Nitro-Substituted Pyridinimine Complexes of Pd(II): Synthesis and Inhibition of MAO-B ex vivo
- Authors: Denisov M.S.1, Beloglazova Y.A.1
-
Affiliations:
- Institute of Technical Chemistry of Ural Branch of the RAS, Perm, Russia
- Issue: Vol 49, No 9 (2023)
- Pages: 553-564
- Section: Articles
- URL: https://ogarev-online.ru/0132-344X/article/view/137311
- DOI: https://doi.org/10.31857/S0132344X23600066
- EDN: https://elibrary.ru/WBEBFO
- ID: 137311
Cite item
Full Text
Abstract
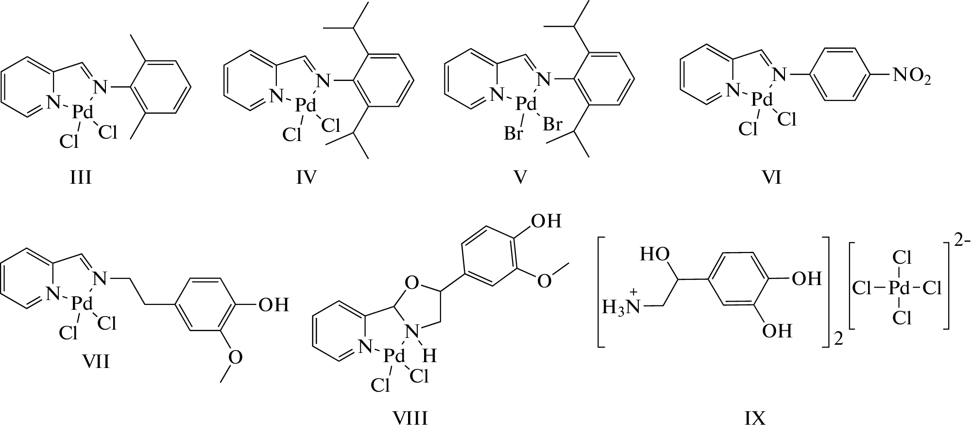
The first ever synthesis of complexes [PdLCl2] (I) and [PdLBr2] (II) was successfully achieved,
where L = 2,6-dimethyl-4-nitro-N-(pyridin-2-ylmethylildene)aniline, a ligand with a purported ability to
inhibit monoamine oxidase B (MAO-B). To gain insight into the molecular structure of complexes I
and II, as well as the ligand precursor 2,6-dimethyl-4-nitroaniline L4 (CIF files CCDC nos. 2255106 (I),
2255105 (II), 2255103 (L), 2255104 (L4)), X-ray diffraction analysis was utilized. Complex I underwent further
characterization to determine its stability, solubility, and lipophilicity. Cytotoxicity studies of substances
L, I, and II on human embryonic kidney cell line HEK-293 showed no evidence of cytotoxic activity. To evaluate
the inhibitory activity of new substances L, I, and II as well as established substances III−IX, selegiline,
and rasagiline, ex vivo studies were conducted, establishing a structure/activity relationship.
Keywords
About the authors
M. S. Denisov
Institute of Technical Chemistry of Ural Branch of the RAS, Perm, Russia
Email: m189@mail.ru
Россия, Пермь
Yu. A. Beloglazova
Institute of Technical Chemistry of Ural Branch of the RAS, Perm, Russia
Author for correspondence.
Email: m189@mail.ru
Россия, Пермь
References
- Ndagi U., Mhlongo N., Soliman M.E. // Drug Des. Dev. Ther. 2017. V. 11. P. 599. https://doi.org/10.2147/DDDT.S119488
- Kotieva I.M., Dodokhova M.A., Safronenko A.V. et al. // J. Clin. Oncol. 2022. V. 40. № 16. Art. e15080. https://doi.org/10.1200/JCO.2022.40.16_suppl.e15080
- Yambulatov D.S., Lutsenko I.A., Nikolaevskii S.A. et al. // Molecules. 2022. V. 27. № 23. P. 8565. https://doi.org/10.3390/molecules27238565
- Czarnomysy R., Radomska D., Szewczyk O.K. et al. // Int. J. Mol. Sci. 2021. V. 22. № 15. P. 8271. https://doi.org/10.3390/ijms22158271
- Abu-Surrah A.S., Kettunen M. // Curr. Med. Chem. 2006. V. 13. № 11. P. 1337.
- Sharma N.K., Ameta R.K., Singh M. // Biochem. Res. Int. 2016. V. 2016. Art. 4359375. https://doi.org/10.1155/2016/4359375
- Scattolin Th., Voshkin V.A., Visentin F., Nolan S.P. // Cell Rep. Phys. Sci. 2021. V. 2. Art. 100446. https://doi.org/10.1016/j.xcrp.2021.100446
- Боярский В.П., Михердов А.С., Байков С.В. и др. // Хим.-фарм. журн. 2021. Т. 55. № 2. С. 20 (Boyarskii V.P., Mikherdov A.S., Baikov S.V. et al. // Pharm. Chem. J. 2021. V. 55. № 2. P. 130). https://doi.org/10.1007/s11094-021-02393-1
- Батыренко А.А., Миколайчук О.В., Овсепян Г.К. и др. // Журн. общ. химии. 2021. Т. 91. № 4. С. 590 (Batyrenko A.A., Mikolaichuk O.V., Ovsepyan G.K. et al. // Russ. J. Gen. Chem. 2021. V. 91. № 4. P. 666). https://doi.org/10.1134/S1070363221040149
- Zalevskaya O.A., Gur’eva Y.A., Kutchin A.V. // Inorg. Chim. Acta. 2021. V. 527. P. 120593. https://doi.org/10.1016/j.ica.2021.120593
- Ибатуллина М.Р., Жильцова Е.П., Кулик Н.В. и др.// Изв. АН. Сер. хим. 2022. № 2. С. 314 (Ibatullina M.R., Zhil’tsova E.P., Kulik N.V. et al. // Russ. Chem. Bull. 2022. V. 71. № 2. P. 314). https://doi.org/10.1007/s11172-022-3413-6
- Денисов М.С., Глушков В.А. // Вест. Перм. ун-та. Сер. Химия. 2018. Т. 8. № 4. С. 388 (Denisov M.S., Glushkov V.A. // Bulletin of Perm University. Chemistry. 2018. V. 8. № 4. P. 388). https://doi.org/10.17072/2223-1838-2018-4-388-411
- Egorova K.S., Galushko A.S., Ananikov V.P. // Angew. Chem. Int. Ed. 2020. V. 59. P. 22296. https://doi.org/10.1002/anie.20200308
- Денисов М.С. // Вест. ПФИЦ. 2021. №. 4. С. 6 (Denisov M.S. // Perm. Federal Res. Center J. 2021. № 4. P. 6). https://doi.org/10.7242/2658-705X/2021.4.1
- Patra M., Gasse G. // ChemBioChem. 2012. V. 13. № 9. P. 1232. https://doi.org/10.1002/cbic.201200159
- Özbek N., Alyar S., Memmi B.K. et al. // J. Mol. Struct. 2017. V. 1127. P. 437. https://doi.org/10.1016/j.molstruc.2016.07.122
- Ahmed M., Khan Sh.Z., Sher N. et al. // J. Venomous Anim. Toxins Incl. Trop. Dis. 2021. V. 27. Art. e20200047. https://doi.org/10.1590/1678-9199-JVATITD-2020-0047
- Bal S., Demirci Ö., Şen B. et al. // Polyhedron. 2021. V. 198. P. 115060. https://doi.org/10.1016/j.poly.2021.115060
- Şahin Ö., Özdemir Ü.Ö., Seferoğlu N. et al. // J. Biomol. Struct. Dyn. 2021. P. 4460. https://doi.org/10.1080/07391102.2020.1858163
- García-García A., Rojas S., Rivas-García L. et al. // Chem. Commun. 2022. V. 58. P. 1514. https://doi.org/10.1039/D1CC04404D
- Karataş M.O., Çalgın G., Alıcı B. et al. // Appl. Organomet. Chem. 2019. V. 33. № 10. Art. e5130. https://doi.org/10.1002/aoc.5130
- Asma M., Badshah A., Ali S. et al. // Transition Met. Chem. 2006. V. 31. P. 556. https://doi.org/10.1007/s11243-006-0027-z
- Lassig J.P., Shultz M.D., Gooch M.G. et al. // Arch. Biochem. Biophys. 1995. V. 322. № 1. P. 119. https://doi.org/10.1006/abbi.1995.1443
- Vieites M., Smircich P., Parajón-Costa B. et al. // J. Biol. Inorg. Chem. 2008. V. 13. № 5. P. 723. № 10. P. 1839. https://doi.org/10.1016/j.jinorgbio.2008.05.010
- Fricker S.P., Mosi R.M., Cameron B.R. et al. // J. Inorg. Biochem. 2008. V. 102. Iss. 10. P. 1839. https://doi.org/10.1016/j.jinorgbio.2008.05.010
- Carneiro Z.A., Lima J.C., Lopes C.D. et al. // Eur. J. Med. Chem. 2019. V. 180. № 15. P. 213. https://doi.org/10.1016/j.ejmech.2019.07.014
- Gama N.H., Elkhadir A.Y.F., Gordhan B.G. et al. // Biometals. 2016. V. 29. P. 637. https://doi.org/10.1007/s10534-016-9940-6
- Chen Ch., Sun L.‑Yu., Gao H. et al. // ACS Infect. Dis. 2020. V. 6. № 5. P. 975. https://doi.org/10.1021/acsinfecdis.9b00385
- Mital R., Shah G.M., Srivastava T.S., Bhattacharya R.K. // Life Sci. 1992. V. 50. № 11. P. 781. https://doi.org/10.1016/0024-3205(92)90183-P
- Petrović Z.D., Hadjipavlou-Litina D., Pontiki E. et al. // Bioorg. Chem. 2009. V. 37. № 5. P. 162. https://doi.org/10.1016/j.bioorg.2009.07.003
- Hegazy W.H., Al-Faiyz Ya.S. // Med. Chem. Res. 2014. V. 23. № 1. P. 518. https://doi.org/10.1007/s00044-013-0661-x
- Lima M.A., Costa V.A., Franco M.A. et al. // Inorg. Chem. Commun. 2020. V. 112. P. 107708. https://doi.org/10.1016/j.inoche.2019.107708
- Krinulović K., Bugarčić Ž., Vrvić M. et al. // Toxicol. In Vitro. 2006. V. 20. № 8. P. 1292. https://doi.org/10.1016/j.tiv.2006.03.002
- Tatyanenko L.V., Kotelnikova R.A., Zakharova I.A., Moshkovskii Yu.Sh. // Inorg. Chim. Acta. 1981. V. 56. P. 89.
- Parrilha G.L., Ferraz K.S.O., Lessa J.A. et al. // Eur. J. Med. Chem. 2014. V. 84. № 12. P. 537. https://doi.org/10.1016/j.ejmech.2014.07.055
- Türkan F., Huyut Z., Atalar M.N. // J. Biochem. Mol. Toxicol. 2018. V. 32. № 10. Art. e22205. https://doi.org/10.1002/jbt.22205
- Edmondson D.E., Binda C., Mattevi A. // Arch. Biochem. Biophys. 2007. V. 464. P. 269. https://doi.org/10.1016/j.abb.2007.05.006
- Pharmaceutical Chemistry / Ed. Watson D.R. Glasgow (UK): Elsevier Ltd., 2011. 641 p.
- Hong R., Li X. // MedChemComm. 2019. V. 10. P. 10. https://doi.org/10.1039/c8md00446c
- Татьяненко Л.В., Соколова Н.В., Мошковский Ю.Ш. // Вопросы медициноской химии. 1982. Т. 28. С. 126 (Tat’yanenko L.V., Sokolova N.V., Moshkovsky Y.S. // Vopr. Med. Khim. 1982. V. 28. P. 126).
- Albert J., Cadena J.M., González A. et al. // Chem. Commun. 2003. V. 41. № 4. P. 528. https://doi.org/10.1039/B211808D
- Cho H.-U., Kim S., Sim J. et al. // Exp. Mol. Med. 2021. V. 53. P. 1148. https://doi.org/10.1038/s12276-021-00646-3
- Денисов М.С., Гагарских О.Н., Утушкина Т.А. // Вест. Перм. ун-та. Сер. Химия. 2021. Т. 11. № 1. С. 30 (Denisov M.S., Gagarskikh O.N., Utushkina T.A. // Bulletin of Perm University. Chemistry. 2021. V. 11. № 1. P. 30). https://doi.org/10.17072/2223-1838-2021-1-30-58
- Денисов М.С., Дмитриев М.В., Ерошенко Д.В. и др. // Журн. неорган. химии. 2019. Т. 64. № 1. С. 38 (Denisov M.S., Dmitriev M.V., Eroshenko D.V. et al. // Russ. J. Inorg. Chem. 2019. V. 64. № 1. P. 56). https://doi.org/10.1134/S0036023619010054
- Yang D.-d., Wang R., Zhu J.-l. et al. // J. Mol. Struct. 2017. V. 1128. № 15. P. 493. https://doi.org/10.1016/j.molstruc.2016.08.037
- Hao Ch., Huang W., Li X. et al. // Eur. J. Med. Chem. 2017. V. 131. P. 1. https://doi.org/10.1016/j.ejmech.2017.02.063
- CrysAlisPro. Agilent Technologies. Version 1.171.37.33 (release 27-03-2014 CrysAlis171 .NET).
- Sheldrick G.M. // Acta Crystallogr. A. 2008. V. 64. P. 112. https://doi.org/10.1107/S0108767307043930
- Sheldrick G.M. // Acta Crystallogr. C. 2015. V. 71. P. 3. https://doi.org/10.1107/S2053229614024218
- Dolomanov O.V., Bourhis L.J., Gildea R.J. et al. // J. A-ppl. Crystallogr. 2009. V. 42. P. 339. https://doi.org/10.1107/S0021889808042726
- Gonçalves B.M.F., Salvador J.A.R., Marín S., Cascante M. // Eur. J. Med. Chem. 2016. V. 114. P. 101. https://doi.org/10.1016/j.ejmech.2016.02.057
- Thull U., Testa B. // Biochem. Pharmacol. 1994. V. 47. № 22. P. 2307. https://doi.org/10.1016/0006-2952(94)90271-2
- Andrade J.M.M., Passos C.d.S., Dresch R.R. et al. // Pharmacogn. Mag. 2014. V. 10. № 37. P. 100. https://doi.org/10.4103/0973-1296.127354
- Lowry O.H., Rosebrough N.J., Farr A.L., Randall R.J. // J. Biol. Chem. 1951. V. 193. № 1. P. 265.
- O’Donnell A.D., Gavriel A.G., Christie W. et al. // Arkivoc. 2021. Pt. VI. P. 222. https://doi.org/10.24820/ark.5550190.p011.581
- Park S., Lee J., Jeong J.H. et al. // Polyhedron. 2018. V. 151. № 1. P. 82. https://doi.org/10.1016/j.poly.2018.05.031
- Motswainyana W.M., Onani M.O., Jacobs J., Meervelt L.V. // Acta Crystallogr. C. 2012. V. 68. P. 356. https://doi.org/10.1107/S0108270112045970
- Laine T.V., Klinga M., Leskelä M. // Eur. J. Inorg. Chem. 1999. V. 1999. № 6. P. 959. https://doi.org/10.1002/(SICI)1099-0682(199906)1999: 6<959::AID-EJIC959>3.0.CO;2-Z
- Delogu G.L., Pintus F., Mayán L. et al. // MedChemComm. 2017. V. 8. P. 1788. https://doi.org/10.1039/C7MD00311K
- Finberg J.P.M., Rabey J.M. // Front. Pharmacol. 2016. V. 18. № 7. P. 340. https://doi.org/10.3389/fphar.2016.00340
- Денисов М.С., Гагарских О.Н. // Журн. общ. химии. 2021. Т. 91. № 7. С. 1092 (Denisov M.S., Gagarskikh O.N. // Russ. J. Gen. Chem. 2021. V. 91. № 7. P. 1354). https://doi.org/10.1134/S1070363221070136
Supplementary files











