Новые катионные углеводсодержащие амфифилы и липосомы на их основе для эффективной доставки коротких нуклеиновых кислот в эукариотические клетки
- Авторы: Шмендель Е.В.1, Буянова А.О.1, Марков О.В.2, Морозова Н.Г.1, Зенкова М.А.2, Маслов М.А.1
-
Учреждения:
- МИРЭА – Российский технологический университет
- Институт химической биологии и фундаментальной медицины СО РАН
- Выпуск: Том 50, № 6 (2024)
- Страницы: 826-841
- Раздел: Статьи
- URL: https://ogarev-online.ru/0132-3423/article/view/275982
- DOI: https://doi.org/10.31857/S0132342324060098
- EDN: https://elibrary.ru/NEYHXP
- ID: 275982
Цитировать
Аннотация
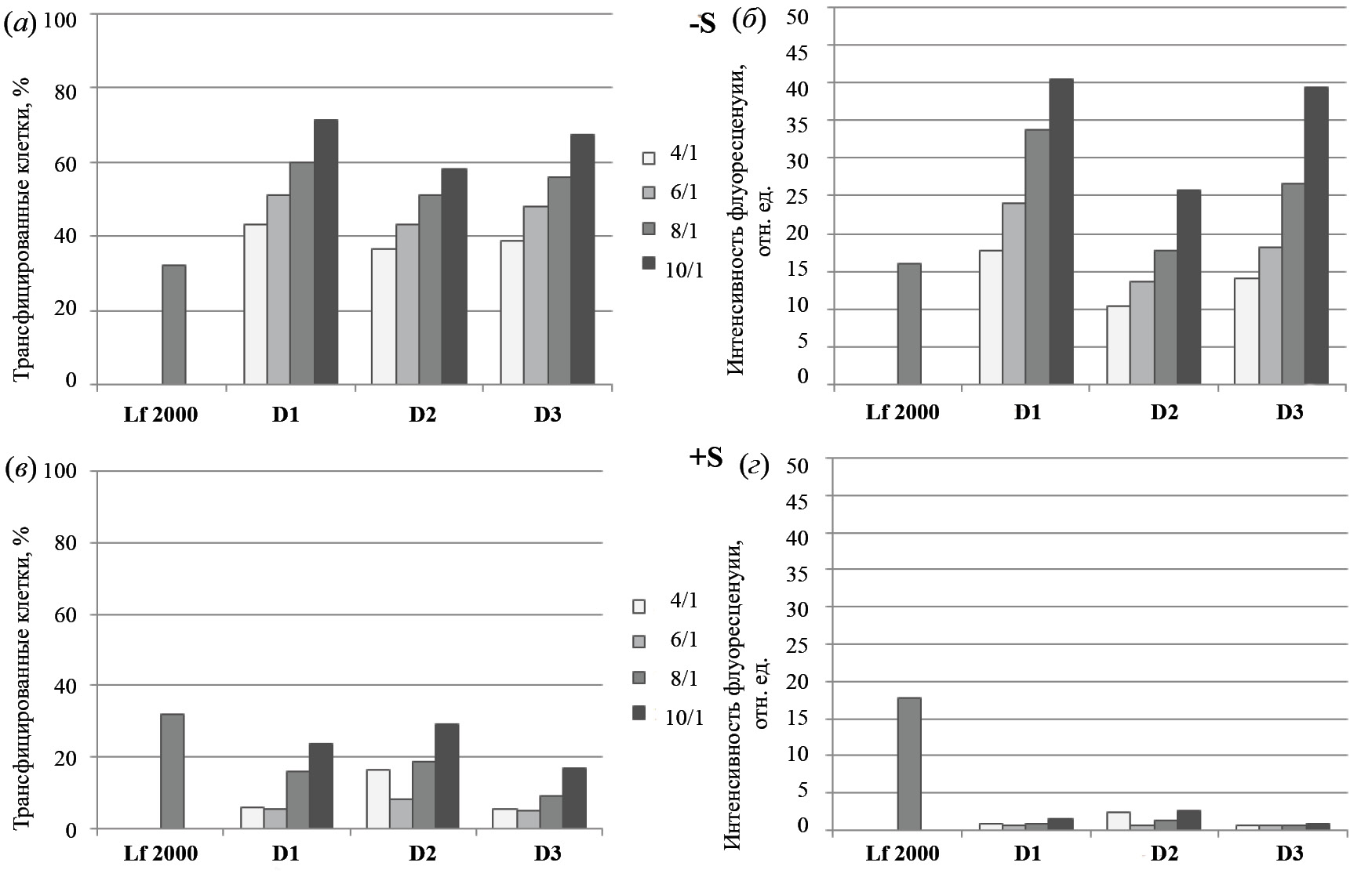
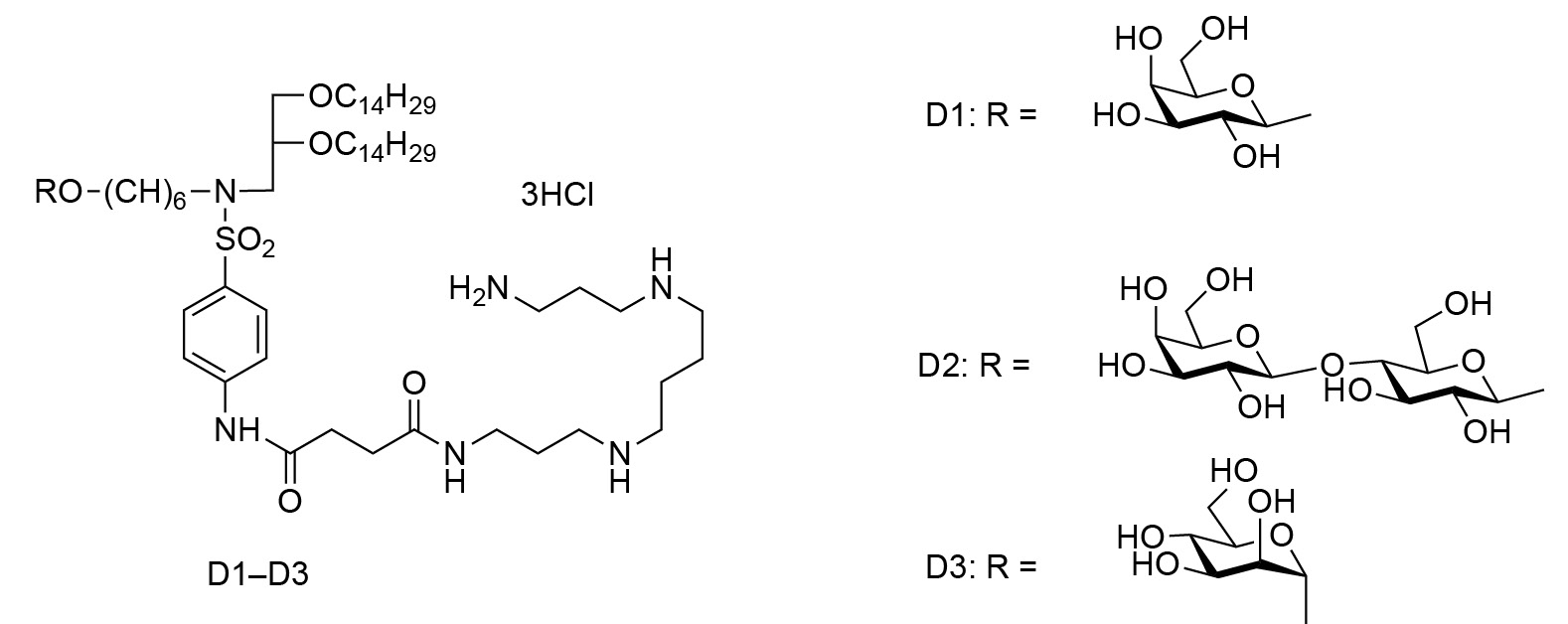
Синтезированы новые катионные амфифилы, содержащие остатки лактозы или D-маннозы, и получены катионные липосомы с 1,2-диолеоил-sn-глицеро-3-фосфатидилэтаноламином (DOPE). Изучены цитотоксичность и трансфицирующая активность новых углеводсодержащих амфифилов и катионных липосом в отношении клеток НЕК 293, BHK и BHK IR-780. Показано, что катионные амфифилы эффективно доставляют в эукариотические клетки только короткий олигодезоксирибонуклеотид, меченный флуоресцеином, в то время как катионные липосомы, сформированные амфифилом с остатком лактозы и DOPE, эффективно опосредуют транспорт короткого олигонуклеотида и малой интерферирующей РНК и нетоксичны для клеток. Полученные катионные амфифилы могут быть использованы в качестве средств доставки нуклеиновых кислот как в индивидуальном состоянии, так и в составе катионных липосом.
Ключевые слова
Полный текст
Об авторах
Е. В. Шмендель
МИРЭА – Российский технологический университет
Автор, ответственный за переписку.
Email: elena_shmendel@mail.ru
Институт тонких химических технологий им. М.В. Ломоносова
Россия, 119571 Москва, просп. Вернадского, 86А. О. Буянова
МИРЭА – Российский технологический университет
Email: elena_shmendel@mail.ru
Институт тонких химических технологий им. М.В. Ломоносова
Россия, 119571 Москва, просп. Вернадского, 86О. В. Марков
Институт химической биологии и фундаментальной медицины СО РАН
Email: elena_shmendel@mail.ru
Россия, 630090 Новосибирск, просп. Акад. Лаврентьева, 8
Н. Г. Морозова
МИРЭА – Российский технологический университет
Email: elena_shmendel@mail.ru
Институт тонких химических технологий им. М.В. Ломоносова
Россия, 119571 Москва, просп. Вернадского, 86М. А. Зенкова
Институт химической биологии и фундаментальной медицины СО РАН
Email: elena_shmendel@mail.ru
Россия, 630090 Новосибирск, просп. Акад. Лаврентьева, 8
М. А. Маслов
МИРЭА – Российский технологический университет
Email: elena_shmendel@mail.ru
Институт тонких химических технологий им. М.В. Ломоносова
Россия, 119571 Москва, просп. Вернадского, 86Список литературы
- Bulaklak K., Gersbach C.A. // Nat. Commun. 2020. V. 11. P. 11–14. https://doi.org/10.1038/s41467-020-19505-2
- Mendes B.B., Conniot J., Avital A., Yao D., Jiang X., Zhou X., Sharf-Pauker N., Xiao Y., Adir O., Liang H., Shi J., Schroeder A., Conde J. // Nat. Rev. Methods Prim. 2022. V. 2. P. 24. https://doi.org/10.1038/s43586-022-00104-y
- Lundstrom K. // Viruses. 2023. V. 15. P. 698. https://doi.org/10.3390/v15030698
- Wang C., Pan C., Yong H., Wang F., Bo T., Zhao Y., Ma B., He W., Li M. // J. Nanobiotechnology. 2023. V. 21. P. 1–18. https://doi.org/10.1186/s12951-023-02044-5
- Tseu G.Y.W., Kamaruzaman K.A. // Molecules. 2023. V. 28. P. 1498. https://doi.org/10.3390/molecules28031498
- Nsairat H., Alshaer W., Odeh F., Esawi E., Khater D., Bawab A.A., El-Tanani M., Awidi A., Mubarak M.S. // OpenNano. 2023. V. 11. P. 100132. https://doi.org/10.1016/j.onano.2023.100132
- Gao Y., Liu X., Chen N., Yang X., Tang F. // Pharmaceutics. 2023. V. 15. P. 178. https://doi.org/10.3390/pharmaceutics15010178
- Iqbal S., Blenner M., Alexander-Bryant A., Larsen J. // Biomacromolecules. 2020. V. 21. P. 1327–1350. https://doi.org/10.1021/acs.biomac.9b01754
- Rai D.B., Pooja D., Kulhari H. // In: Pharmaceutical Applications of Dendrimers, Elsevier Inc., 2019. https://doi.org/10.1016/B978-0-12-814527-2.00009-3
- Jiang Y., Fan M., Yang Z., Liu X., Xu Z., Liu S., Feng G., Tang S., Li Z., Zhang Y., Chen S., Yang C., Law W.C., Dong B., Xu G., Yong K.T. // Biomater. Sci. 2022. V. 10. P. 6862–6892. https://doi.org/10.1039/D2BM01001A
- Mirza Z., Karim S. // In: Recent Advancements and Future Challenges. Elsevier Ltd., 2021. https://doi.org/10.1016/j.semcancer.2019.10.020
- Duan L., Xu L, Xu X, Qin Z., Zhou X., Xiao Y., Liang Y., Xia J. // Nanoscale. 2021. V. 13. P. 1387–1397. https://doi.org/10.1039/d0nr07622h
- Ponti F., Campolungo M., Melchiori C., Bono N., Candiani G. // Chem. Phys. Lipids. 2021. V. 235. P. 105032. https://doi.org/10.1016/j.chemphyslip.2020.105032
- Belhadj Z., Qie Y., Carney R.P., Li Y., Nie G. // BMEMat. 2023. V. 1. P. e12018. https://doi.org/10.1002/bmm2.12018
- Liu C., Zhang L., Zhu W., Guo R., Sun H., Chen X., Deng N. // Mol. Ther. Methods Clin. Dev. 2020. V. 18. P. 751–764. https://doi.org/10.1016/j.omtm.2020.07.015
- Gangopadhyay S., Nikam R.R., Gore K.R. // Nucleic Acid Ther. 2021. V. 31. P. 245–270. https://doi.org/10.1089/nat.2020.0882
- Shmendel E.V., Puchkov P.A., Maslov M.A. // Pharmaceutics. 2023. V. 15. P. 1400. https://doi.org/10.3390/pharmaceutics15051400
- Jain A., Jain S.K. // Curr. Mol. Med. 2018. V. 18. P. 44–57. https://doi.org/10.2174/1566524018666180416101522
- Fu S., Xu X., Ma Y., Zhang S., Zhang S. // J. Drug Target. 2019. V. 27. P. 1–11. https://doi.org/10.1080/1061186X.2018.1455841
- Battisegola C., Billi C., Molaro M.C., Schiano M.E., Nieddu M., Failla M., Marini E., Albrizio S., Sodano F., Rimoli M.G. // Pharmaceuticals. 2024. V. 17. P. 308. https://doi.org/10.3390/ph17030308
- Fatima M., Karwasra R., Almalki W.H., Sahebkar A., Kesharwani P. // Eur. Polym. J. 2023. V. 183. P. 111759. https://doi.org/10.1016/j.eurpolymj.2022.111759
- Jain A., Jain A., Parajuli P., Mishra V., Ghoshal G., Singh B., Shivhare U.S., Katare O.P., Kesharwani P. // Drug Discov. Today. 2018. V. 23. P. 960–973. https://doi.org/10.1016/j.drudis.2017.11.003
- Paurević M., Šrajer Gajdošik M., Ribić R. // Int. J. Mol. Sci. 2024. V. 25. P. 1370. https://doi.org/10.3390/ijms25031370
- Goswami R., O’hagan D.T., Adamo R., Baudner B.C. // Pharmaceutics. 2021. V. 13. P. 1–14. https://doi.org/10.3390/pharmaceutics13020240
- Goswami R., Chatzikleanthous D., Lou G., Giusti F., Bonci A., Taccone M., Brazzoli M., Gallorini S., Ferlenghi I., Berti F., O’Hagan D.T., Pergola C., Baudner B.C., Adamo R. // ACS Infect. Dis. 2019. V. 5. P. 1546–1558. https://doi.org/10.1021/acsinfecdis.9b00084
- Maslov M.A., Medvedeva D.A., Rapoport D.A., Serikov R.N., Morozova N.G., Serebrennikova G.A., Vlassov V.V., Zenkova M.A. // Bioorg. Med. Chem. Lett. 2011. V. 21. P. 2937–2940. https://doi.org/10.1016/j.bmcl.2011.03.056
- Liu K., Jiang X., Hunziker P. // Nanoscale. 2016. V. 8. P. 16091–16156. https://doi.org/10.1039/C6NR04489A
- Hayashi Y., Higashi T., Motoyama K., Jono H., Ando Y., Onodera R., Arima H. // Biol. Pharm. Bull. 2019. V. 42. P. 1679–1688. https://doi.org/10.1248/bpb.b19-00278
- Gadekar A., Bhowmick S., Pandit A. // Adv. Funct. Mater. 2020. V. 30. P. 1910031. https://doi.org/10.1002/adfm.201910031
- Miller K.A., Kumar E.V.K.S., Wood S.J., Cromer J.R., Datta A., David S.A. // J. Med. Chem. 2005. V. 48. P. 2589–2599. https://doi.org/10.1021/jm049449j
- Kim B.K., Hwang G.B., Seu Y.B., Choi J.S., Jin K.S., Doh K.O. // Biochim. Biophys. Acta Biomembr. 2015. V. 1848. P. 1996–2001. https://doi.org/10.1016/j.bbamem.2015.06.02027
- Luneva A.S., Puchkov P.A., Shmendel E.V., Zenkova M.A., Kuzevanova A.Yu., Alimov A.A., Karpukhin A.V., Maslov M.A. // Russ. J. Bioorg. Chem. 2018. V. 44. P. 724–731. https://doi.org/10.1134/S1068162019010084
- Yang J.P., Huang L. // Gene Ther. 1997. V. 4. P. 950– 960. https://doi.org/10.1038/sj.gt.3300485
- Allen M.C., Gale P.A., Hunter A.C., Lloyd A., Hardy S.P. // Biochim. Biophys. Acta. 2000. V. 1509. P. 229–236. https://doi.org/10.1016/s0005-2736(00)00297-2
- Li S., Tseng W.C., Stolz D.B., Wu S.P., Watkins S.C., Huang L. // Gene Ther. 1999. V. 6. P. 585–594. https://doi.org/10.1038/sj.gt.3300865
- Landry B., Valencia-Serna J., Gul-Uludag H., Jiang X., Janowska-Wieczorek A., Brandwein J., Uludag H. // Mol. Ther. Nucl. Acids. 2015. V. 4. P. e240. https://doi.org/10.1038/mtna.2015.13
- Baghban R., Ghasemian A., Mahmoodi S. // Arch. Microbiol. 2023. V. 205. P. 1–15. https://doi.org/10.1007/s00203-023-03480-5
- Lin Y.X., Wang Y., Blake S., Yu M., Mei L., Wang H., Shi J. // Theranostics. 2020. V. 10. P. 281–299. https://doi.org/10.7150/thno.35568
- Carmichael J., Degraff W.G., Gazdar A.F., Minna J.D., Mitchell J.B. // AACR. 1987. V. 47. P. 936–942.
- Audouy S., Molema G., de Leij L., Hoekstra D. // J. Gene Med. 2000. V. 2. P. 465–476. https://doi.org/10.1002/1521-2254(200011/12) 2:6<465::AID-JGM141>3.0.CO;2-Z
- Wang F., Yu L., Monopoli M.P., Sandin P., Mahon E., Salvati A., Dawson K.A. // Nanomedicine. 2013. V. 9. P. 1159–1168. https://doi.org/ 10.1016/j.nano.2013.04.010
- Reiser A., Woschée D., Mehrotra N., Krzysztoń R., Strey H.H., Rädler J.O. // Integr. Biol. (Camb). 2019. V. 11. P. 362–371. https://doi.org/10.1093/intbio/zyz030
Дополнительные файлы










