Реакции диоксида углерода, связанного дииминовым гидридом алюминия, с боран-диметилсульфидом и аммиаком
- Авторы: Москалев М.В.1, Скатова А.А.1, Базанов А.А.1, Баранов Е.В.1, Федюшкин И.Л.1
-
Учреждения:
- Институт металлоорганической химии им. Г. А. Разуваева РАН
- Выпуск: Том 50, № 3 (2024)
- Страницы: 174-186
- Раздел: Статьи
- URL: https://ogarev-online.ru/0132-344X/article/view/262764
- DOI: https://doi.org/10.31857/S0132344X24030031
- EDN: https://elibrary.ru/NSSAKH
- ID: 262764
Цитировать
Полный текст
Аннотация
Исследовано взаимодействие бис-формиатного аценафтен-1,2-дииминового комплекса алюминия [(ArBIG-bian)Al(μ-OC(H)O)2Li(Тhf)2] (I) (ArBIG-bian = 1,2-бис[(2,6-дибензгидрил-4-метилфенил)имино]аценафтен), полученного в результате связывания диоксида углерода дииминовым гидридом алюминия [(ArBIG-bian)Al(H)2]–[Li(Тhf)4]+, с боран-диметилсульфидом и аммиаком. Реакция I с BH3 ∙ SMe2 (1 : 1) в толуоле приводит к продукту гидроборирования одной формиатной группы [(ArBIG-bian)Al(μ-OC(H)O)(OB(H)OCH3)Li(Тhf)]2 (II), в то время как взаимодействие I и BH3 ∙ SMe2 (1 : 2) протекает с восстановлением обеих формиатных групп и образованием комплекса [(ArBIG-bian)Al(OBOCH3)2OLi2(Тhf)2BH4]2 (III), метоксибороксина (CH3OBO)3 и, предположительно, соединения [(ArBIG-bian)AlOCH3]. Реакция I с 1 эквивалентом аммиака в ТГФ дает аддукт [(ArBIG-bian)Al(NH3)(μ-OC(H)O)2Li(Тhf)2] (IV), в котором аммиак координирован к атому алюминия, а ключевые связи в I не подверглись аммонолизу. Соединения II—IV охарактеризованы спектроскопией ИК и ЯМР, а также элементным анализом и РСА (CCDC № 2255017 (II), 2255018 (III), 2255019 (IV)).
Ключевые слова
Полный текст
Интенсификация современных промышленных процессов и увеличение производственных мощностей неизбежно приводят к росту эмиссии диоксида углерода в окружающую среду. Поскольку углекислый газ снижает инфракрасное излучение Земли в космос на различных длинах волн, его накопление в атмосфере усиливает парниковый эффект, приводя к росту температуры поверхности Земли и, как следствие, увеличению рисков возникновения ряда экологических, а также социально-экономических проблем [1]. С другой стороны, молекула CO2 может рассматриваться в качестве возобновляемого источника углерода и доступного С1-синтона для нужд химической промышленности. Данное обстоятельство привлекает особое внимание исследователей и обуславливает поиски способов улавливания, связывания и каталитической трансформации диоксида углерода в практически ценные химические соединения, в частности углеводороды, этанол, циклические карбонаты и ряд других [2—7]. Очень часто конверсия CO2 осуществляется за счет использования гомогенных каталитических систем, содержащих переходные металлы [2—4, 6]. Однако в последнее время наблюдается значительный интерес к применению комплексов металлов главных подгрупп в качестве катализаторов реакций с участием диоксида углерода как недорогих, доступных и малотоксичных альтернатив производным на основе d-элементов. В частности, скорпионатные [8], инденовые [9], гуанидинатные [10] и амидинатные [11] производные алюминия демонстрируют высокую активность в каталитическом присоединении CO2 к окисям алкенов. Другим примером эффективного использования комплексов металлов главных подгрупп в функционализации диоксида углерода является его гидрирование кремний- и борорганическими соединениями. Так, производные магния [12, 13], алюминия [14] и галлия [15], активированные трис(пентафторфенил)бораном B(C6F5)3, способны осуществлять каталитическое гидросилилирование CO2 до бис-силилацетальных, метоксисилильных производных и метана. С помощью трис[(1-изопропилбензимидазол-2-ил)диметилсилил]метильного комплекса магния {[TismiPrBenz]Mg}[HB(C6F5)3] из диоксида углерода и трифенилсилана был получен биссилилацеталь H2C(OSiPh3)2, который является источником мономерного формальдегида, а также CH2-фрагмента, способного функционализировать различные классы органических соединений [13]. Реакции гидрирования молекулы CO2 различными боранами в присутствии каталитических количеств комплексов непереходных металлов также известны. В частности, β-дикетиминатные гидридные производные магния, кальция [16], алюминия [17] и галлия [18] успешно катализируют гидроборирование диоксида углерода пинаколбораном (HBpin) до предшественника метанола — метоксиборпинаколята (pinBOCH3). Кроме того, исследования каталитической активности бис-имидазольных [19] и бис(фософоранил)метанидного [20] алюминиевых гидридов в реакциях CO2 с некоторыми боранами продемонстрировали влияние строения используемых боргидридов (пинаколборан, катехолборан, BH3 · SMe2) на селективность и выход продуктов восстановления. Как правило, во всех упомянутых выше примерах реакций гидроборирования и гидросилилирования с использованием гидридных комплексов каталитический цикл запускается путем связывания молекулы CO2 комплексом за счет внедрения по связи металл—водород. В некоторых случаях были выделены и охарактеризованы образующиеся при этом формиатные производные, способные к дальнейшему последовательному гидрированию и образованию ацетальных или метоксильных продуктов, а также генерированию каталитически активного металлгидридного интермедиата, который взаимодействует со следующей молекулой CO2 [12, 13, 15, 16, 18—20]. Однако как образование формиатного производного, так и его дальнейшее восстановление не являются достаточным условием для реализации каталитического цикла трансформации диоксида углерода. Например, несмотря на способность β-дикетиминатного гидридного комплекса алюминия (NacNac)Al(Et)H (NacNac = C(MeCDppN)2, Dpp = 2,6-iPr-C6H3) образовывать с CO2 соответствующий формиат (NacNac)Al(Et)OCHO, восстановление последнего различными боргидридами не приводит к регенерации исходного алюмогидрида или другой молекулярной системы, содержащей активную связь Al—H [21]. Вместо этого наблюдается образование алюмобороксильных комплексов, не способных к дальнейшему связыванию молекул диоксида углерода, что исключает применение соединения (NacNac)Al(Et)H в качестве катализатора. Следовательно, детальное изучение стехиометрических реакций диоксида углерода с гидридными комплексами металлов главных подгрупп, а также процессов восстановления образующихся аддуктов является важной задачей.
Ранее мы синтезировали различные дигидридные производные алюминия на основе аценафтен-1,2-дииминовых лигандов Dpp-bian и ArBIG-bian (Dpp-bian = 1,2-бис[(2,6-диизопропилфенил)имино]аценафтен; ArBIG-bian = 1,2-бис[(2,6-дибензгидрил-4-метилфенил)имино]аценафтен) [22—24] (cхема 1).
Схема 1.
В реакциях этих дигидридов с диоксидом углерода продемонстрировано влияние пространственной загруженности лиганда на строение образующихся продуктов гидроалюминирования, а также селективность процесса [24, 25]. Кроме того, были изучены реакции гидроборирования гемдиолятного [{(Dpp-bian)AlO2CH2}2] [26, 27] и бис-формиатного [(ArBIG-bian)Al(μ-OC(H)O)2Li(Тhf)2] [26] (I) производных некоторыми боранами. Для процессов восстановления производного [{(Dpp-bian)AlO2CH2}2] осуществлены квантово-химические расчеты и установлена взаимосвязь между строением используемого боргидрида и предпочтительным направлением реакций [26, 27]. В продолжение исследований возможности применения гидридных производных алюминия на основе лигандов Ar-bian для трансформации CO2 в данной работе нами были изучены реакции бис-формиата I с боран-диметилсульфидом (BH3 ∙ SMe2) в мольных соотношениях 1 : 1 и 1 : 2. Производное I было выбрано ввиду легкости его получения с высоким выходом взаимодействием соответствующего дигидрида со стехиометрическим количеством CO2, а гидроборирующий агент BH3 ∙ SMe2 — ввиду его доступности и распространенности применения в качестве восстановителя ненасыщенных соединений, включая карбонильные. Также нами была проведена реакция I с аммиаком для определения возможности использования I в реакциях восстановительного гидроформилирования аминов. Данный процесс пользуется особой популярностью, поскольку позволяет осуществлять метилирование аминов диоксидом углерода в присутствии восстановителей, например силанов, без использования потенциально опасных реагентов, таких как метилйодид и диазометан [28—31].
Экспериментальная часть
Все манипуляции по синтезу комплексов, выделению и идентификации выполняли в вакууме с использованием техники Шленка или в атмосфере аргона (Glovebox M. Braun). Бисформиат I получали по реакции дигидрида [(ArBIG-bian)Al(H)2]–[Li(Тhf)4]+ [25] с избытком CO2. Боран-диметилсульфид (Aldrich) использовали без предварительной очистки. Аммиак (99.9999 %, производитель — компания Horst) отбирали в ампулу из баллона без предварительной очистки/осушки с использованием вакуумированной газовой линии. Тетрагидрофуран, дейтеротетрагидрофуран и толуол сушили кипячением над бензофенонкетилом натрия и хранили в инертной атмосфере над молекулярными ситами (3 Å), после чего отбирали в токе азота непосредственно перед использованием. ИК-спектры снимали на спектрометре ФСМ-1201. Спектры ЯМР 1H, 7Li, 11B, 13C, HSQC регистрировали на спектрометрах Bruker Avance NEO 300 (300 МГц) и Bruker Avance III (400 МГц). Элементный анализ выполняли сжиганием образцов в автоматическом анализаторе Elementar Vario EL Cube. Выходы синтезированных комплексов рассчитывали на количества использованного (ArBIG-bian)Al(H)2]– [Li(Тhf)4]+.
Синтез [(ArBIG-bian)Al(μ-OC(H)O)(OB(H)OCH3)Li(Тhf)]2 (II). Из темно-синего раствора соединения I (0.5 ммоль, 0.86 г), полученного in situ в ТГФ (20 мл), при пониженном давлении удалили ТГФ, добавили толуол (15 мл). Затем к полученному раствору конденсацией добавили боран-диметилсульфид (BH3 ∙ SMe2 (0.038 г, 0.5 ммоль)). Кристаллизацией из полученного раствора выделили синие ромбоэдрические кристаллы II ∙ 4 C6H5CH3. Выход — 0.39 г (55%). Тпл = = 220—225˚С (разл.).
ИК-спектр (ν, cм–1): 3084 сл, 3057 сл, 3025 сл, 1613 о.с (ОС(Н)О), 1515 ср, 1493 с, 1445 с, 1335 сл, 1318 ср, 1293 сл, 1275 ср, 1179 ср, 1155 сл, 1128 сл, 1077 ср, 1052 сл, 1032 с, 1003 сл, 979 ср, 932 с, 915 ср, 856 ср, 830 ср, 809 сл, 760 с, 742 ср, 701 оч. с, 677 с, 645 сл, 623 ср, 605 с, 578 сл, 562 ср.
Спектр ЯМР 1H (300 МГц; ТГФ-d8; 298 K; d, м.д., J, Гц) 7.26—6.90 (м., 72Н, аром. и 20Н, С6Н5СН3), 6.78—6.65 (м., 16Н, аром. и 4Н, CH(Ph)2), 6.62 (д., 4Н, нафталиновая часть, J = 8.08), 6.55 (с., 4Н, CH(Ph)2), 6.36 (с., 2Н, OC(H)O), 6.11 (д.д, 4Н, нафталиновая часть, J1 = 7.03, J2 = 8.08), 4.87 (д., 4Н, нафталиновая часть, J = 7.03), 3.99 (уш. с., 2Н, BH), 3.59 (с., 16Н, ТГФ), 2.78 (с., 6Н, ОСН3), 2.32 (с., 12Н, С6Н5СН3), 2.23 (с., 12Н, СН3), 1.74 (с., 16Н, ТГФ).
Найдено, %: C 82.53; H 6.38; N 2.04.
Для C196H178B2N4O10Li2Al2 (М = 2838.87)
вычислено, %: C 82.92; H 6.32; N 1.97.
Синтез [(ArBIG-bian)Al(OBOCH3)2OLi2(Thf)2BH4]2 (III). Из темно-синего раствора соединения I (0.5 ммоль, 0.86 г), полученного in situ в ТГФ (20 мл), при пониженном давлении удалили ТГФ, добавили толуол (15 мл). Затем к полученному раствору конденсацией добавили боран-диметилсульфид (BH3 ∙ SMe2 (0.076 г, 1.0 ммоль)). Цвет раствора не изменился. Кристаллизацией из полученного раствора выделили зеленые пластинчатые кристаллы III ∙ 2 C6H5CH3. Выход — 0.26 г (36%). Тпл = 192—195˚С (разл.).
ИК-спектр (ν, cм–1): 3083 сл, 3058 сл, 3026 сл, 2308 (B—H) с, 2244 (B—H) с, 1621 с, 1599 с, 1539 сл, 1530 сл, 1504 оч. с, 1493 оч. с, 1439 оч. с, 1333 с, 1289 сл, 1274 ср, 1217 ср, 1197 сл, 1156 сл, 1145 сл, 1129 ср, 1102 с, 1077 ср, 1031 с, 1002 сл, 978 сл, 954 сл, 931 оч. с, 893 с, 881 с, 852 сл, 807 ср, 800 сл, 788 сл, 760 оч. с, 743 ср, 728 ср, 698 оч. с, 623 с, 607 с.
Спектр ЯМР 1H (400 МГц; ТГФ-d8; 297.1 K; d, м.д., J, Гц): 7.23—7.17 (м., 8Н, аром.), 7.17—7.05 (м., 24Н, аром. и 20Н, С6Н5СН3), 7.05—6.95 (м., 24Н, аром.), 6.89 (с., 8Н, СН мета-ArN), 6.85 (с., 8Н, CH(Ph)2), 6.65—6.56 (м., 24Н, аром.), 6.42 (д., 4Н, нафталиновая часть, J = 8.03), 5.99 (д.д, 4Н, нафталиновая часть, J1 = 7.03, J2 = 8.03), 4.81 (д., 4Н, нафталиновая часть, J = 7.03), 3.60 (с., 32Н, ТГФ), 2.78 (с., 12Н, ОСН3), 2.32 (с., 12Н, С6Н5СН3), 2.20 (с., 12Н, СН3), 1.74 (с., 32Н, ТГФ), –0.47 (септ. и кварт., 8Н, 10,11BH4, J1 = 27.10, J2 = 81.19). Спектр ЯМР 7Li (155 МГц, ТГФ-d8, 297.1 K): –0.75 (с). Спектр ЯМР 11B{1H} (128 МГц, ТГФ-d8, 297.1 K): –41.76 (с.).
Найдено, %: C 78.93; H 6.47; N 2.01.
Для C190H188B6N4O14Li4Al2 (М = 2898.01)
вычислено, %: C 78.74; H 6.54; N 1.93.
Синтез [(ArBIG-bian)Al(NH3)(μ-OC(H)O)2Li(Еhf)2] (IV). К замороженному темно-синему раствору соединения I, полученного in situ действием избытка CO2 на 0.5 ммоль (0.86 г) раствора дигидрида ([(ArBIG-bian)Al(H)2]–[Li(Thf)4]+, в ТГФ (20 мл) сконденсировали 0.51 ммоль (12.3 мл) NH3. При медленном нагревании реакционной смеси до комнатной температуры цвет раствора изменился с темно-синего на зеленый. Кристаллизацией из полученного раствора выделили зеленые кристаллы IV ∙ 2 Thf ромбоэдрической формы. Выход — 0.51 мг (70%). Тпл = 158—160˚С (разл.).
ИК-спектр (ν, cм–1): 3347 ср (N—H), 3267 сл, 3082 сл, 3057 сл, 3024 сл, 1654 (ОС(Н)О) оч. с, 1600 с, 1527 оч. с, 1494 с, 1351 с, 1290 сл, 1269 ср, 1214 сл, 1181 с, 1153 сл, 1069 с, 1048 ср, 1032 ср, 1003 ср, 930 с, 917 сл, 893 сл, 832 сл, 807 ср, 797 сл, 755 с, 701 оч. с, 683 сл, 659 ср, 622 ср, 606 с, 566 ср.
Спектр ЯМР 1H (400 МГц, C6D6, 298.4 K, d, м.д., J, Гц): 7.25—7.15 (м., 18H, аром. и 2Н, нафталиновая часть), 6.97—6.89 (м., 10H, аром.), 6.89—6.88 (м., 16H, аром.), 6.71 (с., 2H, OC(H)O), 6.71 (д.д., 2Н, нафталиновая часть, J1 = 8.28, J2 = 7.03), 6.63 (с, 4H, CH(Ph)2), 6.14 (д., 2H, нафталиновая часть, J = 7.03), 1.95 (c., 6H, CH3), 0.97 (уш. с., 3H, NH3). Спектр ЯМР 15N (на основании данных ЯМР 1H—15N HSQC, 40.55 МГц, C6D6, 298.4 K, d, м.д.) 11.5.
Найдено, %: C 78.62; H 6.94; N 2.49.
Для C96H97 N3O8LiAl (М = 1454.68)
вычислено, %: C 79.26; H 6.72; N 2.89.
РCA II ∙ 4 C6H5CH3, III ∙ 2 C6H5CH3 и IV ∙ 2 Thf (далее для простоты — II, III, IV) проведен на автоматическом трехкружном дифрактометре Bruker D8 Quest (ω- и φ-сканирование, МоКα-излучение, λ = 0.71073 Å, T = 100(2) K). Сбор дифракционных данных, начальное индицирование отражений и уточнение параметров элементарной ячейки произведены с использованием программы APEX3 [32]. Экспериментальные наборы интенсивностей интегрированы с помощью программы SAINT [33, 34]. Структуры решены методом “dual-space” с помощью программы SHELXT [35] и уточнены полноматричным методом наименьших квадратов по F2hkl в анизотропном приближении для неводородных атомов. Водородные атомы помещены в геометрически рассчитанные положения и уточнены изотропно в модели “наездника”. Атомы водорода формиатных лигандов OC(H)O и фрагментов OB(H)O в II, а также боргидридных групп BH4 в III найдены из разностного синтеза Фурье электронной плотности и уточнены изотропно. Уточнения структур проведены с использованием программного пакета SHELXTL [36, 37]. Учет поглощения произведен по программе SADABS [38]. В кристаллах II, III и IV найдены разупорядоченные в общем положении сольватные молекулы толуола (II, III) и ТГФ (IV) в соотношении 4 : 1, 2 : 1 и 2 : 1 соответственно к молекуле Al комплекса. В комплексе III координированные молекулы ТГФ разупорядочены по двум положениям. Аналогично в комплексе IV один Ph-заместитель лиганда ArBIG-bian разупорядочен по двум положениям. Кристаллографические данные и параметры рентгеноструктурных экспериментов приведены в табл. 1, основные длины связей и валентные углы — в табл. 2—4 для соединений II—IV соответственно.
Таблица 1. Кристаллографические данные, параметры эксперимента и уточнения структур II ∙ 4 C6H5CH3, III ∙ 2 C6H5CH3 и IV ∙ 2 Тhf
Параметр | Значение | ||
II ∙ 4 C6H5CH3 | III ∙ 2 C6H5CH3 | IV ∙ 2 Тhf | |
Брутто-формула | C196H178B2N4O10Li2Al2 | C190H188B6N4O14Li4Al2 | C96H97N3O8LiAl |
M | 2838.87 | 2898.01 | 1454.68 |
Сингония | Триклинная | Моноклинная | Орторомбическая |
Пространственная группа | P¯I | P21/n | Pbca |
Температура, К | 100(2) | 100(2) | 100(2) |
a, Å | 15.3731(8) | 14.8500(6) | 21.8482(7) |
b, Å | 15.6121(8) | 20.6609(9) | 26.3438(9) |
c, Å | 18.1505(9) | 27.0145(11) | 28.0759(9) |
α, град | 65.077(2) | 90 | 90 |
β, град | 82.665(2) | 104.5012(13) | 90 |
γ, град | 75.969(2) | 90 | 90 |
V, Å3 | 3831.1(3) | 8024.4(6) | 16159.5(9) |
Z | 1 | 2 | 8 |
ρ (выч.), г/см3 | 1.230 | 1.199 | 1.196 |
µ, мм–1 | 0.085 | 0.083 | 0.085 |
F(000) | 1504 | 3072 | 6192 |
Размер кристалла, мм | 0.27 × 0.17 × 0.09 | 0.32 × 0.19 × 0.16 | 0.42 × 0.13 × 0.07 |
Область измерений по θ, град | 2.21—27.21 | 2.03—26.02 | 1.71—26.02 |
Интервалы индексов отражений | –19 ≤ h ≤ 19, –20 ≤ k ≤ 20, –23 ≤ l ≤ 23 | –18 ≤ h ≤ 18, –25 ≤ k ≤ 25, –33 ≤ l ≤ 33 | –26 ≤ h ≤ 26, –32 ≤ k ≤ 31, –32≤ l ≤ 34 |
Измеренных отражений | 166326 | 101571 | 159880 |
Независимых отражений (Rint) | 16758 (0.0628) | 15809 (0.0565) | 15905 (0.1045) |
Отражений с I > 2σ(I) | 12743 | 12837 | 10733 |
Поправка на поглощение (макс/мин) | 0.959 / 0.837 | 0.9586 / 0.8004 | 0.746 / 0.613 |
Данные/ограничения/ параметры | 16758 / 1223 / 1069 | 15809 / 230 / 1036 | 15905 / 1159 / 1025 |
GOOF | 1.062 | 1.075 | 1.040 |
R1, wR2 (I > 2σ(I)) | 0.0656 / 0.1342 | 0.0993/0.2214 | 0.0877 / 0.2365 |
R1, wR2 (по всем отражениям) | 0.0926 / 0.1464 | 0.1198 / 0.2316 | 0.1271 / 0.2624 |
Δρmax/Δρmin, e Å–3 | 0.603/–0.469 | 0.626 / –1.088 | 1.158 / –0.594 |
Таблица 2. Основные длины связей и углы в комплексе II ∙ 4 C6H5CH3
Связь | d, Å | Связь | d, Å |
Al(1)—N(1) | 1.8319(18) | — | — |
Al(1)—N(2) | 1.8443(17) | O(1)—C(79) | 1.272(3) |
Al(1)—O(1) | 1.7972(17) | O(2)—C(79) | 1.218(3) |
Al(1)—O(3) | 1.7414(16) | O(3)—B(1) | 1.347(3) |
Li(1)—O(2) | 1.937(5) | O(4)—B(1) | 1.353(3) |
O(2)—Li(1)′ | 2.015(5) | N(1)—C(1) | 1.411(3) |
Li(1)—O(3) | 2.013(5) | N(2)—C(2) | 1.402(3) |
Li(1)—O(4) | 2.318(6) | C(1)—C(2) | 1.375(3) |
Угол | ω, град | Угол | ω, град |
N(1)Al(1)N(2) | 93.09(8) | O(2)Li(1)O(3) | 96.9(2) |
O(1)Al(1)O(3) | 103.07(8) | O(2)′Li(1)O(4) | 100.6(2) |
O(3)Li(1)O(4) | 62.78(15) | Li(1)O(2)Li(1)′ | 96.03(19) |
O(2)Li(1)O(2)′ | 83.97(19) | — | — |
Таблица 3. Основные длины связей и углы в комплексе III ∙ 2 C6H5CH3
Связь | d, Å | Связь | d, Å |
Al(1)—N(1) | 1.842(3) | Li(2)—H(2) | 2.13(5) |
Al(1)—N(2) | 1.842(3) | Li(2)—H(3)′ | 1.93(5) |
Al(1)—O(1) | 1.772(3) | O(1)—B(2) | 1.315(5) |
Al(1)—O(2) | 1.756(3) | O(2)—B(3) | 1.329(5) |
Li(1)—O(3) | 1.946(9) | O(4)—B(2) | 1.403(5) |
Li(1)—O(4) | 2.092(8) | O(4)—B(3) | 1.398(5) |
Li(2)−O(5) | 1.952(8) | N(1)—C(1) | 1.406(5) |
Li(1)—H(1) | 1.90(6) | N(2)—C(2) | 1.400(4) |
Li(1)—H(2) | 1.88(5) | C(1)—C(2) | 1.373(5) |
Угол | ω, град | Угол | ω, град |
N(1)Li(1)N(2) | 92.95(14) | O(3)Li(1)O(4) | 68.0(3) |
O(1)Al(1)—O(2) | 99.94(13) | H(1)Li(1)H(2) | 57(3) |
Al(1)O(1)B(2) | 123.3(3) | O(4)Li(1)H(2) | 99.4(16) |
Al(1)O(2)B(3) | 125.4(3) | O(3)Li(1)H(1) | 99(2) |
O(1)B(2)O(4) | 126.0(4) | O(5)Li(2)H(3)′ | 95(2) |
O(2)B(3)O(4) | 123.2(4) | H(3)′Li(2)H(2) | 136(2) |
B(2)O(4)B(3) | 121.7(3) | H(2)Li(2)O(5) | 118.3(15) |
Таблица 4. Основные длины связей и углы в комплексе IV ∙ 2 Тhf
Связь | d, Å | Связь | d, Å |
Al(1)—N(1) | 1.897(3) | Li(1)—O(6) | 1.942(8) |
Al(1)—N(2) | 1.918(3) | O(1)—C(79) | 1.283(4) |
Al(1)—N(3) | 2.049(3) | O(2)—C(79) | 1.218(4) |
Al(1)—O(1) | 1.833(3) | O(3)—C(80) | 1.260(4) |
Al(1)—O(3) | 1.836(3) | O(4)—C(80) | 1.219(5) |
Li(1)—O(2) | 1.841(8) | N(1)—C(1) | 1.410(4) |
Li(1)—O(4) | 1.881(8) | N(2)—C(2) | 1.379(4) |
Li(1)—O(5) | 1.963(8) | C(1)—C(2) | 1.383(5) |
Угол | ω, град | Угол | ω, град |
N(1)Al(1)N(2) | 86.18(12) | Al(1)O(3)C(80) | 150.1(3) |
N(2)Al(1)N(3) | 169.99(13) | O(1)C(79)O(2) | 127.7(4) |
N(1)Al(1)N(3) | 89.43(12) | O(3)C(80)O(4) | 127.0(4) |
O(1)Al(1)O(3) | 111.40(12) | C(79)O(2)Li(1) | 145.7(3) |
O(1)Al(1)N(1) | 110.92(12) | C(80)O(4)Li(1) | 140.5(4) |
O(3)Al(1)N(1) | 137.57(13) | O(2)Li(1)O(4) | 115.0(4) |
Al(1)O(1)C(79) | 141.0(2) | O(5)Li(1)O(6) | 113.7(4) |
Результаты и их обсуждение
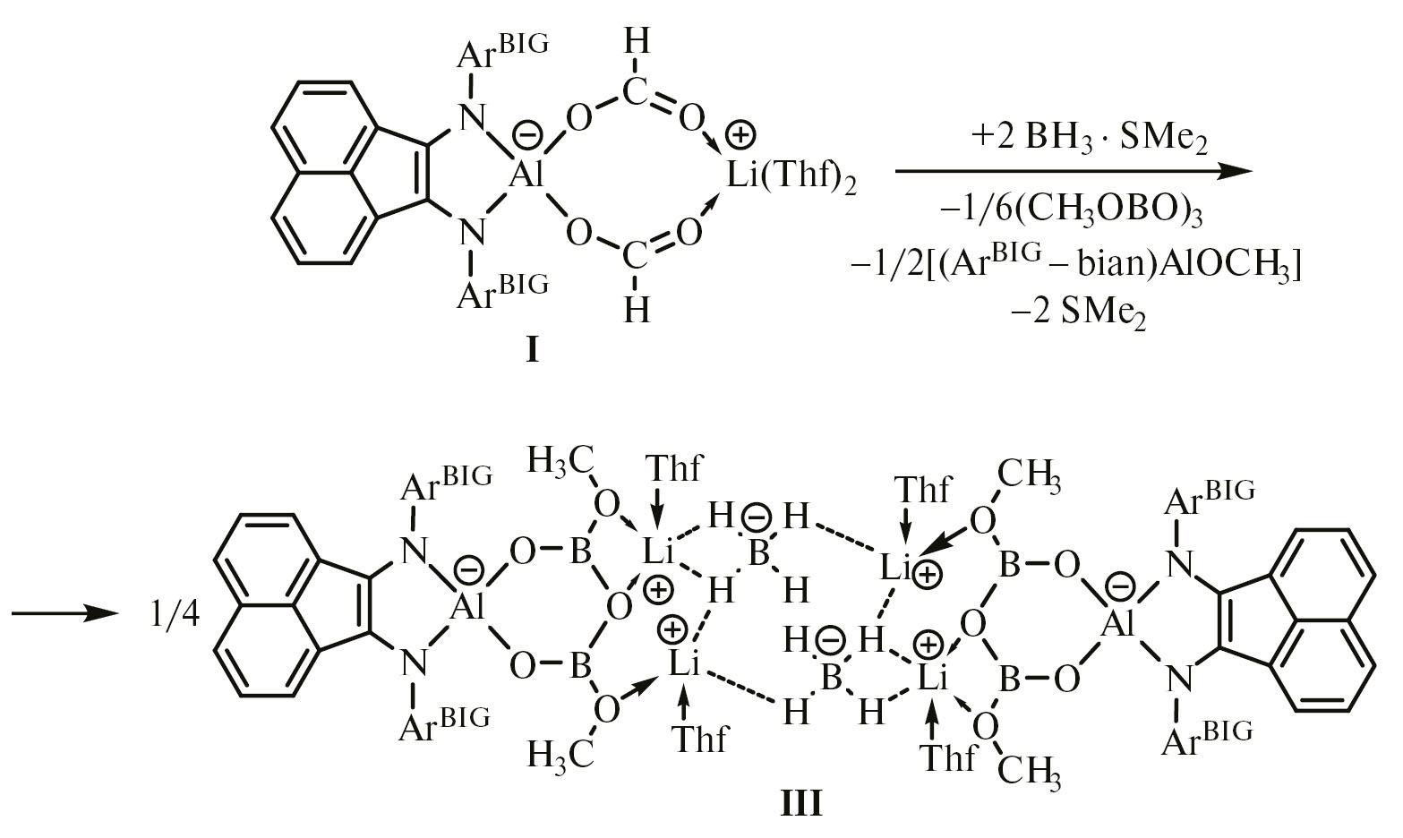
К раствору соединения I в толуоле конденсацией в вакууме добавили 1 мольный эквивалент BH3 · SMe2. Кристаллизацией (~24 ч) из полученной реакционной смеси были выделены синие ромбоэдрические кристаллы продукта гидроборирования [(ArBIG-bian)Al(μ-OC(H)O)(OB(H)OCH3)Li(Тhf)]2 (II) с выходом 55% (схема 2), охарактеризованного методами ИК- и ЯМР-спектроскопии, элементным анализом, а также РСА.
Схема 2.
Структурные параметры комплексов депонированы в Кембриджском центре кристаллографических данных (CCDC № 2255017 (II), 2255018 (III), 2255019 (IV)), ccdc.cam.ac.uk/getstructures).
В результате реакции происходит селективное гидроборирование одной из формиатных групп в I до фрагмента OB(H)OCH3 с образованием димерного производного II за счет связывания атомов лития карбонильными атомами кислорода. Мы предполагаем, что восстановление формиат-иона протекает через промежуточное образование ацеталя, содержащего звено Al—O—CH2—O—BH2. Далее, в результате внутримолекулярной перегруппировки происходит образование фрагмента Al—O—BH2 и координированной к атому лития молекулы формальдегида. Последняя подвергается гидроборированию по связи C=O, и образуется фрагмент Al—OB(H)OCH3. Аналогичный механизм был предложен для образования (NacNac)Al(Et)OB(H)OCH3 при взаимодействии дикетиминатного комплекса алюминия (NacNac)Al(Et)OCHO с BH3 · SMe2 [21].
На основании данных спектроскопии ЯМР (1H, DEPT, 1H—13C HSQC) были определены химические сдвиги протонов и атомов углерода ключевых звеньев в II. Так, для заместителей –OCH3 и –OC(H)O– характерны значения δH 2.78 (с., 6Н) и δC 51.0 (2C) м.д., а также δH 6.36 (с., 2H) и δC 165.8 (2C) м.д. соответственно. Гидрид-ионы, связанные с атомами бора, проявляются в виде уширенного синглета при δH 3.99 м.д. (2H). К сожалению, зарегистрировать сигнал ЯМР ядер 11B не удалось, по всей видимости, из-за его слабой интенсивности и перекрывания с сигналом от борсиликатного стекла ампулы ЯМР.
С целью гидроборирования обеих формиатных групп нами было исследовано взаимодействие I с двумя мольными эквивалентами BH3 ∙ SMe2. Как и в случае синтеза II реакцию проводили в толуоле, после чего кристаллизацией из раствора выделили зеленые пластинчатые кристаллы III с выходом 36% (схема 3) и охарактеризовали их физико-химическими методами, включая РСА.
Схема 3.
Метоксильные группы в III на спектрах ЯМР 1H и 13C{1H} представлены только одним сигналом при δH 2.78 (с., 12H) и δC 50.4 (4C) м.д соответственно, что указывает на эквивалентность четырех фрагментов –OCH3 в растворе. Очевидно, это вызвано быстрыми динамическими процессами относительно шкалы времени регистрации спектров ЯМР. Следует отметить, что химические сдвиги, характеризующие заместители –OCH3, близки к таковым для продукта II. В спектре ЯМР 11B не наблюдается сигнала атомов бора, составляющих шестичленный алюмоксобороксильный гетероцикл соединения III по тем же причинам, что и для II. Однако для атомов бора боргидрид-аниона наблюдается отчетливый сигнал ЯМР 11B{1H} при δB –41.76 м.д. Кроме того, гидрид-ионы группы [BH4]– характеризуются одновременно септетом и квартетом при δH –0.47 м.д., демонстрирующими спин-спиновое взаимодействие 1H—10B (S(10B) = +3; J = 27.10 Гц) и 1H—11B (S(11B) = –3/2; J = 81.19 Гц) соответственно.
Как видно из схемы 3, при образовании соединения III обе формиатные группы восстанавливаются до метоксильных. Относительно низкий выход III позволяет предположить образование нескольких продуктов реакции. Наиболее вероятным сценарием, описывающим данный процесс, является первоначальное формирование продукта гидроборирования II, который затем взаимодействует со вторым эквивалентом BH3 ∙ SMe2. Далее, в результате серий внутри- и межмолекулярных взаимодействий происходят перегруппировки, приводящие к образованию не только III, но и, вероятно, производного алюминия состава [(ArBIG-bian)AlOCH3], а также триметоксибороксина (CH3OBO)3 в мольных соотношениях 1/4 : 1/2 : 1/6 соответственно. Для подтверждения этого предположения мы провели реакцию II с 1 мольным эквивалентом боран-диметилсульфида в ампуле для регистрации спектров ЯМР в ТГФ-d8. Через 5 ч после смешения реагентов в спектрах ЯМР 1H и 11B{1H} начали появляться сигналы, относящиеся к соединению III, а также к триметоксибороксину, для которого характерны синглеты при δH 3.47 и δB 18.41 м.д. [39]. После окончания реакции (~2 сут) соотношение интегральных интенсивностей сигналов, принадлежащих метоксильным группам в (CH3OBO)3 и III, составило 1 к 2, что соответствует мольному соотношению этих продуктов согласно схеме 3. К сожалению, нам не удалось идентифицировать с помощью спектроскопии ЯМР предполагаемое соединение [(ArBIG-bian)AlOCH3] ввиду множества перекрывающихся сигналов в областях, характерных для подобного типа соединений. Многократные попытки выделить его в индивидуальном кристаллическом состоянии также оказались безуспешными.
Для взаимодействия бис-формиата I с аммиаком к замороженному раствору I в ТГФ конденсацией добавили 1 мольный эквивалент NH3. После нагревания реакционной смеси до комнатной температуры цвет раствора изменился с темно-синего на зеленый. Кристаллизацией (~40 ч) из данного раствора были выделены зеленые ромбоэдрические кристаллы производного IV с выходом 70% (схема 4) и охарактеризованы физико-химическими методами анализа, а также РСА.
Схема 4.
В результате данной реакции не наблюдается ни аммонолиза амидных связей Al—N, ни взаимодействия аммиака с формиатными группами комплекса. Вместо этого происходит координация одной молекулы аммиака на металлоцентр. Согласно данным ЯМР 1H в растворенном состоянии в IV оба формиатных протона являются эквивалентными и проявляются в виде синглета при δH 6.71 м.д. (2H, OC(H)O). Для атомов углерода OC(H)O групп характерен сигнал ЯМР 13C{1H} с химическим сдвигом δC 166.9 м.д. Следует отметить, что координация молекулы NH3 атомом алюминия приводит к смещению сигнала протонов формиатных фрагментов в слабое поле по сравнению с исходным соединением I на 0.27 м.д. Атомы водорода молекулы аммиака наблюдаются в виде уширенного синглета при δH 0.97 м.д. (3H). Также, на основании данных ЯМР 1H—15N HSQC-эксперимента, был определен химический сдвиг атома азота координированной молекулы NH3, равный δN 11.5 м.д.
Строение соединений II, III и IV было установлено методом РСА. Молекулярные структуры комплексов II, III и IV показаны на рис. 1, 2 и 3 соответственно.
Рис. 1. Молекулярная структура комплекса II. Тепловые эллипсоиды приведены с 30%-ной вероятностью. Атомы водорода, за исключением связанных с атомами C(79), C(80), C(79)′, C(80)′, B(1) и B(1)′, а также 2,6-дибензгидрил-4-метилфенильные заместители при атомах азота, не показаны.
Рис. 2. Молекулярная структура комплекса III. Тепловые эллипсоиды приведены с 30%-ной вероятностью. Атомы водорода, за исключением связанных с атомами C(79), C(80), C(79)′, C(80)′, B(1) и B(1)′, а также 2,6-дибензгидрил-4-метилфенильные заместители при атомах азота не показаны.
Рис. 3. Молекулярная структура комплекса IV. Тепловые эллипсоиды приведены с 30%-ной вероятностью. Атомы водорода, за исключением связанных с атомами N(3), C(79) и C(80), не показаны.
Комплекс II представляет собой центросимметричный димер. Центр инверсии располагается в середине плоского четырехчленного металлоцикла Li(1)O(2)Li(1)′O(2)′. Формирование димерной структуры II обусловлено координацией атомов лития Li(1) и Li(1)′ мостиковыми атомами кислорода O(2) и O(2)′ двух симметричных формиатных лигандов. В молекуле II формиатный и метоксибороксиновый заместители являются тридентатными мостиковыми лигандами c различными типами координации. MeOB(H)O лиганд, связывая атомы алюминия и лития, координируется по типу μ2-kO:k2O,O′. Формиатный OС(H)O лиганд, связывающий три атома металла, имеет тип координации μ3-kO:k2O′ [40, 41].
Мономерные фрагменты димера II кристаллографически эквивалентны, поэтому обсуждение геометрических параметров будет приведено для одного из них. Лигандное окружение атома алюминия Al(1) обладает геометрией искаженного тетраэдра (геометрический индекс τ4 = 0.86) [42], а окружение пятикоординационного атома лития Li(1) близко к квадратно-пирамидальному (геометрический индекс τ5 = 0.09). Межатомные расстояния Al(1)—O(1), O(1)—C(79) и O(2)—C(79) фрагмента OC(H)O в II незначительно отличаются от таковых в исходном комплексе I [25] и составляют 1.7972(17), 1.272(3) и 1.218(3) Å соответственно (табл. 2). При этом расстояние O(2)—C(79) (1.218(3) Å) типично для двойной связи. Согласно литературным данным к настоящему моменту известен только один пример соединения, в котором имеется связанный с атомом алюминия фрагмент OB(H)OCH3 — дикетиминатный комплекс алюминия (NacNac)Al(Et)OB(H)OCH3 [21]. В II, как и в случае дикетиминатного производного, атом бора обладает тригональной геометрией. Несмотря на то что длины аналогичных связей рассматриваемых фрагментов OB(H)OCH3 в (NacNac)Al(Et)OB(H)OCH3 и II близки, в последнем из-за координирования атомом лития наблюдается практически полное выравнивание межатомных расстояний O(3)—B(1) и B(1)—O(4), равных 1.347(3) и 1.353(3) Å соответственно. Вместе с тем в дикетиминатном производном [21] для этих связей характерны значения в 1.318(2) и 1.357(3) Å.
Как и комплекс II, производное III представляет собой центросимметричный димер с центром инверсии, находящимся на линии, соединяющей атомы Li(2) и Li(2)′. Здесь димеризация реализуется благодаря нековалентным взаимодействиям гидрид-ионов боргидридных фрагментов с ионами лития. Каждая из BH4 групп образует мостики Li(1)—H(2)—Li(2) и Li(1)′—H(2)′—Li(2)′ по μ32-типу, в то время как мостики Li(1)—H(1), Li(1)′—H(1)′, Li(2)—H(3)′ и Li(2)′—H(3) характеризуются μ21-типом связывания [43]. В совокупности, атомы B(1), H(2), Li(2), H(3)′, B(1)′, H(2)′, Li(2)′ и H(3) формируют восьмичленную циклическую структуру, приводя к образованию димера III. Ввиду кристаллографической эквивалентности мономерных частей III дальнейшее обсуждение геометрических параметров будет приведено только для одной из них. Кроме взаимодействия с боргидридными фрагментами, атомы лития образуют координационные связи с атомами кислорода Li(1)—O(3), Li(1)—O(4) и Li(2)—O(5) диметоксибороксинового звена (OBOCH3)2O, а также с атомами кислорода молекул ТГФ. Атом Li(1) пятикоординирован, и его лигандное окружение представляет собой искаженную тетрагональную пирамиду (геометрический индекс τ5 = 0.16). Координационное окружение атома Li(2) представляет собой искаженный тетраэдр (геометрический индекс τ4 = 0.75). Спироцентрированный атом алюминия (КЧ 4) координирован ArBIG-bian лигандом в дианионной форме, а также диметоксибороксиновым звеном. Длины связей Al(1)—O(1) и Al(1)—O(2) в III (1.772(3) и 1.756(3) Å соответственно, см. табл. 3) практически равны длинам связей Al—O (средн. 1.763 Å) в исходном соединении I [25]. Кольцо AlB2O3 является плоским, о чем свидетельствует сумма углов цикла, равная 719.54˚, т.е. фактически равная (в рамках погрешностей) сумме углов плоского шестиугольника (720˚). Расположение циклов Al(1)—N(1)—C(1)—C(2)—N(2) и Al(1)—O(1)—B(2)—O(4)—B(3)—O(2) близко к ортогональному (89.3˚). К настоящему времени известно несколько NacNac-производных, содержащих циклическое AlB2O3 ядро [44—47], однако комплекс на основе аценафтен-1,2-дииминового лиганда с таким фрагментом получен впервые.
Соединение IV является продуктом координации молекулы аммиака бис-формиатом I, в результате чего атом алюминия становится пятикоординационным, а его лигандное окружение приобретает промежуточную геометрию между тетрагональной пирамидой и тригональной бипирамидой (геометрический индекс τ5 = 0.54).
Увеличение координационного числа алюминиевого металлоцентра приводит к некоторому удлинению связей Al—N (ср. 1.907 Å) и Al—O (средн. 1.835 Å) (см. табл. 4) по сравнению с исходным I, для которого аналогичные значения равны 1.843 Å (средн.) и 1.763 Å (средн.) соответственно [25]. Атомы N(2), Al(1) и N(3) лежат практически на прямой линии (угол N(2)—Al(1)—N(3) составляет 170˚). Атом Li(1) дополнительно координирован двумя молекулами ТГФ и имеет искаженное тетраэдрическое окружение (τ4 = 0.91). Во всех комплексах II—IV длины связей N(1)—C(1), C(1)—C(2) и N(2)—C(2) близки между собой и характерны для дианионного состояния ArBIG-bian лиганда.
Таким образом, нами реализовано селективное гидроборирование бис-формиатного комплекса I боран-диметилсульфидом в мольных соотношениях 1 : 1 и 1 : 2 с образованием продукта моногидроборирования II в первом случае и смеси III, триметоксибороксина и предположительно комплекса [(ArBIG-bian)AlOCH3] во втором. Наблюдаемые продукты гидроборирования отличаются от продуктов восстановления I пинаколбораном [26]. Образование с высоким выходом аммиачного аддукта IV, не приводящее к аммонолизу ключевых связей в I, позволяет определить подобного рода реакции в качестве перспективных для гидроформилирования аминов оксидом углерода (IV) с использованием в качестве исходных компонентов аценафтен-1,2-дииминовых производных непереходных металлов.
Авторы заявляют, что у них нет конфликта интересов.
Финансирование
Исследование выполнено за счет гранта Российского научного фонда № 20-13-00052 (https://rscf.ru/project/20-13-00052/) с использованием научного оборудования Центра коллективного пользования “Аналитический центр ИМХ РАН” при поддержке гранта “Обеспечение развития материально-технической инфраструктуры центров коллективного пользования научным оборудованием” (Уникальный идентификатор RF—2296.61321X0017, номер соглашения 075-15-2021-670).
Об авторах
М. В. Москалев
Институт металлоорганической химии им. Г. А. Разуваева РАН
Email: skatova@iomc.ras.ru
Россия, Нижний Новгород
А. А. Скатова
Институт металлоорганической химии им. Г. А. Разуваева РАН
Автор, ответственный за переписку.
Email: skatova@iomc.ras.ru
Россия, Нижний Новгород
А. А. Базанов
Институт металлоорганической химии им. Г. А. Разуваева РАН
Email: skatova@iomc.ras.ru
Россия, Нижний Новгород
Е. В. Баранов
Институт металлоорганической химии им. Г. А. Разуваева РАН
Email: skatova@iomc.ras.ru
Россия, Нижний Новгород
И. Л. Федюшкин
Институт металлоорганической химии им. Г. А. Разуваева РАН
Email: skatova@iomc.ras.ru
Россия, Нижний Новгород
Список литературы
- Lamb W.F., Wiedmann T., Pongratz J. et al. // Environ. Res. Lett. 2021. V. 16. P. 073005.
- Liu Q., Wu L., Jackstell R. et al. // Nat. Commun. 2015. V. 6. P. 5933.
- Wang W.-H., Himeda Y., Muckerman J.T. et al. // Chem. Rev. 2015. V. 115. № 23. P. 12936.
- Wang W.-H., Feng X., Bao M. Transformation of Carbon Dioxide to Formic Acid and Methanol. SpringerBriefs in Molecular Science, Springer Nature, Switzerland AG, 2018. 128 p.
- Ye R.-P., Ding J., Gong W. et al. // Nat. Commun. 2019. V. 10. P. 5698.
- Zhang Y., Zhang T., Das S. // Green Chem. 2020. V. 22. P. 1800.
- Ren M., Zhang Y., Wang X. et. al. // Catalysts 2022. V. 12. P. 403.
- Navarro M., Sánchez-Barba L.F., Garcés A. et al. // Catal. Sci. Technol. 2020. V. 10. P. 3265.
- Laiwattanapaisarn N., Virachotikul A., Phomphrai K. // Dalton Trans. 2021. V. 50. P. 11039.
- Yepes Y.R., Mesías-Salazar Á., Becerra A. et al. // Organometallics. 2021. V. 40. P. 2859.
- Saltarini S., Villegas-Escobar N., Martínez J. et al. // Inorg. Chem. 2021. V. 60. P. 1172.
- Rauch M., Parkin G. // J. Am. Chem. Soc. 2017. V. 139. P. 18162.
- Rauch M., Strater Z., Parkin G. // J. Am. Chem. Soc. 2019. V. 141. P. 17754.
- Huang W., Roisnel T., Dorcet V. et al. // Organometallics. 2020. V. 39. P. 698.
- Caise A., Hicks J., Fuentes M.A. et al. // Chem. Eur. J. 2021. V. 27. P. 2138.
- Anker M.D., Arrowsmith M., Bellham P. et al. // Chem. Sci. 2014. V. 5. P. 2826.
- Yan B., Dutta S., Ma X. et al. // Dalton Trans. 2022. V. 51. P. 6756.
- Abdalla J.A.B., Riddlestone I.M., Tirfoin R. et al. // Angew. Chem. Int. Ed. 2015. V. 54. P. 5098.
- Franz D., Jandl C., Stark C. et al. // ChemCatChem. 2019. V. 11. P. 5275.
- Chia C.-C., Teo Y.-C., Cham N. et al. // Inorg. Chem. 2021. V. 60. P. 4569.
- Caise A., Jones D., Kolychev E.L. et al. // Chem. Eur. J. 2018. V. 24. Р. 13624.
- Соколов В.Г., Копцева Т.С., Москалев М.В. и др. // Изв. АН. Сер. хим. 2017. № 9. С. 1569 (Sokolov V.G., Koptseva T.S., Moskalev M.V. et al. // Russ. Chem. Bull. 2017. V. 66. № 9. P. 1569). https://doi.org/10.1007/s11172-017-1926-1
- Moskalev M.V., Razborov D.A., Bazanov A.A. et al. // Mendeleev Commun. 2020. V. 30. P. 94.
- Koptseva T.S., Moskalev M.V., Skatova A.A. et al. // Inorg. Chem. 2022. V. 61. P. 206.
- Moskalev M.V., Sokolov V.G., Koptseva T.S. et al. // J. Organomet. Chem. 2021. V. 949. P. 121972.
- Копцева Т.С., Москалев М.В., Скатова А.А. и др. // Изв. АН. Сер. хим. 2022. № 8. С. 1626 (Koptseva T.S., Moskalev M.V., Skatova A.A. et al. // Russ. Chem. Bull. 2022. V. 71. № 8. P. 1626). https://doi.org/10.1007/s11172-022-3571-6
- Koptseva T.S., Skatova A.A., Ketkov S.Y. et al. // Organometallics. 2023. V. 42. P. 123.
- Guzmán J., Torguet A., García-Orduña P. et al. // J. Organomet. Chem. 2019. V. 897. P. 50.
- Li Z., Yu Z., Luo X. et al. // RSC Adv. 2020. V. 10. P. 33972.
- Lin S., Liu J., Ma L. // J. CO2 Util. 2021. V. 54. P. 101759.
- Zhai G., Liu Q., Ji J. et al. // J. CO2 Util. 2022. V. 61. P. 102052.
- APEX3. Bruker Molecular Analysis Research Tool. Version 2018.7-2. Madison (WI, USA): Bruker AXS Inc., 2018.
- SAINT. Data Reduction and Correction Program. Version 8.38A. Madison (WI, USA): Bruker AXS Inc., 2017.
- Krause L., Herbst-Irmer R., Sheldrick G.M., Stalke D. // J. Appl. Cryst. 2015. V. 48. P. 3.
- Sheldrick G.M. // Acta Crystallogr. A. 2015. V. 71. P. 3.
- Sheldrick G.M. SHELXTL. Version 6.14. Structure Determination Software Suite. Madison (WI, USA): Bruker AXS, 2003.
- Sheldrick G.M. // Acta Crystallogr. C. 2015. V. 71. P. 3.
- Sheldrick G.M. SADABS. Version 2016/2. Bruker/Siemens Area Detector Absorption Correction Program. Madison (WI, USA): Bruker AXS, 2016.
- Leong B.-X., Lee J., Li Y. et al. // J. Am. Chem. Soc. 2019. V. 141. P. 17629.
- Saxena P., Thirupathi N. // Polyhedron. 2015. V. 98. P. 238.
- Lago A.B., Carballo R., Lezama L. et al. // J. Solid State Chem. 2015. V. 231. P. 145.
- Yang L., Powell D.R., Houser R.P. // Dalton Trans. 2007. P. 955.
- Ruiz J.C.G., Nöth H., Warchhold M. // Eur. J. Inorg. Chem. 2008. P. 251.
- Yang Z., Ma X., Oswald R.B. et al. // J. Am. Chem. Soc. 2006. V. 128. P. 12406.
- Ma X., Yang Z., Wang X. et al. // Inorg. Chem. 2011. V. 50. P. 2010.
- Ma X., Zhong M., Liu Z. et al. // Z. Kristallogr. NCS. 2012. V. 227. P. 580.
- Yang Z., Hao P., Liu Z. et al. // J. Organomet. Chem. 2014. V. 751. P. 788.
Дополнительные файлы









