Темплатный синтез трехъядерного комплекса кобальта(III) с лигандами на основе диарилимидазолов: синтез и свойства
- Авторы: Никовский И.А.1,2, Карнаух К.М.3, Алиев Т.М.1, Полежаев А.В.1,2, Спиридонов К.А.1,4, Даньшина А.А.1,5, Нелюбина Ю.В.1,2, Новиков В.В.1,2
-
Учреждения:
- Институт элементоорганических соединений им. А.Н. Несмеянова РАН
- Московский государственный технический университет им. Баумана
- Калифорнийский университет в Санта-Барбаре
- Московский государственный университет им. М.В. Ломоносова
- Московский физико-технический институт
- Выпуск: Том 49, № 6 (2023)
- Страницы: 360-366
- Раздел: Статьи
- URL: https://ogarev-online.ru/0132-344X/article/view/137290
- DOI: https://doi.org/10.31857/S0132344X23700238
- EDN: https://elibrary.ru/POVWLR
- ID: 137290
Цитировать
Полный текст
Аннотация
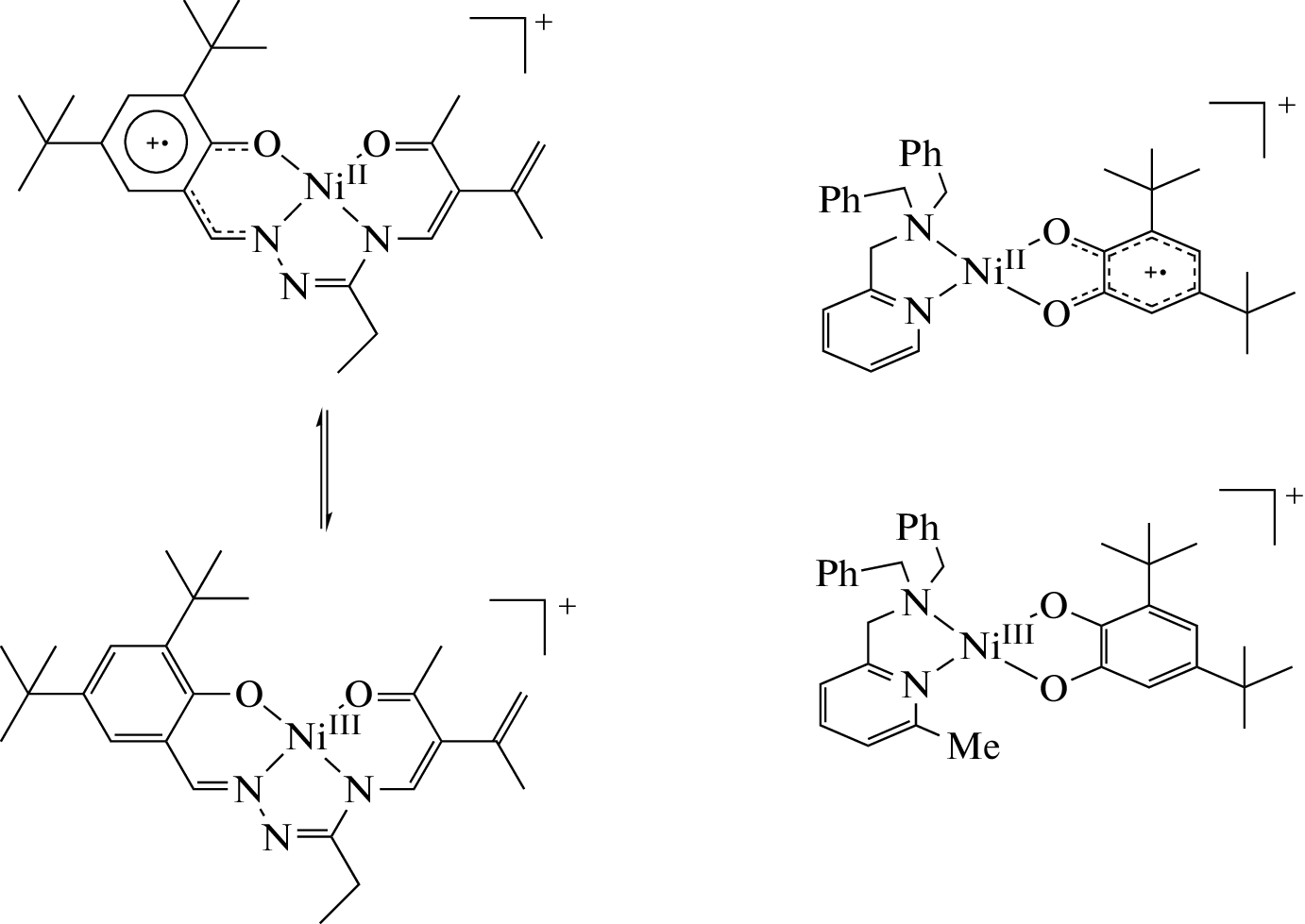
Темплатной реакцией 2,2'-(1H-имидазол-4,5-диил)бис(4-этилфенола) (L) и бис(2,2-бипиридин)дихлорида кобальта(II) в присутствии диазабициклоундецена получен трехъядерный комплекс кобальта(III) [(Bipy)5Co3(L)2](Cl)3 (I), выделенный в индивидуальном виде и охарактеризованый при помощи элементного анализа, циклической вольтамперометрии, спектроскопии УФ-вид. и рентгеновской дифракции (СCDC № 2201135). Согласно полученным данным, ионы кобальта в трехъядерном комплексе I имеют степень окисления +3, и реакция комплексообразования протекает с окислением исходных ионов кобальта(II).
Об авторах
И. А. Никовский
Институт элементоорганических соединений им. А.Н. Несмеянова РАН; Московский государственный технический университет им. Баумана
Email: novikov84@ineos.ac.ru
Россия, Москва; Россия, Москва
К. М. Карнаух
Калифорнийский университет в Санта-Барбаре
Email: novikov84@ineos.ac.ru
США, 93106, Калифорния, Санта-Барбара
Т. М. Алиев
Институт элементоорганических соединений им. А.Н. Несмеянова РАН
Email: novikov84@ineos.ac.ru
Россия, Москва
А. В. Полежаев
Институт элементоорганических соединений им. А.Н. Несмеянова РАН; Московский государственный технический университет им. Баумана
Email: novikov84@ineos.ac.ru
Россия, Москва; Россия, Москва
К. А. Спиридонов
Институт элементоорганических соединений им. А.Н. Несмеянова РАН; Московский государственный университет им. М.В. Ломоносова
Email: novikov84@ineos.ac.ru
Россия, Москва; Россия, Москва
А. А. Даньшина
Институт элементоорганических соединений им. А.Н. Несмеянова РАН; Московский физико-технический институт
Email: novikov84@ineos.ac.ru
Россия, Москва; Россия, Московская обл., Долгопрудный
Ю. В. Нелюбина
Институт элементоорганических соединений им. А.Н. Несмеянова РАН; Московский государственный технический университет им. Баумана
Email: unelya@ineos.ac.ru
Россия, Москва; Россия, Москва
В. В. Новиков
Институт элементоорганических соединений им. А.Н. Несмеянова РАН; Московский государственный технический университет им. Баумана
Автор, ответственный за переписку.
Email: novikov84@ineos.ac.ru
Россия, Москва; Россия, Москва
Список литературы
- Evangelio E., Ruiz-Molina D. // Eur. J. Inorg. Chem. 2005. V. 2005. P. 2957.
- Gütlich P., Garcia Y., Woike T. // Coord. Chem. Rev. 2001. V. 219–221. P. 839.
- Tezgerevska T., Rousset E., Gable R.W. et al. // Dalton Trans. 2019. V. 48. P. 11674.
- Rajput A., Sharma A.K., Barman S.K. et al. // Coord. Chem. Rev. 2020. V. 414. P. 213240.
- Slater J.W., D’Alessandro, D.M., Keene, F.R. et al. // Dalton Trans. 2006. V. 0. P. 1954.
- Bubnov, M.P., Piskunov, A.V., Zolotukhin, A.A. et al. // Russ. J. Coord. Chem. 2020. V. 46. P. 224. https://doi.org/10.1134/S107032842003001X
- Gransbury G.K., Livesay B.N., Janetzki J.T. et al. // J. Am. Chem. Soc. 2020. V. 142. P. 10692.
- Arion V.B., Rapta P., Telser J. et al. // Inorg. Chem. 2011. V. 50. P. 2918.
- Shimazaki Y., Tani F., Fukui K. et al. // J. Am. Chem. Soc. 2003. V. 125. P. 10512.
- Ohtsu H., Tanaka K. // Angew. Chem. Int. Ed. 2004. V. 43. P. 6301.
- Nikovskiy I., Polezhaev A., Novikov V. et al. // Chem. Eur. J. 2020. V. 26. P. 5629.
- Aleshin D.Y., Nikovskiy I., Novikov V.V. et al. // ACS Omega. 2021. V. 6. P. 33111.
- Freire C., Nunes M., Pereira C. et al. // Coord. Chem. Rev. 2019. V. 394. P. 10434.
- Venkataramanan N.S., Kuppuraj G., Rajagopal S. // Coord. Chem. Rev. 2005. V. 249. P. 1249.
- Mondal I., Chattopadhyay S. // J. Coord. Chem. 2019. V. 72. P. 3183.
- Gould C.A., Mu E., Vieru V. et al. // J. Am. Chem. Soc. 2020. V. 142. P. 21197.
- Richardson C., Steel P.J., D’alessandro D.M. et al. // Dalton Trans. 2002. P. 2775.
- Chen S.-S. // CrystEngComm. 2016. V. 18. P. 6543.
- Kaim W. // Coord. Chem. Rev. 2001. V. 219–221. P. 463.
- Nikovskiy I.A., Karnaukh K.M., Spiridonov K.A. et al. // Magnetochemistry. 2022. V. 8. P. 132.
- Váhovská L., Potočňák I., Vitushkina S. et al. // Polyhedron. 2016. V. 117. P. 359.
- Sheldrick G.M. // Acta Crystallogr. 2008. V. 64. P. 112.
- Dolomanov O.V. Bourhis, L.J., Gildea, R.J. et al. // J. Appl. Cryst. 2009. V. 42. P. 339.
- Demaison J., Császár A.G. // J. Mol. Struct. 2012. V. 1023. P. 7.
- Alvarez S. // Chem. Rev. 2015. V. 115. P. 134473.
- Freiherr von Richthofen C.G., Stammler A., Bögge H. et al. // J. Org. Chem. 2012. V. 77. P. 1435.
- Servedio L.T., Lawton J.S., Zawodzinski T.A. // J. Appl. Electrochem. 2021. V. 51. P. 87.
Дополнительные файлы







