Reactions of palladium(II) chloride with monoiminoacenaphthenones
- Authors: Lukoyanov A.N.1, Romashev N.F.2, Komlyagina V.I.2,3, Kokovkin V.V.2, Cherkasov A.V.1, Gushchin A.L.2
-
Affiliations:
- Razuvaev Institute of Organometallic Chemistry, Russian Academy of Sciences, Nizhny Novgorod, Russia
- Nikolaev Institute of Inorganic Chemistry, Siberian Branch, Russian Academy of Sciences, Novosibirsk, Russia
- Novosibirsk State University, Novosibirsk, Russia
- Issue: Vol 49, No 12 (2023)
- Pages: 760-766
- Section: Articles
- URL: https://ogarev-online.ru/0132-344X/article/view/162368
- DOI: https://doi.org/10.31857/S0132344X23600595
- EDN: https://elibrary.ru/LGNPMA
- ID: 162368
Cite item
Full Text
Abstract
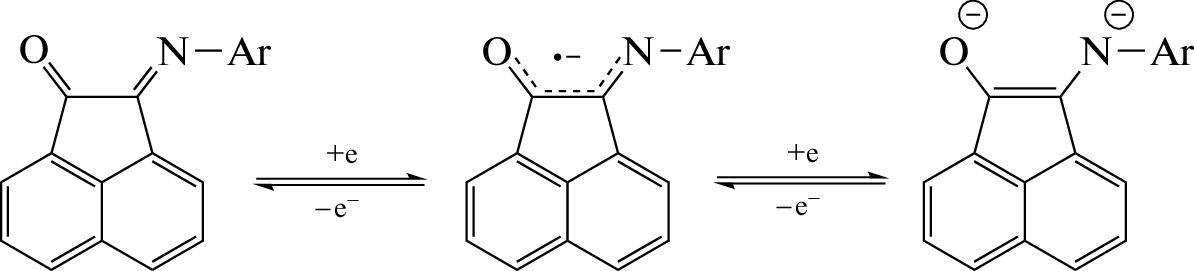
When PdCl2 reacts with [2,6-diisopropylphenyl]iminoacenaphthenone (dpp-mian) in dichloromethane, the compound 2[Pd(dpp-mian)Cl2]*[Pd(dpp-mian)2Cl2] (1) is formed. It contains two structural units: [Pd(dpp-mian)Cl2], in which dpp-mian is coordinated to Pd(II) in a bidentate-chelate manner by nitrogen and oxygen atoms, and [Pd(dpp-mian)2Cl2], in which two dpp-mian molecules are bonded to palladium only through a nitrogen atom. On the other hand, when PdCl2 interacts with [4-methoxyphenyl]iminoacenaphthenone (4-MeOPh-mian) in dichloromethane, a rearrangement of the ligand structure occurs, followed by the formation of the previously described in the literature complex of Pd(II) with 1,2-bis-[4-methoxyphenyl ]iminoacenaphthene (4-MeOPh-bian) of the composition [Pd(4-MeOPh-bian)Cl2] (2). Compound 1 was obtained for the first time and characterized by X-ray diffraction, as well as by X-ray diffraction, elemental analysis, IR spectroscopy and cyclic voltammetry.
About the authors
A. N. Lukoyanov
Razuvaev Institute of Organometallic Chemistry, Russian Academy of Sciences, Nizhny Novgorod, Russia
Email: coord@igic.ras.ru
Россия, Нижний Новгород
N. F. Romashev
Nikolaev Institute of Inorganic Chemistry, Siberian Branch, Russian Academy of Sciences, Novosibirsk, Russia
Email: coord@igic.ras.ru
Россия, Новосибирск
V. I. Komlyagina
Nikolaev Institute of Inorganic Chemistry, Siberian Branch, Russian Academy of Sciences, Novosibirsk, Russia; Novosibirsk State University, Novosibirsk, Russia
Email: coord@igic.ras.ru
Россия, Новосибирск; Россия, Новосибирск
V. V. Kokovkin
Nikolaev Institute of Inorganic Chemistry, Siberian Branch, Russian Academy of Sciences, Novosibirsk, Russia
Email: coord@igic.ras.ru
Россия, Новосибирск
A. V. Cherkasov
Razuvaev Institute of Organometallic Chemistry, Russian Academy of Sciences, Nizhny Novgorod, Russia
Email: coord@igic.ras.ru
Россия, Нижний Новгород
A. L. Gushchin
Nikolaev Institute of Inorganic Chemistry, Siberian Branch, Russian Academy of Sciences, Novosibirsk, Russia
Author for correspondence.
Email: coord@igic.ras.ru
Россия, Новосибирск
References
- Khrizanforova V.V., Fayzullin R.R., Gerasimova T.P. et al. // Int. J. Mol. Sci. 2023. V. 24. № 10. P. 8667.
- Razborov D.A., Lukoyanov A.N., Baranov E.V. et al. // Dalton Trans. 2015. V. 44. № 47. P. 20532.
- Lukoyanov, A. N., Zvereva, Y. V., Parshina, D. A. et al. // Eur. J. Inorg. Chem. 2022. V. 2022. № 27. Art. e202200348
- Lukoyanov A.N., Ulivanova E.A., Razborov D.A. et al. // Chem. Eur. J. 2019. V. 25. № 15. P. 3858.
- Koptseva T.S., Moskalev M.V., Skatova A.A. et al. // Inorg. Chem. 2022. V. 61. № 1. P. 206.
- Bernauer J., Pölker J., von Wangelin J. // ChemCatChem. 2022. V. 14. № 1. Art. e202101182
- Yambulatov D.S., Nikolaevskii S.A., Kiskin M.A. et al. // Molecules. 2020. V. 25. № 9. P. 2054.
- Romashev N.F., Bakaev I.V., Komlyagina V.I. et al. // J. Struct. Chem. 2022. V. 63. № 8. P. 1304.
- Romashev N.F., Mirzaeva I.V., Bakaev I.V. et al. // J. Struct. Chem. 2022. V. 63. № 2. P. 242.
- Romashev N.F., Bakaev I.V., Komlyagina V.I. et al. // Int. J. Mol. Sci. 2023. V. 24. № 13. P. 10457.
- Komlyagina V.I., Romashev N.F., Besprozvannykh V.K. et al. // Inorg. Chem. 2023. V. 62. № 29. P. 11541.
- Razborov D.A., Lukoyanov A.N., Makarov V.M. et al. // Russ. Chem. Bull. 2015. V. 64. № 10. P. 2377.
- Anga S., Paul M., Naktode K. et al. // Z. Anorg. Allg. Chem. 2012. V. 638. № 9. P. 13115.
- Lukoyanov A.N., Fomenko I.S., Gongola M.I. et al. // Molecules. 2021. V. 26. № 18. P. 5706.
- Anga S., Pal T., Kottalanka R.K. et al. // Can. Chem. Trans. 2013. V. 1. № 2. P. 105.
- Anga S., Rej S., Naktode K. et al. // J. Chem. Sci. 2015. V. 127. № 1. P. 103.
- Gao B., Gao W., Wu Q. et al. // Organometallics. 2011. V. 30. № 20. P. 5480.
- Carrington S.J., Chakraborty I., Mascharak P.K. // Dalton Trans. 2015. V. 44. № 31. P. 13828.
- Hazari A.S., Das A., Ray R. et al. // Inorg. Chem. 2015. V. 54. № 10. P. 4998.
- Visentin L.C., Ferreira L.C., Bordinhão J. et al. // J. Braz. Chem. Soc. 2010. V. 21. № 7. P. 1187.
- Bhattacharjee J., Sachdeva M., Banerjee I. et al. // J. Chem. Sci. 2016. V. 128. № 6. P. 875.
- Singha Hazari A., Ray R., Hoque M.A. et al. // Inorg. Chem. 2016. V. 55. № 16. P. 8160.
- Tang X., Huang Y.T., Liu H. et al. // J. Organomet. Chem. 2013. V. 729. P. 95.
- Фоменко Я.С., Надолинный В.А., Ефимов Н.Н. и др. // Коорд. Химия. 2019. V. 45. № 11. P. 672 (Fomenko I.S., Nadolinny V.A., Efimov N.N. et al. // Russ. J. Coord. Chem. 2019. V. 45. P. 776). https://doi.org/10.1134/S1070328419110022
- Komlyagina V.I., Romashev N.F., Kokovkin V.V. et al. // Molecules. 2022. V. 27. № 20. P. 6961.
- Kuznetsova A.A., Volchek V.V., Yanshole V.V. et al. // Inorg. Chem. 2022. V. 61. № 37. P. 14560.
- APEX3. SAINT. Madison (WI, USA): Bruker AXS Inc., 2018.
- Krause L., Herbst-Irmer R., Sheldrick G.M., Stalke D. // J. Appl. Crystallogr. 2015. V. 48. № 1. P. 3.
- Sheldrick G.M. // Acta Crystallogr. C. 2015. V. 71. P. 3.
- Sheldrick G.M. // Acta Crystallogr. A.2015. V. 71. № 1. P. 3.
- Coventry D.N., Batsanov A.S., Goeta A.E. et al. // Polyhedron. 2004. V. 23. № 17. P. 2789.
- Romashev N.F., Gushchin A.L., Fomenko I.S. et al. // Polyhedron. 2019. V. 173. P. 114110.
- Romashev N.F., Abramov P.A., Bakaev I.V. et al. // Inorg. Chem. 2022. V. 61. № 4. P. 2105.
- Wang J., Ganguly R., Yongxin L. et al. // Dalton Trans. 2016. V. 45. № 19. P. 7941.
Supplementary files








