Поиск отечественных фармацевтических субстанций в ряду металлокомплексов на основе (гет)ариламидов 4-арил-2-гидрокси-4-оксо-2-бутеновых кислот
- Авторы: Пулина Н.А.1, Собин Ф.В.1, Краснова А.И.1
-
Учреждения:
- Пермская государственная фармацевтическая академия
- Выпуск: Том 49, № 10 (2023)
- Страницы: 644-650
- Раздел: Статьи
- URL: https://ogarev-online.ru/0132-344X/article/view/162300
- DOI: https://doi.org/10.31857/S0132344X23600182
- EDN: https://elibrary.ru/TGGNTC
- ID: 162300
Цитировать
Полный текст
Аннотация
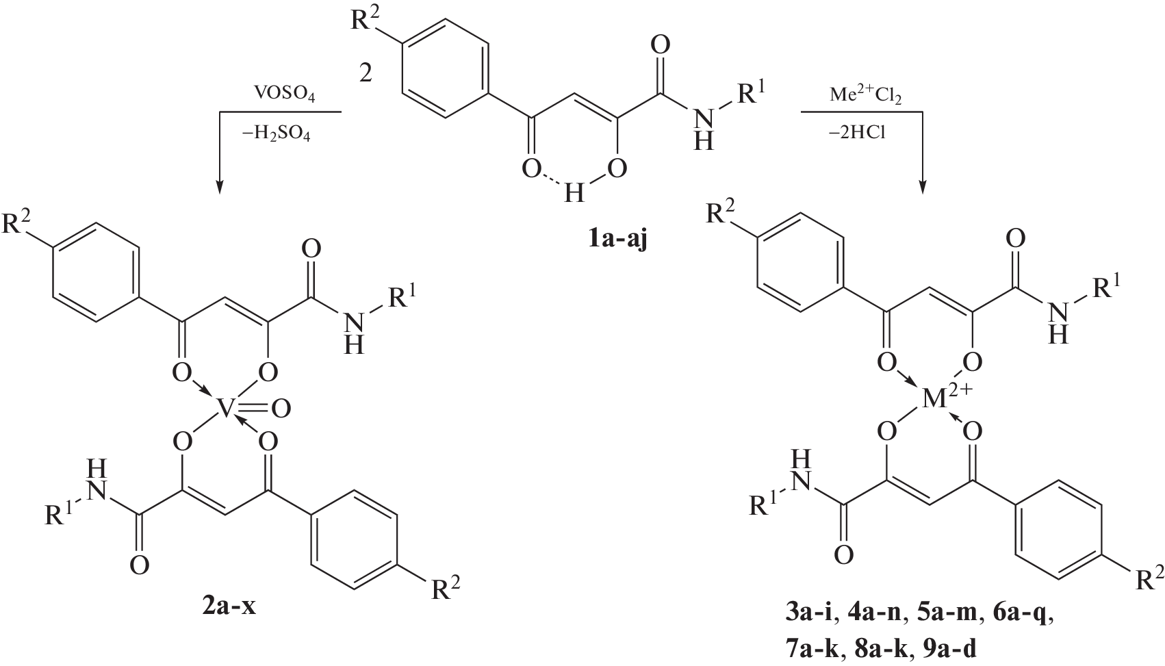
Обобщены полученные данные по синтезу и поиску биологически активных соединений в ряду металлокомплексов на основе (гет)ариламидов 4-арил-2-гидрокси-4-оксо-2-бутеновых кислот. Проведен анализ результатов по антимикробной, противовоспалительной, анальгетической, гипогликемической, антигипоксической и иммунотропной активности синтезированных соединений. Обсуждена связь химического строения с биологической активностью хелатных комплексов и установлены некоторые закономерности. Выделены перспективные соединения для дальнейших исследований и создания новых отечественных фармацевтических субстанций.
Об авторах
Н. А. Пулина
Пермская государственная фармацевтическая академия
Email: fff-2005@mail.ru
Россия, Пермь
Ф. В. Собин
Пермская государственная фармацевтическая академия
Email: fff-2005@mail.ru
Россия, Пермь
А. И. Краснова
Пермская государственная фармацевтическая академия
Автор, ответственный за переписку.
Email: fff-2005@mail.ru
Россия, Пермь
Список литературы
- Beyer C., Cleisen L. // Ber. Deutsch. Chem. Ges. 1887. № 2. P. 2178.
- Brömme E., Claisen L. // Ber. Deutsch. Chem. Ges. 1888. № 1. P. 1131.
- Андрейчиков Ю.С., Гейн В.Л., Залесов В.В. и др. Химия пятичленных 2,3-диоксогетероциклов. Пермь: Изд-во Перм. гос. ун-та, 1994. 211 с.
- Перевалов С.Г., Бургарт Я.В., Салоутин В.И. и др. // Успехи химии. 2001. Т. 70. № 11. С. 1039 (Perevalov S.G., Burgart Ya.V., Saloutin V.I. et al. // Russ. Chical Rev. 2001. V. 70. № 11. P. 921).
- Козьминых В.О., Козьминых Е.Н. // Хим.-фарм. журн. 2004. Т. 38. № 2. С. 10 (Kozminykh V.O., Kozminykh E.N. // Pharm. Chem. J. 2004. V. 38. P. 67).
- Williams H.W.R., Eichler E., Randall W.C. et al. // J. Med. Chem. 1983. № 26. P. 1196.
- Drysdale M.J., Hind S.L., Jansen M. et al. // J. Med. Chem. 2000. № 43. P. 123.
- Pais G.C.G., Zhang X., Marchand C. et al. // J. Med. Chem. 2002. № 45. P. 3184.
- Maurin C., Bailly F., Cotelle P. // Tetrahedron. 2004. № 60. P. 6479.
- Maurin C., Bailly F., Mbemba G. et al. // Bioorg. Med. Chem. 2006. № 14. P. 2978.
- Juranić I.O., Tošić A.V., Kolundžija B. et al. // Mol. Di-vers. 2014. V. 18. № 3. P. 577.
- Mihajlovic K., Joksimović N., Radisavljević S. et al. // J. Mol. Struct. 2022. № 1270. P. 133943.
- Drakulić B.J., Stavri M., Gibbons S. et al. // ChemMedChem. 2009. V. 4. № 12. P. 1971.
- Cvijetic I.N., Verbic T.Z., Resende P.E. et al. // Eur. J. Med. Chem. 2017. № 143. P. 1474.
- Пулина Н.А., Липатников К.В., Дубровина С.С. и др. Пат. РФ 2717243 C2 // Б.И. 2020. № 8. 8 с.
- Stevaert A., Dallocchio R., Dessì A. et al. // J. Virol. 2013. V. 87. № 19. P. 10524.
- Пулина Н.А., Юшкова Т.А., Кузнецов А.С. и др. Пат. РФ 2655609 C2 // Б.И. 2018. № 16. 8 с.
- Sanna V., Youssef M.F., Pala N. et al. // ASC Med. Chem. Lett. 2020. № 11. P. 857.
- Fernández-García Y., Ter Horst S., Bassetto M. et al. // Antiviral Res. 2020. № 183. P. 104947.
- Пулина Н.А., Сыропятов Б.Я., Собин Ф.В. и др. Пат. РФ 2461550 C2 // Б.И. 2012. № 26. 6 с.
- Пулина Н.А., Кузнецов А.С., Старкова А.В. и др. Пат. РФ 2663624 C1 // Б.И. 2018. № 22. 7 с.
- Пулина Н.А., Кожухарь В.Ю., Старкова А.В. и др. Пат. РФ 2679450 C2 // Б.И. 2019. № 5. 8 с.
- Пулина Н.А., Кожухарь В.Ю., Кузнецов А.С. и др. // Изв. АН. Сер. хим. 2017. № 8. С. 1497 (Pulina N.A., Kozhukhar V.Y., Kuznetsov A.S. et al. // Russ. Chem. Bull. 2017. № 8. P. 1497).
- Клименко Л.Л., Скальный А.В., Турна А.А. и др. // Микроэлементы в медицине. 2016. Т. 17. № 4. С. 3.
- Barnhamabc K.J., Bush A.I. // Chem. Soc. Rev. 2014. № 43. P. 6727.
- Sechi M., Bacchi A., Carcelli M. et al. // J. Med. Chem. 2006. № 49. P. 4248.
- Bacchi A., Biemmi M., Carcelli M. et al. // J. Med. Chem. 2008. № 51. P. 7253.
- Bacchi A., Carcelli M., Compari C. et al. // J. Med. Chem. 2011. № 54. P. 8407.
- Carcelli M., Rogolino D., Sechi M. et al. // Eur. J. Med. Chem. 2014. № 83. P. 594.
- Landry B.R., Turnbull M.M., Twamley B. // J. Chem. Crystallogr. 2007. № 37. P. 81.
- Drakulić B.J., Stavri M., Gibbons S. et al. // ChemMedChem. 2009. № 4. P. 1971.
- Joksimović N., Baskić D., Popović S. et al. // Dalton Trans. 2016. № 45. P. 15067.
- Joksimović N., Janković N., Petronijević E. et al. // J. Med. Chem. 2020. № 16. P. 78.
- Joksimović N., Petronijević E., Radisavljević S. et al. // RSC Adv. 2022. № 16. P. 30501.
- Saloutin V.I., Perevalov S.G. // J. Fluor. Chem. 1999. № 96. P. 87.
- Shchur I.V., Shchegolkov E.V., Burgart Ya.S. et al. // Polyhedron. 2020. № 177. P. 114279.
- Shchegolkov E.V., Shchur I.V., Burgart Ya.S. et al. // Polyhedron. 2021. № 194. P. 114900.
- Saloutin V.I., Burgart Ya.S., Edilova Yu.O. et al. // Russ. Chem. Bull. 2021. V. 70. № 5. P. 839.
- Козьминых В.О., Муковоз П.П., Кириллова Е.А. и др. // Вестн. Оренбург. гос. ун-та. 2009. № 1. С. 128.
- Козьминых В.О., Кириллова Е.А., Виноградов А.Н. и др. // Вестн. Оренбург. гос. ун-та. 2009. № 4. С. 135.
- Кунавина Е.А., Козьминых В.О, Сизенцов А.Н. и др. // Журн. общ. химии. 2019. Т. 89. № 1. С. 78.
- Андрейчиков Ю.С., Милютин А.В., Крылова И.В. и др. // Хим.-фарм. журн. 1990. Т. 24. № 7. С. 33 (Andreychikov Yu.S., Milutin A.V., Krylova I.V. et al. // Pharm. Chem. J. 1990. V. 24. P. 473).
- Милютин А.В., Амирова Л.Р., Назаметдинов Ф.Я. и др. // Хим.-фарм. журн. 1996. Т. 30. № 6. С. 47 (Andreychikov Yu.S., Milutin A.V., Krylova I.V. et al. // Pharm. Chem. J. 1996. V. 30. P. 332).
- Козьминых В.О., Милютин А.В., Махмудов Р.Р. и др. // Хим.-фарм. журн. 2004. Т. 38. № 12. С. 21 (Kozminykh V.O., Milutin A.V., Makhmudov R.R. et al. // Pharm. Chem. J. 2004. V. 38. P. 665).
- Пулина Н.А., Залесов В.В., Юшков В.В. и др. // Вопр. биол. мед. фарм. химии. 2008. № 2. С. 37.
- Пулина Н.А., Юшкова Т.А., Краснова А.И. и др. // Фармация. 2009. № 7. С. 36.
- Пулина Н.А., Краснова А.И., Собин Ф.В. и др. // Бюл. сиб. мед. 2011. № 5. С. 86.
- Пулина Н.А., Собин Ф.В., Юшкова Т.А. и др. // Хим.-фарм. журн. 2014. Т. 48. № 8. С. 20 (Pulina N.A., Sobin F.V., Yushkova T.A. et al. // Pharm. Chem. J. 2014. № 8. Р. 505).
- Пулина Н.А., Залесов В.В., Мокин П.А. // Баш. хим. журн. 2007. № 3. С. 52.
- Пулина Н.А., Мокин П.А., Юшков В.В. и др. // Хим.-фарм. журн. 2008. Т. 42. № 7. С. 14 (Pulina N.A., Mokin P.A., Yushkov V.V. et al. // Pharm. Chem. J. 2008. № 7. P. 389).
- Пулина Н.А., Собин Ф.В., Одегова Т.Ф. и др. // Вопр. биол. мед. фарм. химии. 2010. № 10. С. 40.
- Пулина Н.А., Собин Ф.В., Краснова А.И. и др. // Хим.-фарм. журн. 2011. Т. 45. № 5. С. 18 (Pulina N.A., Sobin F.V., Krasnova A.I. et al. // Pharm. Chem. J. 2011. № 5. P. 275).
- Пулина Н.А., Краснова А.И., Юшкова Т.А. и др. // Вопр. биол. мед. фарм. химии. 2013. № 4. С. 26.
- Пулина Н.А., Собин Ф.В., Коньшина Т.М. // Медицина и образование в Сибири. 2011. № 5. С. 19.
- Руководство по экспериментальному (доклиническому) изучению новых фармакологических веществ / Под ред. Хабриева Р.У. М.: Медицина, 2005. 828 с.
- Гацура В.В. Методы первичных фармакологических исследований биологически активных веществ. М.: Медицина, 1974. 39 с.
- Руководство по проведению доклинических исследований лекарственных средств / Под ред. Миронова А.Н. М.: Гриф и К, 2012. 944 с.
- Юрасова А.А., Макарова А.С., Скобелев Д.О. // Токсикол. вест. 2011. № 1. С. 2.
- Пулина Н.А., Юшков В.В., Собин Ф.В. и др. Пат. РФ 2396263 C2 // Б.И. 2010. № 22. 7 с.
- Пулина Н.А., Юшкова Т.А., Краснова А.И. и др. Пат. РФ 2432355 C2 // Б.И. 2011. № 30. 7 с.
- Пулина Н.А., Юшков В.В., Мокин П.А. и др. Пат. РФ 2342364 C1 // Б.И. 2008. № 36. 5 с.
- Пулина Н.А., Юшков В.В., Юшкова Т.А. и др. Пат. РФ 2364591 C1 // Б.И. 2009. № 23. 6 с.
- Краснова А.И. Дисс. канд. фарм. наук. Пермь: Перм. гос. фарм. акад., 2011.
- Пулина Н.А., Юшкова Т.А., Краснова А.И. и др. // Вест. РУДН. Сер. Медицина. 2010. № 4. С. 423.
- Пулина Н.А., Юшкова Т.А., Краснова А.И. // Хим.-фарм. журн. 2015. Т. 49. № 7. С. 29 (Pulina N.A., Yushkova T.A., Krasnova A.I. // Pharm. Chem. J. 2015. № 7. Р. 459).
- Юшкова Т.А., Краснова А.И., Пулина Н.А. // Росс. иммунол. журн. 2014. № 3. С. 58.
Дополнительные файлы






