Второй пример кубаноподобного комплекса никеля(II) в ряду N-производных таурина
- Авторы: Землякова Е.О.1, Хамидуллина Л.А.1,2, Пузырев И.С.1, Тобышева П.Д.1, Петрова Ю.С.2, Неудачина Л.К.2, Слепухин П.А.1, Пестов А.В.1,2
-
Учреждения:
- Институт органического синтеза им. И.Я. Постовского УрO РАН
- Уральский федеральный университет им. первого Президента России Б.Н. Ельцина
- Выпуск: Том 49, № 7 (2023)
- Страницы: 441-448
- Раздел: Статьи
- URL: https://ogarev-online.ru/0132-344X/article/view/137298
- DOI: https://doi.org/10.31857/S0132344X2260045X
- EDN: https://elibrary.ru/TUZEZI
- ID: 137298
Цитировать
Полный текст
Аннотация
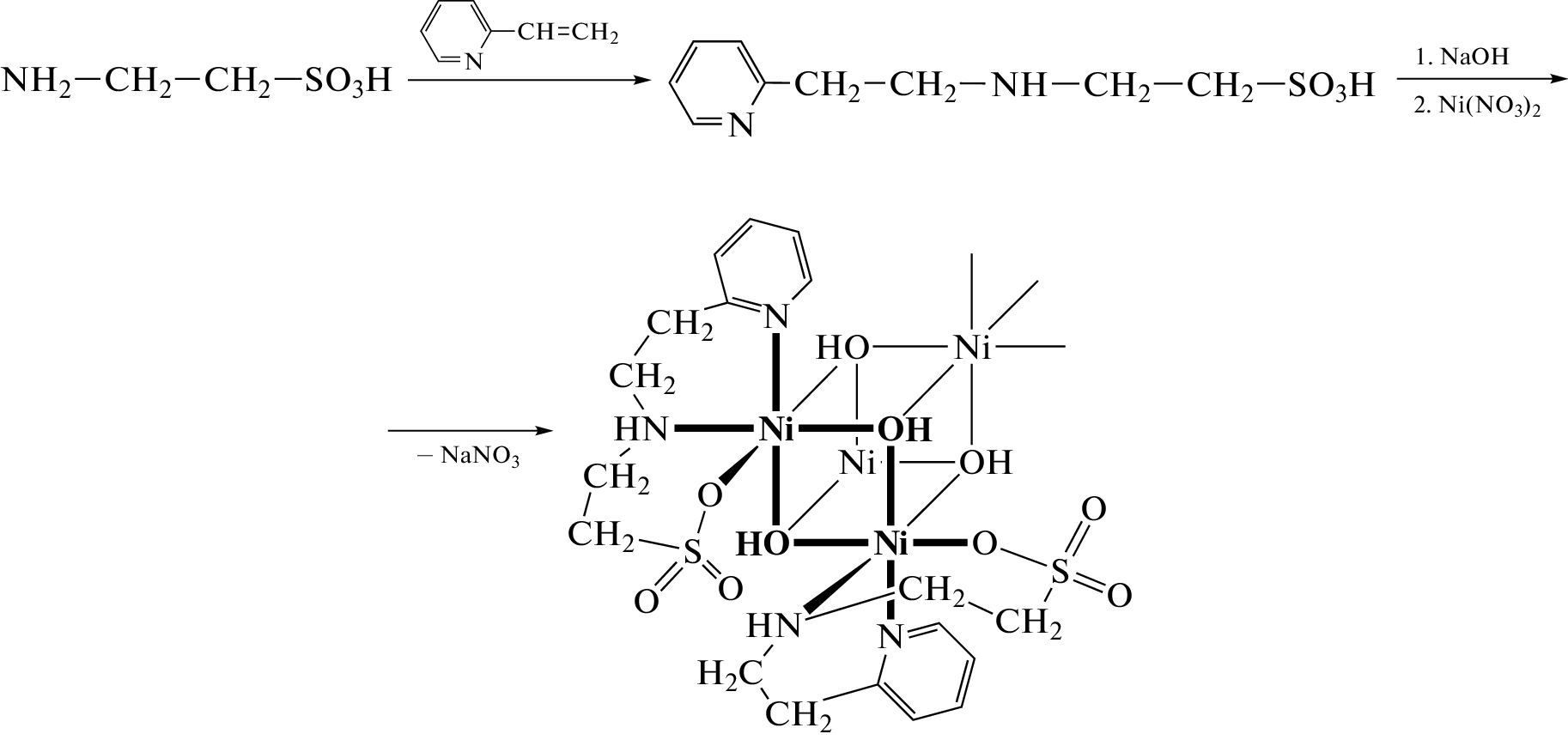
Синтезирован новый гомометаллический кубаноподобный комплекс никеля(II) на основе N-2-(2-пиридил)этил-2-аминоэтансульфокислоты [Ni4L4(OH)4] · 2H2O (I) и изучено его строение методом рентгеноструктурного анализа (CCDC № 2211359). В кристалле комплекса металлоцентры объединены в тетраэдры с расстояниями Ni…Ni 3.144–3.201 Å, дополняемые до кубанов μ3-мостиковыми атомами кислорода гидроксильных групп. Координационное окружение каждого металлоцентра – искаженный октаэдр, лиганд депротонирован, находится в фациальной конформации, выполняет тридентатную функцию, формируя два шестичленных сопряженных хелатных цикла.
Об авторах
Е. О. Землякова
Институт органического синтеза им. И.Я. Постовского УрO РАН
Email: puzyrev@ios.uran.ru
Россия, Екатеринбург
Л. А. Хамидуллина
Институт органического синтеза им. И.Я. Постовского УрO РАН; Уральский федеральный университет им. первого Президента России Б.Н. Ельцина
Email: puzyrev@ios.uran.ru
Россия, Екатеринбург; Россия, Екатеринбург
И. С. Пузырев
Институт органического синтеза им. И.Я. Постовского УрO РАН
Email: puzyrev@ios.uran.ru
Россия, Екатеринбург
П. Д. Тобышева
Институт органического синтеза им. И.Я. Постовского УрO РАН
Email: puzyrev@ios.uran.ru
Россия, Екатеринбург
Ю. С. Петрова
Уральский федеральный университет им. первого Президента России Б.Н. Ельцина
Email: puzyrev@ios.uran.ru
Россия, Екатеринбург
Л. К. Неудачина
Уральский федеральный университет им. первого Президента России Б.Н. Ельцина
Email: puzyrev@ios.uran.ru
Россия, Екатеринбург
П. А. Слепухин
Институт органического синтеза им. И.Я. Постовского УрO РАН
Email: puzyrev@ios.uran.ru
Россия, Екатеринбург
А. В. Пестов
Институт органического синтеза им. И.Я. Постовского УрO РАН; Уральский федеральный университет им. первого Президента России Б.Н. Ельцина
Автор, ответственный за переписку.
Email: puzyrev@ios.uran.ru
Россия, Екатеринбург; Россия, Екатеринбург
Список литературы
- Пестов А.В., Слепухин П.А., Чарушин В.Н. // Успехи химии. 2015. Т. 84. № 3. С. 310 (Pestov A.V, Slepukhin P.A., Charushin V.N. // Russ. Chem. Rev. 2015. V. 84. № 3. P. 310). https://doi.org/10.1070/RCR4461
- Петрова Ю.С., Неудачина Л.К. // Журн. неорган. химии. 2013. Т. 58. № 5. С. 697 (Petrova Y.S., Neudachina L.K. // Russ. J. Inorg. Chem. 2013. V. 58. № 5. P. 617). https://doi.org/10.1134/S0036023613050173
- Землякова Е.О., Пестов А.В., Слепухин П.А. и др. // Коорд. химия. 2018. Т. 44. № 11. С. 667 (Zemlyakova E.O., Pestov A.V., Slepukhin P.A. et al. // Russ. J. Coord. Chem. 2018. V. 44. № 11. P. 667). https://doi.org/10.1134/S107032841811009X
- Ульянова М.И., Баскакова С.А., Аксенова Т.В. и др. // Коорд. химия. 2015. Т. 41. № 4. С. 213 (Ul’yanova, M.I., Baskakova, S.A., Aksenova, T.V. et al. // Russ. J. Coord. Chem. 2015. V. 41. P. 240). https://doi.org/10.1134/S1070328415040090
- Пестов А.В., Слепухин П.А., Корякова О.В. и др. // Коорд. химия. 2014. Т. 40. № 4. С. 216 (Pestov A.V., Slepukhin P.A., Koryakova O.V. et al. // Russ. J. Coord. Chem. 2014. V. 40. P. 216). https://doi.org/10.1134/S107032841404006X
- Yusuf M., Fariduddin Q., Hayat S. et al. // Bull. Environ. Contam. Toxicol. 2011. V. 86. № 1. P. 1.
- Fabiano C.C., Tezotto T., Favarin J. et al. // Front. Plant Sci. 2015. V. 6. № 654.
- Li J.X., Jiang Y.M., Chen M.J. // J. Coord. Chem. 2008. V. 61. № 11. P. 1765.
- Hosler E.R., Herbst R.W., Maroney M.J. et al. // Dalton Trans. 2012. V. 41. № 3. P. 804.
- Chohan B.S., Maroney M.J. // Inorg. Chem. 2006. V. 45. № 5. P. 1906.
- Henderson R.K., Bouwman E., Spek A.L. et al. // Inorg. Chem. 1997. V. 36. № 21. P. 4616.
- Пестов А.В., Слепухин П.А., Ятлук Ю.Г. // Коорд. химия. 2011. Т. 37. № 8. С. 619 (Pestov A. V., Slepukhin P.A., Yatluk Y.G. // Russ. J. Coord. Chem. 2011. V. 37. № 8. P. 619). https://doi.org/10.1134/S1070328411070116
- Dolomanov O.V., Bourhis L.J., Gildea R.J. et al. // J. A-ppl. Crystallogr. 2009. V. 42. № 2. P. 339.
- Sheldrick G.M. // Acta Crystallogr. C. 2015. V. 71. P. 3.
Дополнительные файлы










