 и 2321780 соответственно; www.ccdc.cam.ac.uk/data_reguest/cif).
Дифрактометрическое исследование (РФА) поликристаллических соединений выполнено на дифрактометре Shimadzu XRD7000 (излучение CuKα, Ni-фильтр, сцинтилляционный детектор) при комнатной температуре.
ИК-спектры поглощения снимали на спектрометрах ScimitarFTS2000 и Vertex 80 в области 4000–100 см–1. Образцы готовили в виде пасты в вазелиновом или фторированном маслах и полиэтилене при комнатной температуре.
Спектры диффузного отражения регистрировали на сканирующем спектрофотометре UV-3101 РС фирмы Shimadzu при комнатной температуре.
Измерения магнитных свойств проводили на SQUID-магнетометре MPMS-XL фирмы Quantum Design в интервале температур 1.77–300 K и магнитных полей H 0–10 кЭ. Для определения парамагнитной составляющей молярной магнитной восприимчивости (χp(T)), из измеренных значений полной восприимчивости χ = M/H (M = намагниченность) вычитали вклады диамагнетизма χd и возможного ферромагнетизма микропримесей χFM. Температурно-независимый вклад χd вычисляли согласно аддитивной схеме Паскаля. Для определения ферромагнитного вклада χFM проводили измерения полевых зависимостей M(H) и температурных зависимостей M(T) при различных значениях магнитного поля, после чего полная намагниченность образца разделялась на ферромагнитную и парамагнитную компоненты. Для исследованного образца ферромагнитный вклад в намагниченность при H = 10 кЭ не превышал 0.01 и 2% при T = 1.77 и 300 K соответственно.
Цитотоксическую и цитостатическую активность синтезированных соединений оценивали на клеточной линии гепатоцеллюлярной карциномы человека HepG2 методом двойного окрашивания флуоресцентными красителями Hoechst 33342/ пропидий йодид (PI) [28]. Клетки высевали на 96-луночные планшеты по 5 × 103 клеток на лунку в питательной среде IMDM (Sigma-Aldrich, США) с 10%-ным содержанием эмбриональной бычьей сыворотки (HyClone, США) и культивировали 24 ч в стандартных условиях (влажная атмосфера, 5% CO2, 37°C). Комплексы растворяли в этаноле с добавлением ДМСО и готовили рабочие растворы методом серийных разведений средой IMDM, конечная концентрация EtOH < 1%. Клетки обрабатывали соединениями (1–50 мкмоль л–1), инкубировали в течение 48 ч и окрашивали Hoechst 33342 (Sigma-Aldrich, Швейцария) и пропидием йодидом (Invitrogen, США) в течение 30 мин при 37°C. Съемку проводили на приборе IN Cell Analyzer 2200 (GE Healthcare, UK) в автоматическом режиме по 4 поля на лунку. Полученные изображения анализировали с помощью программы In Cell Investigator (GE Healthcare, UK) для определения живых, мертвых и апоптотических клеток во всей популяции. Результат представлен в виде процентного содержания клеток из трех лунок ± среднеквадратическое отклонение.
РЕЗУЛЬТАТЫ И ИХ ОБСУЖДЕНИЕ
Координационные соединения Cu(II), Co(II), Ni(II) I–VII получены при взаимодействии этанольных или ацетоновых растворов солей и L. В этанольной среде комплексообразование сопровождается процессом восстановления меди(II) до меди(I), что позволяет выделить комплексы [CuLCl] (I) и [CuLBr] (II).
Схема 1.
Все полученные комплексы на воздухе и при комнатной температуре устойчивы в течение длительного времени и негигроскопичны. Они хорошо растворимы в ацетоне, хлористом метилене, значительно хуже — в этаноле и практически нерастворимы в воде.
При соотношении Cu : L = 1 : 2 из раствора выделен темно-серый осадок, который по результатам измерения магнитной восприимчивости содержит ионы как меди(I), так и меди (II). В процессе восстановления меди(II) некоторое количество лиганда окисляется и одновременно с этим претерпевает конденсацию с растворителем (схема 2) с образованием 1-(2,4-диметилпиразоло[1,5-а]бензимидазол-3-ил)этанон) (L*, C13H13N3O).
Схема 2. Превращение 2,4-диметилпиразоло[1,5-а]бензимидазола в 1-(2,4-диметилпиразоло[1,5-а]бензимидазол-3-ил)этанон).
Рис. 1. Молекулярная структура комплекса [CuL2Cl2].
После отфильтровывания полученного темно-серого осадка в маточном растворе при стоянии в течение суток образовались пригодные для РСА темно-красные кристаллы состава [CuL2Cl2] (III) (см. табл. 1, рис. 1).
Таблица 1. Результаты элементного анализа комплексов I–VII
Соединение | Брутто-формула | Найдено/вычислено, % | ||
С | H | N | ||
[CuLCl] (I) | C11H11ClCuN3 | 46.1/46.5 | 3.8/3.9 | 14.5/14.8 |
[CuLBr] (II) | C11H11BrCuN3 | 40.7/40.2 | 3.4/3.4 | 12.4/12.8 |
[CuL2Cl2] (III) | C22H22Cl2CuN6 | 53.5/52.3 | 4.5/4.4 | 16.4/16.6 |
[CuL2(NO3)2] · H2O (IV) | C22H24CuN8O7 | 46.4/45.9 | 4.0/4.2 | 19.3/19.5 |
[CoL2Cl2] · 0,5H2O (V) | C22H23Cl2CoN6O0.5 | 53.7/51.9 | 4.4/4.6 | 16.4/16.5 |
[CoL2(NO3)2] · 0,5H2O (VI) | C22H22CoN8O6.5 | 47.6/47.0 | 4.0/4.1 | 19.9/19.9 |
[NiL2(NO3)2] · 0,5H2O (VII) | C22H22NiN8O6.5 | 48.6/47.0 | 4.1/4.1 | 19.7/19.9 |
По данным РСА, комплекс III кристаллизуется в моноклинной сингонии (табл. 2). В независимой части ячейки присутствует половина молекулярного комплекса III, положение атома Cu совпадает с осью 2 вдоль параметра b (рис. 2).
Рис. 2. Кристаллическое строение комплекса [CuL2Cl2].
Структура островная молекулярная. Нейтральный молекулярный комплекс [CuL2Cl2] содержит катион Cu2+, два координированных аниона Cl– и две молекулы лиганда L, координированные к иону Cu2+ монодентатно атомом азота пиразольного кольца. Координационный полиэдр Cu2+ плоский искаженно-квадратный (рис. 1), преимущественно искажение обусловлено разной длиной контактов Cu–Cl и Cu–N (табл. 3), тогда как углы ClCuN близки к 90˚.
Таблица 2. Кристаллографические данные, параметры эксперимента и уточнения структуры комплексов [CuL2Cl2] и [CoL2(NO3)2]
Параметр | Значение | |
[CuL2Cl2] | [CoL2(NO3)2] | |
Брутто-формула | C22H22Cl2CuN6 | C22H22CoN8O6 |
М | 504.89 | 553.40 |
Сингония | Моноклинная | Триклинная |
Пр. группа | C2/c | PĪ |
a, Å b, Å c, Å α, β, γ | 14.1769(8) 7.9398(4) 20.1106(14) 90 108.566(2) 90 | 7.8732(3) 10.6968(4) 15.1802(6) 87.907(2) 75.202(2) 68.805(1) |
Объем, Å3 | 2145.9(2) | 1150.22(8) |
Z | 4 | 2 |
ρ(выч.), г/cм3 | 1.563 | 1.598 |
μ(MoKα), мм–1 | 1.290 | 0.805 |
F(000) | 1036 | 570 |
Размер кристалла, мм | 0.42 × 0.35 × 0.08 | 0.30 × 0.21 × 0.09 |
Диапазон сбора данных по θ | 2.137–26.363 | 1.390–26.420 |
Диапазон индексов h, k, l | –17 ≤ h ≤ 17 –6 ≤ k ≤9 –25 ≤ l ≤ 25 | –9 ≤ h ≤ 9 –13 ≤ k ≤ 13 –18 ≤ l ≤ 18 |
Число измеренных рефлексов | 7630 | 9166 |
Число независимых рефлексов (Rint) | 2183 (0.0316) | 4652 (0.0345) |
Полнота сбора данных по θ = 25.25°, % | 99.6 | 98.9 |
Число рефлексов/огр./параметров | 2183/0/143 | 4652/0/339 |
S-фактор по F2 | 1.036 | 1.054 |
R1, wR2 (I >2σ(I)) | 0.0469, 0.1172 | 0.0437, 0.0851 |
R1, wR2 (все данныe) | 0.0545, 0.1218 | 0.0562, 0.0889 |
Остаточная электронная плотность (max/min), е/Å3 | 1.475/–0.510 | 0.633/–0.421 |
Упаковку молекулярных комплексов можно представить как искаженную гексагональную шаровую упаковку типа ABAB вдоль параметра c (рис. 3). Расстояния Cu…Cu внутри такого псевдогексагонального слоя изменяются в диапазоне 7.940–8.124(1) Å, а углы CuCuCu ближайших центров комплексных частиц — в диапазоне 58.5˚–60.75˚, что говорит о малом искажении упаковки согласно внешней форме частиц. В структуре также наблюдается согласование ориентации плоских частей органических лигандов соседних молекулярных комплексов, но полноценного стекинга не наблюдается из-за значительного смещения ароматических систем друг относительно друга.
Рис. 3. Гексагональный мотив упаковки молекулярных комплексов [CuL2Cl2], показанный в плоскости ab (атомы Н опущены для ясности).
При перекристаллизации [CoL2(NO3)2] · · 0,5H2O (VI) из ацетона удалось получить монокристаллы безводного комплекса, пригодные для рентгеноструктурного анализа. По данным РСА, комплекс [CoL2(NO3)2] кристаллизуется в триклинной сингонии (табл. 2). В независимой части ячейки присутствует полная молекула комплекса, находящаяся в общем положении пространственной группы (рис. 4).
Рис 4. Молекулярное строение комплекса [CoL2(NO3)2].
Структура также является островной молекулярной, как и в случае комплекса III (рис. 5). Псевдооктаэдрический координационный узел CoN2O4 формируется двумя молекулами лиганда L, координированными к иону Co2+ монодентатно атомом азота пиразольного кольца и двумя бидентатно связанными нитрат-ионами (рис. 4).
Рис. 5. Кристаллическое строение комплекса [CoL2(NO3)2]
Упаковку молекулярных фрагментов также можно описать как сильно искаженную гексагональную вдоль параметра c, но в данном случае типа АААА (рис. 6), с расстояниями между центpами молекулярных комплексов 7.873–10.748 Å. Стекинг в данном случае также затруднен из-за значительного смещения ароматических фрагментов соседних молекулярных комплексов и наличия неплоских метильных заместителей именно со стороны возможного стекинга.
Рис. 6. Гексагональный мотив упаковки молекулярных комплексов [CoL2(NO3)2], показанный в плоскости ab (атомы Н опущены для ясности).
Анализ данных РФА свидетельствует о том, что все комплексы кристаллические (рис. 7, 8). Вместе с тем, комплексы с одинаковым числом лигандов состава [CuLA] (A = Cl–, Br–) и [ML2A2] (M = Co, Ni, Cu; A = Cl–, NO3–) не изоструктурны.
Рис. 7. Дифрактограммы комплексов состава [CuLHal].
Рис. 8. Дифрактограммы комплексов состава [ML2A2].
В ИК-спектре L присутствуют полосы валентных колебаний ν(C–H) в диапазоне 3200–2800 см–1 и чувствительных к координации колебаний пиразоло[1,5-а]бензимидазольного остова при 1690–1400 см–1. В спектрах синтезированных комплексов хлоридов меди валентные колебания пиразольного и имидазольного колец смещены на ~30 см–1 в высокочастотную область относительно валентных колебаний в молекуле L, что свидетельствует о координации атомов азота пиразольного кольца к металлу [29] (табл. 4). Следует отметить, что полосы колебаний нитрат-иона (ν5 в интервале 1620–1490 см–1, ν1 в интервале 1290–1160 см–1, ν2 в интервале 1040–990см–1) полностью перекрываются полосами колебаний гетероциклов R и δ(С–H), что не позволяет, по данным ИК-спектроскопии, сделать вывод о способе координации этого аниона.
Таблица 3. Основные межатомные расстояния (d, Å) координационных узлов в структурах комплексов [CuL2Cl2] и [CoL2(NO3)2]*
[CuL2Cl2] | [CoL2(NO3)2] | ||
d, Å | d, Å | ||
Cu(1)-N(1) | 1.975(3) | Co(1)-N(11) | 2.051(2) |
Cu(1)-N(1)#1 | 1.975(3) | Co(1)-O(11) | 2.0525(19) |
Cu(1)-Cl(1)#1 | 2.2676(8) | Co(1)-N(21) | 2.060(2) |
Cu(1)-Cl(1) | 2.2676(8) | Co(1)-O(22) | 2.089(2) |
Co(1)-O(21) | 2.256(2) | ||
Co(1)-O(12) | 2.308(2) | ||
*Оператор симметрии:#1 –x + 1, y, —z + ½.
В спектре L в низкочастотном диапазоне (400–100 см–1) проявляются полосы деформационных колебаний лиганда δ(C–H) (429, 363, 322, 288, 238, 194, 142, 110 см–1), которые в спектрах комплексов I–III смещаются весьма незначительно (~3–5 см–1). Кроме того, в спектрах комплексов I–III присутствуют малоинтенсивные полосы, соответствующие колебаниям связей ν(Cu–N) при 400 см–1 (для I и III) или при 394 см–1 (для II); δ(Cu–N) при 247 см–1 (для I и II) или при 248 см–1 (для III); а также полосы валентных колебаний концевых связей Cu–Cl при 280 (I) или 282 см–1 (III) и Cu–Br при 223 см–1 (II).
В электронных спектрах диффузного отражения комплексов V–VII (табл. 5) в диапазоне 200–1000 нм наблюдаются широкие полосы поглощения, положение которых характерно для спектров комплексов кобальта(II) и никеля(II) с азотсодержащими лигандами [30].
Полученные данные позволяют сделать вывод о том, что комплекс V имеет тетраэдрическое строение, а комплексы нитратов Co(II) иNi(II) — искаженно-октаэдрическое строение координационного полиэдра. Для этих комплексов рассчитаны параметры расщепления в кристаллическом поле. Для комплекса V оценка проводилась с использованием Приложения V из монографии [30] (таблица V.1); получены значения В = 830 см–1 и 10Dq = 7473 см–1. Для VI значение 10Dq рассчитано из условия ν1 = 8.8Dq и составляет 12153 см–1, для VII значение 10Dq = ν1 = 10846 см–1. Величины параметров Dq указывают на то, что в координационные узлы VI, VII входят как атомы азота, так и атомы кислорода. Это подтверждается данными РСА для комплекса [CoL2(NO3)2].
Таблица 4. Волновые числа (частоты, см–1) максимумов полос поглощения в ИК-спектрах L и комплексов I–VII
Отнесение | L | I | II | III | IV | V | VI | VII |
ν (О–Н) | 3415 | 3445 | 3437 | 3437 | ||||
ν (Cring–H) | 3125, 3019 | 3125, 3017 | 3125, 3061 | 3076, 3017 | 3142, 3057 | 3175 | 3180 | 3175 |
νas (CH3) | 2924 | 2905 | 2906 | 2914 | 2940 | 2926 | 2923 | 2922 |
νs (CH3) | 2854 | 2848 | 2851 | 2841 | 2820 | 2854 | 2853 | 2851 |
ν (C–H) | 2726, 2675 | 2716, 2648 | 2718, 2658 | 2712, 2635 | 2749, 2714, 2637 | 2726, 2672 | 2726, 2676 | 2725, 2675 |
R(bz) | 1622 | 1620 | 1626 | 1623 | 1655, 1603 | 1622 | 1625 | 1621 |
R(pz) | 1558 | 1585 | 1591, 1558 | 1595, 1585 | 1587 | 1598 | 1592 | 1595 |
R(im) | 1464 | 1471 | 1468 | 1470, 1454 | 1485, 1477, 1469 | 1483 | 1478 | 1484 |
δ(С–H) плоскостное ножничное (scissoring) | 1377, 1304, 1265 | 1352 | 1377, 1350, 1321, 1279, 1240, 1207 | 1373, 1339, 1321, 1277, 1236 | 1362, 1346, 1269 | 1377, 1320 | 1377, 1305 | 1377, 1304, 1265 |
δ (С–H) внеплоскостное крутильное (twisting) | 1143, 1100, 1073 | 1128 | 1169, 1124, 1078, 1061, 1017 | 1163, 1126, 1045 | 1169, 1128, 1064, 1042, 1013 | 1162 | 1154 | 1153 |
δ (С–H) внеплоскостные маятниковые | 966, 920, 880 | 918 | 949, 912 | 968 | 920, 868 | 969 | 969 | |
δ (С–H) плоскостные маятниковые (rocking) | 722, 611 | 735, 610 | 725 | 727 | 739, 685, 644, 607 | 722 | 722 | 722 |
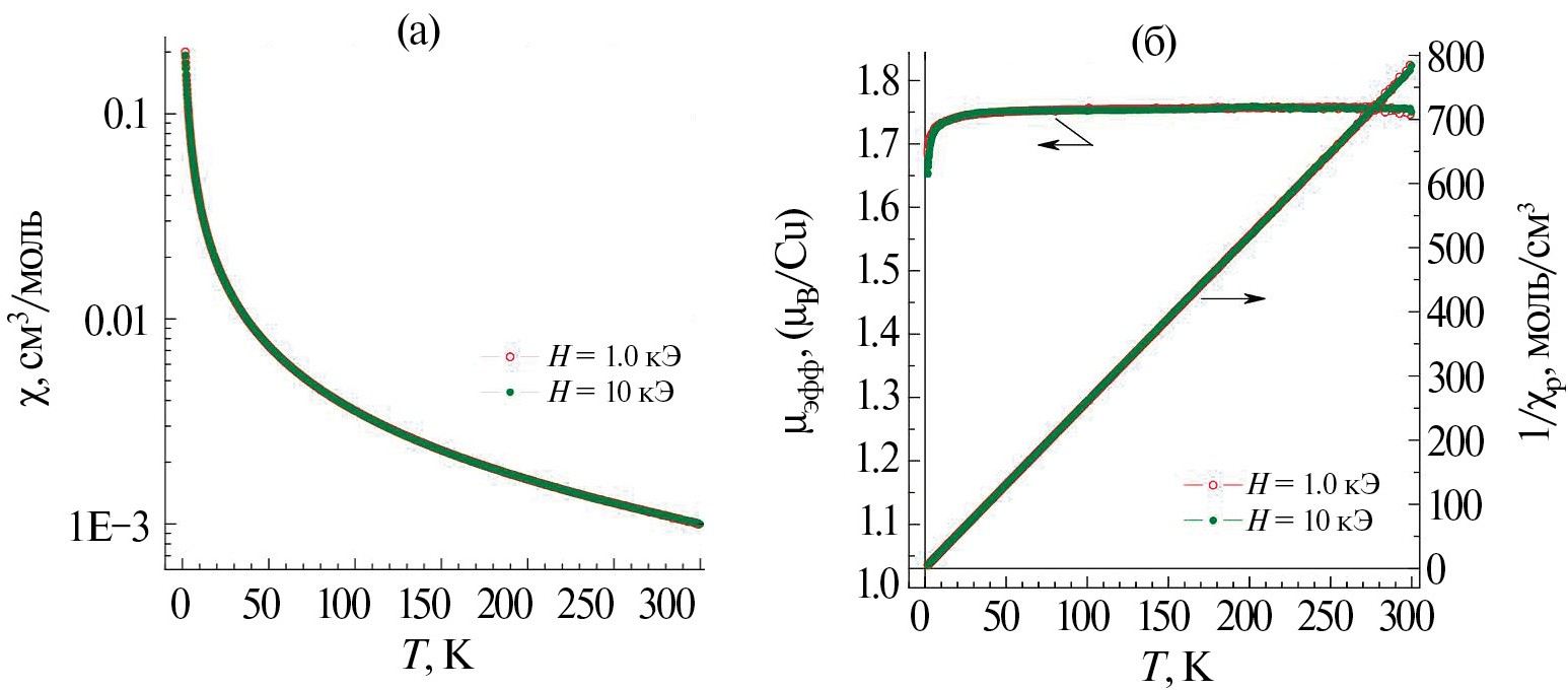
Магнетохимическое исследование образца III демонстрирует парамагнитное поведение во всем исследованном диапазоне температур 1.77–300 K (рис. 9). В интервале Т = 20–300 K, температурная зависимость магнитной восприимчивости, измеренная в полях H = 1, 10 кЭ, хорошо описывается формулой Кюри–Вейсса χp(T) = NA µ2эфф/3kB(T – θ) с эффективным магнитным моментом µэфф ≈ 1.76 µВ и константой Вейсса θ ≈ –0.4 K. Полученная величина µэфф близка к теоретическому чисто спиновому значению µэфф (Cu2+) ≈ 1.73 µВ для ионов меди Cu2+ (S = 1/2), а значение константы Вейсса соответствует слабому антиферромагнитному (АФМ) обменному взаимодействию J между ионами меди Cu2+. В модели среднего поля для изотропного обменного взаимодействия величина θ описывается выражением где z — число ближайших соседей в магнитной подрешетке, kB — константа Больцмана. Соответственно, в этом приближении значение zJ/kB ≈ 0.8 K.
Детальный анализ данных χp(T) в области низких температур показывает, что при T < 20 K магнитная восприимчивость отклоняется от зависимости Кюри–Вейсса в сторону бо/ льших значений, что обычно указывает на одномерный цепочечный характер обменных взаимодействий [31]. Действительно, кривая χp(T) в широком диапазоне 1.77–300 К температур лучше согласуется не с зависимостью Кюри–Вейсса, а с выражением Бонне–Фишера [32] для антиферромагнитных S = 1/2 цепочек, описываемых гамильтонианом с параметром Jch/kB ≈ 0.5 K, характеризующим обменное взаимодействие между ионами Cu2+ внутри цепочки. Такое магнитное поведение может указывать на особенность упаковки молекул комплекса в решетке кристалла, при которой обменное взаимодействие между ионами Cu2+ осуществляется преимущественно лишь вдоль одного кристаллографического направления.
Таблица 5. Параметры спектров диффузного отражения комплексов V–VII
Соединение | λ, нм | ν, см–1 | Отнесение |
[CoL2Cl2] · 0,5H2O (V) | 446 | ν3 = 22420 | 4А2→4Т1(Р) |
807 | ν2 = 12390 | 4А2→4Т1(F) | |
[CoL2(NO3)2] · 0,5H2O (VI) | 433 | ν3 = 23095 | 4T1g(F)→4T1g(P) |
660 | ν2 = 15150 | 4T1g(F)→4A2g | |
935 | ν1 = 10695 | 4T1g(F)→4T2g | |
[NiL2(NO3)2] · 0,5H2O (VII) | 395 | ν4 = 25316 | 3А2g→3T1g(P) |
510 | ν3 = 19610 | 3А2g→3T1g | |
665 | ν2 = 15038 | 3А2g→1Eg | |
922 | ν1 = 10846 | 3А2g→3T2g |
Рис. 9. Температурные зависимости магнитной восприимчивости образца III, измеренные в магнитных полях H = 1, 10 кЭ (а); температурные зависимости обратной восприимчивости 1/χp и эффективного магнитного момента µeff, рассчитанного в приближении невзаимодействующих ионов (θ = 0) (б).
Дополнительную информацию о магнитном состоянии ионов меди в образце III можно получить из полевой зависимости намагниченности (рис. 10). Полученные данные M(H) и нормированной восприимчивости χ(H)/χ(0) соответствуют поведению ионов Cu2+ со слабым антиферромагнитным взаимодействием между ними и могут быть хорошо описаны (штриховые линии) теоретической зависимостью для системы парамагнитных центров (S = 1/2, g = 2.1) c изотропным АФМ-взаимодействием zJ/kB = 0.30 K. Следует отметить, что при аппроксимации высокотемпературных данных зависимостью Кюри–Вейсса было получено значение zJ/kB = 0.80 K, при использовании которого модель изотропного АФМ-обмена дала бы значительно заниженные значения намагниченности (пунктирная линия на рис. 10). Таким образом, измеренная полевая зависимость намагниченности также свидетельствует о существенном (более чем в 2.5 раза) уменьшении эффективного значения J при низкой температуре, что подтверждает преимущественно одномерный характер обменного взаимодействия в кристалле III. Анизотропия обменного взаимодействия в кристалле III может быть связана с частичным стекингом плоских частей органических лигандов соседних молекул, но измеренная величина J слишком мала, чтобы исключить другие возможности и сделать достоверные выводы о механизме АФМ-взаимодействия.
Рис. 10. Полевые зависимости намагниченности M и нормированной восприимчивости χ(H)/χ(0) образца III. Штриховыми линиями показана аппроксимация данных теоретической зависимостью для системы парамагнитных центров (S = 1/2, g = 2.1) c изотропным АФМ взаимодействием zJ/kB = 0.30 K. Для сравнения пунктирной линией показана теоретическая намагниченность системы таких же парамагнитных центров с zJ/kB = 0.8 K (θ ≈ –0.4 K).
Изучение влияния соединений на жизнеспособность клеток гепатоцеллюлярной карциномы HepG2 после 48 ч воздействия показало, что лиганд и комплексы [CuL2Cl2] (кристаллы) и [CuLCl] (порошок) не проявляют цитотоксической активности, однако при воздействии максимальной исследуемой концентрации 50 мкмоль/л лиганда и хлоридов меди(I) и меди(II) количество клеток после инкубации с соединениями снижено на 30% по сравнению с контролем, что свидетельствует о наличии цитостатического эффекта (рис. 11). Для комплекса [CuLBr] цитостатический эффект наблюдался для минимальной исследованной концентрации 0.2 мкмоль/л, количество клеток снижено на 10% по сравнению с контролем.
Рис. 11. Влияние исследуемых соединений на жизнеспособность клеток HepG2: 1 — количество клеток, 2 — мертвые клетки, 3 — живые клетки, 4 — апоптотические клетки.
В аналогичных условиях эксперимента классические препараты карбоплатин и цисплатин оказывают существенное влияние на клетки HepG2 по сравнению с новыми комплексами. Значения LC50 (концентрация препарата, при воздействии которой количество живых клеток снижено на 50% по сравнению с контролем) и IC50 (концентрация препарата, при воздействии которой общее количество клеток снижено на 50% по сравнению с контролем) равны для карбоплатина 32 ± 2 мкмоль/л и 3.6 ± 0.2 мкмоль/л соответственно, и для цисплатина 33 ± 5 мкмоль/л и 3.6 ± 0.2 мкмоль/л соответственно [28]. Поскольку клеточная линия HepG2 является опухолевой, то экспрессия и активность некоторых ферментов, таких как CYP2C9, CYP2C19 и CYP3A4, участвующих в метаболизме ксенобиотиков, в этих клетках значительно ниже по сравнению с экспрессией и активностью этих ферментов из неопухолевых образцов печени человека [33–36]. Однако клетки HepG2 часто используют для оценки in vitro потенциальной гепатотоксичности новых молекул на этапах первичного скрининга [37]. В некоторых случаях препараты карбоплатин [38] и цисплатин [39] демонстрируют гепатотоксичность, поэтому результаты данного исследования могут свидетельствовать об отсутствии потенциальной гепатотоксичности новых комплексов.
Таким образом, синтезированы и охарактеризованы новые комплексы меди(I), меди(II), кобальта(II) и никеля(II) c 2,4-диметилпиразоло[1,5-а]бензимидазолом. На клетках HepG2 показано, что в диапазоне концентраций от 0,2 до 50 мкмоль/л лиганд и комплексы хлорида и бромида меди(I) и меди(II) не проявляют цитотоксическую активность, но оказывают цитостатический эффект на клетки. Наиболее выраженным цитостатическим эффектом обладает комплекс [CuLBr].
Авторы заявляют, что у них нет конфликта интересов.
БЛАГОДАРНОСТИ
Авторы благодарят А.А. Шаповалову за съемку ИК-спектров и И.В. Юшину за съемку спектров диффузного отражения. Работа по изучению цитотоксических и цитостатических свойств соединений выполнена с использованием оборудования ЦКП “Протеомный анализ” на базе ФИЦ ФТМ.
ФИНАНСИРОВАНИЕ
Работа поддержана Министерством науки и высшего образования Российской Федерации (проекты № 121031700313-8 и 121031700314-5). Работа по исследованию биологической активности выполнена по государственному заданию ФИЦ ФТМ по теме НИР, номер государственной регистрации 122032200236-1.
About the authors
O. G. Shakirova
Nikolaev Institute of Inorganic Chemistry, Siberian Branch, Russian Academy of Sciences; Komsomolsk-on-Amur State University
Author for correspondence.
Email: Shakirova_Olga@mail.ru
Russian Federation, Novosibirsk; Komsomolsk-on-Amur
T. A. Kuz’menko
Institute of Physical and Organic Chemistry, Southern Federal University
Email: Shakirova_Olga@mail.ru
Russian Federation, Rostov-on-Don
N. V. Kurat’eva
Nikolaev Institute of Inorganic Chemistry, Siberian Branch, Russian Academy of Sciences
Email: ludm@niic.nsc.ru
Russian Federation, Novosibirsk
L. S. Klyushova
Institute of Molecular Biology and Biophysics, Federal Research Center for Fundamental and Translational Medicine
Email: Shakirova_Olga@mail.ru
Russian Federation, Novosibirsk
A. N. Lavrov
Nikolaev Institute of Inorganic Chemistry, Siberian Branch, Russian Academy of Sciences
Email: ludm@niic.nsc.ru
Russian Federation, Novosibirsk
L. G. Lavrenova
Nikolaev Institute of Inorganic Chemistry, Siberian Branch, Russian Academy of Sciences
Email: ludm@niic.nsc.ru
Russian Federation, Novosibirsk
References
- Selivanova G.A., Tretyakov E.V. // Russ. Chem. Bull. 2020. V. 69. № 5. P. 838. https://doi.org/10.1007/s11172-020-2842-3
- Proshin A.N., Trofimova T.P., Zefirova O.N. et al. // Russ. Chem. Bull. 2021. V. 70. № 3. P. 51. https://doi.org/10.1007/s11172-021-3116-4]
- Kokorekin V.A., Khodonov V.M., S. V. Neverov S.V. et al. // Russ. Chem. Bull. 2021. V. 70. № 3. С. 600. https://doi.org/10.1007/s11172-021-3131-5
- Sadaf H., Fettouhi M., Fazal A. et al. // Polyhedron. 2019. V. 70. Р. 537. https://doi.org/10.1016/j.poly.2019.06.025
- Muñoz-Patiño N., Sanchez-Eguia B.N., Araiza-Olivera D. et al. // J. Inorg. Biochem. 2020. V. 211. Р. 111198). https://doi.org/10.1016/j.jinorgbio.2020.111198
- Chkirate K., Karrouchi K., Dede N. et al. // New J. Che m. 2020. V. 44. Р. 2210. https://doi.org/10.1039/C9NJ05913J
- Masaryk L., Tesarova B., Choquesillo-Lazarte D. et al. // J. Inorg. Biochem. 2021. V. 217. Р. 111395). https://doi.org/10.1016/j.jinorgbio.2021.111395
- Aragón-Muriel A., Liscano Y., Upegui Y. et al. // Antibiotics. 2021. V. 1. № 6. Р. 728). https://doi.org/10.3390/antibiotics10060728
- Alterhoni E., Tavman A., Hacioglu M. et al. // J. Mol. Struct. 2021. V. 1229. Р. 129498). https://doi.org/10.1016/j.molstruc.2020.129498
- Raducka A., Świątkowski M., Korona-Głowniak I. et al. // Int. J. Mol. Sci. 2022. V. 23. № 12. Р. 6595). https://doi.org/10.3390/ijms23126595
- Üstün E., Şahin N., Özdemir İ. et al. // Arch. Pharm. 2023. Art. e2300302). https://doi.org/10.1002/ardp.202300302
- Elkanzi N.A., Ali A.M., Albqmi M. et al. // J. Organomet. Chem. 2022. V. 36. № 11. Art. e6868). https://doi.org/10.1002/aoc.6868
- Šindelář Z., Kopel P. // Inorganics. 2023. V. 11. № 3. Р. 113. https://doi.org/10.3390/inorganics11030113
- Rogala P., Jabłońska-Wawrzycka A., Czerwonka G. et al. // Molecules. 2022. V. 28. № 1. Р. 40). https://doi.org/10.3390/molecules28010040
- Helaly A., Sahyon H., Kiwan H. et al. // Biointerface Res. Appl. Chem. 2023. V. 13. № 4. Р. 365). https://doi.org/10.33263/BRIAC134.365
- Sączewski F., Dziemidowicz-Borys E.J., Bednarski P.J. et al. // J. Inorg. Biochem. 2006. V. 100. № 8. Р. 1389). https://doi.org/10.1016/j.jinorgbio.2006.04.002
- Volykhina V.E., Shafranovskaya E.V. Vestn. Vitebsk. Gos. Med. Un-ta, 2009, vol. 8, no. 4, p. 6.
- Farmer K.J., Sohal R.S. // Free Radic. Biol. Med. 1989. V. 7. № 1. Р. 23. https://doi.org/10.1016/0891-5849(89)90096-8
- Rusting R.L. // Sci. Am. 1992. V. 2 67. № 6. Р. 130. https://www.jstor.org/stable/24939339
- Lavrenova L.G., Kuz’menko T.A., Ivanova A.D. et al. // New J. Chem. 2017. 41. № 11. Р. 4341. https://doi.org/10.1039/c7nj00533d
- Dyukova I.I., Lavrenova L.G., Kuz’menko T.A. et al. // Inorg. Chim. Acta. 2019. V. 486. Р. 406. https://doi.org/10.1016/j.ica.2018.10.064
- Dyukova I.I., Kuz’menko T.A., Komarov V.Yu. et al. // Russ. J. Coord. Chem. 2018. V. 44. № 12. Р. 755. https://doi.org/10.1134/s107032841812014x
- Ivanova A.D., Kuz’menko T.A., Smolentsev A.I. et al. // Russ. J. Coord. Chem. 2021. V. 47. № 11. Р. 751. https://doi.org/10.1134/S1070328421110026
- Ivanova A.D., Komarov V.Y., Glinskaya L.A. еt al. // Russ. Chem. Bull. 2021. V. 70. № 8. Р. 1550. https://doi.org/10.1007/s11172-021-3251-y
- Kuz’menko V.V., Komissarov V.N., Simonov A.M. // Chem. Heterocycl. Comp. 1980. V. 16. № 6. Р. 34. https://doi.org/10.1007/pl00020455
- APEX2 (version 2012.2–0), SAINT (version 8.18c), and SADABS (version 2008/1) In Bruker Advanced X-ray Solutions. Madison (WI, USA): Bruker AXS Inc., 2000–2012.
- Sheldrick G.M. // Acta Crystallogr. C. 2015. V. 71. P. 3. https://doi.org/10.1107/S2053229614024218
- Klyushova L.S., Golubeva Yu.A., Vavilin V.A., Grishanova A.Yu. Acta Biomed. Sci., 2022, vol. 7, no. 5–2, p. 31. https://doi.org/10.29413/ABS.2022-7.5-2.4
- Nakamoto K. Infrared and Raman Spectra of Inorganic and Coordination Compounds. New York (NY, USA): J. Wiley & Sons Inc., 1986.
- Lever A.B.P. Inorganic Electronic Spectroscopy. Amsterdam (The Netherlands): Elsevier, 1985.
- Lavrenova L.G., Ivanova A.I., Glinskaya L.A. et al. // Chem. Asian J. 2023. V. 18. Art. e202201200. https://doi.org/10.1002/asia.202201200
- Bonner J.C., Fisher M.E. // Phys. Rev. 1964. V. 135. № 3A. A640. https://doi.org/10.1103/PhysRev.135.A640
- Wilkening S., Stahl F., Bader A. // Drug. Metab. Dispos. 2003. V. 31. № 8. Р. 1035. https://doi.org/10.1124/dmd.31.8.1035
- Donato M.T., Tolosa L., Gómez-Lechó M.J. // Methods Mol. Biol. 2015. № 1250. Р. 77. https://doi.org/10.1007/978-1-4939-2074-7_5
- Nekvindova J., Mrkvicova A., Zubanova V. et al. // Biochem. Pharmacol. 2020. V. 177. No 113912. https://doi.org/10.1016/j.bcp.2020.113912
- Shen H., Wu H., Sun F. et al. // Bioengineered. 2021. V. 12. № 1. Р. 240. https://doi.org/10.1080/21655979.2020.1866303
- Donato M.T., Jover R., Gómez-Lechón M.J. // Curr. Drug. Metab. 2013. V. 14. № 9. P. 946. https://doi.org/10.2174/1389200211314090002
- LiverTox: Clinical and Research Information on Drug-Induced Liver Injury [Internet]. Carboplatin. Bethesda (MD): National Institute of Diabetes and Digestive and Kidney Diseases, 2012. https://www.ncbi.nlm.nih.gov/books/NBK548565/
- LiverTox: Clinical and Research Information on Drug-Induced Liver Injury [Internet]. Cisplatin. Bethesda (MD): National Institute of Diabetes and Digestive and Kidney Diseases, 2012. https://www.ncbi.nlm.nih.gov/books/NBK548160/
Supplementary files















