Inhibition of dipeptidylpeptidase-IV by 2-S-cyanopyrrolidine inhibitors of prolyl endopeptidase
- Authors: Makarov G.I.1, Zolotov N.N.2, Pozdnev V.F.3
-
Affiliations:
- South Ural State University
- Research Zakusov Institute of Pharmacology
- Institute of Biomedical Chemistry
- Issue: Vol 50, No 6 (2024)
- Pages: 813-825
- Section: Articles
- URL: https://ogarev-online.ru/0132-3423/article/view/275981
- DOI: https://doi.org/10.31857/S0132342324060082
- EDN: https://elibrary.ru/NFIUSC
- ID: 275981
Cite item
Full Text
Abstract
Many regulatory neuropeptides contain a large amount of proline residues. The unique proline peptide bond conformation protects these peptides from enzymatic degradation; therefore enzymes cleaving the proline peptide bonds in neuropeptides are of particular interest. The abnormal activity of serine peptidases that cleave peptides at the carboxyl group of proline residues prolyl endopeptidase (PEP) and dipeptidyl peptidase IV (DPP-IV) were observed in patients with anxiety disorders. PEP is involved in the maturation and degradation of neuropeptides and peptide hormones, it also is associated with the regulation of blood pressure and various disorders of the central nervous system. DPP-IV is involved in many physiological processes, in particular in glucose homeostasis in type II diabetes and immunity. When studying the metabolism of the N-acyl derivative of the aminoacyl-2-cyanopyrrolidine PEP inhibitor a decreasing in the activity of DPP-IV at the initial time was detected. This was an unexpected effect observed for inhibitors of the general formula X-Y-2-S-cyanopyrrolidine, where X represents the N-protective group and Y represents the amino acid (any besides glycine and proline). Molecular dynamics simulations of inhibitor complexes with proteases revealed the possibility of PEP inhibitors binding in the DPP-IV active site with hydrogen bonds and hydrophobic interactions that allow linkage of the nitrile group with the catalytic serine residue in the DPP-IV active site. The present study opens the prospect of creating new pharmacologically active ligands of PEP and DPP-IV.
Full Text
ВВЕДЕНИЕ
Хорошо известна регуляторная роль протеолитических ферментов, контролирующих в организме функции эндогенных пептидов. Считается, что эти ферменты управляют деградацией белков, активацией зимогенов, синтезом активных пептидов из неактивных предшественников, а также инактивацией нейропептидов. Множество пептидаз содержится в мозге, равно как и в других тканях. Пептидазы, участвующие в белковом обмене, необходимы для нормальной жизни клеток, но некоторые пептидазы головного мозга могут быть вовлечены в процессы, специфичные для нейронов или глиальных клеток. Даже незначительные нарушения функционирования этих ферментов вызывают развитие ряда патологических состояний центральной нервной системы (ЦНС): деменции, паркинсонизм, болезнь Альцгеймера и др. [1]. Производя, модифицируя и инактивируя нейропептиды, протеазы и пептидазы контролируют концентрацию этих биологических регуляторов.
Эндо- и экзопептидазы головного мозга играют решающую роль в инактивации множества мощных нейропептидов. Пролилэндопептидаза (EC 3.4.21.26, PEP), широко распространенная в тканях млекопитающих, специфически расщепляет пептидные связи на карбоксильном конце остатка пролина в пролинсодержащих эндогенных пептидах. PEP гидролизует тиролиберин, вазопрессин, нейротензин, вещество Р, ангиотензины и другие нейропептиды, регулирующие память. Активность PEP изменяется у больных болезнью Альцгеймера, синдромом Паркинсона, мышечными дистрофиями и другими нейродегенеративными заболеваниями. Дипептидилпептидаза IV типа (EC 3.4.14.5, DPP4) расщепляет пептиды с незамещенных N-концов. Этот фермент участвует в расщеплении, например, вещества Р и гонадолиберина. DPP4 также инактивирует нейропептид Y, проявляющий анксиолитическую и нейропротекторную активность [2]. В ряде патентов показано, что психотропные препараты на основе нейропептида Y можно применять в сочетании с ингибиторами DPP4, хорошо известными как препараты для терапии инсулиннезависимого диабета II типа – ситаглиптином (Merck) и вилдаглиптином (Novartis) [3]. Другие ингибиторы DPP4 используются в качестве противоопухолевых, противоревматических, анти-ВИЧ и нейропротекторных средств. Предыдущие исследования установили участие DPP4 в механизмах развития тревоги и депрессии [4].
Роль пролинспецифических ферментов в патогенезе психических заболеваний, в том числе тревожных расстройств и депрессии, изучается уже более 20 лет. В клинической картине большой депрессии наблюдают экспрессию PEP и подавление активности DPP4 [5]. В наших исследованиях была выявлена высокая антидепрессивная и анксиолитическая активность ингибиторов PEP, в 5–10 раз превышающая активность таких классических психотропных препаратов, как амитриптилин и диазепам [6]. Данные об изменениях активности пролинспецифических ферментов в клинике большой депрессии послужили основой для разработки лабораторной модели тревожно-депрессивного состояния у крыс [7, 8] и исследований активности PEP и DPP4 у больных с тревожными расстройствами при терапии феназепамом и фабомотизолом [9]. Было показано, что активность DPP4 в сыворотке крови здоровых матерей до и после родов выше, чем у небеременных здоровых женщин и повышается по мере приближения родов. Также установлено, что DPP4 участвует в процессах воспаления и нейродегенерации при ишемическом поражении ЦНС [10]. Все вышесказанное определяет перспективность целенаправленного синтеза, биохимического исследования in vitro и изучения фармакологических эффектов новых ингибиторов PEP и DPP4.
Эксперименты показали, что синтезированные нами оригинальные низкомолекулярные ингибиторы PEP и DPP4 (рис. 1) обладали выраженными ноотропными, антидепрессантными, анксиолитическими и геропротекторными свойствами [11]. Исследуя метаболизм нового ингибитора PEP сукцинилаланил-2-цианопирролидина, мы обнаружили его способность подавлять и активность DPP4. Этот феномен был исследован также на других ингибиторах PEP методами ферментативной кинетики, и некоторые N-защищенные производные 2-S-цианопирролидина ингибировали DPP4.
Рис. 1. Структуры ингибиторов пептидаз, исследуемых в настоящей работе.
Но субстрат DPP4, как и аналогичный ингибитор, такой как глицил-2-цианопирролидин, должен иметь протонированный и заряженный N-конец, чтобы связываться с этой пептидазой. Крупные защитные группы на N-конце ингибиторов PEP, активных в отношении DPP4, казалось бы, должны препятствовать их связыванию с активным центром DPP4. Поэтому мы решили исследовать взаимодействия аминокислотных производных 2-S-цианопирролидина с PEP и DPP4, моделируя структуры соответствующих комплексов методами классической молекулярной динамики. При этом мы преследовали следующие цели: вопервых, выявить особенности взаимодействия этих веществ с активным центром PEP, и, вовторых, составить структурно обоснованное представление об их взаимодействии с активным центром DPP4, чтобы объяснить их неожиданную активность в ингибировании этого фермента.
РЕЗУЛЬТАТЫ И ОБСУЖДЕНИЕ
Антиамнестические свойства ингибиторов PEP хорошо известны и изучались на модели скополаминовой амнезии [12]. Наши исследования антиамнестического действия цианопирролидиновых ингибиторов PEP на скополаминовую амнезию CPAR показали, что CbzMetPrn (1 мг/кг) обладает высокой активностью, снижая активность PEP в лобной коре крыс на 17% и увеличивая латентное время на 256%. Явные признаки антиамнестической активности наблюдаются и для CbzTrpPrn, однако из-за значительного разброса показателей у отдельных животных различия не достигают достоверного уровня. Более того, в условиях скополаминовой амнезии цианопирролидиновые ингибиторы PEP оказались более активными, чем такие стандартные ноотропы, как пирацетам (300 мг/кг) и пиритинол (100 мг/кг).
При изучении метаболизма N-ацильных производных аминоацил-2-цианопирролидиновых ингибиторов PEP мы обнаружили снижение активности ДПП-4 на начальном отрезке времени. Этот неожиданный эффект был примерно в 100 раз слабее, чем у PEP, и наблюдался для ингибиторов общей формулы X-Y-2-S-цианопирролидина, где X – защитная группа, а Y – любая аминокислота кроме глицина. Наши последующие измерения IC50 показали, что X-Y-2-S-пирролидиновые ингибиторы PEP могут ингибировать DPP4, если X представляет собой бензилоксикарбонильную или сукцинильную защитную группу, а Y не является остатком глицина или пролина, т.е. представляют собой L-аминокислотные остатки с боковыми цепями (табл. 1). Чтобы понять это явление, было проведено молекулярно-динамическое моделирование исследуемых соединений с PEP и DPP4. Структуры PEP и DPP4 были стабильными на всех полученных траекториях: RMSD пептидного остова не превышало 0.3 нм для каждой из них (см. рис. S2 в дополнительных материалах). Элементы вторичной структуры моделируемых белков сохранялись на всей траектории для каждого моделируемого комплекса пептидаза–ингибитор. Анализ полученных данных показывает, что цианопирролидиновые ингибиторы PEP могут устанавливаться в активном центре DPP4 с помощью водородных связей и гидрофобных взаимодействий, а различия в ингибирующей активности в отношении этих ферментов связаны со структурными особенностями их активных центров.
Таблица 1. Константы ингибирования PEP и DPP4
Соединение | Ki, нМ | |
PEP | DPP4 | |
HGlyPrn | – | 2.5 ± 0.09 |
BocGlyPrn | 10.0 ± 0.36 | – |
CbzGlyPrn | 3.2 ± 0.12 | – |
CbzAlaPrn | 4.2 ± 0.15 | 1917 ± 69 |
CbzMetPrn | 1.7 ± 0.06 | 1917 ± 33 |
CbzTrpPrn | 7.5 ± 0.27 | 2917 ± 105 |
CbzProPrn | 0.8 ± 0.03 | – |
CbzProPrAl | 0.8 ± 0.04 | – |
SucAlaPrn | 2.5 ± 0.09 | 1583 ± 57 |
SucMetPrn | 1.7 ± 0.07 | 1083 ± 39 |
Активный центр PEP состоит из четырех основных элементов, каждый из которых определенным образом участвует в связывании ингибитора. Во-первых, это каталитическая триада сериновой протеазы, состоящая из остатков Ser554, His680 и Asp641, – ее серин может взаимодействовать с нитрильной группой пролилнитрила, образуя имидат и, таким образом, ковалентно связывая ингибитор. Во-вторых, это непосредственно примыкающая к нему гидрофобная полость (далее – ближняя гидрофобная полость), связывающая пятичленный цикл пролилнитрила. Она состоит из остатков Phe476, Val644, Val580 и Trp595; на индольный фрагмент последнего и ложится пятичленный цикл пролилнитрила, направляя нитрильную группу к каталитическому серину. Индольный фрагмент Trp595 также образует водородную связь с карбонильным кислородом N-концевой защитной группы ингибитора, соответствующей –2 от пролина остатку в расщепляемом пептиде (рис. 2). В-третьих, это остаток Arg643, образующий водородную связь с карбонильной группы аминокислотного остатка ингибитора (соответствующего –1 от пролина остатку в расщепляемом пептиде). В-четвертых, это остатки Phe173, Ile591 и Met235, составляющие гидрофобную зону (далее – дальняя гидрофобная зона), которая связывает гидрофобную группу N-концевой защиты ингибитора.
Рис. 2. Водородные связи, образуемые ингибиторами с активным центром PEP. AA – соответствующий аминокислотный остаток ингибитора, Protect – защитная группа. См. также табл. S1 в дополнительных материалах.
Активный центр DPP4 построен иначе. Он содержит, во-первых, каталитическую триаду Ser630, His740 и Asp708, во-вторых, ближнюю гидрофобную полость, состоящую из остатков Tyr547, Tyr631, Tyr662, Tyr666, Val656 и Trp659, чьи роли в связывании ингибитора аналогичны соответствующим элементам активного центра PEP с той разницей, что в DPP4 место Trp595 PEP занимает Tyr662, не образующий водородных связей с карбонильным кислородом N-концевой защитной группы ингибитора. Его конформация также не позволяет пятичленному циклу пролилнитрила лечь на плоскость бензольного кольца. В-третьих, активный центр DPP4 включает в себя остатки Glu205 и Glu206 (далее – отрицательный выступ), образующие водородные связи и ионные мостики с положительно заряженным N-концом ингибитора, не несущего защитной группы. Также он содержит гидрофобную полость, образуемую остатками Trp201, Val202 и Val665, в которую может входить боковая цепь N-концевого аминокислотного остатка ингибитора.
Строение активного сайта PEP благоприятствует связыванию ингибиторов, несущих гидрофобную защитную группу на N-конце, таких как BocGlyPrn или CbzGlyPrn. Все они образуют устойчивые водородные связи с Trp595 и Arg643, описанные выше (табл. 2), а их трет-бутоксикарбонильные или карбобензоксильные защитные группы взаимодействуют с дальней гидрофобной зоной, что выражается в их прочном связывании с PEP (рис. 3). Бензольное кольцо карбобензоксильной защитной группы дополнительно образует π-стэкинг-взаимодействие с остатком Phe173 (табл. 2). Сукцинильная защитная группа заряжена отрицательно, что, с одной стороны, исключает взаимодействие с дальней гидрофобной зоной PEP, но, с другой стороны, создает водородные связи и ионные мостики с остатками Arg643 и Arg252. Если же ингибитор имеет свободный и положительно заряженный N-конец, как HGlyPrn, то он лишен возможности взаимодействовать с дальней гидрофобной зоной и не может образовывать водородную связь с Trp595. Более того, это приводит к электростатическому отталкиванию N-конца от Arg643, что дестабилизирует водородную связь последнего с карбонильным углеродом. Это объясняет неспособность HGlyPrn подавлять активность PEP.
Таблица 2. Встречаемость π-стэкинг-взаимодействий карбобензоксильной защитной группы с активными центрами PEP и DPP4
Соединение | Встречаемость стэкинг-взаимодействий, % | |
PEP Phe173 | DPP4 Tyr547 | |
CbzGlyPrn | 25 | – |
CbzAlaPrn | 23 | 22 |
CbzMetPrn | 24 | 17 |
CbzTrpPrn | 19 | – |
CbzProPrn | 23 | 15 |
CbzProPrAl | 53 | 4 |
Рис. 3. Конформации пирролидоновых ингибиторов пролилэндопептидазы (показаны темно-синим цветом) в активном центре PEP, полученные молекулярно-динамическим моделированием. Водородные связи показаны черным пунктиром. Желтым цветом изображена ближняя гидрофобная зона, голубым – гидрофобная полость, красным – негативный выступ. (а) – HGlyPrn; (б) – CbzGlyPrn; (в) – CbzMetPrn; (г) – SucMetPrn.
На активность ингибиторов PEP также положительно влияет конформационная жесткость аминокислотного остатка, наиболее выраженная для CbzProPrn и CbzProPrAl. Конформация остатка пролина благоприятствует стабилизации характерных водородных связей ингибитора с Trp595 и Arg643, так же как и стабилизации π-стэкинг-взаимодействия карбобензоксильной защитной группы с остатком Phe173. Сочетание этих факторов способствует повышенной активности этих ингибиторов.
Строение активного центра DPP4 требует от ингибитора наличия свободного и положительно заряженного N-конца, с которым может взаимодействовать отрицательный выступ, что и наблюдается для HGlyPrn. Напротив, BocGlyPrn или CbzGlyPrn и другие ингибиторы, содержащие N-концевые защитные группы, не только не могут взаимодействовать с отрицательным выступом DPP4, но и вступают с ним в стерическое противоречие: защитная группа не помещается в отводимом ей месте. Все это препятствует связыванию таких соединений с DPP4. Впрочем, в случае CbzAlaPrn и, особенно, CbzMetPrn соединение принимает такую конформацию, в которой карбоксибензоильная защитная группа взаимодействует с остатком Tyr547 (табл. 2), а алифатическая боковая цепь погружается в гидрофобную полость. Это частично компенсирует общую слабость связывания, делая CbzMetPrn в разы более активным ингибитором DPP4, чем CbzAlaPrn и, тем более, CbzTrpPrn (табл. 1). Отрицательно заряженная сукцинильная защитная группа SucAlaPrn и, особенно, SucMetPrn, с одной стороны, отталкивается от отрицательного выступа, но, с другой стороны, может образовывать водородные связи с остатком Arg125, входящим в состав отрицательного выступа. Сольватация сукцинильной защитной группы и формирование ею водородных связей в сочетании с погружением боковой цепи остатка метионина в гидрофобную полость аналогичным SucMetPrn образом упрочает связывание SucMetPrn относительно SucAlaPrn. Но кулоновское отталкивание сукцинильной защитной группы и отрицательного выступа делает SucMetPrn менее активным ингибитором DPP4, нежели CbzMetPrn (рис. 4).
Рис. 4. Конформации пирролидоновых ингибиторов пролилэндопептидазы (показаны темно-синим цветом) в активном центре DPP4, полученные молекулярно-динамическим моделированием. Водородные связи показаны черным пунктиром. Желтым цветом изображена ближняя гидрофобная зона, голубым – гидрофобная полость, красным – негативный выступ. (а) – HGlyPrn; (б) – CbzGlyPrn; (в) – CbzMetPrn; (г) – SucMetPrn.
ЭКСПЕРИМЕНТАЛЬНАЯ ЧАСТЬ
Синтез производных 2-S-цианопирролидина (общие сведения). Все реагенты лабораторного качества и N-бензилоксикарбонил-L-пролил-L-пролиналь (CbzProPrAl) были получены от Sigma-Aldrich (США). Температуры плавления определяли на автоматическом приборе EZ-Melt (Stanford Research Systems, США) без поправки.
Протекание всех реакций отслеживали с помощью тонкослойной хроматографии, проводившейся на предварительно покрытых пластинах Merck (силикагель 60 F254, 0.25 мм) и визуализированной путем гашения флуоресценции в УФ-свете (254 нм). Оптическое вращение определяли с использованием поляриметра DIP-1000 (Jasco, Япония) при 25°С и длине волны 589 нм. Спектры 1H-ЯМР получены на ЯМР-спектрометрах Bruker Avance II (400 МГц) и Bruker Fourier 300 (300 МГц) (Bruker, Германия). Масс-спектры получены на масс-спектрометре HP GS/MS 5890/5972 (Hewlett-Packard, США).
Все синтезированные соединения были очищены до хроматографической чистоты посредством высокоэффективной жидкостной хроматографии на хроматографе LC20AD (Shimadzu, Япония), длина волны 214 нм, колонка Waters Symmetry C18, 3.5 мкМ, 2.1 × 150 мм, скорость потока 0.4 мл/мин. В качестве элюентов использовали 0,1%-ный раствор ТФУ в воде (А) и 0,1%-ный раствор трифторуксусной кислоты в ацетонитриле (Б) при градиенте 5–95% элюента Б за 15 мин.
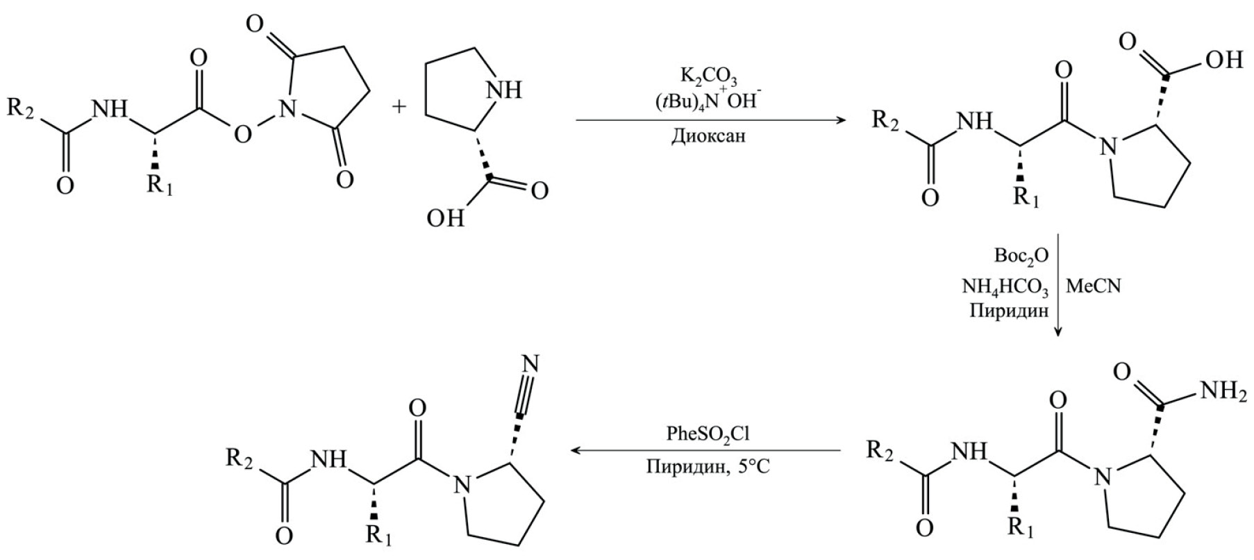
Общая процедура синтеза N-защищенных карбонитрилов дипептидов. N-защищенные карбонитрилы дипептидов использовались в настоящей работе как сами по себе, так и в качеcтве предшественников для синтеза других исследуемых соединений. Общая процедура синтеза этих соединений показана на рис. 5.
Рис. 5. Общая процедура синтеза N-защищенных карбонитрилов дипептидов. R1 – боковая цепь аминокислоты, R2 – трет-бутил или бензил.
Суспензию 1.3 г (11 ммоль) пролина, 1.6 г (11 ммоль) K2CO3 и 0.1 г тетрабутиламмонийгидроксида в 10 мл диоксана перемешивали 15 мин, добавляли 10 ммоль N-оксисукцинимидного эфира N-защищенной L-аминокислоты и перемешивали в течение 10 ч. Затем реакционную смесь разбавляли водой (25 мл), перемешивали 1 ч и экстрагировали этилацетатом с эфиром (1 : 1, 15 мл), водный раствор подкисляли 1 М HCl до pH 2–3 и экстрагировали этилацетатом (сначала 50 мл, затем 20 мл). Полученные экстракты объединяли и промывали насыщенным раствором NaCl, высушивали над MgSO4 и упаривали, получая N-защищенный аминоацилпролин.
Суспензию 10 ммоль N-защищенного аминоацилпролина, 1 г (13 ммоль) гидрокарбоната аммония, 0.3 мл пиридина и 3 мл (13 ммоль) ди-трет-бутилпирокарбоната в 10 мл ацетонитрила перемешивали в течение 16 ч, затем разбавляли водой (30 мл) и экстрагировали последовательно смесью эфира с гексаном (1 : 1, 20 мл) и этилацетатом (сначала 50 мл, затем 20 мл). Этилацетатные экстракты объединяли, промывали насыщенным раствором NaCl и высушивали над MgSO4. Растворитель упаривали, а остаток растирали в смеси эфира с гексаном, получая амид N-защищенного аминоацилпролина в виде кристаллического порошка [13].
К охлажденному до 5°С раствору 6.5 ммоль амида N-защищенного аминоацилпролина в 10 мл пиридина добавляли порциями 1.7 мл (13 ммоль) бензолсульфохлорида. Реакционную смесь перемешивали при 15–17°С в течение 16 ч, затем растворитель упаривали в вакууме, а остаток растворяли в этилацетате. Полученный раствор последовательно промывали водой, 5%-ным раствором H2SO4, водой, насыщенным раствором NaCl и высушивали над MgSO4. Растворитель упаривали, а остаток кристаллизовали из эфира, получая целевой нитрил N-защищенного аминоацилпролина в виде белого кристаллического порошка [14].
N-трет-Бутилоксикарбониламино-глицил-2S-пирролидин-2-карбонитрил (BocGlyPrn). Белый порошок (2.1 г, 87%); т. пл. 62°C; [α]20D = −50° (c 1, C2H5OH).
N-Бензилоксикарбониламино-глицил-2S-пирролидин-2-карбонитрил (CbzGlyPrn). Белый порошок (2.4 г, 83%); т. пл. 60°C; [α]20D = = −108° (c 1, C2H5OH); MS (ESI+): m/z 288.1 [M + H]+.
N-Бензилоксикарбониламино-L-аланил-2S-пирролидин-2-карбонитрил (CbzAlaPrn). Белый порошок (2.4 г, 80%); т. пл. 59°C; [α]20D = −182° (c 1, C2H5OH).
N-Бензилоксикарбониламино-L-метионил-2S-пирролидин-2-карбонитрил (CbzMetPrn). Белый порошок (2.8 г, 78%); т. пл. 73°C; [α]20D = = −95° (c 0,5, CH3OH); 1H-ЯМР (CDCl3, 250 MГц): 7.35 (с, 5H), 5.84 (д, 1H), 5.08 (м, 2H), 4.72 (м, 1H), 4.66 (м, 1H), 3.77 (д, 2H), 2.56 (м, 2H), 2.20 (м, 2H), 2.12 (с, 3H), 2.06–1.82 (м, 2H); MS (ESI+): m/z 362.1 [M + H]+.
N-Бензилоксикарбониламино-L-триптофил-2S-пирролидин-2-карбонитрил (CbzTrpPrn). Белый порошок (3.4 г, 81%); т. пл. 70°C; [α]20D = = −3.5° (c 1, DMF).
N-Бензилоксикарбониламино-L-пролил-2S-пирролидин-2-карбонитрил (CbzProPrn). Белый порошок (2.7 г, 81%); т. пл. 135°C; [α]20D = = −72° (c 1, C2H5OH); MS (ESI+): m/z 328.1 [M + H]+.
L-Глицил-2S-пирролидин-2-карбонитрил (HGlyPrn). К раствору 1.3 г (5 ммоль BocGlyPrn) в 5 мл дихлорметана приливали 5 мл трифторуксусной кислоты и выдерживали при комнатной температуре до исчезновения пятна исходного продукта на ТСХ (~1 ч). Затем раствор выдерживали в вакууме до прекращения отгонки трифторуксусной кислоты, к остатку приливали 10 мл 1 М раствора HCl в уксусной кислоте и снова упаривали досуха. Остаток кристаллизовали растиранием в эфире, полученный порошок отфильтровывали, промывали эфиром и высушивали в вакууме. Белый порошок (0.7 г, 79%); т. пл. 149°C; [α]20D = −139° (c 1, C2H5OH).
Синтез N-сукцинилированных карбонитрилов дипептидов (общая процедура). К раствору 5 ммоль N-трет-бутилоксикарбонилированного аминоацилпролина в 5 мл дихлорметана приливали 5 мл трифторуксусной кислоты и выдерживали при комнатной температуре до исчезновения пятна исходного продукта на ТСХ (~1 ч). Затем раствор выдерживали в вакууме до прекращения отгонки трифторуксусной кислоты, к остатку приливали 10 мл 1 М раствора HCl в уксусной кислоте и снова упаривали досуха. Остаток кристаллизовали растиранием в эфире, полученный порошок гидрохлорида L-аланилпролилнитрила отфильтровывали, промывали эфиром и высушивали в вакууме. К раствору 0.41 г (2 ммоль) гидрохлорида L-аланилпролилнитрила в 3 мл дихлорметана приливали раствор 0.22 г (2.2 ммоль) янтарного ангидрида в 3 мл дихлорметана, добавляли 0.25 мл триэтиламина. Реакционную смесь выдерживали при комнатной температуре 3–5 ч, контролируя по ТСХ, затем последовательно промывали 5%-ным раствором лимонной кислоты, водой, насыщенным раствором NaCl, высушивали над MgSO4 и упаривали. Получали целевой продукт в виде смолы. Смолу растирали в эфире, после чего эфир декантировали и кристаллизовали оставшуюся смолу из смеси этилацетата с гексаном.
N-Сукцинил-L-аланил-2S-пирролидин-2-карбонитрил (SucAlaPrn). Белый порошок (1.1 г, 81%); т. пл. 124°C; [α]20D = −178° (c 1, C2H5OH); MS (ESI+): m/z 290.1 [M + Na]+.
N-Сукцинил-L-метионил-2S-пирролидин-2-карбонитрил (SucMetPrn). Белый порошок (1.1 г, 80%); т. пл. 135°C; [α]20D = −72° (c 1, C2H5OH).
Ингибирующая активность производных 2-S-цианопирролидина. В работе использовали препараты PEP и DPP–IV, выделенные из мозга крысы, как описано ранее [15], с модификациями. Вкратце, гомогенат мозга крысы осаждали сульфатом аммония, затем проводили ионообменную хроматографию на DEAE-Sephadex A-50, гель-хроматографию на Sephadex G75 и высокоэффективную жидкостную хроматографию на колонке MonoQ с использованием FPLC. По данным электрофореза в ПААГ с додецилсульфатом натрия полученные препараты ферментов представляли собой гомогенные мономеры с молекулярными массами 75 кДа (PEP) и 110 кДа (DPP4) соответственно. Очищенные ферменты концентрировали ультрафильтрацией и хранили при 80°C.
Активность ферментов измеряли по гидролизу синтетических субстратов, при котором высвобождался 7-амино-4-метилкумарин (AMC), определяемый флуорометрически: спектр флуоресценции свободного AMC отличается от такового для АMC, ацилированного пептидом. Концентрацию AMC определяли после 30 мин инкубации при 37°C по величине флуоресценции на спектрофлуорометре LS-5B (Perkin-Elmer, США) с параметрами: возбуждение при 380 нм, флуоресценция при 460 нм, щель 2.5 нм. Удельную активность пептидаз A рассчитывали по формуле:
,
где E – флуоресценция пробы (380/460 нм); C – флуоресценция смеси, содержащей по 0.05 мл субстрата и фермента, 1.9 мл Tris-HCl-буфера и 1 мл ацетатного буфера (pH 4.0); S – флуоресценция смеси, содержащей 0.05 мл субстрата, 1.93 мл Tris-Hcl-буфера, 1 мл ацетатного буфера (рН 4.0) и 0.02 мл раствора AMC концентрации 2 нМ; B – флуоресценция смеси, содержащей 0.05 мл субстрата, 1.95 мл Tris-HCl-буфера и 1 мл ацетатного буфера (pH 4.0); t – время инкубации, V – объем образца в мл.
Ферментативную реакцию останавливали добавлением в инкубационную смесь 1 мл ацетатного буфера (pH 4.0). Инкубационную смесь составляли из 0.05 мл ферментного препарата в 0.02 М Tris-HCl-буфере (pH 7.5) соответствующего типа, 0.05 мл раствора субстрата в DMSO концентрации 1 мг/мл и 1.9 мл Tris-HCl-буфера. Активность PEP измеряли по гидролизу Z-Ala-Pro-AMC. При этом использовали Tris-HCl-буфер (pH 8.0), содержащий по 1 мМ ЭДТА-Na2, дитиотреитола и NP-40. Активность DPP4 измеряли по гидролизу Gly-Pro-AMC. При этом использовали Tris-HCl-буфер (pH 7.5). Обработку результатов выполняли в пакете GraphPad PRISM 4.0, полученные активности ингибиторов представлены в табл. 1.
Антиамнестическая активность производных 2-S-цианопирролидина. Исследования выполняли на 42 самцах беспородных белых крыс массой 180-220 г возраста 2 мес, полученных из питомника лабораторных животных филиала “Столбовая” ФГБУН НЦБМТ ФМБА. В качестве модели обучения использовали условный рефлекс пассивного избегания (CPAR). Во время обучения крысу помещали на небольшую платформу перед входом в темную камеру установки Lafayette Instrument USP (США), состоящей из двух соединенных между собой ярко освещенной и темной камер. Камеры разделяет дверца, через которую животное может свободно перемещаться из освещенной камеры в темную. В темной камере пол представляет собой металлическую сетку, по которой пропускаются импульсы электрического тока. Сразу после входа в темную камеру крыса получала болезненную стимуляцию электрическим током силой 0.5 мА через напольный электрод длительностью 10 с или до тех пор, пока крыса не выбежала из камеры. Крысу считали обученной, если она не заходила в темную камеру в течение следующих 30 с. В случае входа в темную камеру обучение повторяли. Через 24 ч проводили тест на рефлекторное воспроизведение. В этом случае крысу помещали на освещенное место и регистрировали латентное время (LT) ее входа в темную камеру. Время наблюдения составляло 3 мин. Критерием рефлекторного воспроизведения считали LT входа в темную камеру; также подсчитывали количество особей, не заходящих в темную камеру в течение 3 мин. Амнезию моделировали внутрибрюшинным введением крысам 1 мг/кг скополамина, блокатора М-холинорецепторов, за 15 мин до вызывания CPAR. Исследуемый ингибитор PEP вводили внутрибрюшинно за 30 мин до начала исследования CPAR в соответствующих дозах. В каждую экспериментальную группу животных входило от 8 до 16 крыс.
Статистическую обработку данных проводили с использованием программы Statistica 10.0 (TIBCO Software, США). Нормальность распределения оценивали с помощью критерия Шапиро–Уилка с последующей оценкой однородности дисперсий по критерию Левена. В случае нормального распределения в экспериментальных группах и соблюдения однородности дисперсий между группами дальнейшую обработку проводили с использованием метода параметрической статистики t-критерия Стьюдента.
Животных содержали в соответствии с санитарно-эпидемиологическими правилами СП 2.2.1.3218-14 “Санитарно-эпидемиологические требования к проектированию, оборудованию и содержанию экспериментальных биологических клиник (вивариев)”. Перед декапитацией крыс анестезировали уретаном (1500 мг/кг внутрибрюшинно).
Молекулярно-динамическое моделирование. В молекулярно-динамическом моделировании использовали структуру пролилэндопептидазы человека (PEP), извлеченную из полученной методом рентгеноструктурного анализа структуры с разрешением 1.56 Å (PDB ID: 3DDU) [16], и структуру дипептидилпептидазы 4 типа человека (DPP4), извлеченную из полученной тем же методом структуры с разрешением 1.76 Å (PDB ID: 5T4B) [17], причем для моделирования каждого фермента было взято по одной субъединице, а содержащиеся в них лиганды были изъяты. В выбранных таким образом структурах ферментов устанавливали докингом структуры моделируемых соединений, применяя пакет rDock [18] с 1000 запусков оптимизационного процесса так, чтобы расположение остатка пролилнитрила относительно остатков серина, гистидина и аспарагиновой кислоты каталитической триады и в PEP, и в DPP4 было таким же, как для остатка пролина тетрапептида GFRP, образовавшего комплекс с мутантной PEP свиньи, структура которой с разрешением 2.35 Å (PDB ID: 1UOO) была получена в работе [19]. Полученные конформации были отсортированы по их сродству к мишени, оцененному программой rDock. Положения и конформации ингибиторов с наивысшими предсказанными сродствами были установлены в описанных выше структурах PEP и DPP4. В ходе моделирования остаток пролилнитрила был ковалентно связан с каталитическим остатком серина с образованием имидата [20], как и остаток пролиналя, образующего полуацеталь [21] (рис. 2).
Все расчеты молекулярной динамики и анализ полученных траекторий проводили с использованием пакета GROMACS [22, 23] версий 5.0.4 и 5.1.4. Аминокислотные остатки и производные пролилнитрила моделировали с использованием силового поля parm99sb [24]. При этом оптимизированные трехмерные структуры и молекулярные электростатические потенциалы вновь параметризуемых остатков и соединений получали квантово-химическими расчетами методом Хартри–Фока с базисом 6-31G*. Точечные заряды вычисляли в модели RESP [25].
Все моделирования выполняли при температуре 300 К с периодом привязки 0.1 пс под управлением термостата масштабирования скоростей с добавочным стохастическим членом [26] и периодических граничных условиях с изотропным постоянным давлением, поддерживаемым баростатом Берендсена [27] с периодом привязки 5 пс. Электростатические взаимодействия обрабатывали посредством сети частиц Эвальда [28] с шагом сетки 0.125 нм и четвертым порядком интерполяции. Моделируемые системы были центрированы в тетрагональных ячейках соответствующих размеров (8.4 × 7.5 × 7.5 нм для PEP и 8.4 × × 8.4 × 8.4 нм для DPP4), заполненных молекулами воды TIP4PEW [29]. Остаточный отрицательный заряд системы был компенсирован ионами калия с оптимизированными параметрами [30], которыми случайным образом заменяли молекулы воды. Временной шаг интегрирования во всех вычислениях составлял 2 фс, координаты записывали в файл траектории каждые 25 пс. Для ограничения длин связей с атомами водорода использовали алгоритм LINCS [31]. Протяженность траектории для каждой смоделированной системы составляла 200 нс.
Анализ траекторий включал в себя анализ водородных связей и стэкинг-взаимодействий, которые выполняли так же, как в работе [32]. При выполнении анализа кадры полученных молекулярно-динамических траекторий были кластеризованы методом GROMOS [33] с отсечкой 1 нм по конформации ингибитора пептидазы и аминокислотных остатков белка, удаленных от него не более чем на 1 нм, причем атомы водорода не учитывали. Центроид наиболее населенного кластера, выделенного из множества кадров, использовали для описания конформации соответствующего ингибитора в сайте связывания и визуализации. Стабильность структур пептидаз отслеживали посредством расчета среднеквадратического отклонения (RMSD) атомов пептидного остова (N, Cα, C, O) от исходной структуры и выявления элементов вторичной структуры в каждом кадре каждой полученной траектории с помощью программы DSSP [34].
ЗАКЛЮЧЕНИЕ
Протеолиз включен во все процессы, связанные с превращением белка с момента его синтеза и до полного гидролиза. Все без исключения структурные и функциональные белки, ферменты, гормоны пептидной природы, многочисленные по строению и функциям регуляторные пептиды находятся под контролем пептидгидролаз, что ставит в зависимость клеточный метаболизм и организм в целом от состояния протеолитических ферментов.
PEP и DPP4 – наиболее изученные пролинспецифические ферменты, участвующие в патогенезе ряда заболеваний. Они расщепляют пептидные связи, образованные карбоксильной группой остатка пролина и другой аминокислотой. Обе пептидазы способны с гораздо меньшей эффективностью гидролизовать связь после остатка аланина. Для PEP и DPP4, по сравнению с другими ферментами, известно наибольшее количество разнообразных специфических ингибиторов. Большой интерес к поиску ингибиторов этих ферментов объясняется исключительной ролью последних в регуляции метаболизма. К таким ингибиторам относятся альдегидные и нитрильные аналоги субстратов пептидаз, обладающие потенциалом для медицинского применения. Так, нитрильные аналоги субстратов PEP и DPP4 успешно используются в лечении болезни Альцгеймера и диабета.
В настоящей работе мы объяснили выявленную способность нитрильных ингибиторов PEP подавлять активность DPP4, применяя методы докинга и молекулярно-динамического моделирования. Приложение этих методов позволило нам смоделировать структуры комплексов изучаемых соединений с активными центрами PEP и DPP4 и, основываясь на сравнении полученных структур, показать, каким образом некоторые N-защищенные пептидоподобные ингибиторы PEP способны подавлять активность DPP4, хотя пептидоподобным ингибиторам аминопептидаз необходима свободная N-концевая аминогруппа. Этот феномен также может объяснять и данные по снижению активности DPP4 после введения животным ингибиторов PEP. Используемый нами подход может быть использован для прогнозирования структуры новых перспективных ингибиторов PEP и DPP4, обладающих высокой фармакологической активностью. Применение аминокислотных производных 2-S-цианопирролидина открывает перспективу создания новых эффективных препаратов, воздействующих на пептидергическое звено регуляции функциональных систем в норме и при различных патологических процессах.
БЛАГОДАРНОСТИ
Авторы выражают благодарность Вычислительному центру МГУ им. М.В. Ломоносова за предоставленную возможность провести расчеты молекулярной динамики на суперкомпьютере “Ломоносов-II”.
ФОНДОВАЯ ПОДДЕРЖКА
Работа выполнена при финансовой поддержке Правительства Российской Федерации (Постановление № 211 от 16.03.2013 г.), соглашение № 02.A03.21.0011.
СОБЛЮДЕНИЕ ЭТИЧЕСКИХ СТАНДАРТОВ
Все манипуляции с экспериментальными животными проводили в соответствии с международными и российскими нормативными документами: приказом Минздрава РФ № 199н от 1 апреля 2016 г. и директивы 2010/63/EU Европейского парламента и Совета Европейского Союза о защите животных, используемых в научных целях.
Эксперименты одобрены Комиссией по биомедицинской этике Института фармакологии им. В.В. Закусова (протокол № 1 от 20 января 2017 г.).
КОНФЛИКТ ИНТЕРЕСОВ
Авторы заявляют об отсутствии конфликта интересов.
ВКЛАД АВТОРОВ
Автор ВФП синтезировал и охарактеризовал все изученные соединения. Автор ННЗ провел исследования по кинетике взаимодействия ингибиторов с ферментами и внес вклад в подготовку текста статьи. Автор ГИМ провел все вычислительные исследования и подготовил текст статьи.
ДОСТУПНОСТЬ ДАННЫХ
Данные, подтверждающие выводы настоящего ис-следования, можно получить у корреспондирующего автора по обоснованному запросу.
About the authors
G. I. Makarov
South Ural State University
Author for correspondence.
Email: makarovgi@susu.ru
Russian Federation, prosp. Lenina 76, Chelyabinsk, 454080
N. N. Zolotov
Research Zakusov Institute of Pharmacology
Email: makarovgi@susu.ru
Russian Federation, ul. Baltiyskaya 8, Moscow, 125315
V. F. Pozdnev
Institute of Biomedical Chemistry
Email: makarovgi@susu.ru
Russian Federation, ul. Pogodinskaya 10/8, Moscow, 119121
References
- Role of Proteases in the Pathophysiology of Neurodegenerative Diseases / Eds. Lajtha A., Banik N. New York: Kluwer Academic, 2002. https://doi.org/10.1007/b111075
- Holmes A., Heilig M., Rupniak N.M., Steckler T., Griebel G. // Trends Pharmacol. Sci. 2003. V. 24. P. 580–588. https://doi.org/10.1016/j.tips.2003.09.011
- Thornberry N., Weber A. // Curr. Top. Med. Chem. 2007. V. 7. P. 557–568. https://doi.org/10.2174/156802607780091028
- Krupina N.A., Khlebnikova N.N., Orlova I.N., Grafova V.N., Smirnova V.S., Rodina V.I., Kukushkin M.L., Kryzhanovsky G.N. // Bull. Exp. Biol. Med. 2010. V. 149. P. 479–484. https://doi.org/10.1007/s10517-010-0975-3
- Maes M., Goossens F., Scharpé S., Meltzer H.Y., D’Hondt P., Cosyns P. // Biol. Psychiatry. 1994. V. 35. P. 545–552. https://doi.org/10.1016/0006-3223(94)90101-5
- Krupina N., Khlebnikova N., Zolotov N., Kushnareva E., Bogdanova N., Orlova I. // In: Encyclopedia of Pharmacology Research / Eds. Cheng D., Liu G. New York: Nova Science Publ., 2013. P. 137–156. https://novapublishers.com/shop/encyclopedia-of-pharmacology-research-2-volume-set/
- Khlebnikova N.N., Krupina N.A., Bogdanova N.G., Zolotov N.N., Kryzhanovskii G.N. // Bull. Exp. Biol. Med. 2009. V. 147. P. 26–30. https://doi.org/10.1007/s10517-009-0458-6
- Krupina N.A., Kushnareva E.Y., Khlebnikova N.N., Zolotov N.N., Kryzhanovskii G.N. // Bull. Exp. Biol. Med. 2009. V. 147. P. 285–290. https://doi.org/10.1007/s10517-009-0493-3
- Syunyakov T., Zolotov N., Neznamov G. // Eur. Neuropsychopharmacol. 2017. V. 27. P. S985. https://doi.org/10.1016/S0924-977X(17)31734-0
- Yakovleva A., Zolotov N., Sokolov O., Kost N., Kolyasnikova K., Mikheeva I.G. // Neuropeptides. 2015. V. 52. P. 113–117. https://doi.org/10.1016/j.npep.2015.05.001
- Krupina N.A., Bogdanova N.G., Khlebnikova N.N., Zolotov N.N., Kryzhanovskii G.N. // Bull. Exp. Biol. Med. 2013. V. 154. P. 606–609. https://doi.org/10.1007/s10517-013-2010-y
- Yoshimoto T., Kado K., Matsubara F., Koriyama N., Kaneto H., Tsuru D. // J. Pharmacobiodyn. 1987. V. 10. P. 730–735. https://doi.org/10.1248/bpb1978.10.730
- Pozdnev V.F. // Tetrahedron Lett. 1995. V. 36. P. 7115–7118. https://doi.org/10.1016/0040-4039(95)01412-B
- Cobb A.J.A., Shaw D.M., Longbottom D.A., Gold J.B., Ley S.V. // Org. Biomol. Chem. 2005. V. 3. P. 84–96. https://doi.org/10.1039/b414742a
- Cummins P.M., Dowling O., O’Connor B.F. // In: Methods in Molecular Biology / Eds. Walls D., Loughran S.T. New York: Humana Press. 2011. P. 215–228. https://doi.org/10.1007/978-1-60761-913-0_12
- Haffner C.D., Diaz C.J., Miller A.B., Reid R.A., Madauss K.P., Hassell A., Hanlon M.H., Porter D.J., Becherer J.D., Carter L.H. // Bioorg. Med. Chem. Letters. 2008. V. 18. P. 4360–4363. https://doi.org/10.1016/j.bmcl.2008.06.067
- Pissarnitski D.A., Zhao Z., Cole D., Wu W.-L., Domalski M., Clader J.W., Scapin G., Voigt J., Soriano A., Kelly T., Powles M.A., Yao Z., Burnett D.A. // Bioorg. Med. Chem. 2016. V. 24. P. 5534–5545. https://doi.org/10.1016/j.bmc.2016.09.007
- Ruiz-Carmona S., Alvarez-Garcia D., Foloppe N., Garmendia-Doval A.B., Juhos S., Schmidtke P., Barril X., Hubbard R.E., Morley S.D. // PLoS Comput. Biol. 2014. V. 10. P. e1003571. https://doi.org/10.1371/journal.pcbi.1003571
- Szeltner Z., Rea D., Renner V., Juliano L., Fulop V., Polgar L. // J. Biol. Chem. 2003. V. 278. P. 48786– 48793. https://doi.org/10.1074/jbc.M309555200
- Venalainen J.I., Garcia-Horsman J.A., Forsberg M.M., Jalkanen A., Wallen E.A., Jarho E.M., Christiaans J.A., Gynther J., Mannisto P.T. // Biochem. Pharmacol. 2006. V. 71. P. 683–692. https://doi.org/10.1016/j.bcp.2005.11.029
- Cunningham D.F., O’Connor B. // Biochim. Biophys. Acta. 1997. V. 1343. P. 160–186. https://doi.org/10.1016/s0167-4838(97)00134-9
- van der Spoel D., Lindahl E., Hess B., Groenhof G., Mark A., Berendsen H. // J. Comput. Chem. 2005. V. 26. P. 1701–1718. https://doi.org/10.1002/jcc.20291
- van der Spoel D., Lindahl E., Hess B., Kutzner C. // J. Chem. Theory Comput. 2008. V. 4. P. 435–447. https://doi.org/10.1021/ct700301q
- Hornak V., Abel R., Okur A., Strockbine B., Roitberg A., Simmerling C. // Proteins. 2006. V. 65. P. 712–725. https://doi.org/10.1002/prot.21123
- Bayly C.I., Cieplak P., Cornell W., Kollman P.A. // J. Phys. Chem. 1993. V. 97. P. 10269–10280. https://doi.org/10.1021/j100142a004
- Bussi G., Donadio D., Parrinello M. // J. Chem. Phys. 2007. V. 126. P. 014107–014106. https://doi.org/10.1063/1.2408420
- Berendsen H., Postma J., van Gunsteren W., DiNola A., Haak J. // J. Chem. Phys. 1984. V. 81. P. 3684–3690. https://doi.org/10.1063/1.448118
- Darden T., York D., Pedersen L. // J. Chemical Physics. 1993. V. 98. P. 10089–10092. https://doi.org/10.1063/1.464397
- Horn H.W., Swope W.C., Pitera J.W., Madura J.D., Dick T.J., Hura G.L., Head-Gordon T. // J. Chem. Phys. 2004. V. 120. P. 9665–9678. https://doi.org/10.1063/1.1683075
- Joung I.S., Cheatham T.E. // J. Phys. Chem. B. 2008. V. 112. P. 9020–9041. https://doi.org/10.1021/jp8001614
- Hess B., Bekker H., Berendsen H.J.C., Fraaije J.G.E.M. // J. Comput. Chem. 1997. V. 18. P. 1463–1472. https://doi.org/10.1002/(SICI)1096-987X (199709)18:12<1463::AID-JCC4>3.0.CO;2-H
- Makarov G.I., Sumbatyan N.V., Bogdanov A.A. // Biochemistry (Moscow). 2017. V. 82. P. 925–932. https://doi.org/10.1134/S0006297917080077
- Daura X., Gademann K., Jaun B., Seebach D., van Gunsteren W.F., Mark A.E. // Ang. Chem. Int. Ed. 1999. V. 38. P. 236–240. https://doi.org/10.1002/(SICI)1521-3773(19990115) 38:1/2<236::AID-ANIE236>3.0.CO;2-M
- Kabsch W., Sander C. // Biopolymers. 1983. V. 22. P. 2577–2637. https://doi.org/10.1002/bip.360221211
Supplementary files







