Синтез и кристаллическая структура цитотоксичных комплексов меди(II) на основе 2,2'-бипиридина/1,10-фенантролина и 5-(4-хлорофенил)-1H-тетразола
- Авторы: Голубева Ю.А.1, Смирнова К.С.1, Клюшова Л.С.2, Березин А.С.1, Лидер Е.В.1
-
Учреждения:
- Институт неорганической химии им. А.В. Николаева СО РАН
- Научно-исследовательский институт молекулярной биологии и биофизики Федерального исследовательского центра фундаментальной и трансляционной медицины
- Выпуск: Том 49, № 9 (2023)
- Страницы: 516-529
- Раздел: Статьи
- URL: https://ogarev-online.ru/0132-344X/article/view/137305
- DOI: https://doi.org/10.31857/S0132344X2260062X
- EDN: https://elibrary.ru/WACYDM
- ID: 137305
Цитировать
Полный текст
Аннотация
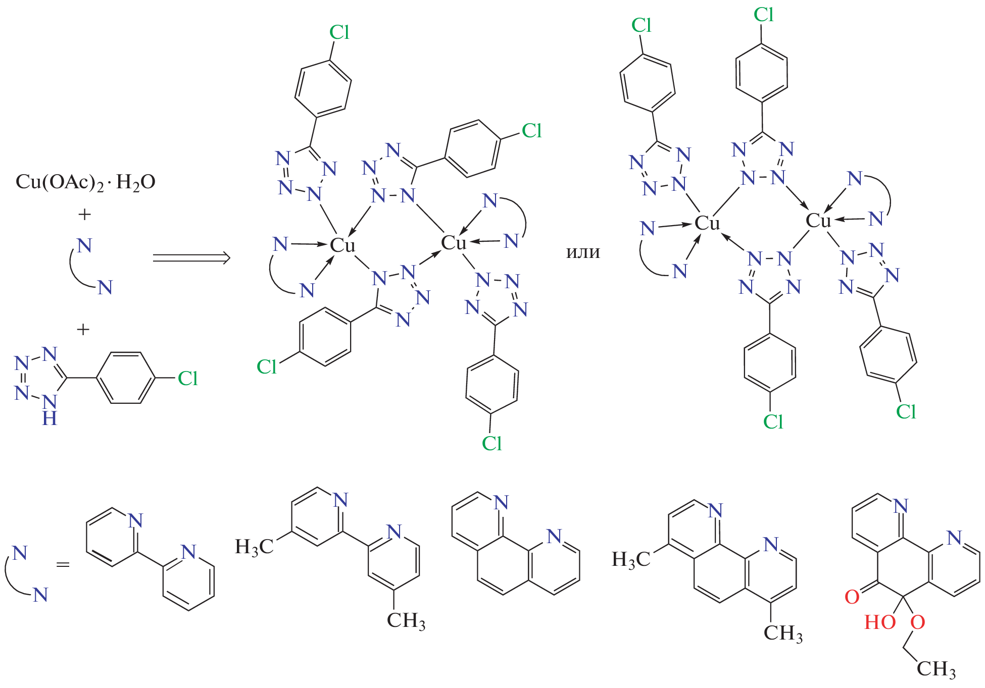
На основе 5-(4-хлорофенил)-1H-тетразола (HL) получены пять координационных соединений состава [Cu2(Bipy)2L4] · C2H5OH (Iа, Ib), [Cu2(Dmbipy)2L4] (II), [Cu2(Phen)2L4] · H2O (IIIa), [Cu2(Dmphen)2L4] (IVa) и [Cu2(Phendione’)2L4] · 2C2H5OH · 2H2O (V), где Bipy – 2,2'-бипиридин, Dm-bipy – 4,4' диметил-2,2'-бипиридин, Phen – 1,10-фенантролин, Dmphen – 4,7-диметил-1,10-фенантролин, Phendione’ – 6-этокси-6-гидрокси-1,10-фенантролин-5-он. Кристаллические структуры комплексов установлены методом РСА монокристаллов (CCDC № 2225368 (Ia), 2225369 (Ib), 2225370 (II), 2225372 (IIIa), 2225373 (IVa), 2225371 (V)): соединения являются биядерными за счет мостиковой функции тетразолат-аниона, координационное число меди равно пяти во всех полученных комплексах Исследована цитотоксическая активность комплексов по отношению к раковым клеточным линиям Hep2, HepG2 и нормальным клеткам фибробластов человека MRC-5. Показано, что комплексы проявляют выраженные цитотоксические свойства, при этом соединение V обладает максимальным индексом селективности к раковым клеткам.
Об авторах
Ю. А. Голубева
Институт неорганической химии им. А.В. Николаева СО РАН
Email: lisalider@ngs.ru
Россия, Новосибирск
К. С. Смирнова
Институт неорганической химии им. А.В. Николаева СО РАН
Email: lisalider@ngs.ru
Россия, Новосибирск
Л. С. Клюшова
Научно-исследовательский институт молекулярной биологии и биофизики Федерального исследовательского центра фундаментальной и трансляционной медицины
Email: lisalider@ngs.ru
Россия, Новосибирск
А. С. Березин
Институт неорганической химии им. А.В. Николаева СО РАН
Email: lisalider@ngs.ru
Россия, Новосибирск
Е. В. Лидер
Институт неорганической химии им. А.В. Николаева СО РАН
Автор, ответственный за переписку.
Email: lisalider@ngs.ru
Россия, Новосибирск
Список литературы
- Rosenberg B., VanCamp L., Trosko J.E. et al. // Nature. 1969. V. 222. № 5191. P. 385.
- Ferraro M.G., Piccolo M., Misso G. et al. // Pharmaceutics. 2022. V. 14. № 5. P. 954.
- González-Ballesteros M.M., Mejía C., Ruiz-Azuara L. // FEBS Open Bio. 2022. V. 12. № 5. P. 880.
- McGivern T.J.P., Afsharpour S., Marmion C.J. // Inorg. Chim. Acta. 2018. V. 472. P. 12.
- Erxleben A. // Coord. Chem. Rev. 2018. V. 360. P. 92.
- Molinaro C., Martoriati A., Pelinski L. et al. // Cancers. 2020. V. 12. № 10. P. 2863.
- Kalinowski D.S., Stefani C., Toyokuni S. et al. // Biochim. Biophys. Acta, Mol. Cell Res. 2016. V. 1863. № 4. P. 727.
- Jiang Y., Huo Z., Qi X. et al. // Nanomedicine. 2022. V. 17. № 5. P. 303.
- Pinheiro A.C., Busatto F.F., Schaefer B.T. et al. // J. Inorg. Biochem. 2022. V. 237. P. 112013.
- Dinev D., Popova K.B., Zhivkova T. et al. // Appl. Organomet. Chem. 2022. V. 36. № 10. P. e6862.
- Cao H.Z., Yang W.T., Zheng P.S. // BMC Cancer. 2022. V. 22. № 1. P. 1.
- Babahan-Bircan I., Emirdağ S., Özmen A. et al. // Appl. Organomet. Chem. 2022. V. 36. № 9. P. e6784.
- Afroz L., Khan M.H.M., Vagdevi H.M. et al. // Emergent Mater. 2021. V. 5. № 4. P. 1133.
- Khursheed S., Siddique H.R., Tabassum S. et al. // Dalton Trans. 2022. V. 51. № 31. P. 11713.
- Santini C., Pellei M., Gandin V. et al. // Chem. Rev. 2013. V. 114. № 1. P. 815.
- Krasnovskaya O., Naumov A., Guk D. et al. // Int. J. Mol. Sci. 2020. V. 21. P. 3965.
- Vitomirov T., Dimiza F., Matić I.Z. et al. // J. Inorg. Biochem. 2022. V. 235. P. 111942.
- Figueroa-Depaz Y., Pérez-Villanueva J., Soria-Arteche O. et al. // Molecules. 2022. V. 27. № 11. P. 3504.
- Karpagam S., Mamindla A., Kumar Sali V. et al. // Inorg. Chim. Acta. 2022. V. 531. P. 120729.
- Zehra S., Cirilli I., Silvestri S. et al. // Metallomics. 2021. V. 13. № 11. P. mfab064.
- Zehra S., Gómez-Ruiz S., Siddique H.R. et al. // Dalton Trans. 2020. V. 49. № 46. P. 16830.
- Paixão D.A., de Oliveira B.C.A., Almeida J.C. et al. // Inorg. Chim. Acta. 2020. V. 499. P. 119164.
- Karpagam S., Kartikeyan R., Paravai N.P. et al. // J. Coord. Chem. 2019. V. 72. № 18. P. 3102.
- Alvarez N., Mendes L.F.S., Kramer M.G. et al. // Inorg. Chim Acta. 2018. V. 483. P. 61.
- Figueroa-DePaz Y., Resendiz-Acevedo K., Dávila-Manzanilla S.G. et al. // J. Inorg. Biochem. 2022. V. 231. P. 111772.
- Kumari J., Mobin S.M., Mukhopadhyay S. et al. // Inorg. Chem. Commun. 2019. V. 105. P. 217.
- Stoll S., Schweiger A. // J. Magn. Reson. 2006. V. 178. № 1. P. 42.
- Bruker Apex3 Software Suite: Apex3, SADABS-2016/2 and SAINT. Version 2018.7-2. Madison (WI, USA): Bruker AXS Inc., 2017.
- CrysAlisPro 1.171.38.46. The Woodlands (TX, USA), Rigaku Oxford Diffraction, 2015.
- Sheldrick G.M. // Acta Crystallogr. A. 2015. V. 71. № 1. P. 3.
- Sheldrick G.M. // Acta Crystallogr. C. 2015. V. 71. № 1. P. 3.
- Dolomanov O.V., Bourhis L.J., Gildea R.J. et al. // J. Appl. Crystallogr. 2009. V. 42. № 2. P. 339.
- Eremina J.A., Lider E.V., Samsonenko D.G. et al. // Inorg. Chim. Acta. 2019. V. 487. P. 138.
- Smirnova K.S., Golubeva Y.A., Lider E.V. // Crystallogr. Rep. 2022. V. 67. № 4. P. 575.
- Eremina J.A., Ermakova E.A., Smirnova K.S. et al. // Polyhedron. 2021. V. 206. P. 115352
Дополнительные файлы















