Координационный полимер или кластер: бис(3,5-ди-tOc-о-семихинолят) цинка с пиразином
- Авторы: Малеева А.В.1, Трофимова О.Ю.1, Кочерова Т.Н.1, Якушев И.А.2, Богомяков А.С.3, Пискунов А.В.1
-
Учреждения:
- Институт металлоорганической химии им. Г.А. Разуваева РАН
- Институт общей и неорганической химии им. Н.С. Курнакова РАН
- Институт “Международный томографический центр” СО РАН
- Выпуск: Том 49, № 11 (2023)
- Страницы: 693-705
- Раздел: Статьи
- URL: https://ogarev-online.ru/0132-344X/article/view/162360
- DOI: https://doi.org/10.31857/S0132344X23600315
- EDN: https://elibrary.ru/NBZBCX
- ID: 162360
Цитировать
Полный текст
Аннотация
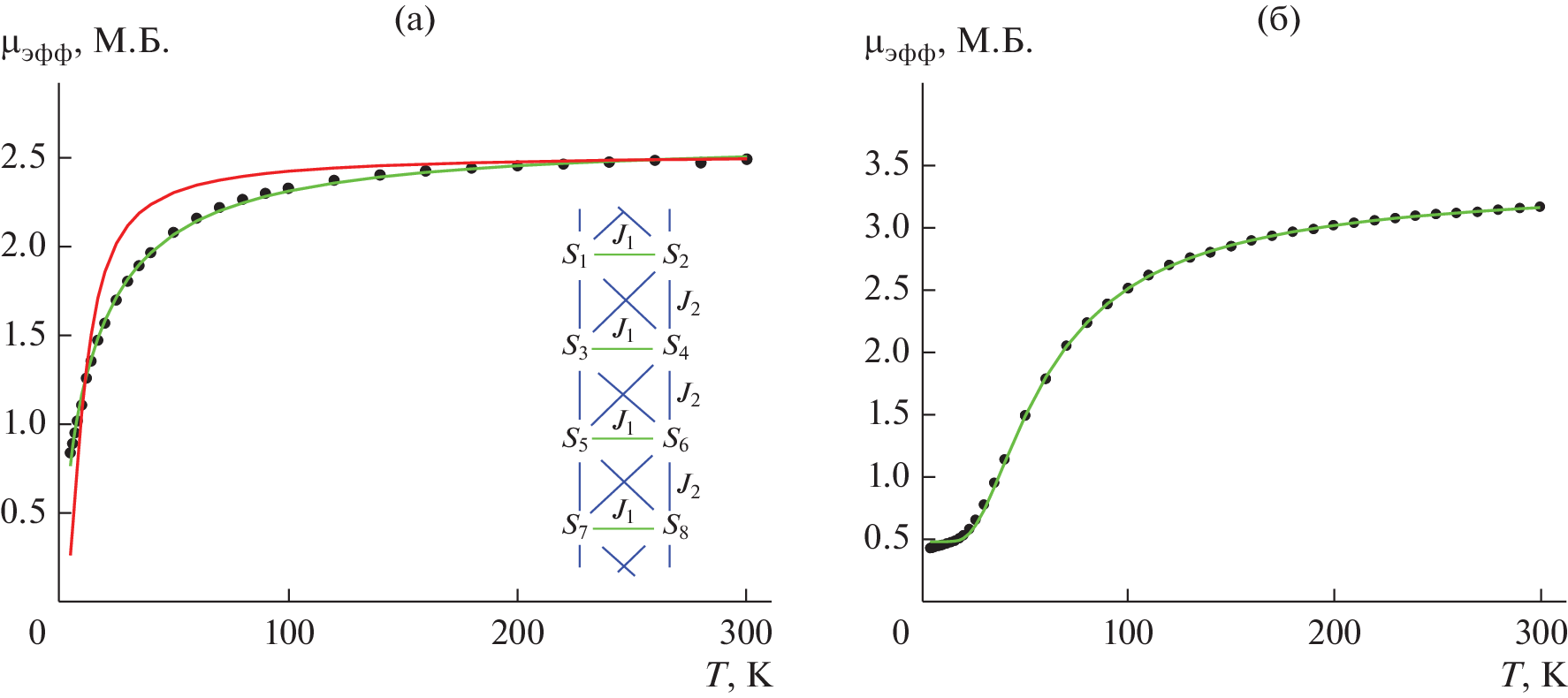
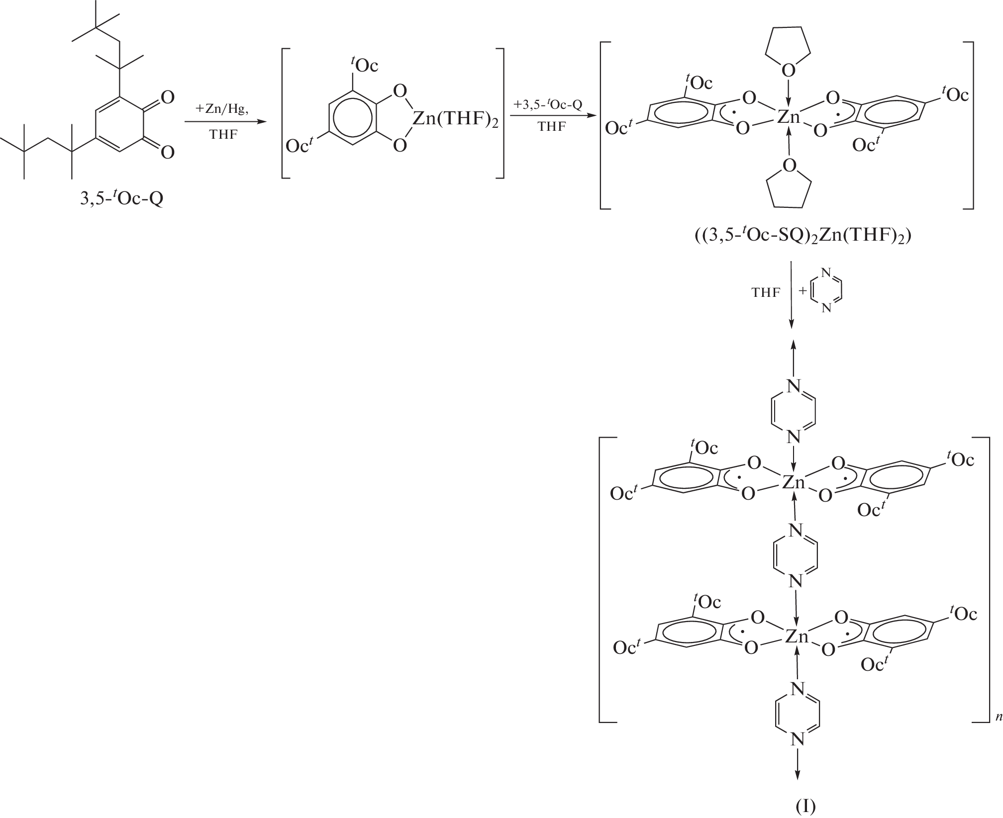
Получены новые бис-о-семихинолятные комплексы цинка на основе 3,5-ди-трет-октил-о-бензохинона, содержащие координированный на металл N-донорный лиганд – пиразин. В зависимости от метода синтеза бирадикального производного цинка могут быть получены два различных продукта: координационный полимер (прямое окисление металлического цинка о-хиноном (CCDC № 2250574 (I)) или полиядерный кластер (обменная реакция (CCDC № 2250575 (II)). Координационный полимер имеет линейное строение и свободен от межмолекулярных π,π-взаимодействий между ароматическими фрагментами соседних молекул. Магнетохимическое исследование комплексов I и II показывает, что доминирующими являются внутримолекулярные антиферромагнитные обменные взаимодействия между спинами о-семихинолятных радикальных центров.
Об авторах
А. В. Малеева
Институт металлоорганической химии им. Г.А. Разуваева РАН
Email: arina@iomc.ras.ru
Россия, Нижний Новгород
О. Ю. Трофимова
Институт металлоорганической химии им. Г.А. Разуваева РАН
Email: pial@iomc.ras.ru
Россия, Нижний Новгород
Т. Н. Кочерова
Институт металлоорганической химии им. Г.А. Разуваева РАН
Email: pial@iomc.ras.ru
Россия, Нижний Новгород
И. А. Якушев
Институт общей и неорганической химии им. Н.С. Курнакова РАН
Email: pial@iomc.ras.ru
Россия, Москва
А. С. Богомяков
Институт “Международный томографический центр” СО РАН
Email: pial@iomc.ras.ru
Россия, Новосибирск
А. В. Пискунов
Институт металлоорганической химии им. Г.А. Разуваева РАН
Автор, ответственный за переписку.
Email: pial@iomc.ras.ru
Россия, Нижний Новгород
Список литературы
- Pierpont C.G. // Coord. Chem. Rev. 2001. V. 219−221. P. 415.
- Ершова И.В., Пискунов А.В., Черкасов В.К. // Успехи химии. 2020. Т. 89. № 11. С. 1157 (Ershova I.V., Piskunov A.V., Cherkasov V.K. // Russ. Chem. Rev. 2020. V. 89. P. 1157). https://doi.org/10.1070/RCR4957
- Бубнов М.П., Пискунов А.В., Золотухин А.А. и др. // Коорд. химия. 2020. Т. 46. № 4. С. 204 (Bubnov M.P., Piskunov A.V., Zolotukhin A.A. et al. // Russ. J. Coord. Chem. 2020. V. 46. P. 224). https://doi.org/10.31857/S0132344X20030019
- Kaim W., Das A., Fiedler J. et al. // Coord. Chem. Rev. 2020. V. 404. Art. e213114.
- Rajput A., Sharma A.K., Barman S.K., et al. // Coord. Chem. Rev. 2020. V. 414. Art. e213240.
- Pashanova K.I., Poddel’sky A.I., Piskunov A.V. // Coord. Chem. Rev. 2022. V. 459. P. 214399.
- Чегерев М.Г., Пискунов А.В. // Коорд. химия. 2018. Т. 44. С. 109 (Chegerev M.G., Piskunov A.V. // Russ. J. Coord. Chem. 2018. V. 44. P. 258). https://doi.org/10.7868/S0132344X18020044
- Ершова И.В., Пискунов А.В. // Коорд. химия. 2020. Т. 46. № 3. С. 132 (Ershova I.V., Piskunov A.V. // Russ. J. Coord. Chem. 2020. V. 46. № 3. P. 154). https://doi.org/10.31857/S0132344X20030020
- Pierpont C.G. // Coord. Chem. Rev. 2001. V. 216–217. P. 99.
- Buchanan R.M., Pierpont C.G. // J. Am. Chem. Soc. 1980. V. 102. P. 4951.
- Shapovalova S.O., Guda A.A., Bubnov M.P. et al. // Chem. Lett. 2021. V. 50. P. 1933.
- Bubnov M.P., Skorodumova N.A., Fukin G.K. et al. // Polyhedron. 2021. V. 209. P. 115485.
- Tezgerevska T., Alley K.G., Boskovic C. // Coord. Chem. Rev. 2014. V. 268. P. 23.
- Drath O., Gable R.W., Moubaraki B. et al. // Inorg. Chem. 2016. V. 55. P. 4141.
- Hendrickson D.N., Pierpont C.G. // Top. Curr. Chem. 2004. V. 234. P. 63.
- Jung O.-S., Pierpont C.G. // J. Am. Chem. Soc. 1994. V. 116. P. 2229.
- Bubnov M.P., Kozhanov K.A., Skorodumova N.A. et al. // Inorg. Chem. 2020. V. 59. P. 6679.
- Zolotukhin A.A., Bubnov M.P., Arapova A.V. et al. // Inorg. Chem. 2017. V. 56. P. 14751.
- Guda A.A., Chegerev M.G., Starikov A.G. et al. // J. Phys.: Condens. Matter. 2021. V. 33. P. 215405.
- Ilyakina E.V., Poddel’sky A.I., Cherkasov V.K. et al. // Mendeleev Commun. 2012. V. 22. P. 208.
- Cherkasov V.K., Abakumov G.A., Grunova E.V. et al. // Chem. Eur. J. 2006. V. 12. P. 3916.
- Arsenyeva K.V., Klimashevskaya A.V., Pashanova K.I. et al. // Appl. Organomet. Chem. 2022. V. 36. № 4. Art. e6593.
- Ershova I.V., Meshcheryakova I.N., Trofimova O.Y. et al. // Inorg. Chem. 2021. V. 60. P. 12309.
- Ershova I.V., Meshcheryakova I.N., Trofimova O.Y. et al. // Inorg. Chim. Acta. 2022. V. 535. P. 121031.
- Pashanova K.I., Bitkina V.O., Yakushev I.A. et al. // Molecules. 2021. V. 26. P. 4622.
- Maleeva A.V., Ershova I.V., Trofimova O.Y. et al. // Mendeleev Commun. 2022. V. 32. P. 83.
- Ершова И.В., Малеева А.В., Айсин Р.Р. и др. // Изв. АН. Сер. хим. 2023. Т. 72. № 1. С. 193 (Ershova I.V., Maleeva A.V., Aysin R.R. et al. // Russ. Chem. Bull. 2023. V. 72. № 1. P. 193). https://doi.org/10.1007/s11172-023-3724-2
- Малеева А.В., Трофимова О.Ю., Ершова И.В. и др. // Изв. АН. Сер. хим. 2023. № 7. С. 1441 (Maleeva A.V., Trofimova O.Y., Ershova I.V. et al. // Russ. Chem. Bull. 2022. V. 71. P. 1441). https://doi.org/10.1007/s11172-022-3550-y
- Cameron L.A., Ziller J.W., Heyduk A.F. // Chem. Sci. 2016. V. 7. P. 1807.
- Kramer W.W., Cameron L.A., Zarkesh R.A. et al. // Inorg. Chem. 2014. V. 53. P. 8825.
- Archer S., Weinstein J.A. // Coord. Chem. Rev. 2012. V. 256. P. 2530.
- BaniKhaled M.O., Becker J.D., Koppang M. et al. // Cryst. Growth Des. 2016. V. 16. P. 1869.
- Tichnell C.R., Daley D.R., Stein B.W. et al. // J. Am. Chem. Soc. 2019. V. 141. P. 3986.
- Stein B.W., Tichnell C.R., Chen J. et al. // J. Am. Chem. Soc. 2018. V. 140. P. 2221.
- Kirk M.L., Shultz D.A., Chen J. et al. // J. Am. Chem. Soc. 2021. V. 143. P. 10519.
- Kirk M.L., Shultz D.A., Hewitt P. et al. // Chem. Sci. 2021. V. 12. P. 13704.
- Kirk M.L., Shultz D.A., Hewitt P. et al. // J. Am. Chem. Soc. 2022. V. 144. P. 12781.
- Shavaleev N.M., Davies E.S., Adams H. et al. // Inorg. Chem. 2008. V. 47. P. 1532.
- Yang J., Kersi D., Giles L.J. et al. // Inorg. Chem. 2014. V. 53. P. 4791.
- Sobottka S., Noßler M., Ostericher A.L. et al. // Chem. Eur. J. 2020. V. 26. P. 1314.
- Ovcharenko V.I., Sagdeev R.Z. // Russ. Chem. Rev. 1999. V. 68. P. 345.
- Koivisto B.D., Hicks R.G. // Coord. Chem. Rev. 2005. V. 249. P. 2612.
- Ratera I., Veciana J. // Chem. Soc. Rev. 2012. V. 41. P. 303.
- Iwamura H. // Polyhedron. 2013. V. 66. P. 3.
- Faust T.B., D’Alessandro D.M. // RSC Adv. 2014. V. 4. P. 17498.
- Vostrikova K.E. // Coord. Chem. Rev. 2008. V. 252. № 12–14. P. 1409.
- Halcrow M.A. N.Y.: John Wiley & Sons, Ltd., 2013. 576 p.
- Poddel’sky A.I., Cherkasov V.K., Abakumov G.A. // Coord. Chem. Rev. 2009. V. 253. P. 291.
- Paretzki A., Hubner R., Ye S. et al. // Mater. Chem. C. 2015. V. 3. P. 4801.
- Paretzki A., Bubrin M., Fiedler J. et al. // Chem. Eur. J. 2014. V. 20. P. 5414.
- Piskunov A.V., Maleeva A.V., Bogomyakov A.S. et al. // Polyhedron. 2015. V. 102. P. 715.
- Piskunov A.V., Maleeva A.V., Fukin G.K. et al. // Inorg. Chim. Acta. 2017. V. 455. P. 213.
- Piskunov A.V., Maleeva A.V., Bogomyakov A.S. et al. // Russ.Chem. Bull. 2017. V. 66. P. 1618.
- Bellan E.V., Poddel’sky A.I., Protasenko N.A. et al. // Inorg. Chem. Commun. 2014. V. 50. P. 1.
- Пискунов А.В., Малеева А.В., Богомяков А.С. и др. // Коорд. химия. 2019. Т. 45. № 5. С. 259 (Piskunov A.V., Maleeva A.V., Bogomyakov A.S. et al. // Russ. J. Coord. Chem. 2019. V. 45. P. 309). https://doi.org/10.1134/S0132344X19050025
- Perrin D.D., Armarego W.L.F., Perrin D.R. Purification of Laboratory Chemicals. Oxford: Perrin Pergamon Press, 1980. 568 p.
- Кочерова Т.Н., Дружков Н.О., Арсеньев М.В. и др. // Изв. АН. Сер. хим. 2023. Т. 72. № 5. С. 1192 (Kocherova T.N., Druzhkov N.O., Arsenyev M.V. et al. // Russ. Chem. Bul. 2023. V. 72. № 5. P. 1192).
- Пискунов А.В., Малеева А.В., Абакумов Г.А. и др. // Коорд. химия. 2011. Т. 37. № 4. С. 243 (Piskunov A.V., Maleeva A.V., Abakumov G.A. et al. // Russ. J. Coord. Chem. 2011. V. 37. P. 243). https://doi.org/10.1134/S1070328411030092
- Piskunov A.V., Mescheryakova I.N., Bogomyakov A.S. et al. // Inorg. Chem. Commun. 2009. V. 12. P. 1067.
- Bruker, APEX3, SAINT, and, SADABS. Madison (WI, USA): Bruker, AXS, Inc., 2016.
- Krause L., Herbst-Irmer R., Sheldrick G.M., Stalke D. // J. A-ppl. Cryst. 2015. V. 48. P. 3.
- Sheldrick G.M. // Acta Crystallogr. A. 2015. V. 71. P. 3.
- Sheldrick G.M. // Acta Crystallogr. C. 2015. V. 71. P. 3.
- Spek A.L. // Acta Crystallogr. C. 2015. V. 71. P. 9.
- Dolomanov O.V., Bourhis L.J., Gildea R.J. et al. // J. Ap-pl. Cryst. 2009. V. 42. P. 339.
- Brown S.N. // Inorg. Chem. 2012. V. 51. P. 1251.
- Glavinović M., Qi F., Katsenis A.D. et al. // Chem. Sci. 2016. V. 7. P. 707.
- Piskunov A.V., Meshcheryakova I.N., Maleeva A.V. et al. // Eur. J. Inorg. Chem. 2014. № 20. P. 3252.
- Batsanov S.S. // Russ. J. Inorg. Chem. 1991. V. 36. № 12. P. 1694.
- Emsley J. Elements. Oxford: Clarendon Press, 1991. 251 p.
- Dankert F., Hänisch C. // Inorg. Chem. 2019. V. 58. P. 3518.
- Sugimoto K., Takaya H., Maekawa M. et al. // Cryst. Growth Des. 2018. V. 18. P. 571.
- Dange D., Choong S.L., Schenk C. et al. // Dalton Trans. 2012. V. 41. P. 9304.
- Li F., Yin H., Wang D. // Acta Crystallogr. E. 2006. V. 62. P. m437.
- Zábranský M., Císařováa I., Štěpnička P. // Dalton Trans. 2015. V. 44. Art. e14494.
- Raston C.L., Whitaker C.R., White A.H. // Aust. J. Chem. 1989. V. 42. P. 1393.
- Voegel J.C., Thierry J.C., Weiss R.// Acta Crystallogr. B. 1974. V. 30. P. 56.
- Knölker H.-J., Baum E., Goesmann H. et al. // Angew. Chem. Int. Ed. 1999. V. 38. P. 2064.
- Ozarowski A., McGarvey B.R., Peppe C. et al. // J. Am. Chem. Soc. 1991. V. 113. P. 3288.
- Ovcharenko V.I., Gorelik E.V., Fokin S.V. et al. // J. Am. Chem. Soc. 2007. V. 129. P. 10512.
- Piskunov A.V., Ershova I.V., Bogomyakov A.S. et al. // Inorg. Chem. 2015. V. 54. P. 6090.
Дополнительные файлы











