Синтез и строение комплексов лантаноидов (Sm, Dy) с 9,10-фенантрендииминовым редокс-активным лигандом
- Авторы: Синица Д.К.1, Акимкина Д.П.1,2, Сухих Т.С.1, Конченко С.Н.1, Пушкаревский Н.А.1
-
Учреждения:
- Институт неорганической химии им. А. В. Николаева СО РАН
- Новосибирский государственный университет
- Выпуск: Том 50, № 2 (2024)
- Страницы: 124-137
- Раздел: Статьи
- URL: https://ogarev-online.ru/0132-344X/article/view/261617
- DOI: https://doi.org/10.31857/S0132344X24020078
- EDN: https://elibrary.ru/ORFUQM
- ID: 261617
Цитировать
Полный текст
Аннотация
Исследовано комплексообразование редокс-активного лиганда бис-(N, N'-2,6-диизопропилфенил)-9,10-фенантрендиимина (DippPDI) с катионами щелочных металлов (Li, K) и лантаноидов (Sm, Dy). Восстановление DippPDI избытком щелочного металла приводит к дианионной форме лиганда (DippPDA2–), которая кристаллизуется с катионом калия в виде координационного полимера [K2(DippPDA)(Thf)3] (Thf = тетрагидрофуран, ТГФ). Взаимодействие эквимолярных количеств литиевой соли с дианионной формой лиганда и нейтрального диимина приводит к образованию литиевого комплекса с анион-радикальной формой (DippPSI· –), закристаллизованной в виде [Li(DippPSI)(Thf)2]. Комплекс самария(III) [SmCp*(DippPDA)(Тhf)] (I) получен при восстановлении DippPDI самароценом [SmCp*2(Thf)2] (Cp* = пентаметилциклопентадиенид); в реакции происходит окисление как катиона самария(II), так и аниона Cp*–. С аналогичным иттербоценом DippPDI не взаимодействует. Комплексы диспрозия(III) получены в реакциях ионного обмена между DyI3(Thf)3.5 и калиевой или литиевой солями с дианионом DippPDA2–. В реакции с калиевой солью образуются подобные комплексы [Dy(DippPDA)I(Thf)2] (IIThf) и [Dy(DippPDA)I(Thf)(Et2O)] (IIEt2O) в зависимости от используемого растворителя – смеси ТГФ – гексан или диэтиловый эфир – н-гексан соответственно. В IIThf наблюдается координация катиона диспрозия π-системой сопряженного фрагмента NCCN лиганда; в IIEt2O такая координация отсутствует. В реакции с Li2(DippPDA) образуется двойная комплексная соль [Li(Тhf)3(Et2O)][DyI2(DippPDA)(Тhf)] (III, кристаллизация из смеси ТГФ – Et2O). Кристаллизация из ТГФ приводит к соли [Li(Тhf)4][DyI2(DippPDA)(Thf)] (III'), содержащей тот же анион, что и III. Строение всех новых комплексов исследовано методом РСА (CCDC № 2260307–2260313).
Полный текст
В современной координационной химии редокс-активные лиганды вызывают повышенный интерес. Такие лиганды (иногда также называемые “non-innocent”) могут обратимо изменять свой заряд, что позволяет расширить возможности окислительно-восстановительных превращений в комплексах с ними. Известно большое количество структурных типов редокс-активных лигандов [1]. Среди них выделяются три семейства диоксоленовых и родственных им лигандов, широко известных по проявлению редокс-таутомерии в их комплексах [2]: в нейтральной форме (L0) это о-хиноны, о-иминохиноны и 1,2-фенилендиимины. В составе комплексов они способны обратимо принимать до двух электронов, переходя между нейтральной, анион-радикальной и дианионной формами (cхема 1, a). Для лигандов с близкими по донорным свойствам заместителями в диоксоленовом C6-цикле, типичные редокс-потенциалы этих переходов (L0/L–• и L–•/L2–) смещаются в более восстановительную область при движении от хинонов к дииминам.
Редокс-переходы в лиганде могут быть использованы для переноса электронов в каталитических реакциях [3, 4], активации или обратимого связывания малых молекул [5, 6]. Возможность существования нескольких устойчивых состояний для комплексов с редокс-активными лигандами может быть использована для создания элементов молекулярной электроники (например, элементов памяти или переключателей) и спиновых меток [7–10]. Сочетание таких лигандов с катионами лантаноидов (Ln) может привести к комплексам, проявляющим необычную для соединений этих металлов редокс-активность, а также демонстрирующим магнитные или фотофизические свойства, связанные с редокс-состоянием лиганда [11]. Комплексы лантаноидов с о-хиноновыми лигандами исследованы достаточно хорошо [12–14], в то время как для родственных о-иминохиноновых [15–18] и о-фенилендииминовых [19–21] лигандов известны лишь единичные примеры. Для ряда комплексов неодима [16], диспрозия и гольмия [18] с редокс-активным 4,6-ди-трет-бутил-N-(2,6-ди-изопропилфенил)-о-иминобензохиноновым лигандом в различных зарядовых состояниях (DippIQ, DippISQ•–, DippAP2–) были исследованы редокс-свойства и показана возможность восстановления элементарных халькогенов за счeт дианионной формы лиганда. Для восстановления менее активных субстратов, например пниктогенов и пниктогенидных комплексов [22, 23], необходимы более высокие восстановительные потенциалы, которых можно достичь при использовании дииминовых лигандов. Комплексы лантаноидов с родственными α-дииминовыми лигандами (1,4-диаза-1,3-диеновыми (DAD), дииминоаценафтеновыми (BIAN) и 2,2'-бипиридиновыми/бипиримидиновыми (cхема 1, б) изучены очень хорошо. Для них описаны различные варианты синтеза, известны примеры стерически-индуцированных редокс-переходов [24], а также показана возможность редокс-изомерии [25–27]. В то же время химия комплексов лантаноидов с 1,2-фенилендииминовыми лигандами практически не развита. Описан лишь синтез и спектроскопическая характеризация ряда комплексов Ln с незамещенным 1,2-фенилендиамином [19–21], однако данные о молекулярном строении этих комплексов не получены; комплексы с анионными формами этого лиганда также неизвестны. Мы выбрали лиганд бис-(N-2,6-диизопропилфенил)-9,10-фенантрендиимин (DippPDI) с объемными заместителями у донорных атомов азота, способствующих образованию молекулярных комплексов. Этот лиганд образует анион-радикальную фенантренсемидииминовую (DippPSI•–) и дианионную фенантрендиамидную (DippPDA2–) формы. В нескольких работах описана его реакционная способность при координации к переходным металлам и при восстановлении щелочными металлами, а также его восстановительные свойства [28]. Целью настоящей работы являлось исследование методов синтеза комплексов лантаноидов с этим лигандом и их структурная характеризация. Из ряда лантаноидов были выбраны Sm и Yb (как обладающие доступными переходами Ln3+/Ln2+) и Dy для сопоставления со структурами известных комплексов с иминохиноновым лигандом DippAP2–.
Схема 1. Обобщенное строение изучаемых лигандов и редокс-переходы в них (а); наиболее исследованные типы дииминовых редокс-активных лигандов и лиганд, изучаемый в этой работе (б).
Экспериментальная часть
Все операции по синтезу, выделению и очистке соединений проводили в бескислородной атмосфере (аргон высокой чистоты или вакуум) с использованием аппаратуры Шленка, вакуумированных запаянных ампул и перчаточного бокса с аргоновой атмосферой. Растворители для реакций подвергали обезвоживанию, дегазировали и перегоняли в инертной атмосфере над сплавом Na – K. Исходные лантаноцены [LnCp*2(Thf)2] (Ln = Sm, Yb; Cp* = пентаметилциклопентадиенид; Thf = тетрагидрофуран, ТГФ) [29], иодид диспрозия [DyI3(Thf)3.5] [30], DippPDI [31] синтезировали по известным методикам. Все остальные реагенты коммерчески доступны. ИК-спектры записывали на спектрометре ФТ-801 (“Симекс”) в таблетках KBr, приготовленных путем прессования в инертной атмосфере. Элементный анализ выполняли с помощью автоматического анализатора Vario Micro Сube (Elementar) аналитической лаборатории ИНХ СО РАН. Спектры ЯМР 1H регистрировали на спектрометре Bruker Avance 500 на частоте 500.13 MГц. В качестве внутреннего стандарта использовали сигналы растворителя (1.72 м. д. для ТГФ-d8). Монокристаллы для рентгеноструктурного анализа (РСА) отбирали из массы вещества после очистки и кристаллизации продукта, а также выращивали в запаянных ампулах, содержащих целевое вещество и небольшое количество растворителя, выдерживаемых при циклически изменяющейся температуре (20–45 °C с интервалом в 2 ч).
Синтез [K2(DippPDA)(Тhf)3]. Метод 1. В сосуд Шленка помещали DippPDI (200 мг, 0.380 ммоль) и избыток металлического калия (200 мг, 5.13 ммоль). К полученной смеси сконденсировали при охлаждении 10 мл ТГФ и перемешивали при комнатной температуре в течение 24 ч. Спустя 30 мин после начала перемешивания раствор поменял цвет с красного на темно-синий, с дальнейшим постепенным изменением на темно-красный. Полученный раствор отделяли от непрореагировавшего калия и упаривали досуха. К сухому остатку сконденсировали 5 мл гексана. Выдерживание при комнатной температуре привело к образованию красных кристаллов продукта, совместно с небольшим количеством второй фазы, желтым мелкокристаллическим веществом. Кристаллы [K2(DippPDA)(Тhf)3], подходящие для РСА отбирали из смеси.
Метод 2. В сосуд Шленка помещали DippPDI (100 мг, 0.190 ммоль) и KC8 (51 мг, 0.38 ммоль). К полученной смеси сконденсировали при охлаждении 10 мл ТГФ и перемешивали при комнатной температуре в течение 24 ч. Спустя 30 мин после начала перемешивания раствор над осадком поменял цвет с красного на темно-синий, с дальнейшим постепенным изменением на темно-красный. Раствор отделяли от осадка углерода с помощью фильтрования и концентрировали до 2 мл. Поверх раствора в вакууме сконденсировали 5 мл гексана. Выдерживание смеси при комнатной температуре привело к образованию красно-коричневого мелкокристаллического продукта. Раствор декантировали, продукт высушивали в вакууме. Выход – 95 мг (61%).
Найдено, %: C 66.7; Н 7.2; N 3.8.
Для C50H66KN2O3.
вычислено, %: C 73.1; Н 8.1; N 3.4.
ИК-спектр (ν, см–1): 3503 ср, 3393 ср, 2962 с, 2867 ср, 1590 ср, 1466 с, 1411 ср, 1375 ср, 1341 ср, 1267 сл, 1057 сл, 884 сл, 790 сл, 752 ср, 723 ср. ЯМР 1Н (ТГФ-d8; δ, м. д.): 0.73 д., 0.84 д., 0.97 д., 1.04 д. (все 6H, CH(CH3)2, 3J = 6.8 Гц), 1.77 м. (CH2, ТГФ), 3.32 септ., 3.45 септ. (все 2Н, CH(CH3)2, 3J = 6.8 Гц), 3.62 м. (CH2, ТГФ), 6.18 т. (1Н, C(2)-H или C(3)-H фенантрена, J = 7.3 Гц), 6.53 т. (1Н, C(3)-H или C(2)-H фенантрена, J = 7.5 Гц), 6.73–6.83 м. (8Н, м- и п-Dipp, C(5)-H и C(8)-H фенантрена), 7.60 м. (2H, C(6)-H и C(7)-H фенантрена), 8.28 д. (1Н, C(1)-H или C(4)-H фенантрена, J = 7.8 Гц), 8.36 д. (1Н, C(4)-H или C(1)-H фенантрена, J = 7.8 Гц).
Синтез [Li(DippPSI)(Тhf)2]. В сосуд Шленка помещали DippPDI (100 мг, 0.190 ммоль) и избыток металлического лития (10 мг, 1.43 ммоль). К полученной смеси сконденсировали при охлаждении 10 мл ТГФ и перемешивали при комнатной температуре в течение 24 ч. Спустя 30 мин после начала перемешивания цвет раствора изменился с красного на темно-синий, в дальнейшем он менялся на темно-красный. Непрореагировавший литий отделяли фильтрованием и к раствору при перемешивании добавляли DippPDI (100 мг, 0.190 ммоль). Цвет раствора спустя час изменился на темно-синий. Растворитель полностью удаляли в вакууме без нагревания; к маслянистому остатку добавляли 3 мл гексана. Образовавшийся осадок продукта отфильтровывали и высушивали. Выход – 109 мг (85%). Кристаллы, пригодные для РСА, выращивали из смеси растворителей ТГФ – гексан (1 : 3).
Найдено, %: C 81.7; Н 8.9; N 4.1.
Для C46H58LiN2O2
вычислено, %: C 81.5; Н 8.6; N 4.1.
ИК-спектр (ν, см–1): 3393 ср, 3058 ср, 2960 с, 2867 с, 1590 ср, 1455 с, 1425 с, 1381 ср, 1361 ср, 1338 ср, 1262 ср, 1108 сл, 1045 ср, 933 сл, 753 с, 721 ср, 591 сл.
Синтез [SmCp*(DippPDA)(Тhf)] (I). В сосуд Шленка помещали [SmCp*2(Тhf)2] (200 мг, 0.350 ммоль) и DippPDI (186 мг, 0.350 ммоль). К полученной смеси при охлаждении сконденсировали 10 мл ТГФ, раствор перемешивали при комнатной температуре в течение 24 ч. Спустя сутки исходный растворитель полностью удаляли в вакууме без нагревания; к твердому остатку добавляли гексан. Образовавшийся осадок продукта отфильтровывали и промывали гексаном (3 × 5 мл). Выход I 254 мг (82%). Кристаллы, пригодные для РСА, выращивали из смеси растворителей ТГФ – гексан (1 : 3).
Найдено, %: C 71.0; Н 8.0; N 2.8.
Для комплекса C52H65N2OSm (I)
вычислено, %: C 70.6; Н 7.4; N 3.2.
ИК-спектр (ν, см–1): 3676 сл, 3393 ср, 2961 с, 2924 с, 2866 с, 1589 ср, 1465 с, 1377 ср, 1340 ср, 1253 сл, 1117 сл, 1043 сл, 865 сл, 790 сл, 753 ср, 723 ср, 572 ср.
Синтез [DyI(DippPDA)(Тhf)(solv)] (solv = Тhf, IIThf; solv = Et2O, IIEt2O). В сосуд Шленка помещали избыток металлического калия (33 мг, 0.84 ммоль) и DippPDI (200 мг, 0.380 ммоль) и сконденсировали 10 мл ТГФ при охлаждении жидким азотом. Через 12 ч перемешивания при комнатной температуре темно-красный раствор соли отделяли от непрореагировавшего калия и к этому раствору при перемешивании добавляли [DyI3(Тhf)3.5] (302 мг, 0.380 ммоль). Реакционную смесь перемешивали в течение 24 ч. Образовавшийся осадок KI отделяли с помощью центрифугирования; раствор упаривали досуха. Далее в реакционный сосуд сконденсировали 5 мл гексана, образовавшийся осадок продукта отфильтровывали и высушивали. Выход – 273 мг (75%). Желтые кристаллы комплексов IIThf и IIEt2O, пригодные для РСА, получали при перекристаллизации из смеси ТГФ – н-гексан (1 : 3) или диэтиловый эфир – н-гексан (1 : 3) соответственно.
Найдено, %: C 57.7; Н 6.2; N 3.3.
Для комплекса C46H58DyIN2O2 (IIThf)
вычислено, %: C 57.5; Н 6.1; N 2.9.
ИК-спектр (ν, см–1): 3392 ср, 3060 сл, 2962 с, 2866 с, 1589 ср, 1464 с, 1424 с, 1371 с, 1340 с, 1254 с, 1115 сл, 1018 ср, 926 сл, 863 ср, 786 ср, 753 с, 723 ср, 655 сл.
Синтез [Li(Thf)3(Et2O)][DyI2(DippPDA)(Thf)] (III). В сосуд Шленка помещали избыток металлического лития (10 мг, 1.4 ммоль) и DippPDI (200 мг, 0.380 ммоль) и сконденсировали 10 мл ТГФ при охлаждении жидким азотом. Через 12 ч перемешивания при комнатной температуре темно-красный раствор соли отделяли от непрореагировавшего лития и к нему при перемешивании добавляли [DyI3(Тhf)3.5] (302 мг, 0.380 ммоль). Реакционную смесь перемешивали в течение 24 ч при температуре 70°C. Желто-оранжевый раствор сконцентрировали в вакууме до 1 мл и отделяли осадок LiI центрифугированием. На раствор в ТГФ наслаивали 3 мл диэтилового эфира. В результате диффузии образовались оранжево-красные кристаллы. Маточный раствор декантировали, продукт высушили в вакууме. Выход – 299 мг (60%).
Найдено, %: C 53.0; Н 6.2; N 2.0.
Для комплекса C58H84DyI2LiN2O5 (III)
вычислено, %: C 53.1; Н 6.4; N 2.1.
ИК-спектр (ν, см–1): 3392 ср, 3060 сл, 2961 с, 2867 с, 1590 ср, 1463 с, 1427 с, 1371 с, 1329 с, 1240 ср, 1207 ср, 1108 сл, 1049 с, 887 ср, 859 ср, 791 ср, 751 с, 722 ср, 675 сл.
Кристаллы комплекса [Li(Thf)4][DyI2(DippPDA)(Thf)] (III’), пригодные для РСА, получали при перекристаллизации из смеси ТГФ – н-гексан (1: 3).
РСА кристаллов [Li(DippPSI)(Тhf)2], I, IIThf, IIEt2O, III и III' проведен при 150 K на дифрактометре Bruker D8 Venture (0.5° ω- и φ-сканирование, трехкружный гониометр с фиксированным χ, КМОП-детектор PHOTON III, Mo-ImS3.0 микрофокусный источник, фокусировка с помощью зеркал Монтеля, λ = 0.71073 Å, MoKα) в ЦКП ИНХ СО РАН, а для [K2(DippPDA)(Тhf)3] – при 123 K на дифрактометре Rigaku XtaLAB Synergy-R (0.5° ω- сканирование, четырехкружный гониометр, гибридный детектор HyPix-Arc 150, вращающийся анодный источник λ = 1.54184 Å, CuKα). Обработка первичных данных выполнена в пакете программ APEX 3 или CrysAlisPro 1.171.41.107a. Кристаллические структуры решены с помощью ShelXT [32] и уточнены с помощью программ ShelXL [33] с графическим интерфейсом Olex2 [34]. Атомные смещения для неводородных атомов уточнены в гармоническом анизотропном приближении за исключением некоторых атомов разупорядоченных фрагментов. Атомы водорода расположены геометрически и уточнены в модели “наездника”. Длины связей и углы в изученных комплексах приведены в табл. 1, их кристаллографические параметры – в табл. 2.
Таблица 1. Характеристичные длины связей (d) и углы (ω) в изучаемых комплексах и сравнение их с литературными данными
Связь или угол | DippPDIa | [Li(DippPSI•–)(Тhf)2] | [K2(DippPDA2–)(Тhf)3] | I | IIEt2O | IIThf | IIIб |
C–Nв | 1.27 | 1.33 | 1.39, 1.40 | 1.40, 1.41 | 1.40, 1.42 | 1.41 | 1.42, 1.41 / 1.40, 1.42 |
C–Сc | 1.50 | 1.46 | 1.42 | 1.39 | 1.40 | 1.41 | 1.40 / 1.39 |
М–N | – | 2.04, 2.01 | 2.78, 2.86 (K(Thf)3); 2.71, 2.86 (K(Dipp)) | 2.28, 2.32 | 2.20, 2.19 | 2.18, 2.19 | 2.22, 2.24 / 2.22, 2.24 |
Ln–I | – | – | – | – | 3.05 | 3.03 | 3.01, 2.99 / 3.03, 3.01 |
M–Oг | – | 2.02, 2.09 | 2.75, 2.76 | 2.43 | 2.38 (Thf), 2.40 (Et2O) | 2.37, 2.39 | 2.42 / 2.42 |
NMN | – | 81.0 | 59.0 (K(Thf)3), 59.9 (K(Dipp)) | 69.7 | 76.0 | 78.0 | 72.4 / 71.6 |
aДанные из [38].
бДанные для комплексов с катионами [Li(Thf)3(Et2O)]+/ [Li(Thf)4]+.
в Cвязи во фрагменте NCCN.
гAтом кислорода координированного ТГФ или диэтилового эфира.
Таблица 2. Кристаллографические характеристики, детали эксперимента и уточнение структуры соединений
Параметр | [Li(DippPSI)(Thf)2] | [K2(DippPDA)(Thf)3] | I | IIEt2O | IIThf | III | III’ |
Номер CCDC | 2260310 | 2260308 | 2260309 | 2260307 | 2260313 | 2260312 | 2260311 |
Брутто-формула | C46H58N2O2Li | C50H66N2O3K2 | C52H65N2OSm | C46H60N2O2IDy | C46H58N2O2IDy | C58H84DyI2LiN2O5 | C58H82DyI2LiN2O5 |
M | 677.88 | 821.24 | 884.41 | 962.36 | 960.34 | 1312.51 | 1310.49 |
Температура, K | 150(2) | 123(2) | 150(2) | 150(2) | 150(2) | 150(2) | 150(2) |
Пространственная группа | P21/c | Pna21 | P21/c | P21/c | P21/n | P Ī | Pna21 |
a, Å | 15.7963(15) | 26.2658(3) | 16.2847(4) | 19.551(3) | 11.8045(8) | 15.2956(8) | 31.493(2) |
b, Å | 11.8461(11) | 13.34900(18) | 12.2290(3) | 10.0410(16) | 36.161(2) | 18.7021(11) | 14.3689(10) |
c, Å | 21.1715(16) | 12.59996(13) | 23.4217(5) | 21.681(4) | 19.5591(10) | 20.4237(12) | 12.9322(8) |
α, град | 90 | 90 | 90 | 90 | 90 | 91.796(2) | 90 |
β, град | 94.582(3) | 90 | 106.4140(10) | 93.290(6) | 94.094(2) | 95.974(2) | 90 |
γ, град | 90 | 90 | 90 | 90 | 90 | 90.133(2) | 90 |
V, Å3 | 3949.0(6) | 4417.82(9) | 4474.23(18) | 4249.1(12) | 8327.7(9) | 5807.7(6) | 5852.1(7) |
Z | 4 | 4 | 4 | 4 | 8 | 4 | 4 |
ρвыч, г/см3 | 1.140 | 1.235 | 1.313 | 1.504 | 1.532 | 1.501 | 1.487 |
μ, мм-1 | 0.068 | 2.227 | 1.351 | 2.523 | 2.574 | 2.396 | 2.377 |
F(000) | 1468.0 | 1768.0 | 1844.0 | 1940.0 | 3864.0 | 2644.0 | 2636.0 |
Размер кристалла | 0.30 × 0.30 × 0.06 | 0.60 × 0.30 × 0.15 | 0.16 × 0.12 × 0.10 | 0.15 × 0.05 × 0.04 | 0.22 × 0.17 × 0.08 | 0.22 × 0.17 × 0.08 | 0.17 × 0.16 × 0.11 |
Излучение | MoKα (λ = 0.71073) | CuKα (λ = 1.54178) | MoKα (λ = 0.71073) | MoKα (λ = 0.71073) | MoKα (λ = 0.71073) | MoKα (λ = 0.71073) | MoKα (λ = 0.71073) |
Диапазон сбора данных по 2θ, град | 4.302–51.36 | 6.73–146.342 | 3.792–54.218 | 4.562–51.542 | 3.91–55.754 | 2.914–57.398 | 4.43–55.818 |
Диапазоны h, k, l | –18 ≤ h ≤ 19, –14 ≤ k ≤ 14, –25 ≤ l ≤ 25 | –30 ≤ h ≤ 32, –16 ≤ k ≤ 16, –8 ≤ l ≤ 15 | –20 ≤ h ≤ 18, –15 ≤ k ≤ 15, –30 ≤ l ≤ 24 | –23 ≤ h ≤ 23, 0 ≤ k ≤ 12, 0 ≤ l ≤ 26 | –15 ≤ h ≤ 15, –47 ≤ k ≤ 47, –25 ≤ l ≤ 24 | –20 ≤ h ≤ 20, –25 ≤ k ≤ 25, –27 ≤ l ≤ 27 | –41 ≤ h ≤ 41, –18 ≤ k ≤ 18, –16 ≤ l ≤ 17 |
Число измеренных рефлексов | 34 535 | 20 756 | 38 416 | 8048 | 112 176 | 80 849 | 82 287 |
Число независимых рефлексов (Rint, Rσ) | 7494 (0.0563, 0.0443] | 6932 (0.0227, 0.0246) | 9853 (0.0399, 0.0379) | 8048 (0.0692, 0.0539) | 19 653 (0.0743, 0.0545) | 29 208 (0.0373, 0.0446) | 13 910 (0.0383, 0.0260) |
Число ограничений / уточняемых параметров | 159 / 559 | 1 / 522 | 0 / 518 | 0 / 480 | 0 / 953 | 138 / 1274 | 94 / 680 |
GOOF по F2 | 1.038 | 1.034 | 1.031 | 1.024 | 1.061 | 1.138 | 1.056 |
R-фактор (I > 2σ(I)) | R1 = 0.0672 wR2 = = 0.1626 | R1= 0.0455 wR2 = = 0.1270 | R1= 0.0305 wR2 = = 0.0641 | R1 = 0.0434 wR2 = = 0.0975 | R1 = 0.0517 wR2= = 0.1271 | R1 = 0.0780 wR2 = 0.1897 | R1 = 0.0274 wR2 = 0.0559 |
R-фактор (все данные) | R1 = 0.0919 wR2 = = 0.1783 | R1 = 0.0478 wR2 = = 0.1290 | R1 = 0.0412 wR2 = = 0.0688 | R1 = 0.0565 wR2 = = 0.1045 | R1 = 0.0675 wR2 = = 0.1365 | R1 = 0.0886 wR2 = 0.1949 | R1 = 0.0311 wR2 = 0.0573 |
∆ρmax/∆ρmin, e/Å3 | 0.79 / –0.48 | 0.76 / –0.41 | 0.83 / –0.57 | 1.94 / –1.07 | 2.62 / –1.02 | 6.29 / –2.65 | 1.25 / –1.14 |
Параметр Флэка | – | –0.002(6) | – | – | – | – | –0.009(3) |
Структуры депонированы в Кембриджском банке структурных данных (CCDC № 2260307–2260313; ccdc.cam.ac.uk/structures).
Результаты и их обсуждение
Для получения комплексов лантаноидов с 9,10-N-(2,6-диизопропилфенил)-о-фенантрендиимином (DippPDI) были использованы две разные методики: в первой – окислительно-восстановительные реакции между нейтральным диимином и лантаноценами [LnCp*2(Тhf)2] (Ln = Sm, Yb), а во второй – обменные реакции между трииодидом диспрозия DyI3(Тhf)3,5 и солью лиганда с щелочным металлом. В первой методике эксплуатируется хорошая восстановительная способность лантаноценов (за счет окисления как лантаноида, так и лиганда Ср*–), однако эти исходные комплексы доступны только для нескольких лантаноидов; вторая методика не накладывает таких ограничений. В реакции [SmCp*2(Тhf)2] и DippPDI (схема 2) в ТГФ отчетливо наблюдаются два этапа: сначала (в течение часа) происходит восстановление лиганда до анион-радикальной формы, раствор при этом становится фиолетового цвета. Затем он в течение нескольких часов становится темно-красного цвета, что говорит о появлении дианионной формы. Темно-красные кристаллы комплекса [SmCp*(DippPDA)(Тhf)] (I) были выделены из смеси ТГФ – гексан (1 : 3 по объему).
Схема 2. Получение комплексов с лигандом DippPDA2– в редокс-реакциях.
В аналогичной реакции [YbCp*2(Thf)2] с DippPDI в ТГФ не наблюдается визуальных изменений. Если реакция протекает медленно из-за блокировки координационной сферы донорным растворителем, то использование неполярной среды могло бы способствовать ее ускорению. Однако взаимодействие не протекает даже при длительном нагревании реагентов в толуоле, и при кристаллизации из раствора были получены только кристаллы реагентов, определяемые визуально и по сопоставлению параметров элементарной ячейки (РСА). Мы предполагаем две причины такого поведения. Во-первых, DippPDI является достаточно объемным, поэтому при уменьшении радиуса катиона и в присутствии других объемных лигандов (Cp*–) взаимодействие этого редокс-активного лиганда с металлоцентром может быть затруднено. Во-вторых, восстановительного потенциала пары Yb3+/Yb2+ может быть недостаточно, чтобы восстановить лиганд до анион-радикального или дианионного состояния.
Для того чтобы проверить последнее предположение, мы изучили электрохимические свойства лиганда DippPDI методом циклической вольтамперометрии (рис. 1), которая показала наличие квазиобратимого одноэлектронного процесса восстановления при Е1/2 = –1.85 В (относительно Ag+/Ag) с последующим необратимым восстановлением при –2.5 В. Предположительно, первая волна восстановления соответствует переходу DippPDI→DippPSI•–. Принимая во внимание редокс-потенциалы, известные для лантаноценов (E1/2(LnCp*2(Тhf)2+/0) = –2.12 и –1.48 В относительно Ag+/Ag для Sm и Yb соответственно [35]), можно сделать вывод, что в случае самария процесс одноэлектронного восстановления за счет катиона лантаноида возможен, а в случае иттербия этот процесс термодинамически невыгоден. Комплекс с продуктом одноэлектронного восстановления, анион-радикальной формой лиганда DippPSI•–, выделить не удалось. Это может быть связано с тем, что происходит достаточно быстрое ее восстановление до дианиона. Интересно, что в реакции с самароценом второй этап восстановления (DippPSI•– →DippPDA2–) проходит за счет лиганда Cp*–, который окисляется и димеризуется с образованием Cp*2, а в реакции с иттербоценом подобного восстановления за счет лиганда Cp*– не происходит. По-видимому, при отсутствии стадии восстановления за счет лантаноида не происходит образования достаточно прочного комплекса с нейтральной формой лиганда (DippPDI), и последняя не может войти в достаточно близкий контакт с лигандом Cp*– для переноса электрона.
Рис. 1. Циклическая вольтамперограмма лиганда DippPDI (ТГФ, V = 0.2 В/с, относительно Ag+/Ag, с = 2 × × 10–3 моль/л, Pt-электрод, Ar, 0.1 M Bu4NBF4).
Для развития химии подобных комплексов с другими Ln, проявляющими менее доступную для редокс-процессов степень окисления +2, необходимы альтернативные методы их синтеза, например по реакциям ионного обмена с галогенидами лантаноидов. Поэтому сначала было необходимо получить анионные формы лиганда, например в виде солей с катионами щелочных металлов. В качестве катиона мы выбрали калий из-за его меньшей склонности к образованию “атных” комплексов в реакциях с галогенидами лантаноидов. Было опробовано два метода синтеза (в качестве растворителя использовался ТГФ): реакция диимина DippPDI с избытком металлического калия или со стехиометрическим количеством калий-интеркалированного графита KC8 (2 эквивалента). Во всех случаях в течение 3 ч наблюдалось изменение цвета раствора с красного на синий и в итоге на темно-красный. При концентрировании раствора в ТГФ продукт реакции не кристаллизуется, а образует густое масло. Мелкокристаллический продукт осаждается при добавлении гексана; отдельные кристаллы соли с дианионной формой лиганда [K2(DippPDA)(Thf)3] также удалось получить при кристаллизации из смеси ТГФ – гексан. Элементный анализ поликристаллического образца показывает заниженные значения по углероду и водороду, и завышенные по азоту. Это можно объяснить непостоянством сольватного состава образующегося соединения из-за легкого ухода донорных молекул ТГФ и неустойчивостью вещества к окислению. Частичная потеря ТГФ подтверждается данными спектроскопии ЯМР 1H: в то время как интегральные интенсивности сигналов ароматических протонов и протонов изо-пропильных групп соответствуют друг другу, интенсивности сигналов от ТГФ занижены примерно в 2 раза. Поэтому для последующих синтезов калиевая соль получалась in situ и использовалась без выделения. При попытке получить анион-радикальную форму K(DippPSI) действием еще одного эквивалента диимина Dipp PDI на полученную in situ дианионную соль, образующийся вначале темно-синий раствор (цвет соответствует анион-радикалу) быстро становился темно-коричневым. Как было отмечено в [36], моноанионные формы дииминов, в том числе Dipp PSI–, неустойчивы, но могут быть стабилизированы за счет координации. Использование катиона лития позволило авторам получить устойчивые в растворе анион-радикалы, охарактеризованные ЭПР. По-видимому, более ионный характер связи K–N по сравнению с более ковалентной Li–N и, как следствие, образование сольватно-разделенных ионных пар приводит к дестабилизации калиевой соли. В подобной реакции избытка металлического лития с DippPDI, с последующим добавлением к дилитиевой соли еще одного эквивалента диимина, образуется стабильный темно-синий раствор, из которого нам удалось выделить чистую кристаллическую фазу комплекса с моноанионной формой лиганда, [Li(DippPSI)(Тhf)2].
Соли с катионами щелочных металлов были использованы для синтеза комплексов диспрозия. В результате реакции калиевой соли [K2(DippPDA)(Thf)3], полученной in situ в ТГФ, с эквимолярным количеством DyI3(Thf)3,5 (cхема 3), выпадал осадок иодида калия. Кристаллизация продукта после отделения от осадка была затруднена: ни при медленном упаривании ТГФ, ни при замене растворителя на толуол кристаллы не образовывались; при этом в гексане полученное соединение не растворялось. Необходимые условия были достигнуты при кристаллизации из смеси растворителей ТГФ – гексан (1 : 3 по объему) или диэтиловый эфир – н-гексан (1 : 3 по объему), в этих условиях были получены молекулярные комплексы [DyI(DippPDA)(Thf)2] (IIThf) и [DyI(DippPDA)(Thf)(Et2O)] (IIEt2O) соответственно.
Интересно, что при использовании в обменной реакции литиевой соли, полученной in situ при восстановлении нейтрального диимина DippPDI избытком металлического лития, образующийся комплекс несколько отличается от предыдущего. При кристаллизации из смеси растворителей ТГФ – Et2O (1 : 3 по объему) была выделена двойная комплексная соль состава [Li(Thf)3(Et2O)][DyI2(DippPDA)(Thf)] (III). Причиной образования такого комплекса является достаточно высокая растворимость иодида лития в ТГФ. Вследствие этого в растворе образуется достаточно большая концентрация иодид-ионов, которые входят в состав комплекса в качестве дополнительных анионных лигандов. При кристаллизации из ТГФ были получены кристаллы близкой по составу соли [Li(Thf)4][DyI2(DippPDA)(Thf)] (III'), содержащей тот же анион, что и III.
В ИК-спектрах DippPDI, [Li(DippPSI)(Thf)2], [K2(DippPDA)(Thf)3], I, II, III можно выделить полосы в средней области (1700–1500 см–1), соответствующие колебаниям сопряженной системы NCCN, наиболее сильно зависящие от степени окисления лиганда (рис. 2). Восстановление DippPDI в DippPSI2– приводит к последовательному уменьшению интенсивности и исчезновению коротковолновых полос на 1620–1650 см–1, длинноволновая полоса при 1595 см–1 остается практически без изменений.
Рис. 2. Характерные колебания в ИК-спектрах соединенийDippPDI, [Li(DippPSI)(Thf)2], [K2(dippPDA)(Thf)3], I, II и III.
Строение всех полученных комплексов было установлено с помощью РСА. В [K2(DippPDA)(Thf)3] все три молекулы ТГФ координированы к одному из атомов калия (рис. 3, a). Второй атом калия координирован π-системой диизопропилфенильного кольца другой молекулы комплекса, тем самым объединяя комплексы в 1D-полимерную цепочку (рис. 3, б). Подобная π-координация была также обнаружена в структурах солей щелочных металлов с диазабутадиеновым (DAD) лигандом и приводила к тетраядерным комплексам [37].
Рис. 3. Строение независимой части в структуре [K2(DippPDA)(Thf)3] по данным РСА (a); взаимное расположение трех молекул комплекса в кристаллической упаковке (б). Атомы водорода и метильные группы заместителей Dipp не показаны, углеводородные фрагменты показаны в упрощенном виде; π-координация показана пунктирными линиями.
По сравнению с калиевой литиевая соль с анион-радикальной формой лиганда [Li(DippPSI)(Тhf)2] представляет собой моноядерный комплекс (рис. 4). Координационный полиэдр соединения можно описать как искаженный тетраэдр. Длины связей C–N и C–C в металлоцикле принимают промежуточные значения между длинами, характерными для нейтральной и дианионной форм (см. табл. 1), что подтверждает моноанионную форму лиганда.
Рис. 4. Строение [Li(DippPSI)(Thf)2] по данным РСА. Атомы водорода и метильные группы заместителей Dipp не показаны, углеводородные фрагменты показаны в упрощенном виде.
В комплексе самария I центральный атом координирован одним η5-циклопентадиенильным и одним фенантрендииминовым лигандом (рис. 5), координационная сфера дополняется молекулой ТГФ до координационного числа (КЧ) равного 6. Длины связей фрагмента NCCN металлоцикла близки к таковым в структуре калиевой соли [K2(DippPDA)(Thf)3] и соответствуют дианионной форме лиганда, DippPDA2– (см. табл. 1). Учитывая, что лиганд Cp*– несет заряд –1, атом самария находится в степени окисления +3. Объемный лиганд Cp*– находится в позиции, противоположной связям Sm–N; таким образом, вектор Sm–Cp* (центроид) незначительно отклоняется от плоскости SmN2 (на 34°). Такое расположение определяется взаимодействием с объемными заместителями DippPDA2–: метильные группы Cp* расположены практически вплотную к ароматическим циклам обеих групп Dipp, и более близкое расположение Cp* невозможно по стерическим причинам. Как следствие, менее объемный лиганд ТГФ занимает оставшееся место в координационной сфере и связь Sm–O направлена в сторону от хелатного цикла (угол с плоскостью SmN2 составляет 78°).
Рис. 5. Строение комплекса [SmCp*(DippPDA)(Thf)] (I). Атомы водорода и метильные группы заместителей Dipp не показаны, углеводородные фрагменты показаны в упрощенном виде.
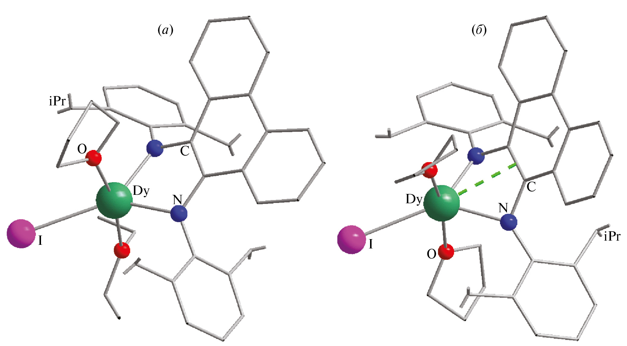
В структурах IIThf и IIEt2O координационные полиэдры практически одинаковы и представляют собой искаженную тригональную бипирамиду с атомами азота и иода в экваториальных положениях и двумя атомами кислорода в аксиальных (DyIO2N2, КЧ 5; рис. 6). Дииминовый лиганд находится в дианионном состоянии, что следует из состава комплекса и подтверждается характерными значениями длин связей C–N и C–C в хелатном цикле (см. табл. 1). Структура комплекса IIThf содержит две независимые молекулы. Длины подобных связей в координационном узле практически не отличаются для этих двух молекул, а также между комплексами IIThf и IIEt2O. Аналогично комплексу I, объемный лиганд (I–) расположен напротив донорных атомов азота в позиции, максимально удаленной от заместителей Dipp дииминового лиганда. Угол связи Dy–I с плоскостью DyN2 составляет 12° и 13° для IIThf и 0° для IIEt2O. Оставшиеся два доступных координационных места заняты нейтральными донорными молекулами ТГФ или Et2O; связи Dy–O практически перпендикулярны плоскости DyN2 (углы с этой плоскостью для всех таких связей лежат в интервале 73°—86°).
Рис. 6. Строение комплексов [DyI(DippPDA)(Тhf)(Et2O)] (IIEt2O) (а), [DyI(DippPDA)(Thf)2] (IIThf) (б). Атомы водорода и метильные группы заместителей Dipp не показаны, углеводородные фрагменты показаны в упрощенном виде; π-координация показана пунктирными линиями.
Для анионного комплекса
[Dy(DippPDA)I2(Thf)]–
были получены две кристаллические фазы: с катионами [Li(Thf)4]+ (рис. 7) и [Li(Thf)3(Et2O)]+. Структура с первым катионом включает две кристаллографически независимые пары катион – анион. Геометрия анионных комплексов в обеих структурах одинакова, окружение центрального атома DyI2ON2 (КЧ 5). По сравнению с комплексом II включение в координационную сферу еще одного большого иодид-аниона приводит к существенным изменениям в относительном расположении лигандов. Два иодид-аниона не могут находиться так же близко к дииминовому лиганду, как молекулы Et2O, из-за взаимодействия с объeмными заместителями Dipp. Поэтому связи Dy–I заметно отклонены от перпендикуляра к плоскости DyN2 (на 62° и 68°). Оба атома иода расположены практически вплотную к одному из двух заместителей Dipp; оставшееся место вблизи второго заместителя занимает одна молекула ТГФ. Поскольку положения по сторонам от плоскости DyN2 заняты атомами иода, связь Dy–O находится близко к этой плоскости, образуя с ней угол в 10°.
Интересно проследить различия в положении атома металла относительно хелатного цикла в серии полученных комплексов. Во всех структурах фрагмент NCCN практически плоский вследствие сопряжения. Отклонение этих четырех атомов от их среднеквадратичной плоскости не превышает 0.03 Å для комплексов калия и лантана и максимально в комплексе [Li(DippPSI)(Thf)2] (0.05 Å). Небольшой катион лития расположен в плоскости фрагмента NCCN (с расстоянием от нее 0.05 Å). В комплексе калия, вследствие мостикового положения дииминового лиганда, оба катиона отстоят от этой плоскости на значительное расстояние (1.65 и 2.39 Å). В комплексах лантаноидов длина связи металл – азот на ~0.2 Å больше, чем в комплексе лития (см. табл. 1); как следствие, металлоцикл LnNCCN изогнут по линии, проходящей через атомы азота. Атом самария в I и атомы диспрозия в III и III’ отклоняются от плоскости NCCN на 0.40–0.47 Å. Атомы диспрозия в IIEt2O отклоняются на чуть большую величину (0.74 Å). Это можно объяснить, по-видимому, необходимостью расположения более объемного эфирного лиганда (Et2O) в промежутке между объемными изопропильными группами для минимизации взаимного отталкивания от них. В структуре IIThf наблюдается наибольшее отклонение катиона лантаноида от плоскости NCCN (1.28 и 1.35 Å) для двух независимых молекул. Столь существенное отклонение приводит к тому, что катион Dy3+ оказывается вблизи двойной связи C=C металлоцикла (расстояние до центра связи 2.66 и 2.64 Å соответственно), что допускает возможность прямой координации катиона π-системой сопряжeнного фрагмента. Можно предположить, что возможность π-координации появляется в этом комплексе из-за доступности места в координационной сфере, поскольку молекула ТГФ занимает меньший объем, чем Et2O (в сравнении с IIEt2O); однако нельзя исключать, что причиной являются эффекты упаковки соседних молекул в кристалле. В любом случае наблюдаемая деформация координационного цикла демонстрирует значительную его гибкость и возможность подстройки его геометрии под различное сочетание лигандов. Похожая структурная гибкость была отмечена ранее для комплексов самария(II) с N, N-донорными β-дикетиминатными лигандами [39].
Таким образом, в работе были впервые определены структуры комплексов щелочных металлов с 9,10-фенантрендииминовым лигандом в анион-радикальном и дианионном состояниях. Было продемонстрировано, что комплексы лантаноидов с этим лигандом могут быть получены двумя путями: через редокс-процессы с участием нейтральной формы лиганда и через обменные реакции с дианионной формой лиганда. По первому пути был успешно получен комплекс самария(III), но было показано, что восстановительного потенциала Yb2+ для этого подхода уже недостаточно. По второму пути были получены комплексы диспрозия, и этот способ потенциально может быть распространен на все ионы лантаноидов(III). Было показано, что строение комплекса, получаемого по ионно-обменным реакциям с LnI3, зависит от применяемой соли щелочного металла. Использование литиевой соли приводит к повышенной концентрации иодид-иона и к анионным комплексам, включающим два иодидных лиганда. Все комплексы лантаноидов были получены с дианионной формой дииминового лиганда (DippPDA2–). Поскольку эта форма обладает достаточно большим восстановительным потенциалом, полученные комплексы могут проявлять восстановительные свойства за счeт окисления еe до анион-радикальной DippPSI•–, а комплекс самария I содержит и второй лиганд, потенциально способный к окислению (Cp*–). Стабилизация анион-радикальной формы в виде комплекса лития позволяет предполагать и стабилизацию комплексов лантаноидов с этой формой лиганда. Восстановительные свойства новых комплексов будут изучаться в продолжении данной работы.
Авторы заявляют, что у них нет конфликта интересов.
Благодарности
Авторы благодарят Министерство науки и высшего образования Российской Федерации за поддержку работы Центра коллективного пользования ИНХ СО РАН, а также сотрудников Центра за съемку спектров ЯМР 1H (проекты № 121031700321–3, 121031700313–8).
ФИНАНСИРОВАНИЕ
Работа выполнена при финансовой поддержке Российского научного фонда (проект № 22-23-00983), https://rscf.ru/project/22-23-00983/
Об авторах
Д. К. Синица
Институт неорганической химии им. А. В. Николаева СО РАН
Автор, ответственный за переписку.
Email: sinitsa@niic.nsc.ru
Россия, Новосибирск
Д. П. Акимкина
Институт неорганической химии им. А. В. Николаева СО РАН; Новосибирский государственный университет
Email: sinitsa@niic.nsc.ru
Россия, Новосибирск; Новосибирск
Т. С. Сухих
Институт неорганической химии им. А. В. Николаева СО РАН
Email: sinitsa@niic.nsc.ru
Россия, Новосибирск
С. Н. Конченко
Институт неорганической химии им. А. В. Николаева СО РАН
Email: sinitsa@niic.nsc.ru
Россия, Новосибирск
Н. А. Пушкаревский
Институт неорганической химии им. А. В. Николаева СО РАН
Email: sinitsa@niic.nsc.ru
Россия, Новосибирск
Список литературы
- Kaim W. // Inorg. Chem. 2011. V. 50. № 20. P. 9752.
- Tezgerevska T., Alley K. G., Boskovic C. // Coord. Chem. Rev. 2014. V. 268. P. 20.
- Wada T., Tanaka K., Muckerman J. T., Fujita E. // Mol. Water Oxid. Catal. 2014. P. 77.
- Kobayashi K., Ohtsu H., Wada T. et al. // J. Am. Chem. Soc. 2003. V. 125. № 22. P. 6729.
- Lippert C. A., Arnstein S. A., Sherrill C. D., Soper J. D. // J. Am. Chem. Soc. 2010. V. 132. № 11. P. 3879.
- Abakumov G. A., Poddel’sky A.I., Grunova E. V. et al. // Angew. Chem. Int. Ed. 2005. V. 44. № 18. P. 2767.
- Bruni S., Caneschi A., Cariati F. et al. // J. Am. Chem. Soc. 1994. V. 116. № 4. P. 1388.
- Bubnov M. P., Kozhanov K. A., Skorodumova N. A. et al. // J. Mol. Struct. 2019. V. 1180. P. 878.
- Piskunov A. V., Lado A. V. Fukin G. K. et al. // Heteroat. Chem. 2006. V. 17. № 6. P. 481.
- Kabachnik M. I., Bubnov N. N., Solodovnikov S. P., Prokof’ev A.I. // Russ. Chem. Rev. 1984. V. 53. № 3. P. 288.
- Hay M. A., Boskovic C. // Chem. A Eur. J. 2021. V. 27. № 11. P. 3608.
- Pushkarevsky N. A., Ogienko M. A., Smolentsev A. I. et al. // Dalton Trans. 2016. V. 45. № 3. P. 1269.
- Kuzyaev D. M., Vorozhtsov D. L., Druzhkov N. O. et al. // J. Organomet. Chem. 2012. V. 698. P. 35.
- Caneschi A., Dei A., Gatteschi D. et al. // Dalton Trans. 2004. № 7. P. 1048.
- Klementyeva S. V., Lukoyanov A. N., Afonin M. Y. et al. // Dalton Trans. 2019. V. 48. № 10. P. 3338.
- Coughlin E. J., Zeller M., Bart S. C. // Angew. Chem. Int. Ed. 2017. V. 56. № 40. P. 12142145.
- Maleev A. A., Trofimova O. Y., Pushkarev A. P. et al. // Nanotechnologies Russ. 2015. V. 10. № 7–8. P. 613.
- Sinitsa D. K., Sukhikh T. S., Konchenko S. N., Pushkarevsky N. A. // Polyhedron. 2021. V. 195. P. 114967.
- Subhedar Y., Ramachandra V. // Asian J. Chem. 1994. V. 6. № 2. P. 277.
- Ramachandra V., Patil B. // Curr. Sci. 1976. V. 45. № 19. P. 686.
- Su J., He F., Qi X., Wang J. // Huaxue Yu Shengwu Gongcheng. 2011. V. 28. № 4. P. 36.
- Schoo C., Bestgen S., Egeberg A. et al. // Angew. Chem. Int. Ed. 2019. V. 58. № 13. P. 4386.
- Reinfandt N., Michenfelder N., Schoo C. et al. // Chem. Eur. J. 2021. V. 27. № 29. P. 7862.
- Trifonov A. A., Shestakov B. G., Lyssenko K. A. et al. // Organometallics. 2011. V. 30. № 18. P. 4882.
- Fedushkin I. L., Yambulatov D. S., Skatova A. A. et al. // Inorg. Chem. 2017. V. 56. № 16. P. 9825.
- Fedushkin I. L., Maslova O. V., Baranov E. V., Shavyrin A. S. // Inorg. Chem. 2009. V. 48. № 6. P. 2355.
- Fedushkin I. L., Maslova O. V., Morozov A. G. et al. // Angew. Chem. Int. Ed. 2012. V. 51. № 42. P. 105847.
- Groom C. R., Bruno I. J., Lightfoot M. P., Ward S. C. // Acta Crystallogr. B. 2016. V. 72. № 2. P. 171.
- Evans W. J., Grate J. W., Choi H. W. et al. // J. Am. Chem. Soc. 1985. V. 107. № 18. P. 941.
- Mironova O. A., Sukhikh T. S., Konchenko S. N., Pushkarevsky N. A. // Polyhedron. 2019. V. 159. P. 337.
- Cherkasov V. K., Druzhkov N. O., Kocherova T. N. et al. // Tetrahedron. 2012. V. 68. № 5. P. 1422.
- Sheldrick G. M. // Acta Crystallogr. Sect. A. 2015. V. 71. № 1. P. 3–8.
- Sheldrick G. M. // Acta Crystallogr. Sect. C. 2015. V. 71. № 1. P. 3–8.
- Dolomanov O. V., Bourhis L. J., Gildea R. J. et al. // J. Appl. Crystallogr. 2009. V. 42. № 2. P. 339.
- Veauthier J. M., Schelter E. J., Carlson C. N. et al. // Inorg. Chem. 2008. V. 47. № 13. P. 5841.
- Abakumov G. A., Druzhkov N. O., Kocherova T. N. et al. // Dokl. Chem. 2016. V. 467. № 2. P. 109.
- Duraisamy R., Liebing P., Harmgarth N. et al. // Eur. J. Inorg. Chem. 2019. V. 2019. № 28. P. 3343.
- Gao B., Luo X., Gao W. et al. // Dalton Trans. 2012. V. 41. № 9. P. 2755.
- Mironova O. A., Sukhikh T. S., Konchenko S. N., Pushkarevsky N. A. // Inorg. Chem. 2022. V. 61. № 39. P. 15484.
Дополнительные файлы












