Гетеролептические металл-органические координационные полимеры лантаноидов (Lа, Ce, Ho) на основе лигандов анилатного типа и дикарбоновых кислот
- Авторы: Трофимова О.Ю.1, Малеева А.В.1, Арсеньева К.В.1, Климашевская А.В.1, Черкасов А.В.1, Пискунов А.В.1
-
Учреждения:
- Институт металлоорганической химии им. Г.А. Разуваева РАН
- Выпуск: Том 49, № 5 (2023)
- Страницы: 278-289
- Раздел: Статьи
- URL: https://ogarev-online.ru/0132-344X/article/view/137291
- DOI: https://doi.org/10.31857/S0132344X22600473
- EDN: https://elibrary.ru/POTLZC
- ID: 137291
Цитировать
Полный текст
Аннотация
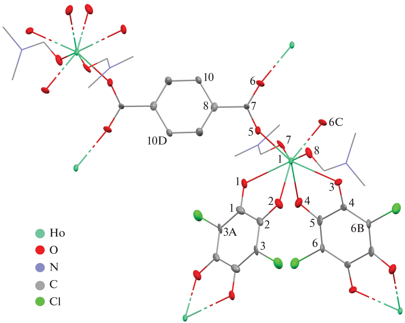
Методом сольвотермального синтеза в N,N-диметилформамиде (DMF) получены новые гетеролептические металл-органические координационные полимеры лантаноидов, содержащие в составе звена два типа анионных органических лигандов. Получены сетчатый координационный полимер [Ho2(CA)2(Bdc) · 4DMF] (I) и два каркасных производных состава [La2(pQ)2(Bpdc) · 4DMF] (II) и [Ce2(CA)(Bdc)2 · 4DMF] · 2DMF (III · 2DMF), где CA – дианион хлораниловой кислоты, pQ – дианион 2,5-ди-гидрокси-3,6-ди-трет-бутил-пара-бензохинона, Bdc – дианион терефталевой кислоты, Bpdc – дианион 4,4'-бифенилдикарбоновой кислоты. Cтруктуры I, II, III · 2DMF исследованы методом РСА (CCDC № 2212230, 2212231, 2212232 соответственно).
Об авторах
О. Ю. Трофимова
Институт металлоорганической химии им. Г.А. Разуваева РАН
Email: pial@iomc.ras.ru
Россия, Нижний Новгород
А. В. Малеева
Институт металлоорганической химии им. Г.А. Разуваева РАН
Email: pial@iomc.ras.ru
Россия, Нижний Новгород
К. В. Арсеньева
Институт металлоорганической химии им. Г.А. Разуваева РАН
Email: pial@iomc.ras.ru
Россия, Нижний Новгород
А. В. Климашевская
Институт металлоорганической химии им. Г.А. Разуваева РАН
Email: pial@iomc.ras.ru
Россия, Нижний Новгород
А. В. Черкасов
Институт металлоорганической химии им. Г.А. Разуваева РАН
Email: pial@iomc.ras.ru
Россия, Нижний Новгород
А. В. Пискунов
Институт металлоорганической химии им. Г.А. Разуваева РАН
Автор, ответственный за переписку.
Email: pial@iomc.ras.ru
Россия, Нижний Новгород
Список литературы
- Коваленко К.А., Потапов А.С., Федин В.П. // Успехи химии. 2022. Т. 91. № 4. RCR5026 (Kovalenko K.A., Potapov A.S., Fedin V.P. // Russ. Chem. Rev. 2022. V. 91. RCR5026). https://doi.org/10.1070/RCR5026
- Агафонов М.А., Александров Е.В., Артюхова Н.А. и др. // Журн. структур. химии. 2022. Т. 63. № 5. С. 535. https://doi.org/10.26902/JSC_id93211
- Monni N., Oggianu M., Sahadevan S.A. et al. // Magnetochemistry. 2021. V. 7. P. 109.
- Benmansour S., Gómez-García C.J. // Magnetochemistry. 2020. V. 6. P. 71.
- Liu K.-G., Sharifzadeh Z., Rouhani F. et al. // Coord. Chem. Rev. 2021. V. 436. P. 213827.
- Wang C., Liao K. // ACS Appl. Mater. Interfaces. 2021. V. 13. P. 56752.
- Fasna F., Sasi S. // ChemSelect. 2021. V. 6. P. 6365.
- Антипин И.С., Алфимов М.В., Арсланов В.В. и др. // Успехи химии. 2021. Т. 90. № 8. С. 895 (Antipin I.S., Burilov V.A., Gorbatchuk V.V. et al. // Russ. Chem. Rev. 2021. V. 90. P. 895). https://doi.org/10.1070/RCR5011
- Kitagawa S., Matsuda R. // Coord. Chem. Rev. 2007. V. 251. P. 2490.
- Kingsbury C.J., Abrahams B.F., Auckett J.E. et al. // Chem. Eur. J. 2019. V. 25. P. 5222.
- Abrahams B.F., Dharma A.D., Dyett B. et al. // Dalton Trans. 2016. V. 45. P. 1339.
- Adil K., Belmabkhout Y., Pillai R. S. et al. // Chem. Soc. Rev. 2017. V. 46. P. 3402.
- Ezugwu C.I., Liu S., Li C. et al. // Coord. Chem. Rev. 2021. V. 450. P. 214245.
- Hu Z., Zhao D. // CrystEngComm. 2017. V. 19. P. 4066.
- Huangfu M., Wang M., Lin C. et al. // Dalton Trans. 2021. V. 50. P. 3429.
- Li P., Zhou Z., Zhao Y.S. et al. // Chem. Commun. 2021. V. 57. P. 13678.
- Wang Y., Liu X., Li X. et al. // J. Am. Chem. Soc. 2019. V. 141. P. 8030.
- Chang C.-H., Li A.-C., Popovs I. et al. // J. Mater. Chem. A. 2019. V. 7. P. 23770.
- Calbo J., Golomb M.J., Walsh A. // J. Mater. Chem. A. 2019. V. 7. P. 16571.
- Wang M., Dong R., Feng X. // Chem. Soc. Rev. 2021. V. 50. P. 2764.
- Dong R., Feng X. // Nature Materials. 2021. V. 20. P. 122.
- Benmansour S., Gómez-García C.J. // Gen. Chem. 2020. V. 6. P. 190033.
- Espallargas G.M., Coronado E. // Chem. Soc. Rev. 2018. V. 47. P. 533.
- Sahadevan S.A., Manna F., Abhervé A. et al. // Inorg. Chem. 2021. V. 60. P. 17765.
- Trofimova O., Maleeva A.V., Ershova I.V. et al. // Molecules. 2021. V. 26. P. 2486.
- Sahadevan S.A., Monni N., Oggianu M. et al. // ACS Appl. Nano Mater. 2020. V. 3. P. 94.
- Lysova A.A., Kovalenko K.A., Dybtsev D.N. et al. // Microporous Mesoporous Mater. 2021. V. 328. Art. 111477.
- Lysova A.A., Samsonenko D.G., Kovalenko K.A. et al. // Angew. Chem. Int. Ed. 2020. V. 59. P. 20561.
- Lysova A.A., Samsonenko D.G., Dorovatovskii P.V. et al. // J. Am. Chem. Soc. 2019. V. 141. P. 17260.
- Trofimova O.Y., Maleeva A.V., Arsenyeva K.V. et al. // Crystals. 2022. V. 12. P. 370.
- Трофимова О.Ю., Ершова И.В., Малеева А.В. и др. // Коорд. химия. 2021. Т. 47. № 9. С. 552 (Tro-fimova O.Y., Ershova I.V., Maleeva A.V. et al. // Russ. J. Coord. Chem. 2021. V. 47. P. 610). https://doi.org/10.1134/S1070328421090086
- Kharitonov A.D., Trofimova O.Y., Meshcheryakova I.N. et al. // CrystEngComm. 2020. V. 22. P. 4675.
- Хамалетдинова Н.М., Мещерякова И.Н., Пискунов А.В. и др. // Журн. cтруктур. химии. 2015. Т. 56. № 2. С. 249 (Khamaletdinova N.M., Meshcheryakova I.N., Piskunov A.V. et al. // J. Struct. Сhem. 2015. V. 56. P. 233). https://doi.org/10.1134/S0022476615020055
- APEX3. Madison (WI, USA): Bruker AXS Inc., 2018.
- Rigaku Oxford Diffraction. CrysAlisPro Software System. Version 1.171.38.46. Wroclaw (Poland): Rigaku Corporation, 2015.
- Krause L., Herbst-Irmer R., Sheldrick G.M. et al. // J. Appl. Cryst. 2015. V. 48. P. 3.
- Sheldrick G.M. // Acta Crystallogr. C. 2015. V. 71. P. 3.
- Sheldrick G.M. // Acta Crystallogr. A. 2015. V. 71. P. 3.
- Benmansour S., Gómez-García C.J., Hernández-Paredes A. // Crystals. 2022. V. 12. P. 261.
- Benmansour S., López-Martínez G., Canet-Ferrer J. et al. // Magnetochemistry. 2016. V. 2. P. 32.
- Dubraja L.A., Molcanov K., Zilic D. et al. // New J. Chem. 2017. V. 41. P. 6785.
- Vuković V., Molčanov K.I., Jelsch C. et al. // Cryst. Growth Des. 2019. V. 19. P. 2802.
- Cao H.-Y., Liu Q.-Y., Gao M.-J. et al. // Inorg. Chim. Acta. 2014. V. 414. P. 226.
- Blatov V.A., Shevchenko A.P., Proserpio D.M. // Cryst. Growth Des. 2014. V. 14. P. 3576.
- Alexandrov E.V., Blatov V.A., Kochetkov A.V. et al. // CrystEngComm. 2011. V. 13. P. 3947.
- Александров Е.В., Шевченко А.П., Некрасова Н.А. et al. // Успехи химии. 2022. Т. 91. RCR5032 (Aleksandrov E.V., Shevchenko A.P., Nekrasova N.A. et al. // Russ. Chem. Rev. 2022. V. 91. RCR5032). https://doi.org/10.1070/RCR5032
- Alvarez S., Alemany P., Casanova D. et al. // Coord. Chem. Rev. 2005. V. 249. P. 1693.
- Llunell M., Casanova D., Cirera J. et al. // Universitat de Barcelona. 2013.
- Ruiz-Martinez A., Casanova D., Alvarez S. // Chem. Eur. J. 2008. V. 14. P. 1291.
Дополнительные файлы













