Синтез, строение и магнитные свойства гетерометаллических карбоксилатных комплексов с металлоостовами {Co2Ln} и {Co2Li2}
- Авторы: Рубцова И.К.1, Николаевский С.А.1, Еременко И.Л.1, Кискин М.А.1
-
Учреждения:
- Институт общей и неорганической химии им. Н.С. Курнакова РАН
- Выпуск: Том 49, № 11 (2023)
- Страницы: 669-684
- Раздел: Статьи
- URL: https://ogarev-online.ru/0132-344X/article/view/162358
- DOI: https://doi.org/10.31857/S0132344X23600297
- EDN: https://elibrary.ru/FUDXFP
- ID: 162358
Цитировать
Полный текст
Аннотация
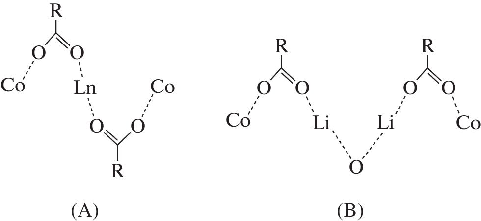
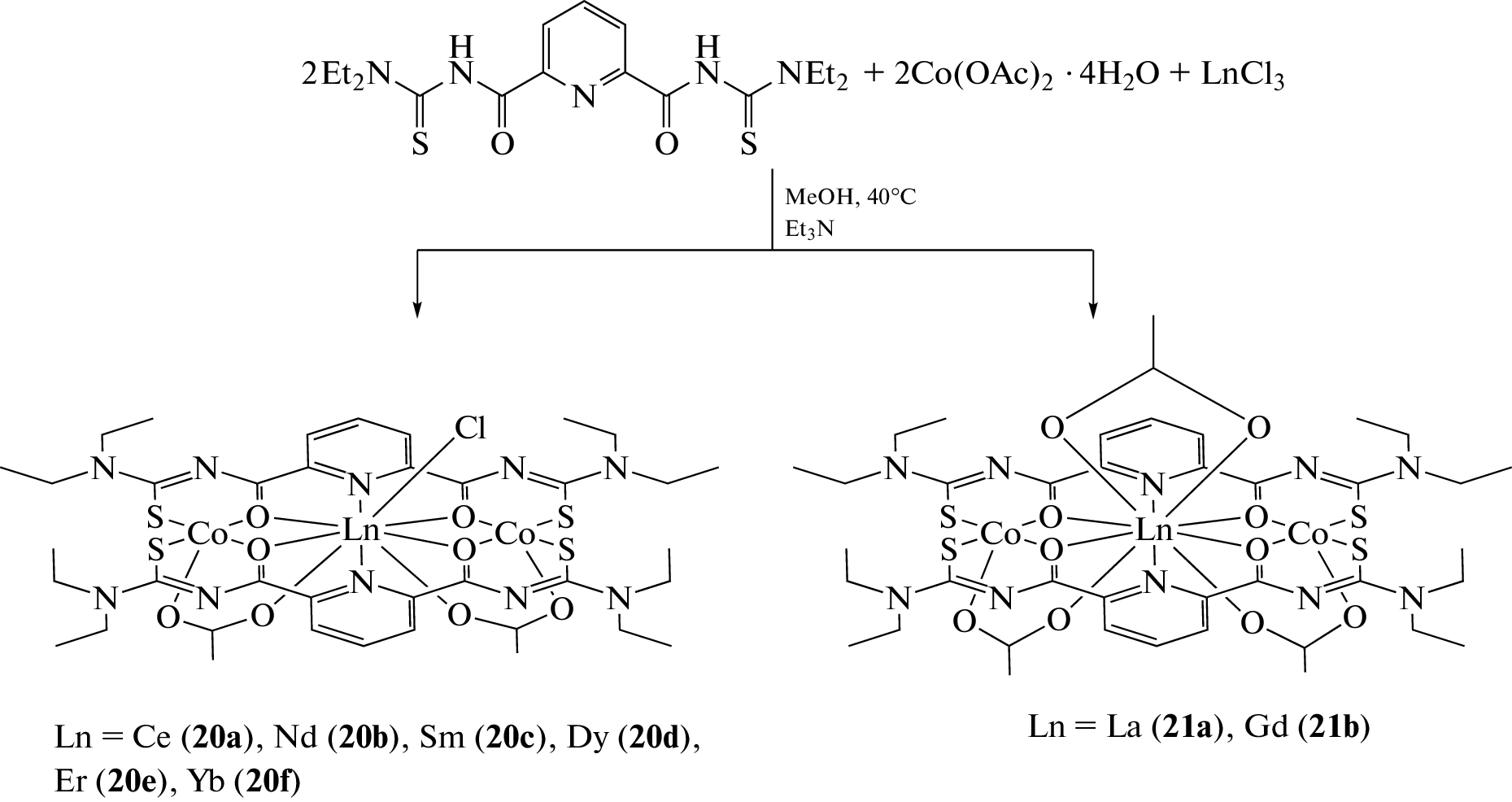
В обзоре систематизированы результаты исследований гетерометаллических трехъядерных {\({\text{Co}}_{2}^{{{\text{II}}}}\)Ln} и тетраядерных {\({\text{Co}}_{2}^{{{\text{II}}}}\)Li2} карбоксилатных координационных соединений. Обсуждены методы их синтеза, также рассмотрены их строение и магнитные свойства.
Об авторах
И. К. Рубцова
Институт общей и неорганической химии им. Н.С. Курнакова РАН
Email: sanikol@igic.ras.ru
Москва, Россия,
С. А. Николаевский
Институт общей и неорганической химии им. Н.С. Курнакова РАН
Email: sanikol@igic.ras.ru
Россия, Москва
И. Л. Еременко
Институт общей и неорганической химии им. Н.С. Курнакова РАН
Email: sanikol@igic.ras.ru
Россия, Москва
М. А. Кискин
Институт общей и неорганической химии им. Н.С. Курнакова РАН
Автор, ответственный за переписку.
Email: sanikol@igic.ras.ru
Россия, Москва
Список литературы
- Yang D., Chen Y., Su Z. et al. // Coord. Chem. Rev. 2021. V. 428. P. 213619.
- Rice A.M., Leith G.A., Ejegbavwo O.A. et al. // ACS Energy Lett. 2019. V. 4. № 8. P. 1938.
- Lamiel C., Hussain I., Rabiee H. et al. // Coord. Chem. Rev. 2023. V. 480. P. 215030.
- Shen J.-Q., Liao P.-Q., Zhou D.-D. et al. // J. Am. Chem. Soc. 2017. V. 139. № 5. P. 1778.
- Rosado Piquer L., Sañudo E.C. // Dalton Trans. 2015. V. 44. № 19. P. 8771.
- Dey A., Acharya J., Chandrasekhar V. // Chem. Asian J. 2019. V. 14. № 24. P. 4433.
- Wang J. Feng M., Akhtar M.N., Tong M.-L. // Coord. Chem. Rev. 2019. V. 387. P. 129.
- Monteiro B., Coutinho J.T., Pereira L.C.J. Lanthanide-Based Multifunctional Materials. Elsevier, 2018. P. 233.
- Sidorov A.A., Kiskin M.A., Aleksandrov G.G. et al. // Russ. J. Coord. Chem. 2016. V. 42. № 10. P. 621.
- Sidorov A.A., Gogoleva N.V., Bazhina E.S. et al. // Pure Appl. Chem. 2020. V. 92. № 7. P. 1093.
- Andruh M., Costes J.-P., Diaz C., Gao S. // Inorg. Chem. 2009. V. 48. № 8. P. 3342.
- Andruh M. // Dalton Trans. 2015. V. 44. № 38. P. 16633.
- Darago L.E., Boshart M.D., Nguyen B.D. et al. // J. Am. Chem. Soc. 2021. V. 143. № 22. P. 8465.
- Zheng Y.-Z., Evangelisti M., Tuna F., Winpenny R.E.P. // J. Am. Chem. Soc. 2012. V. 134. № 2. P. 1057.
- Zheng Y.-Z., Evangelisti M., Winpenny R.E.P. // Chem. Sci. 2011. V. 2. № 1. P. 99.
- Peng J.-B., Zhang Q.-C., Kong X.-J. et al. // J. Am. Chem. Soc. 2012. V. 134. № 7. P. 3314.
- Le Roy J.J., Cremers J., Thomlinson I.A. et al. // Chem. Sci. 2018. V. 9. № 45. P. 8474.
- Elias J.S., Risch M., Giordano L. et al. // J. Am. Chem. Soc. 2014. V. 136. № 49. P. 17193.
- Zhang H., Ma J., Chen D. et al. // J. Mater. Chem. A. 2014. V. 2. № 48. P. 20450.
- Kumar K., Chorazy S., Nakabayashi K. et al. // J. Mater. Chem. C. 2018. V. 6. № 31. P. 8372.
- Wang J., Chorazy S., Nakabayashi K. et al. // J. Mater. Chem. C. 2018. V. 6. № 3. P. 473.
- Xin Y., Wang J., Zychowicz M. et al. // J. Am. Chem. Soc. 2019. V. 141. № 45. P. 18211.
- Zhu M., Zhang H., Ran G. et al. // J. Am. Chem. Soc. 2021. V. 143. № 19. P. 7541.
- Hong S., Pfaff F.F., Kwon E. et al. // Angew. Chem. Int. Ed. 2014. V. 53. № 39. P. 10403.
- Hong S., Pfaff F.F., Kwon E. et al. // Angew. Chem. Int. Ed. 2017. V. 56. № 36. P. 10630.
- King E.R., Betley T.A. // J. Am. Chem. Soc. 2009. V. 131. № 40. P. 14374.
- Andrez J., Guidalb V., Scopelliti R. et al. // J. Am. Chem. Soc. 2017. V. 139. № 25. P. 8628.
- Wei Z., Han H., Filatov A.S., Dikarev E.V. // Chem. Sci. 2014. V. 5. № 2. P. 813.
- Tey S.L., Reddy M.V., Subba Rao G.V. et al. // Chem. Mater. 2006. V. 18. № 6. 18. P. 1587.
- Boyle T.J., Rodriguez M.A., Ingersoll D. et al. // Chem. Mater. 2003. V. 15. № 20. P. 3903.
- Chen C., Hecht M.B., Kavara A. et al. // J. Am. Chem. Soc. 2015. V. 137. № 41. P. 13244.
- Goetz M.K., Hill E.A., Filatov A.S., Anderson J.S. // J. Am. Chem. Soc. 2018. V. 140. № 41. P. 13176.
- Nurdin L., Spasyuk D.M., Fairburn L. et al. // J. Am. Chem. Soc. 2018. V. 140. № 47. P. 16094.
- Rowsell J.L.C., Yaghi O.M. // Microporous Mesoporous Mater. 2004. V. 73. № 1–2. P. 3.
- Chui S.S.-Y., Lo S.M.-F., Charmant J.P.H. et al. // Science. 1999. V. 283. № 5405. P. 1148.
- Serre C., Mellot-Draznieks C., Surblé S. et al. // Science. 2007. V. 315. № 5820. P. 1828.
- Agafonov M.A., Alexandrov E.V., Artyukhova N.A. et al. // J. Struct. Chem. 2022. V. 63. № 5. P. 671.
- Cui Y., Chen J.-T., Long D.-L. et al. // Dalton Trans. 1998. № 18. P. 2955.
- Cui Y., Chen G., Ren J. et al. // Inorg. Chem. 2000. V. 39. № 18. P. 4165.
- Bykov M.A., Emelina A.L., Orlova E.V. et al. // Russ. J. Inorg. Chem. 2009. V. 54. № 4. P. 548.
- Pakhmutova E.V., Malkov A.E., Mikhailova T.B. et al. // Russ. Chem. Bull. 2003. V. 52. № 10. P. 2117.
- Sapianik A.A., Lutsenko I.A., Kiskin M.A. et al. // Russ. Chem. Bull. 2016. V. 65. № 11. P. 2601.
- Kiskin M., Zorina-Tikhonova E., Kolotilov S. et al. // Eur. J. Inorg. Chem. 2018. V. 2018. № 12. P. 1356.
- Lutsenko I.A., Kiskin M.A., Nikolaevskii S.A. et al. // ChemistrySelect. 2019. V. 4. № 48. P. 14261.
- Wu B. // J. Coord. Chem. 2008. V. 61. № 16. P. 2558.
- Wu B., Hou T. // Acta Crystallogr. E. 2010. V. 66. № 4. P. m457.
- Wu B., Zhao C.-X. // Acta Crystallogr. E. 2010. V. 66. № 9. P. m1075.
- Lu W.M., Wu J.-B., Dong N., Chun W.-G. // Acta Crystallogr. C. 1995. V. 51. № 8. P. 1568.
- Zhu Y., Luo F., Feng X.-F. et al. // Aust. J. Chem. 2013. V. 66. № 1. P. 75.
- Yambulatov D.S., Nikolaevskii S.A., Shmelev M.A. et al. // Mendeleev Commun. 2021. V. 31. № 5. P. 624.
- Fursova E.Yu., Kuznetsova O.V., Ovcharenko V.I. et al. // Russ. Chem. Bull. 2007. V. 56. № 9. P. 1805.
- Nikolaevskii S.A., Petrov P.A., Sukhikh T.S. et al. // Inorg. Chim. Acta. 2020. V. 508. P. 119643.
- Nikolaevskii S.A., Yambulatov D.S., Voronina J.K. et al. // ChemistrySelect. 2020. V. 5. № 41. P. 12829.
- Trieu T.N., Nguyen M.H., Abram U. et al. // Z. Anorg. Allg. Chem. 2015. V. 641. № 5. P. 863.
- Jesudas J.J., Pham C.T., Hagenbach A. et al. // Inorg. Chem. 2020. V. 59. № 1. P. 386.
- Tang Q., Sun Y., Li H.-Y. et al. // Appl. Organometal. Chem. 2019. V. 33. № 4. P. e4814.
- Shmelev M.A., Voronina Yu.K., Chekurova S.S. et al. // Russ. J. Coord. Chem. 2021. V. 47. № 8. P. 551.
- Dobrohotova Zn.V., Sidorov A.A., Kiskin M.A. et al. // J. Solid State Chem. 2010. V. 183. № 10. P. 2475.
- Cheprakova E.M., Verbitskiy E.V., Kiskin M.A. et al. // Polyhedron. 2015. V. 100. P. 89.
- Sapianik A.A., Kiskin M.A., Kovalenko K.A. et al. // Dalton Trans. 2019. V. 48. № 11. P. 3676.
- Kuznetsova G.N., Nikolaevskii S.A., Yambulatov D.S. et al. // J. Struct. Chem. 2021. V. 62. № 2. P. 184.
- Dobrokhotova Z., Emelina A., Sidorov A. et al. // Polyhedron. 2011. V. 30. № 1. P. 132.
- Gol’dberg A.E., Nikolaevskii S.A., Kiskin M.A. et al. // Russ. J. Coord. Chem. 2015. V. 41. № 12. P. 777. https://doi.org/10.1134/S1070328415120015
- Zorina-Tikhonova E.N., Aleksandrov G.G., Kiskin M.A. et al. // Russ. J. Coord. Chem. 2019. V. 45. № 10. P. 689. https://doi.org/10.1134/S1070328419100099
Дополнительные файлы





















