Template Synthesis of the Iron(III) Complex with the Ligands Based on Acylpyrazolonepyridines
- 作者: Strunin D.D.1,2, Nikovskii I.A.1, Dan´shina A.A.1,3, Nelyubina Y.V.1
-
隶属关系:
- Nesmeyanov Institute of Organoelement Compounds, Russian Academy of Sciences
- Moscow State University
- Moscow Institute of Physics and Technology (National Research University)
- 期: 卷 50, 编号 7 (2024)
- 页面: 429-437
- 栏目: Articles
- URL: https://ogarev-online.ru/0132-344X/article/view/268506
- DOI: https://doi.org/10.31857/S0132344X24070028
- EDN: https://elibrary.ru/MUQKDT
- ID: 268506
如何引用文章
全文:
详细
The reaction of new bidentate ligand, 1-(5-hydroxy-1-methyl-3-(pyridin-2-yl)-1Н-pyrazol-4-yl)ethan-1-one (L), with iron(III) chloride affords the mononuclear iron(III) complex FeL₂Cl₃, which is characterized by XRD (CIF file CCDC no. 2309481). The intramolecular hydrogen bond between the protonated pyridyl and acetyl groups in ligand L, which exists in the crystal as a zwitterion, provides the formation of rarely met iron complexes in which the β-diketonate fragment coordinates via the η1 mode. A similar coordination mode along with a possibility of a more favorable η2 coordination provides new possibilities for the design of heteropolynuclear compounds of various structures used in the fabrication of molecular devices of data storage and processing.
全文:
Разработка новых технологических решений, направленных на повышение производительности вычислительной техники, является одной из важнейших задач современной микроэлектроники [1]. Хотя многие устройства для хранения и обработки информации построены из неорганических материалов [2, 3], в последнее время интерес исследователей все больше смещается к молекулярным соединениям, способным к внутримолекулярному переносу электрона, благодаря простоте их химической модификации и разнообразию свойств [4, 5]. Среди таких соединений — комплексы металлов с органическими полифункциональными лигандами, которые могут координировать второй ион металла, тем самым обеспечивая возможность внутримолекулярного переноса электрона в комплексе [4, 5]. Наличие или отсутствие такого переноса позволяет использовать данные комплексы в устройствах молекулярной спинтроники для хранения и обработки (в качестве спиновых кубитов) информации [6, 7].
Соответствующие комплексы, как правило, синтезируют при помощи темплатного метода самосборки как наиболее эффективного способа получения полигетероядерных соединений [8], однако заранее предугадать их структурные особенности (геометрию, количество ядер и их тип) и тем более свойства не всегда возможно [9]. Для их селективного синтеза иногда используют лиганды типа "two-face" (схема 1) [10–13]. Наличие у них двух и более центров координации, способных селективно связывать разные типы ионов d- и f-металлов, позволяет создавать гетерополиядерные комплексы, которые имеют заранее заданное строение.
Схема 1.
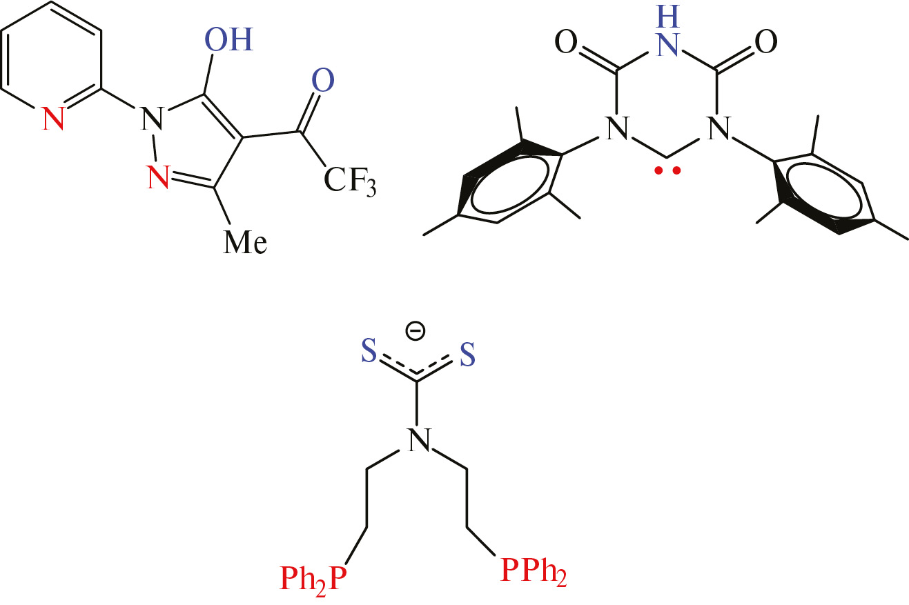
В качестве таких лигандов могут выступать замещенные ацилпиразолонпиридины [14], карбеноимидаты [12] и дифосфин-дитиокарбаматы [15], содержащие разные по своей природе центры координации (например, нитрофильный и оксофильный). Структурная близость и различающаяся жесткость/мягкость двух хелатирующих фрагментов по отношению к различным ионам переходных металлов позволяет селективно получать моноядерные комплексы — прекурсоры для гетерополиядерных комплексов [13].
К настоящему моменту уже получено достаточно много комплексов с пиридилпиразолонами, в которых ион металла координирует либо оксофильный (β-дикетонатный), либо нитрофильный (пиридинпиразольный) фрагмент (схема 2).
Схема 2.
Однако в литературе до сих пор отсутствуют общие рекомендации по химической модификации таких лигандов и условиям синтеза соответствующих комплексов с ионами переходных металлов [16–18] для управления типом реализуемой в них координации. Например, введение пиридинового заместителя в первое положение пиразольного кольца меняет тип координации cульфата ванадила c оксофильного на нитрофильное (схема 2) [18].
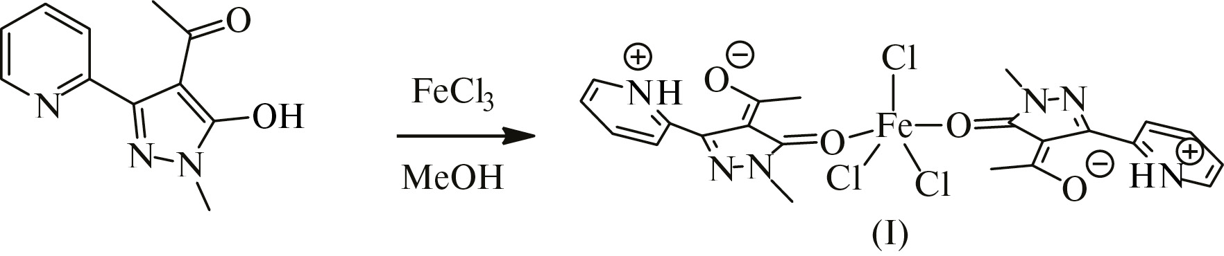
Известно, что ацилпиразолоны реагируют с солями железа(II/III) с η2-координацией β-дикетонатного фрагмента [19]. Мы предположили, что введение пиридинового заместителя в ацилпиразолоновый лиганд при его комплексообразовании с хлоридом железа(III) в отсутствие основания сделает возможным координацию к атому азота даже такого иона переходного металла, как железо(III), который преимущественно связывается с кислород-содержащими лигандами.
Схема 3.
Предложенный дизайн ацилпиразолонового лиганда позволил нам получить первый пример комплекса железа(III) FeL₂Cl₃ (I), в котором такой лиганд — 1-(5-гидрокси-1-метил-3-(пиридин-2-ил)-1Н-пиразол-4-ил)этан-1-он (L) — координирован ионом металла к β-дикетонатному фрагменту по редко встречаемому η1-типу (cхема 3).
ЭКСПЕРИМЕНТАЛЬНАЯ ЧАСТЬ
Все операции, связанные с синтезом лиганда L и его комплекса, выполняли на воздухе с использованием коммерчески доступных органических растворителей. Тетрагидрофуран очищали перегонкой над натрием с бензофеноном или гидридом кальция. Анализ на углерод, азот и водород проводили на микроанализаторе Carlo Erba, модель 1106, а спектры ЯМР регистрировали на спектрометре Varian INOVA 400 (частота 400.1 MГц для 1H и 100.6 MГц для 13C) при температуре 25°С.
Синтез этилового эфира пиколиновой кислоты. Концентрированную серную кислоту (10 мл) добавляли в раствор пиколиновой кислоты (20 г, 16.2 ммоль) в этаноле (400 мл) при перемешивании. Реакционную смесь кипятили с обратным холодильником при 85°С (масляная баня) в течение 8 ч. Полученную смесь упаривали на роторном испарителе, добавляли 50 мл дистиллированной воды и нейтрализовывали при помощи Na2CO3 до нейтральной среды. Водный раствор трижды экстрагировали хлористым метиленом (20 мл). Экстракт упаривали на роторном испарителе, а полученный светло-желтый раствор очищали перегонкой. Полученный продукт представлял собой прозрачную жидкость. Выход 14.3 г (58%).
ЯМР 1H (CDCl3; 400 MГц; δ, м.д.): 8.69 (д.д., 3JН,Н = 4.7 Гц, 4JН,Н = 1.2 Гц, 1H, 6-Py), 8.07 (д., 3JН,Н = 7.8 Гц, 1H, 3-Py), 7.77 (т.д., 3JН,Н = 7.8, 4JН,Н = 1.2 Гц, 1H, 4-Py), 7.40 д.д., 3JН,Н = 7.8, 3JН,Н = 4.7, 1H, 5-Py), 4.41 (кв., 3JН,Н = 7.1 Гц, 2H, CH2), 1.37 (т. 3JН,Н = 7.1 Гц, 3H, CH3). ЯМР 13C (CDCl3; 101 MГц; δ, м.д.) 165.18, 149.79, 148.15, 136.97, 126.81, 125.05, 61.91, 14.28.
Синтез этил-3-оксо-3-(пиридин-2-ил)пропаноата. Трет-бутилат калия (7.4 г, 66 ммоль) добавляли в раствор этилового эфира пиколиновой кислоты (5.0 г, 33.1 ммоль) в тетрагидрофуране (ТГФ) (100 мл) при перемешивании, куда медленно по каплям добавляли этилацетат (6.5 мл, 66 ммоль). Реакционную смесь выдерживали при комнатной температуре в течение 3 ч. Полученную смесь упаривали на роторном испарителе, добавляли 30 мл дистиллированной воды и нейтрализовывали при помощи HCl до нейтральной среды. Водный раствор трижды экстрагировали хлористым метиленом (20 мл), добавляли MgSO4, чтобы удалить следы влаги, а затем осторожно декантировали и упаривали на роторном испарителе. Полученный в виде желтого масла продукт сушили в вакууме и использовали без дальнейшей очистки. Выход 4.1 г (64%).
ЯМР 1H (CDCl3; 400 MГц; δ, м.д.) 8.59 (д., 3JН,Н = 4.8 Гц, 1H, 6-Py), 7.99 (д., 3JН,Н = 7.8 Гц, 1H, 3-Py), 7.80 (т., 3JН,Н = 7.8 Гц, 1H, 4-Py), 7.42 (д.д., 3JН,Н = 7.8 Гц, 3JН,Н = 4.8 Гц, 1H, 5-Py), 4.13 (кв., 3JН,Н = 7.1 Гц, 2H, OCH2), 3.38 (с., 2H, CH2), 1.17 (т., 3JН,Н = 7.1 Гц, 3H, CH3). ЯМР 13C (CDCl3; 101 MГц; δ, м.д.) 194.57, 148.97, 136.98, 127.54, 121.98, 61.28, 50.03, 44.76, 30.07, 13.99.
Синтез 1-метил-5-(пиридин-2-ил)-1Н-пиразол-3-ола. Карбонат калия (1.66 г, 12.0 ммоль) добавляли в раствор этил-3-оксо-3-(пиридин-2-ил)пропаноата (2.1 г, 10.9 ммоль) в этаноле (100 мл) при перемешивании, куда затем добавляли сульфат метилгидразиния (0.986 г, 12.0 ммоль). Реакционную смесь выдерживали при комнатной температуре в течение 12 ч. Раствор отделяли от осадка, промывали небольшим количеством этанола и упаривали на роторном испарителе. Полученный сухой остаток промывали небольшим количеством ацетона и высушивали в вакууме. Выход 1.56 г (82%).
Найдено, %: C 61.59; H 5.10; N 24.10 Для C9H9N3O вычислено, %: С 61.70; H 5.19; N 23.99.
ЯМР 1H (CDCl3; 400 MГц; δ, м.д.) 14.35 (с., 1H, OH), 8.64 (д., 3J Н,Н = 5.1 Гц, 1H, 6-Py), 8.07 (д., 3J Н,Н = 7.8 Гц, 1H, 3-Py), 7.91 (т., 3J Н,Н = 7.8 Гц, 1H, 4-Py), 7.55 (д.д., 3J Н,Н = 7.8 Гц, 3JН,Н = 5.1 Гц, 1H, 5-Py), 3.67 (c., 1H), 3.61 (с., 3H, CH3). ЯМР 13С (CDCl3; 101 MГц; δ, м.д.) 153.22, 146.34, 144.20, 138.65, 123.26, 122.48, 97.66, 33.72, 16.78.
Синтез 1-метил-5-(пиридин-2-ил)-1Н-пиразол-3-ил ацетата. В раствор 1-метил-5-(пиридин-2-ил)-1Н-пиразол-3-ола в ТГФ (100 мл) добавляли триэтиламин (1.923 мл, 13.8 ммоль) и перемешивали в течение 5 мин. Затем к полученному раствору добавляли ацетилхлорид (0.6 мл, 5.06 ммоль), после чего реакционную смесь выдерживали при комнатной температуре еще в течение 30 минут. В процессе реакции выпадал белый осадок, который отделяли от раствора с использованием фильтра Шотта, упаривали и сушили в вакууме. Выход. 1.15 г (90%).
ЯМР 1H (CDCl3; 300 MГц; δ, м.д.) 8.55 (д.д., 3JН,Н = 4.7 Гц, 4JН,Н = 1.5 Гц, 1H, 6-Py), 7.84 (д., 3JН,Н = 7.8 Гц, 1H, 3-Py), 7.65 (т.д. 3JН,Н = 7.8 Гц, 4JН,Н = 1.5 Гц, 1H, 4-Py), 7.15 (д.д., 3JН,Н = 7.8, 4.7, 1H, 5-Py), 4.52 (с., 1H), 3.63 (c., 3H, NCH3), 1.94 (с., 3H, C(O)CH3).
Синтез 1-(5-гидрокси-1-метил-3-(пиридин-2-ил)-1Н-пиразол-4-ил)этан-1-она (L). В раствор 1-метил-5-(пиридин-2-ил)-1Н-пиразол-3-ил ацетата (1.15 г, 4.11 ммоль) в хлористом метилене (100 мл) добавляли хлорид титана(IV) (2 мл, 18.6 ммоль) при перемешивании. Реакционную смесь выдерживали при комнатной температуре в течение 12 ч. По окончании реакции к раствору добавляли дистиллированную воду при перемешивании и его выдерживали до изменения красной окраски раствора на желтую. Полученную эмульсию трижды экстрагировали хлористым метиленом (20 мл), который затем упаривали на роторном испарителе. Полученный желтый порошок высушивали в вакууме. Выход 0.69 г (60%).
Найдено, %: C 60.91; H 5.25; N 19.48 Для C11H11N3O2 вычислено, %: С 60.82; H 5.11; N 19.35.
ЯМР 1H (CDCl3; 300 MГц; δ, м.д.) 8.40–8.29 (м., 2H, 6-Py, 3-Py), 7.99 (т., 3JН,Н = 7.8 Гц, 1H, 4-Py), 7.42 (д., 3JН,Н = 7.8 Гц, 1H, 5-Py), 3.52 (c., 3H, NCH3), 2.69 (с., 3H, C(O)CH3). ЯМР 13С (CDCl3; 101 MГц; δ, м.д.) 187.34, 166.77 149.60, 141.64, 140.59, 123.43, 121.52, 102.17, 31.93, 22.50.
Синтез FeL₂Cl₃ (I). В круглодонной колбе объемом 25 мл готовили раствор 1-метил-5-(пиридин-2-ил)-1Н-пиразол-3-ил ацетата (100 мг, 0.46 ммоль) в 10 мл метанола, в который добавляли хлорид железа(III) (37 мг, 0.00023 моль) и перемешивали при комнатной температуре 4 ч. К полученному раствору медленно добавляли диэтиловый эфир для образования границы раздела фаз метанол-диэтиловый эфир. Затем его выдерживали в течение 3 дней при комнатной температуре до появления темно-красных кристаллов целевого комплекса железа(III). Выход 92 мг (67%).
Найдено, %: С 44.47; H 3.77; N 14.22. Для C22H22N6O4Cl3Fe вычислено, %: С 44.29; H 3.72; N 14.09
PCA монокристаллов комплекса I проведен на дифрактометре Bruker Quest D8 (MoKα-излучение, графитовый монохроматор, w-сканирование) при 100 K. Структура расшифрована с использованием программы ShelXT [20] и уточнена в полноматричном МНК с помощью программы Olex2 [21] в анизотропном приближении по F2hkl. Атомы водорода NH-группы локализованы в разностном Фурье-синтезе, положения остальных атомов водорода рассчитаны геометрически, и все они уточнены в изотропном приближении по модели наездника. Основные кристаллографические данные и параметры уточнения представлены в табл. 1.
Таблица 1. Кристаллографические данные и параметры уточнения для FeL₂Cl₃
Параметр | Значение |
Брутто формула | C22H22N6O4Cl3Fe |
М | 597.72 |
T, K | 100 |
Кристаллическая система | Моноклинная |
Пр. группа | P2/c |
Z | 2 |
a, Å | 11.4449(6) |
b, Å | 8.2541(4) |
c, Å | 13.3040(7) |
α, град | 90 |
b, град | 105.245(3) |
g, град | 90 |
V, Å3 | 1212.57(11) |
ρ(выч.), г см–3 | 1.637 |
m, см–1 | 9.99 |
F(000) | 611 |
2qmax, град | 56 |
Число измеренных отражений | 13826 |
Число независимых отражений | 2878 |
Число отражений с I > 2s(I) | 2245 |
Количество уточняемых параметров | 207 |
R1 | 0.0503 |
wR2 | 0.1266 |
GOОF | 1.081 |
Остаточная электронная плотность (min/max), e Å–3 | –0.624/0.908 |
Структурные параметры для комплекса I депонированы в Кембриджском банке структурных данных (CCDC № 2309481; http://www.ccdc.cam.ac.uk/).
РЕЗУЛЬТАТЫ И ИХ ОБСУЖДЕНИЕ
Предшественник лиганда L 1-метил-3-(пиридин-2-ил)-1Н-пиразол-5-ол получали в ходе пятистадийного синтеза из пиколиновой кислоты. Первые три стадии включали этерификацию пиколиновой кислоты этанолом в кислой среде, конденсацию Кляйзена между получившимся этилпиколинатом и этилацетатом под действием трет-бутилата калия в ТГФ и конденсацию образующегося дикетона и сульфата метилгидразиния с последующей циклизацией в одну стадию в этаноле в присутствии карбоната калия (схема 4) с образованием пиразолилпиридина.
Схема 4.
В присутствии гидроксида кальция или триэтиламина последующее С-ацилирование пиразолилпиридина неожиданно [22] привело к образованию смеси продуктов С- и О-ацилирования или селективного О-ацилирования соответственно. Это может быть связано с хелатирующей способностью пиридинового кольца, из-за которой координация иона кальция(II) происходит по нитрофильному, а не оксофильному, положению, тем самым промотируя О-ацилирование.
Схема 5.
Для получения продуктов С-ацилирования соответствующую реакцию проводили в две последовательные стадии: взаимодействием с ацетилхлоридом в присутствии триэтиламина и последующей перегруппировкой продукта под действием хлорида титана(IV) (перегруппировка Фриса [23], схема 5). Целевой лиганд L находится в β-дикетонатной форме, так как в спектре ЯМР 1Н отсутствует сигнал ОН-группы, и содержит два различных положения связывания (нитрофильный и оксофильный), что может быть использовано для селективного получения гетеро- и биметаллических комплексов при координации таких ионов переходных металлов, как железо(II/III), кобальт(II) или марганец(II) к оксофильному, а никеля(II) и меди(II) – к нитрофильному положению.
Рис. 1. Общий вид комплекса FeL₂Cl₃ в представлении атомов эллипсоидами тепловых колебаний (p = 50%). Комплекс в кристалле занимает частное положение — ось второго порядка, проходящую через ион железа(III) и координированный к нему хлорид-анион Cl(1). Минорная компонента разупорядоченности с заселенностью <3% не показана, а нумерация приведена только для симметрически-независимых атомов.
Для предположительной координации оксофильного иона металла по нитрофильному положению лиганда L нами выбран ион железа(III), занимающий промежуточное положение по своей оксофильности [24]. Для этого лиганд вводили в реакцию с хлоридом железа(III) в соотношении 2 : 1 в метаноле (схема 2). Согласно данным рентгеноструктурного анализа (рис. 1, табл. 2), продуктом такой реакции оказался комплекс железа(III) состава FeL₂Cl₃, в котором ион железа(III) в высокоспиновом состоянии [25] координировал три хлорид-аниона (Fe–Cl 2.2277(15)–2.3041(9) Å) и два симметрически-эквивалентных лиганда L, причем в координации участвовала лишь одна карбонильная группа β-дикетонатного фрагмента (Fe(1)–O(1) 1.979(3) Å). Длины связей С–O (1.274(4) и 1.258(5) Å) заметно превышали значения, характерные для двойной связи C=O (1.24 Å [26]). Кроме того, связь С–С между пиразольным кольцом и ацетильной группой (1.431(4) Å) принимала промежуточное значение между одинарной и двойной связью (1.54 и 1.34 Å [27]), что связано с таутомерным распределением отрицательного заряда по β-дикетонатному фрагменту. Положительный заряд в лиганде, который представлял собой цвиттер-ион, локализован на протонированном пиридильном фрагменте, который образовывал прочную внутримолекулярную водородную связь (N…O 2.573(4) Å, NHO 162.56(18)°) с карбонильной группой ацетильного заместителя лиганда L. Последняя, по-видимому, дополнительно стабилизировала его плоскую (в пределах 0.05 Å для неводородных атомов) конформацию. Так, угол между плоскостями пиразольного и пиридинового колец составлял всего 0.51(13)°.
Таблица 2. Основные геометрические параметры для комплекса FeL₂Cl₃ по данным РСА при Т = 100 К *
Параметр | FeL₂Cl₃ |
Fe–O(1), Å | 1.979(3) |
Fe–Cl(1), Å | 2.2277(15) |
Fe–Cl(2), Å | 2.3041(9) |
S(PP-5) | 24.548 |
S(vOC-5) | 2.496 |
S(TBPY-5) | 8.895 |
S(SPY-5) | 4.168 |
S(JTBPY-5) | 8.330 |
* Значения приведены только для мажорной компоненты разупорядоченности с заселенностью >97%. Параметры S(PP-5), S(vOC-5), S(TBPY-5), S(SPY-5) и S(JTBPY-5) описывают отклонение формы полиэдра иона металла от идеальных многогранников с пятью вершинами: пятиугольника (PP-5), октаэдра с одной вакантной вершиной (vOC-5), тригональной бипирамиды (TBPY-5), сферической квадратной пирамиды (SPY-5) и тригональной бипирамиды Джонсона (JTBPY-5) соответственно.
Координационное окружение иона железа(III) в комплексе I имело форму искаженного октаэдра с одной вакантной вершиной, о чем свидетельствовали так называемые «меры симметрии» [28]. Чем значения этих «мер» меньше, тем лучше форма полиэдра описывается соответствующим многогранником, таким как идеальный октаэдр с одной вакантной вершиной (vOC-5) (табл. 2). Для иона железа(III) величина «меры симметрии» S(vOC-5), оцененная на основе рентгенодифракционных данных при помощи программы Shape 2.1 [28], составила всего 2.496. Для сравнения: «мера симметрии», характеризующая отклонение формы его полиэдра от еще одного идеального многогранника с пятью вершинами — сферической квадратной пирамиды (SPY-5) — принимала более высокое значение, равное 4.168.
Отметим, что изменение стехиометрии реакции комплексообразования не приводило к другим продуктам, отличным от комплекса I. Таким образом, с помощью предложенного нами дизайна ацилпиразолонового лиганда L, содержащего пиридильную группу в третьем положении пиразольного кольца, нами получен первый комплекс железа(III), в котором такой лиганд координирует ион металла только одной карбонильной группой β-дикетонатного фрагмента. Комплексообразование протекало с образованием прочной внутримолекулярной водородной связи между второй такой карбонильной группой и протонированным пиридильным фрагментом в лиганде. Наличие этой связи, по-видимому, и определяет природу продукта реакции, так как оставляет доступным для координации только один атом кислорода β-дикетонатного фрагмента, в результате чего получается комплекс с координацией иона железа(III) только по редко встречающемуся [29] η1-типу вместо традиционной η2-координации. Образованию комплекса I с таким типом координации также способствует выбор в качестве противоиона координирующего хлорид-аниона, который достраивает координационную сферу иона металла до искаженного октаэдра с одной вакантной вершиной.
Несмотря на ранее описанные комплексы ванадила с пиридилпиразолонами [18], пиридильный заместитель в ацилпиразолоновом лиганде не смог промотировать нитрофильную координацию ионов железа(III). Однако его введение в положение 3 пиразольного кольца позволяет реализовывать линейную геометрию связывания полидентатных лигандов, что может быть использовано для получения (путем координации свободного нитрофильного положения) гетерополиядерных комплексов различного строения для создания молекулярных устройств хранения и обработки информации. Это, однако, предварительно потребует разрушения внутримолекулярной водородной связи в комплексе FeL₂Cl₃, что можно предположительно реализовать под действием некоординирующих оснований, например 1,8-диазобицикло(5,4,0)ундецен-7-ена.
Авторы сообщают, что у них нет конфликта интересов.
БЛАГОДАРНОСТИ
Рентгенодифракционные исследования проведены с использованием научного оборудования Центра исследования строения молекул ИНЭОС РАН при поддержке Министерства науки и высшего образования Российской Федерации (Госзадание № 075-03-2023-642).
ФИНАНСИРОВАНИЕ
Работа выполнена при финансовой поддержке Российского научного фонда (грант № 22-43-04437).
作者简介
D. Strunin
Nesmeyanov Institute of Organoelement Compounds, Russian Academy of Sciences; Moscow State University
Email: igornikovskiy@mail.ru
俄罗斯联邦, Moscow; Moscow
I. Nikovskii
Nesmeyanov Institute of Organoelement Compounds, Russian Academy of Sciences
编辑信件的主要联系方式.
Email: igornikovskiy@mail.ru
俄罗斯联邦, Moscow
A. Dan´shina
Nesmeyanov Institute of Organoelement Compounds, Russian Academy of Sciences; Moscow Institute of Physics and Technology (National Research University)
Email: igornikovskiy@mail.ru
俄罗斯联邦, Moscow; Dolgoprudnyi, Moscow oblast
Yu. Nelyubina
Nesmeyanov Institute of Organoelement Compounds, Russian Academy of Sciences
Email: igornikovskiy@mail.ru
俄罗斯联邦, Moscow
参考
- Sato O. // Nat. Chem. 2016. V. 8. P. 644. https://doi.org/10.1038/nchem.2547
- Sun Y., Rogers J. A. // Adv. Mat. 2007. V. 19. № 15. P. 1987. https://doi.org/10.1002/adma.200602223
- Mitzi D.B., Chondroudis K., Kagan C.R. // IBM J. Res. Dev. 2001. V. 45. № 1. P. 29. https://doi.org/10.1147/rd.451.0029
- Evangelio E., Ruiz-Molina D. // J. Eur. Inorg. Chem. 2005. V. 2005. № 15. P. 2957. https://doi.org/10.1002/ejic.200500323
- Tezgerevska T. Rousset E., Gable R.W. et al. // Dalton Trans. 2019. V. 48. № 31. P. 11674. https://doi.org/10.1039/C9DT02372K
- Calzolari A., Chen Y., Lewis G.F. et al. // J. Phys. Chem. B. 2012. V. 116. P. 13141. https://doi.org/10.1021/jp3099895
- Senthil Kumar K., Ruben M. // Coord. Chem. Rev. 2017. V. 346. № 1. P.176. https://doi.org/10.1016/j.ccr.2017.03.024
- Hogue R.W., Singh S., Brooker S. // Chem. Soc. Rev. 2018. V. 47. № 19. P. 7303. https://doi.org/10.1039/C7CS00835J
- Vieru V., Pasatoiu T.D., Ungur L. et al. // Inorg. Chem. 2016. V. 55. № 19. P. 12158. https://doi.org/10.1021/acs.inorgchem.6b01669
- Yamaguchi T., Sunatsuki Y., Ishida H., et al. // Inorg. Chem. 2008. V. 47. № 13. P. 5736. https://doi.org/10.1021/ic8000575
- Bala S., Bishwas M.S., Pramanik B. et al. // Inorg. Chem. 2015. V. 54. № 17. P. 8197. https://doi.org/10.1021/acs.inorgchem.5b00334
- Vujkovic N., César V., Lugan N., et al. // Chem. — Eur. J. 2011. V. 17. № 47. P. 13151. https://doi.org/10.1002/chem.201102767
- Cingolani A., Marchetti,F.. Pettinari C. et al. // Polyhedron 2006. V. 25. № 1. P. 124. https://doi.org/10.1016/j.poly.2005.07.020
- Bochkarev L.N., Bariniva Y.P., Ilicheva A.I. et al. // Inorganica Chim. Acta 2015. V. 425. № 30. P. 189. https://doi.org/10.1016/j.ica.2014.10.014
- Sherwood R., Gonzalez de Rivera F., Wan, J. H. et al. Inorg. Chem. 2015. V. 54. № 9. P. 4222. https://doi.org/10.1021/ic5028527
- Pettinari C., Caruso F., Zaffaroni N. // J. Inorg. Biochem. 2006. V. 100. № 1. P. 58. https://doi.org/10.1016/j.jinorgbio.2005.10.002
- Marchetti F., Pettinari R,; Pettinari C. // Coord. Chem. Rev. 2015. V. 303. № 1. P. 1. https://doi.org/10.1016/j.ccr.2015.05.003
- Marchetti F., Pettinari C., Di Nicola C. // Appl. Catal. Gen. 2010. V. 378. № 2. P. 211. https://doi.org/10.1016/j.apcata.2010.02.022
- Hasanzadeh Esfahani M., Behzad M., Dusek M. et al. // Inorganica Chim. Acta 2020. V. 508. № 1. P. 119637. https://doi.org/10.1016/j.ica.2020.119637
- Li Y., Guo J., Liu A. // RSC Adv. 2017. V. 7. № 16. P. 9847. https://doi.org/10.1039/C6RA27937F
- O´Brien, D.F., Gates J.W.Jr. // J. Org. Chem. 1966. V. 31. № 5. P. 1538. https://doi.org/10.1021/jo01343a054
- Kayode, G.O.; Montemore, M.M. // J. Mater. Chem. A. 2021. V. 9. № 39. P. 22325. https://doi.org/10.1039/D1TA06453C
- Halcrow M.A. Spin-Crossover Materials: Properties and Applications. Oxford (UK): Wiley, 2013.
- Demaison J., Császár A.G. // J. Mol. Struct. 2012. V. 1023. № 12. P. 7. https://doi.org/10.1016/j.molstruc.2012.01.030
- Lide D.R. // Tetrahedron 1962. V. 17. № 3–4. P. 125. https://doi.org/10.1016/S0040-4020(01)99012-X
- Alvarez, S. // Chem. Rev. 2015. V. 115. № 24. P. 13447. https://doi.org/10.1021/acs.chemrev.5b00537
- Omotowa B.A., Mesubi M.A. // Appl. Organomet. Chem. 1997. V. 11. № 1. P. 1. https://doi.org/10.1002/(SICI)1099-0739(199701)11:1<1::AID-AOC518>3.0.CO;2-3
补充文件







