Covalent epidermal growth factor receptor (EGFR) inhibitors in targeted therapy of drug-resistant non-small cell lung cancer
- Authors: Shvetsov A.B.1, Semenov A.V.1
-
Affiliations:
- National Research Ogarev Mordovia State University
- Issue: Vol 50, No 6 (2024)
- Pages: 735-761
- Section: Articles
- URL: https://ogarev-online.ru/0132-3423/article/view/275975
- DOI: https://doi.org/10.31857/S0132342324060037
- EDN: https://elibrary.ru/NFUMER
- ID: 275975
Cite item
Full Text
Abstract
Non-small cell lung cancer (NSCLC) is the main subtype of lung cancer and is a common cause of cancer-related mortality worldwide. Mutations in the epidermal growth factor receptor (EGFR) gene play a leading role in the pathogenesis of NSCLC, causing its pathological activity. The first generation of EGFR inhibitors, acting reversibly, effectively block the effects of EGFR with activating mutations by benefiting from competition with adenosine triphosphate for binding to the kinase. However, after several months of treatment, a secondary T790M mutation often occurs, causing resistance to subsequent therapy with these drugs. Effective inhibition of EGFR with the T790M mutation was possible due to second-generation inhibitors acting via a covalent mechanism. However, the second generation of covalent inhibitors has received limited use in therapy due to insufficient selectivity for EGFR T790M and a narrow therapeutic window. The discovery of covalent pyrimidine-based inhibitors has led to the emergence of a number of effective and safer third-generation drugs for the treatment of NSCLC with the EGFR T790M mutation. This review contains a brief description of first- and second-generation EGFR inhibitors and a detailed discussion of the main stages in the development of third-generation inhibitors. The main emphasis is placed on the identified “structure–activity” patterns. Data are provided on inhibitors that have received the status of approved drugs for the treatment of NSCLC. Promising directions for the development of novel EGFR inhibitors are indicated.
Full Text
1. ВВЕДЕНИЕ
Рак легкого – одна из наиболее часто встречающихся злокачественных опухолей. Согласно данным международного агентства по изучению рака (IARC), в 2020 г. в мире было зарегистрировано >19 млн новых случаев онкологических заболеваний, среди которых второе место занимает рак легкого. В России среди всех зарегистрированных случаев злокачественных новообразований в 2022 г. 3-е место пришлось на легочную локализацию [1]. Рак легкого – ведущая причина смерти от онкологических заболеваний у мужчин [2].
Немелкоклеточный рак легких (НМРЛ) – основной гистологический подтип рака легких, составляющий ~80% всех случаев заболевания [3]. Исследования показали, что важнейшую роль в патогенезе НМРЛ играет рецептор эпидермального фактора роста человека EGFR (epidermal growth factor receptor), представляющий собой белок клеточной поверхности, который связывается со своим природным лигандом, эпидермальным фактором роста (EGF), индуцируя аутофосфорилирование тирозина и запуская процесс пролиферации клеток [4]. Активность EGFR и опосредованная им клеточная передача сигналов хорошо скоординированы и строго контролируются в нормальных клетках. Разбалансировка сигнальной системы EGFR ведет к нарушению регуляции тирозинкиназной активности. В результате чрезмерной активации EGFR запускается каскад биохимических реакций, приводящих к повышению уровня пролиферации опухолевых клеток, росту опухоли, патологического ангиогенеза и метастазирования. Для опухолевых клеток выявлены следующие основные механизмы активации EGFR-зависимых сигнальных путей:
- гиперэкспрессия EGFR;
- избыточная продукция факторов роста (TGF-α, EGF);
- мутация в гене, кодирующем EGFR, и, как следствие, активация рецептора в отсутствие факторов роста;
- гетеродимеризация рецептора, приводящая к постоянной активации тирозинкиназы в отсутствие лиганда.
Ведущую роль в патогенезе НМРЛ играют мутации. Было установлено, что большинство мутаций (85–90%) в домене EGFR представлены делецией в экзоне 19 (Del19) и заменой Leu858 на Arg в экзоне 21 (L858R), которые называются “активирующими”, поскольку приводят к лиганд-независимой тирозинкиназной активности [5]. Остаток Leu858 расположен в петле активации и является частью цепочки гидрофобных аминокислот, образующих активационную спираль. При замене лейцина более гидрофильным аргинином эта спираль искажается, что приводит к дестабилизации неактивной конформации EGFR, способствуя тем самым переходу в активное состояние. При делеции экзона 19 происходит укорочение С-спирали на 1–3 остатка, что, вероятно, не позволяет С-спирали повернуться наружу и перейти в неактивное состояние [6]. Было установлено, что активирующие мутации EGFR встречаются в ~10–15% случаев НМРЛ у пациентов европеоидной расы и в ~30–40% у пациентов из Восточной Азии [7]. Для блокирования биологических эффектов, реализуемых посредством гиперактивации EGFR, в качестве основных стратегий применяют использование моноклональных тел, действующих непосредственно против связывающего домена EGFR или образующих неактивный комплекс с EGF и TGF-α, и использование низкомолекулярных ингибиторов, способных воздействовать на внутриклеточный домен EGFR и прерывать процесс фосфорилирования за счет конкурирования с АТФ, а также комбинации данных стратегий. В настоящем обзоре будут рассмотрены три поколения низкомолекулярных ингибиторов, способных ингибировать мутантные формы EGFR и обусловливающих осложнения при лечении НМРЛ.
2. ИНГИБИТОРЫ EGFR ПЕРВОГО ПОКОЛЕНИЯ И ЛЕКАРСТВЕННАЯ РЕЗИСТЕНТНОСТЬ
Созданные в 2003–2004 гг. ингибиторы EGFR первого поколения (гефитиниб (1), эрлотиниб (2) и икотиниб (3), рис. 1a) проектировались как АТФ-миметики [8], конкурентно и обратимо связывающиеся с АТФ-сайтом EGFR (рис. 1б, 1в) [9]. Лечение НМРЛ этими препаратами приводило к положительному ответу у ~60–80% пациентов, однако в большинстве случаев после 10–12 месяцев терапии наблюдалось развитие резистентности [10]. Ее основной причиной оказалась мутация T790M (замена Thr790 на Met), приводящая к резкому снижению (как минимум на 50%) эффективности ингибиторов, в основном за счет повышения аффинности рецептора к АТФ [11, 12]. Во многих случаях лекарственно-резистентная мутация T790M сосуществует вместе с активирующей мутацией L858R, образуя двойную мутацию EGFR L858R/T790M (double mutation, EGFR DM), придающую устойчивость к любым конкурентным АТФ-ингибиторам [13]. Для преодоления повышенного сродства мутантной киназы EGFR DM к АТФ при ее физиологических концентрациях (1–10 мМ) потенциальный ингибитор должен обладать сверхбыстрым действием, что может быть достигнуто за счет ковалентного связывания [14].
Рис. 1. (а) – Ингибиторы EGFR первого поколения; (б) – строение АТФ-связывающего сайта EGFR [9]; (в) – способ связывания эрлотиниба с EGFR [9].
3. ИНГИБИТОРЫ EGFR ВТОРОГО ПОКОЛЕНИЯ
Разработка ковалентных ингибиторов EGFR Т790М началась в 1990-х гг. Их основой выступил хиназолиновый остов, способный образовывать водородную связь с “шарнирным” Met793 EGFR и оснащенный электрофильной “боеголовкой” (акцептор Михаэля), нацеленной на тиольный остаток Cys797 на краю активного сайта киназы. Ковалентное связывание способствует конкурентному преимуществу над АТФ и увеличивает время действия ингибитора [15].
Первым одобренным FDA в 2013 г. ковалентным ингибитором стал афатиниб (4) (рис. 2), показавший в тестах in vitro концентрацию полумаксимального ингибирования в отношении мутантной киназы (IC50EGFR DM) на уровне 10 нМ, что оказалось на два порядка ниже по сравнению с гефитинибом. Кроме того, афатиниб показал выраженное противоопухолевое действие на модели ксенотрансплантанта Н1975, несущего мутацию EGFR DM (модель in vivo) [16]. При исследовании методами РСА комплекса афатиниба с EGFR DM (PDB: 4G5J) было установлено, что между азотом Met793 в шарнирной области и хиназолиновым остовом ингибитора образуется водородная связь. Гидрофобная часть молекулы ориентируется вглубь сайта связывания. Данные о распределении электронной плотности свидетельствуют об образовании ковалентной связи между Cys797 и акцепторной группой Михаэля [17]. Однако применение афатиниба в качестве монотерапии для преодоления приобретенной резистентности Т790М оказалось неэффективным и существенно ограниченным из-за недостаточной селективности и, как следствие, проявлении кожной и желудочно-кишечной токсичности в дозах, необходимых для эффективного ингибирования EGFR T790M [18].
Рис. 2. Ингибиторы EGFR второго поколения.
В качестве ингибитора EGFR T790M также был исследован нератиниб (5) (рис. 2), показавший в доклинических исследованиях многообещающую антипролиферативную активность в отношении клеточной линии Н1975 [19]. Однако в клинических исследованиях нератиниб не был эффективен в лечении пациентов с НМРЛ, ранее получавших положительный эффект от терапии TKI (ингибиторами тирозинкиназы) EGFR первого поколения, а также низкую биодоступность и ряд побочных эффектов вследствие узкого терапевтического окна [20]. Способ связывания нератиниба с EGFR T790M аналогичен таковому для афатиниба (PDB: 2JIV) [21].
Был исследован ряд других ковалентных ингибиторов: дакомитиниб (6) [22], пелитиниб (7) [23], канертиниб [24] (рис. 2) и др., но ни одному из них не удалось преодолеть проблемы лекарственной резистентности, связанные с мутацией T790M в долгосрочной перспективе за счет сходных недостатков: узкого терапевтического окна, побочных и токсических эффектов, обусловленных высокой степенью активности в отношении киназы дикого типа, находящейся в здоровых тканях [25, 26].
4. ИНГИБИТОРЫ EGFR ТРЕТЬЕГО ПОКОЛЕНИЯ
Разработка в 2009 г. Zhou et al. соединения WZ4002 (8) (рис. 3а) дало начало третьему поколению ингибиторов EGFR. Пиримидиновый остов WZ4002 имел меньший размер, большую гибкость и способность к размещению в сайте связывания в условиях стерических затруднений, возникающих вследствие появления более объемного и гидрофобного мутантного Met790 в EGFR DM. В тестах in vitro ингибитор показал 14-кратную селективность к EGFR T790M, а в сравнении с нератинибом (5) и гефитинибом (1) имел на два порядка более низкую активность в отношении EGFR дикого типа. WZ4002 вызывал значительную регрессию опухоли в моделях in vivo, имел пероральную доступность 24% и период полувыведения (T1/2) 2.5 ч [27]. По данным РСА комплекса WZ4002 с EGFR T790M (PDB: 3IKA), молекула ингибитора находится в сайте связывания киназы в U-образной конформации и образует ковалентную связь с Cys797 (рис. 3б). 2-Аминопиримидиновый остов образует бидентатную водородную связь с “шарнирным” Met793. Хлор взаимодействует с мутантным “привратниковым” Met790, что, вероятно, обусловливает селективность WZ4002 в отношении DM, поскольку немутантный Thr790 не обеспечивает такого взаимодействия. Фенильное кольцо A (рис. 3а) гидрофобно взаимодействует с Gly796. Метоксигруппа взаимодействует с Leu792 и Pro794 в “шарнирной” области. Фенильное кольцо Б, располагающееся почти перпендикулярно к пиримидиновому циклу, выступает в качестве “линкера” для акриламидной группы, благоприятно располагая ее для взаимодействия вблизи Cys797. Данная информация послужила важнейшей отправной точкой для дальнейших разработок TKI третьего поколения.
Рис. 3. (а) – Первые ингибиторы EGFR третьего поколения; (б) – способ связывания WZ4002 с EGFR; (в) – наложение суперпозиций WZ4002 и роцилетиниба в EGFR T790M [30].
В 2011 г. был получен 2,4-диаминопиримидиновый ингибитор роцилетиниб (9) (рис. 3а). В тестах in vitro ингибитор показал 12–22-кратную селективность в отношении EGFR DM [28]. Роцилетиниб эффективно ингибировал рост клеточных линий НМРЛ, несущих мутации EGFR DM и EGFR del19/T790M на уровне IC50 = 7–32 нМ, тогда как для клеточных линий, несущих EGFR WT, IC50 составляла 547–4275 нМ. В сравнении с афатинибом, роцилетиниб показал более выраженный противоопухолевый эффект in vivo [29]. Способ связывания ингибитора (9) в целом аналогичен WZ4002 (рис. 3б) (PDB: 5XDK) [30]. Метоксильный заместитель ориентируется в сторону боковой цепи Leu792 и, вероятно, обусловливает селективность ингибитора (9) в отношении семейства киназ EGFR, поскольку другие киназы (JAK, TEC) содержат более объемный остаток в данном положении. Трифторметильная группа гидрофобно взаимодействует с Met790.
В ходе фазы I/II клинических испытаний был выявлен частый побочный эффект роцилетиниба в виде гипергликемии за счет ингибирования IGFR1 его основным метаболитом [31]. Позже выяснилось, что количества метаболитов в плазме крови у людей значительно выше, чем в доклинических моделях, вследствие различий в механизмах метаболизма [32]. Вследствие этого, а также ввиду наличия более безопасных препаратов в 2016 г. исследования роцилетиниба были прекращены [33].
Прорывной разработкой оказался осимертиниб, получивший в 2015 г. ускоренное одобрение FDA для применения в США [13], а в феврале 2016 г. – в Европейском Союзе. Разработке осимертиниба предшествовало получение соединения (10) (схема 1), которое ингибировало рост клеток Н1975 с 220-кратной селективностью относительно клеток LoVo, несущих EGFR WT [34]. Далее был осуществлен перенос концевой аминогруппы на фенильное кольцо, что привело к получению соединения (11), которое продемонстрировало более высокую киназную активность и селективность, а также более низкую липофильность. Однако оно по-прежнему сильно ингибировало IGFR1 и имело высокое сродство к ионным каналам hERG. Дальнейшая структурная оптимизация была сосредоточена на заместителях в положениях 4 и 5 пиримидинового ядра, которые оказывают влияние на активность, селективность и физикохимические свойства. Удаление 5-Cl и замена “головного” пиридазопиримидина на N-метилиндол привели к получению осимертиниба (12) с улучшенными фармакокинетическими характеристиками и сниженной аффинностью к hERG и IGFR1. Киназная ингибирующая активность осимертиниба in vitro составила IC50EGFR DM = = 1 нМ, IC50EGFR WT = 184 нМ. Было установлено, что соединение (12) в организме подвергается интенсивному метаболизму с участием цитохрома P450 с образованием основных метаболитов (13) и (14) (схема 1), обнаруживаемых в плазме крови в примерном соотношении 32 и 67% соответственно. Метаболит (13) демонстрирует сопоставимую с исходным соединением ингибирующую активность и селективность, тогда как соединение (14) обладает существенно меньшей избирательностью к EGFR DM и обусловливает большинство токсических эффектов осимертиниба [35]. Режим связывания соединения (12) с киназами EGFR T790M (PDB: 6JX0, 6JX4) и EGFR WT (PDB: 6JWL, 6JXT) был исследован и в целом соответствовал роцилетинибу и WZ4002 [36].
Схема 1. Предшественники осимертиниба и его основные метаболиты.
Заметим, что для ковалентных ингибиторов значения IC50 не строго характеристичны, поскольку сильно зависят от условий проведения испытания (особенно от времени инкубирования) [37–39]. Хотя были попытки сделать метод определения IC50 более универсальным для применения к необратимым ингибиторам (например, в работе [40]), сравнение с референсным препаратом остается основной мерой активности таких соединений.
Последовавший клинический успех осимертиниба и фактический его монополизм на рынке препаратов для лечения НМРЛ с мутацией Т790М (НМРЛТ790М) вызвал резкий рост числа работ по получению его аналогов. Кроме того, он не был лишен побочных эффектов, таких как гипергликемия, сыпь, диарея, кардиотоксичность [41]. Разработанные новые ингибиторы EGFR третьего поколения можно условно разделить по общности структурного остова на аминопиримидиновые, пирролопиримидиновые, пуриновые, пиразолопиримидиновые, тиофенопиримидиновые, тиопиранопиримидиновые, фуранопиримидиновые, хиназолиновые, пиридопиримидиновые и пиримидопиримидиновые.
5. ИНГИБИТОРЫ EGFR DM C АМИНОПИРИМИДИНОВЫМ ОСТОВОМ
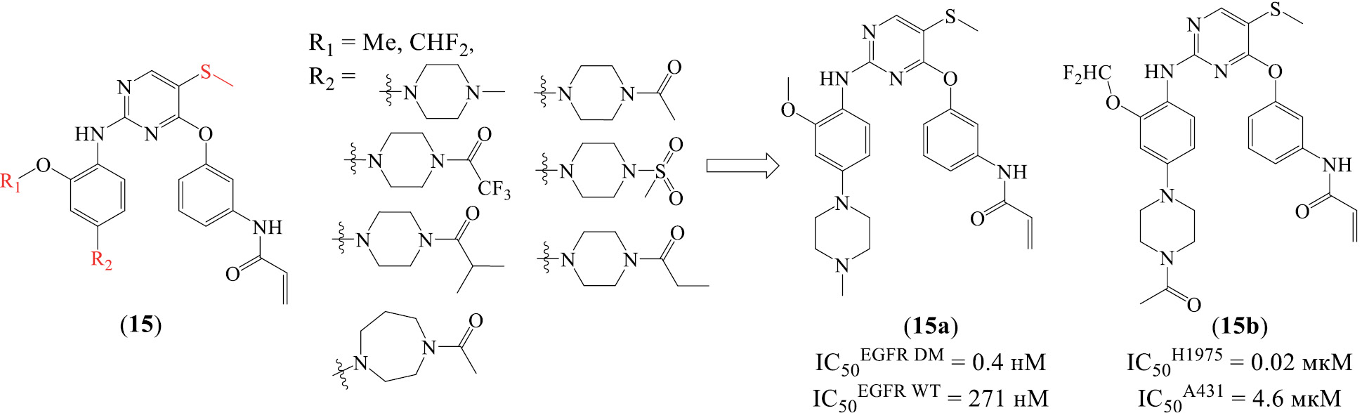
На основе структуры (15) (схема 2) была получена серия аналогов WZ4002 с метилтиольной группой в положении 5 пиримидинового цикла, установленной с целью усиления взаимодействия с мутантным Met790 и ограничением конформационного вращения фенильного линкера [42]. По результатам киназных тестов in vitro ингибитор (15а) превзошел референсное соединение (12) по активности в 27 раз и селективности в 18 раз. В клеточных тестах лучшие результаты показал ингибитор (15b) с активностью в 2.5 раза, а селективностью в 13 раз превосходящие таковые для ингибитора (12).
Схема 2. 5-Метилтио-аналоги WZ4002.
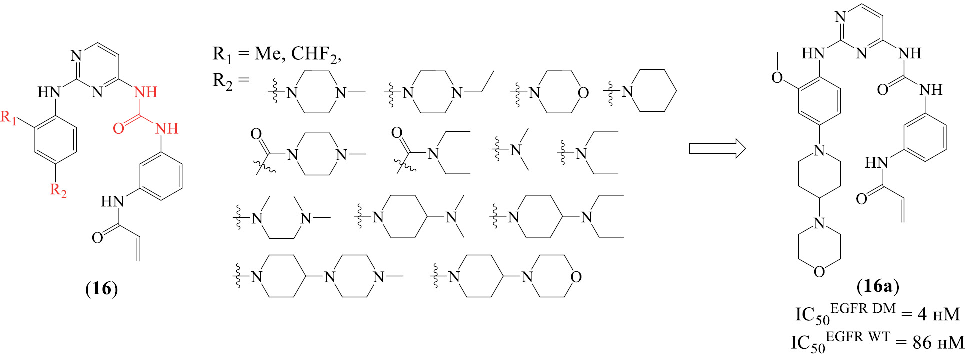
Также была получена серия аналогов WZ4002 с мочевиной в качестве линкерной вставки и различными заместителями при гидрофильной части молекулы (16) (схема 3) [43]. Соединения продемонстрировали умеренное ингибирование киназ in vitro. Наиболее оптимальный баланс свойств показало соединение (16а) с активностью к EGFR DM, близкой к активности соединения (8), но пятикратно увеличенной селективностью. Отмечается, что для данного ряда соединений было выявлено нецелевое ингибирование киназы Src.
Схема 3. Аналоги WZ4002 с мочевиной в качестве линкерной вставки.
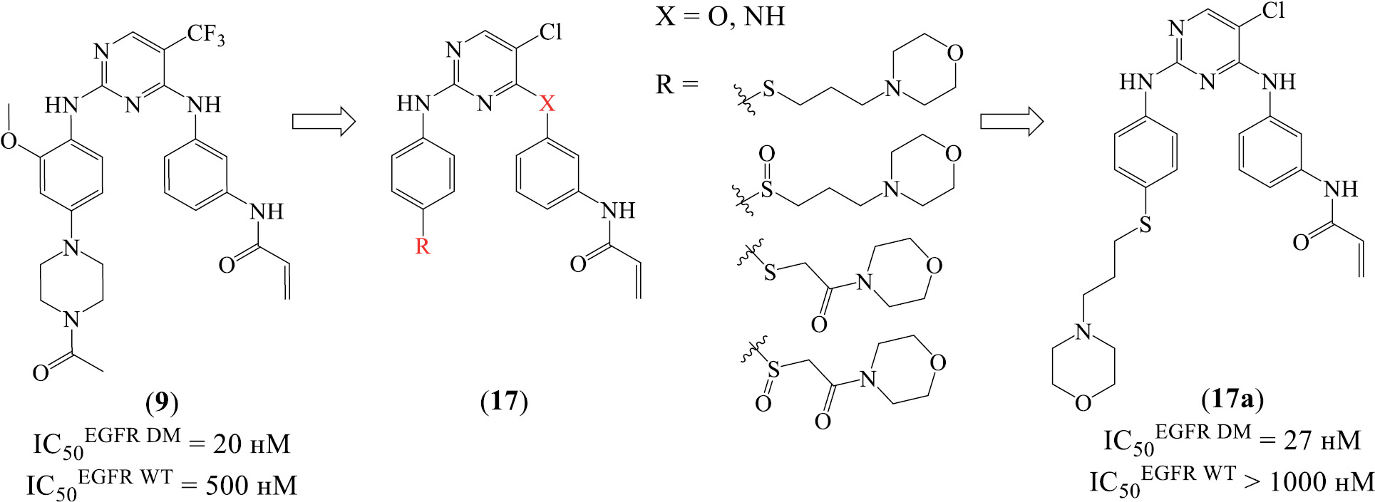
Были смоделированы и получены производные WZ4002 с тио- и сульфоксиалкильными линкерами в гидрофильной части молекулы (17) (схема 4) [44]. Ингибитор (17а) в киназном тесте in vitro показал активность, сравнимую с референсным соединением (9), тогда как в клеточном тесте (17а) был в 4 раза более активен в отношении Н1975, а по селективности в 9 раз превзошел соединение (9).
Схема 4. Аналоги роцилетиниба.
Для ряда полученных новых структурных аналогов роцилетиниба (9) (схема 5) было установлено, что значительные отклонения от исходной структуры (9) приводили к существенной потере целевой активности [45]. Дезактивирующее влияние также оказывали электронодонорные заместители при акриламидной группе. Наиболее активный ингибитор (18а) двукратно уступал роцилетинибу по активности в отношении EGFR DM.
Схема 5. Аналоги роцилетиниба.
В качестве перспективного таргетного препарата было получено производное роцилетиниба с радиоактивным иодом125 в положении 5 фенильного линкера – соединение (19) (схема 5) [46]. Хотя его ингибирующая активность in vitro была ниже, чем у соединения (9), селективность в отношении EGFR DM оставалась в пределах 10–30, что позволяло использовать его в качестве препарата, специфичного к двойной мутации. В тестировании in vitro на клетках Н1975 и H441 (несущих EGFR WT) ингибитор (19) действительно показал 10-кратное преимущественное сродство к клеткам Н1975. Однако в испытаниях на животных не было зафиксировано накопления радиоактивного иода в трансплантантной опухоли Н1975 относительно нормальных тканей, предположительно, вследствие повышенной липофильности соединения (19).
На основе 2,4-диаминопиримидинового остова структуры (20) (схема 6) была получена серия TKI EGFR DM, из которых 5-бром-производные были наиболее активны in vitro, предположительно, за счет дополнительного взаимодействия брома с Met790 [47]. Среди заместителей (R4) предпочтительными оказались индол, N-метилиндол и дигидроинден. Ингибитор (20а) показал высокую целевую активность и селективность на уровне соединения (12), а также выраженное противоопухолевое действие in vivo без выраженных токсических эффектов.
Схема 6. 2,4-Диаминопиримидиновые аналоги осимертиниба.
С целью защиты метильных групп соединения (12) от метаболического деметилирования были получены его N-оксидные и фторированные производные (схема 7) [48]. В киназных тестах in vitro ингибитор (21а) был наиболее активен в отношении EGFR DM и сравнимым с референсным ингибитором (12). Самую высокую селективность in vitro и in vivo показало соединение (21b).
Схема 7. N-Оксидные и фторированные аналоги осимертиниба.
В ряду ингибиторов, полученных путем замены N-метильной группы (R2) на индольном фрагменте структуры (22) (схема 8), наиболее активным in vitro оказался N-циклопропильный ингибитор (22а), в 3 раза превзойдя осимертиниб по активности и в 8 раз – по селективности [49]. Соединение (22а) продемонстрировало выраженную противоопухолевую активность in vivo и удовлетворительные параметры фармакокинетики. Был идентифицирован один метаболит, деметилированный по азоту (указан звездочкой в формуле соединения (22а)). В клеточных тестах соединение (22а) также было активным и ингибировало рост клеток Н1975 с IC50 = 2.44 нМ и 208-кратной селективностью [50]. Ингибитор (22а) –альмонертиниб – прошел доклинические испытания, фазу II клинических исследований, и в 2020 г. был одобрен в качестве препарата для лечения НМРЛТ790М в КНР [51]. Альмонертиниб не вызывал некоторые характерные для осимертиниба побочные эффекты (гипергликемия, сыпь) и обладал более длительным периодом полувыведения 25 ч [52].
Схема 8. Аналоги осимертиниба.
N-Трифторэтилиндольный аналог осимертиниба – бефотертиниб (23) (схема 8) – показал эффективность в доклинических исследованиях и приемлемый профиль безопасности в начальных фазах клинических исследований. По завершении в 2023 г. III фазы клинических исследований бефотертиниб получил одобрение в КНР для лечения метастатического НМРЛТ790М [53, 54]. Другой близкий аналог осимертиниба – резивертиниб (24) (схема 8) – продемонстрировал наномолярную активность и высокую селективность в отношении EGFR DM in vitro [55], был эффективен в доклинических исследованиях и в настоящее время проходит III фазу клинических испытаний в КНР [56, 57].
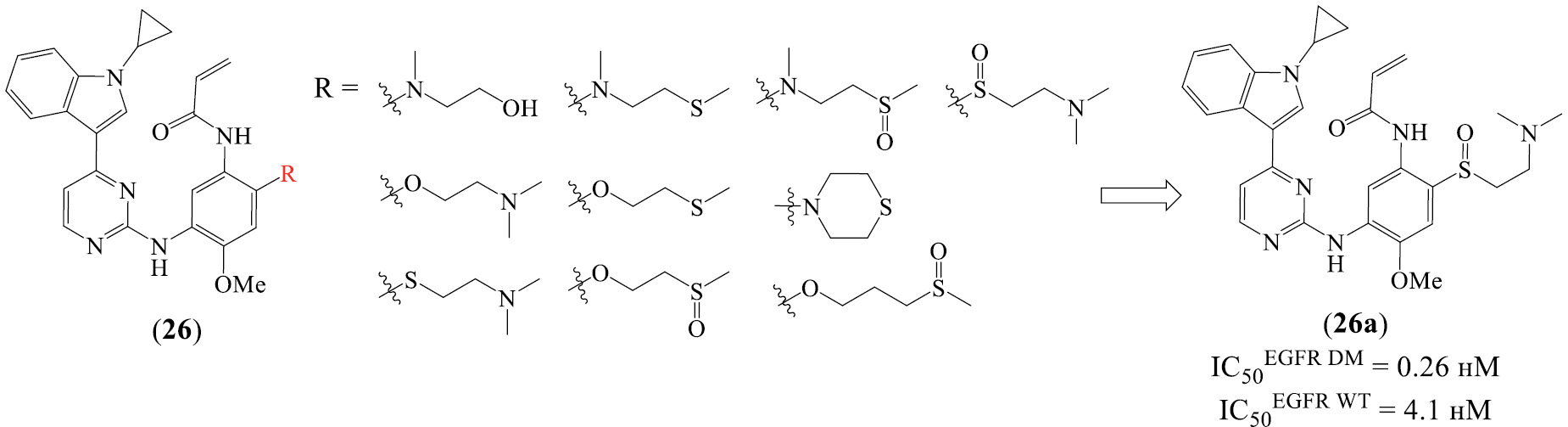
Циклопропильная группа, показанная на примере альмонертиниба, как и сульфоксидная группа, довольно часто используется при разработке лекарств для модулирования различных свойств, в том числе метаболической стабильности [58]. Так, была получена серия циклопропил- и серосодержащих аналогов ингибитора (12) на основе структуры (26) (схема 9) [59]. Удовлетворительную активность показали только те ингибиторы, которые содержали концевую диметиламинную группу. Соединение (26а) в тестах in vitro было в 13 раз более активным и в 2.5 раза более селективным по отношению к EGFR DM, чем референс (12). Эффективность in vivo была сопоставима. В сравнении с полученным ранее аналогом (25) (схема 8) [60], ингибитор (26а) имел больший период полувыведения – 2.5 ч.
Схема 9. Циклопропильные аналоги осимертиниба.
Введение дейтерия в структуру лекарственных молекул – также известный метод модуляции их физико-химических и фармакологических свойств [61, 62]. Соединение (27а) (схема 10), полученное в результате замены водородов на дейтерий при β-углероде акриламидной группы, показало сниженную активность в сравнении с осимертинибом (12). Малоперспективными были и другие модификации акриламида (27b), (27c) и (27d) [63]. Однако соединение (28) (схема 10), дополнительно дейтерированное по N-метильной группе индола, уже ингибировало in vitro киназу EGFR DM на уровне ингибитора (12), но было менее селективным. В клеточном же тесте соединение (28) было более активным и селективным, а в модели in vivo показало сравнимую с референсом эффективность. Ингибитор (28), или дозимертиниб, обнаруживал значительно меньшую концентрацию N-деметилированного по индолу метаболита AZ5104-D2 в плазме крови лабораторных животных, чем аналогичного метаболита AZ5104 в случае осимертиниба, что могло объяснять более низкую токсичность дозимертиниба in vivo. С 2020 г. проводятся клинические исследования дозимертиниба в КНР (CXHL2000060, CXHL2000061).
Схема 10. Дозимертиниб и его предшественники.
Из ряда аналогов осимертиниба на основе структуры (29) (схема 11) приемлемую целевую активность показали только соединения, содержащие ТМЭДА-боковую цепь (R2) [64]. Фторирование метоксигруппы (R3) слабо модулировало активность. Умеренно различались по активности аналоги, содержащие в положении (R1) бензоизоксазол, пирролопиридин и тиенопиразол. Лучшие результаты показало соединение (29а), уступая в 1.7 раз по активности, но превосходя в 2.5 раза по селективности референсный ингибитор (12). Два основных метаболита (29а), N-деметилированных по ТМЭДА, показали сниженную ингибирующую активность in vitro в сравнении с исходным соединением и ингибитором (12).
Схема 11. Аналоги осимертиниба.
Изучение режима связывания осимертиниба с EGFR T790M (PDB: 3IKA) показало, что только один азот в пиримидиновом цикле используется для образования водородной связи с Met793, что было применено для получения новых ингибиторов на основе 4-аминопиримидина [65]. Кроме того, наличие свободного пространства в гидрофобной области сайта связывания (синяя окружность над формулой соединения (12) на схеме 12), с которым взаимодействует метилиндольный фрагмент, допускало его модификацию путем стерического расширения. Было обнаружено, что среди полученных соединений все 4-аминопиримидины показали резко сниженную активность in vitro в сравнении с 2-аминопиримидиновыми аналогами. Аналогично результатам, полученным в работах [64] и [66], умеренную и высокую активность продемонстрировали только ингибиторы, имеющие ТМЭДА-боковую цепь (R4). Влияние небольших заместителей R1 и R2 было различным, но в целом они умеренно снижали активность и повышали селективность. Только соединения с 5,6-дигидро-4H-пирролохинолиновым фрагментом (R3) вместо метилиндола осимертиниба показали активность и селективность на уровне референса. Наиболее активный ингибитор (31а) (схема 12) был сопоставим по активности с соединением (12) in vitro и in vivo.
Схема 12. Аналоги осимертиниба.
В исследовании другой серии ингибиторов, у которых метилиндольный фрагмент был заменен некоторыми трициклическими группами, было отмечено соединение (32), или оритиниб (схема 12), показавший IC50Н1975 = 2 нМ и IC50А431 = 414 нМ, что выше в 2.3 раза по активности и в 3.3 раза по селективности в сравнении с соединением (12) [67]. Соединение (32) показало многообещающие результаты на этапе доклинических исследований. Была установлена его способность проникать через ГЭБ и проявлять меньше побочных эффектов in vivo в сравнении с соединением (12). Основной метаболит (32) слабо ингибировал IGFR1 [68]. Оритиниб в настоящее время проходит III фазу клинических испытаний (NCT04239833) как препарат для лечения метастазированного в ЦНС НМРЛТ790М в КНР.
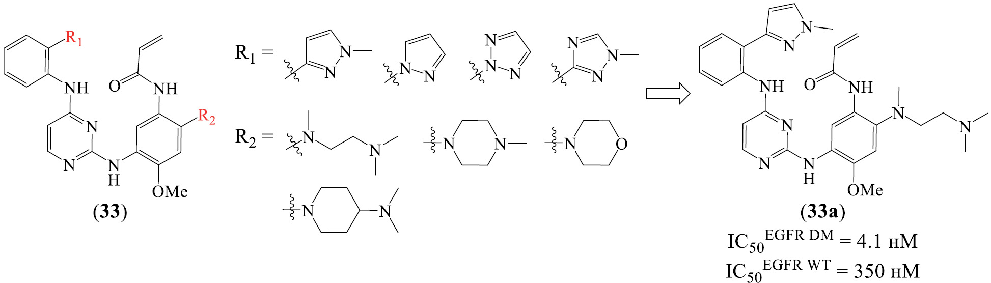
Ряды новых аналогов осимертиниба были получены заменой метилиндольного фрагмента на анилины, орто-замещенные пиразолами или триазолами, с целью повышения селективности к EGFR DM за счет более сильного взаимодействия с Met790 (схема 13) [69]. Умеренную и высокую активность in vitro показали только ингибиторы, содержащие ТМЭДА-боковую цепь. Наиболее активный и селективный ингибитор (33а) превзошел в 3 раза по активности и в 4 раза по селективности референсный ингибитор (12). Дальнейшие исследования выявили перспективный ингибитор лимертиниб (34) (рис. 4). Он показал субнаномолярную киназную активность in vitro с 20-кратной селективностью [70]. Лимертиниб был эффективен in vivo, а также вызывал регрессию опухоли у больного НМРЛ с приобретенной резистентностью к TKI EGFR раннего поколения [71]. В настоящее время ингибитор (34) проходит III фазу клинических испытаний (NCT04143607).
Схема 13. Пиразол- и триазол-содержащие 2,4-диаминопиримидины.
Рис. 4. Лимертиниб и пиридиновые аналоги осимертиниба.
Пиридиновые TKI (35) и (36) (рис. 4) были разработаны на основе результатов молекулярного моделирования, которое показало, что данные молекулы надлежащим образом ориентируются в активном сайте EGFR DM с образованием бидентатной водородной связи с Met793 и ковалентной связи с Cys797 [72]. Однако в тестах in vitro ингибитор (35) был малоактивным, тогда как ингибитор (36) показал наномолярную активность с преимущественной селективностью к EGFR WT.
Также с применением методов in silico получена серия аналогов осимертиниба, содержащая замещенные пиразолы и триазолы [73]. Наиболее селективные in vitro соединения (37) и (38) (рис. 5) ингибировали киназу EGFR DM на уровне соединения (12), при этом ингибитор (38) был в 5 раз более селективен, чем референс. Ингибиторы умеренно проникали через ГЭБ и были способны подавлять рост внутричерепных опухолевых систем H1975. Позднее была опубликована структура ингибитора (39), или лазертиниба (рис. 5), показавшего сопоставимую с соединением (12) активность in vitro, но более высокую селективность. Он был высокоэффективен in vivo и проникал через ГЭБ [74]. Лазертиниб (39) перешел в активную фазу клинических испытаний и по завершении II фазы в 2021 г. получил одобрение для лечения метастазированного НМРЛТ790М в Южной Корее [75].
Рис. 5. Пиразол- и триазол-содержащие аналоги осимертиниба.
По результатам молекулярного моделирования некоторые 2-амино-4-(1,2,4-триазол)-пиридины хорошо воспроизводили конфигурацию ингибитора (39) при стыковке к EGFR DM, проведен синтез этих соединений [76, 77]. Однако по результатам тестов in vitro все соединения оказались малоактивными и неселективными. Только ингибитор (40) (рис. 5) показал 2-кратную селективность в отношении EGFR DM, что значительно уступало референсным (12) и (39).
Были исследованы некоторые аминопиразоловые фрагменты (R1) для структуры (41) (схема 14) [78]. Все они показали сниженную активность в сравнении с аналогами, содержащими N-метилиндол. Ряд перспективных соединений был получен в результате модификации ТМЭДА боковой цепи (R2). Из них соединение (41а), уступая по активности ингибитору (12), было существенно более селективным. Отмечается, что установленная в тестах in vitro селективность коррелировала с теоретически рассчитанной энергией взаимодействия между аминной боковой цепью и Asp800 или Glu804 посредством солевого мостика.
Схема 14. Модификации “головной” и аминной частей осимертиниба.
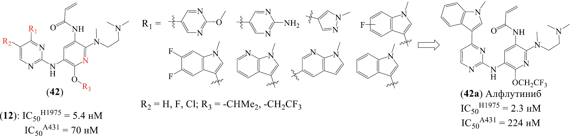
Другой путь разработки новых аналогов осимертиниба был реализован заменой фенильного линкера на пиридиновый в структуре соединения (42) (схема 15) [79]. Малоактивными оказались ингибиторы с пиримидиновыми и пиразоловыми заместителями R1, а также те, что имели комбинацию заместителей: R1 = любой фторированный метилиндол, R2 = хлор, R3 = изопропил. Наиболее активное и селективное соединение (42а) – фурмонертиниб (ранее алфлутиниб) – превзошло референсный ингибитор (12) in vitro и in vivo. Обобщенный профиль безопасности соединения (42а) был аналогичен таковому для соединения (12). По завершении доклинических исследований и II фазы клинических испытаний фурмонертиниб получил в 2021 г. одобрение в КНР для лечения метастатического НМРЛТ790М [80, 81].
Схема 15. Аналоги осимертиниба с пиридиновым линкером.
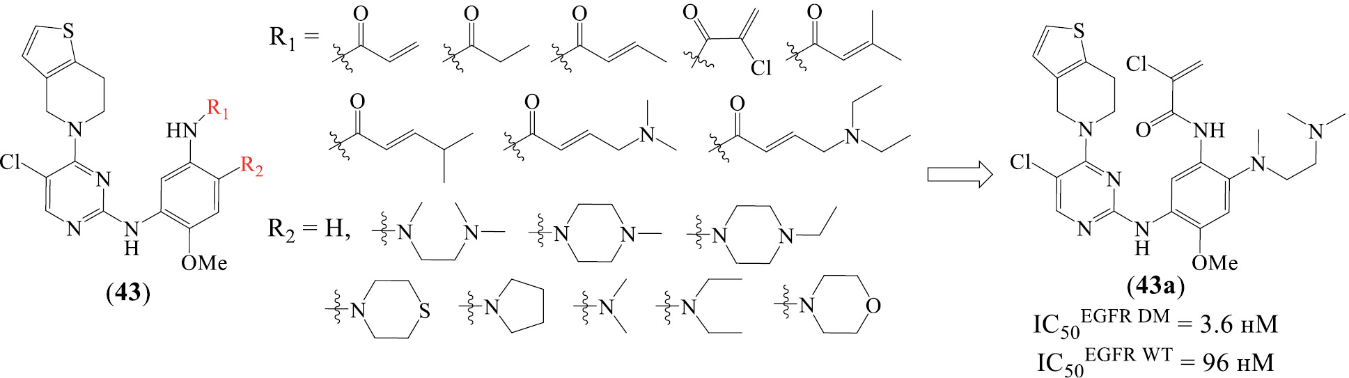
Изостерическая замена N-метилиндольного фрагмента в структуре (12) на тетрагидротиенопиридиновый привела к получению новой серии ингибиторов EGFR DM (схема 16) [82]. Тестирование in vitro показало, что наименее активными были наиболее гидрофобные соединения с тиоморфолином, а также ингибиторы, не содержащие аминной боковой цепи. Алкильные заместители при акриламиде снижали целевую активность. Ингибитор (43а) показал сопоставимую с соединением (12) целевую активность и увеличенную в 3 раза селективность.
Схема 16. Тетрагидротиенопиридиновые аналоги осимертиниба.
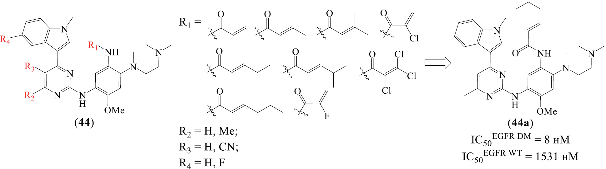
Было исследовано влияние на активность некоторых электронодонорных и электроноакцепторных заместителей при акриламидной “боеголовке” (R1), а также в пиримидиновом (R2, R3) и индольном (R4) фрагментах структуры (44) (схема 17) [83]. Показано, что введение электроноакцепторных заместителей в акриламидную группу в целом повышало активность ингибиторов, но снижало селективность; электронодонорные заместители в целом снижали ингибирующую активность. Среди модификаций акриламида предпочтение было отдано гексенамидной группе в силу наиболее высокого достигнутого значения селективности. Цианогруппа в положении 5 и метильная группа в положении 4 пиримидинового цикла, предназначенные для дополнительного взаимодействия ингибитора с Met790, обусловили умеренное снижение активности, но повышение селективности ингибиторов. Гексенамидная группа в комбинации с 4-метилпиримидиновым остовом в структуре соединения (44а) позволили повысить селективность в отношении EGFR DM в 95 раз при сохранении целевой активности на уровне референса (12). Все соединения со фторированным индолом показали сниженную активность.
Схема 17. Модификации акриламида и пиримидинового остова.
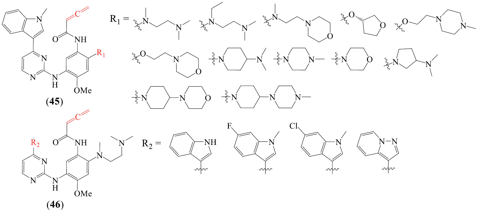
Поскольку алленамиды способны избирательно реагировать с остатком цистеина в пептидах [84], были получены серии аналогов осимертиниба с алленамидной “боеголовкой” на основе структур (45) и (46) (схема 18) [85]. В тестах in vitro была установлена высокая активность алленамидных ингибиторов в отношении как EGFR DM, так и EGFR WT. Из данных исследования кинетики следовало, что ковалентная реактивность алленамидной группы на порядок превосходит реактивность акриламида. И это, по-видимому, обусловливает низкую стабильность и пероральную биодоступность таких соединений, а также неприемлемые параметры фармакокинетики, что делает их малоперспективными.
Схема 18. Алленамидные аналоги осимертиниба.
Стоит подчеркнуть, что выбор оптимального по реакционной способности акцептора Михаэля – важный этап разработки ковалентных ингибиторов, чему посвящено множество работ. Обобщив и систематизировав накопленный к 2023 г. опыт создания ковалентных ингибиторов, Zhao и Bourne классифицировали известные “боеголовки” по предпочтительности применения к различным семействам киназ. Из приведенных схем следует, что в отношении EGFR предпочтителен выбор акриламидной группы [86].
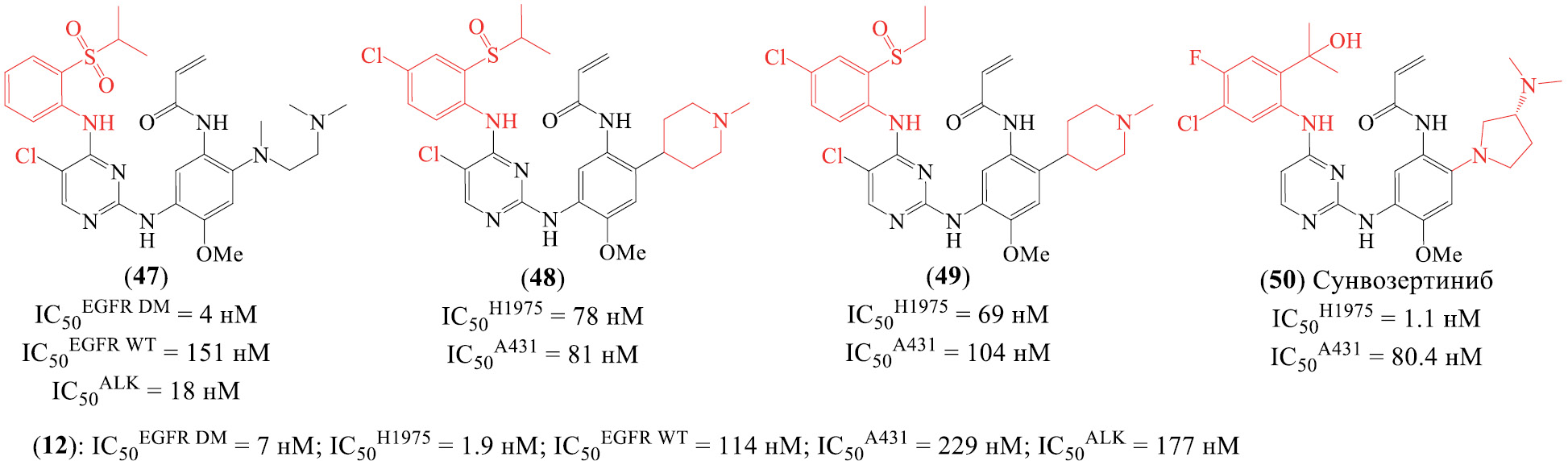
В некоторых случаях возможна разработка ингибиторов с одновременным действием на две мишени вследствие схожести строения сайтов связывания данных киназ, например, EGFR DM и ALK. Было установлено, что аминопиримидиновое ядро ингибиторов EGFR и ALK образует идентичные водородные связи с шарнирными Met793 и Met1199 соответственно. Однако для ингибиторов EGFR DM важным является образование ковалентной связи между акцептором Михаэля и Cys797, тогда как для ингибиторов ALK ключевой выступает водородная связь между изопропилсульфоновой группой и Lys1150 [87–89]. Были получены серии таких ингибиторов, наиболее активные из них показаны на рис. 6.
Рис. 6. Ингибиторы двойного действия EGFR DM/ALK и EGFR DM/BTK.
При разработке 2,4-диаминопиримидиновых ингибиторов двойного действия EGFR DM/BTK было получено соединение (50) (рис. 6), показавшее многообещающие результаты в доклинических исследованиях. Сунвозертиниб (50) по завершении II фазы клинических испытаний в 2023 г. был одобрен в КНР для лечения метастатического НМРЛТ790М [90, 91].
Информация по упомянутым ингибиторам с аминопиримидиновым остовом сведена в табл. 1.
Таблица 1. Сводная информация по ингибиторам EGFR DM с аминопиримидиновым остовом
Ингибитор | IC50EGFR DM, нМ | Селективность | Метод исследования | Ссылка |
(9) | 0.5 | 12 | Киназное профилирование, панель Reaction Biology (США) | [28] |
(12) | 1.0 | 184 | Киназное профилирование, панель EMD Kinase Profiler | [35] |
(15а) | 0.4 | 677 | Иммуноферментный анализ (ELISA), инкубация 1 ч | [42] |
(18а) | 3,9 | 18 | Гомогенная флуоресценция с временным разрешением (HTRF), комплект Cisbio (США), инкубация 0.5 ч | [45] |
(20a) | 4.1 | 68 | ELISA | [47] |
(21b) | 6.4 | 50 | Киназное профилирование, панель Z'-LYTE (Invitrogen, США) | [48] |
(22а) | 0.18 | 16 | Гомогенная флуоресценция с временным разрешением (HTRF), инкубация 30 мин | [49] |
(23) | 16.5 (Н1975) | 59 | Люминесцентный анализ жизнеспособности клеток, комплект Cell Titer-Glo, инкубация 72 ч | [53] |
(24) | 22 (Н1975) | >45 | Люминесцентный анализ жизнеспособности клеток с использованием резазурина, инкубирование 72 ч | [55] |
(26а) | 0.26 | 16 | Резонансный перенос энергии флуоресценции (FRET), комплект Z'-Lyte (Thermo, США) | [59] |
(28) | 1.1 | 103 | ELISA | [63] |
(29а) | 2.1 | 30 | Комплекты для анализа активности киназ (Eurofins, Carna, Германия) | [64] |
(32) | 0.55 | 80 | Комплекты для анализа активности киназ (Eurofins, Carna, Германия) | [67] |
(33а) | 4.1 | 85 | ELISA | [69] |
(34) | 0.3 | 20 | ELISA | [70] |
(39) | 2.7 | 13 | Резонансный перенос энергии флуоресценции Lance Ultra с временным разрешением (TR-FRET), инкубация 1 ч | [74] |
(41а) | 4.0 | >2500 | HTRF, комплект KinEASE-TK (Cisbio, США), инкубация 40 мин | [78] |
(42а) | 2.3 (Н1975) | 97 | Люминесцентный анализ жизнеспособности клеток с использованием сульфородамина B, инкубация 72 ч | [79] |
(43а) | 3.6 | 27 | ELISA | [82] |
(44а) | 8 | 191 | ELISA | [83] |
(50) | 1.1 | 73 | Комплект Multi-Spot (Meso Scale, США), инкубация 4 ч | [90] |
6. ИНГИБИТОРЫ C ПИРРОЛОПИРИМИДИНОВЫМ ОСТОВОМ
Согласно данным молекулярного моделирования, конденсированные с пиримидином циклы могут обусловливать дополнительные полезные взаимодействия в активном сайте EGFR DM. Таким образом, были разработаны новые структурные остовы для TKI третьего поколения. Так, при скрининге пирролопиримидиновых TKI многообещающие результаты показал ингибитор PF-06459988 (51) (рис. 7), который в клеточных тестах in vitro ингибировал рост клеток Н1975 на уровне осимертиниба (12), а по селективности превзошел его в 40 раз [92]. PF-06459988 проходил клинические испытания как препарат для лечения НМРЛТ790М (NCT02297425), но исследования были досрочно завершены в 2018 г. на II фазе.
Рис. 7. Пиррол-, пиразол-пиримидиновые и пуриновые ингибиторы EGFR DM.
В 2014 г. был разработан пирролопиримидиновый ингибитор (52) (рис. 7), известный как авитиниб – первый собственный ингибитор EGFR третьего поколения в КНР [93]. Соединение (52) ингибировало киназу EGFR DM c IC50 = 0.18 нМ и 43-кратной селективностью, а в клеточных тестах показало IC50Н1975 = 7.3 нМ и 43-кратную селективность. Авитиниб проявил мощную противоопухолевую эффективность in vivo без признаков потери массы тела у лабораторных животных в качестве меры токсичности [94]. Клинические исследования авитиниба продолжаются (NCT03856697, NCT03058094, NCT05361915 и др.).
На основе структуры авитиниба были получены серии новых ингибиторов EGFR DM, из которых соединение (53) (рис. 7) показало наиболее высокую активность и селективность in vitro, сопоставимую с референсным ингибитором (52) [95]. В результате исследований влияния заместителей в положениях 3 и 4 пирролопиримидинового остова было получено соединение (54) (рис. 7) с субнаномолярным значением IC50EGFR DM и 33-кратной селективностью [96, 97]. Хотя в клеточных тестах порядок значений IC50 был иной, высокая селективность сохранялась. В кинетических тестах было установлено, что данный ряд ингибиторов обладает высокой аффинностью к EGFR DM и низкой степенью зависимости от образования ковалентной связи для достижения эффективного ингибирования, что может быть использовано в случае третичной мутации L858R/T790M/C797S, являющейся одной из причин резистентности к ингибиторам EGFR третьего поколения [98]. Сообщается, что в случае замены пирролопиримидинового остова на пирролопиридиновый происходит значительное снижение целевой активности и селективности [99, 100].
7. ИНГИБИТОРЫ C ПУРИНОВЫМ И ПИРАЗОЛОПИРИМИДИНОВЫМ ОСТОВАМИ
Пуриновый ингибитор (55), известный как мавелертиниб (или PF-06747775) (рис. 7), был получен модификацией соединения (51) [101]. В доклинических исследованиях мавелертиниб показал наномолярную активность и 26-кратную селективность в отношении EGFR DM, а также высокую эффективность in vivo, пероральную доступность ~80% и приемлемый профиль безопасности. Разработка мавелертиниба была прекращена на II фазе клинических испытаний в 2020 г. (NCT02349633).
Тестирование in vitro серий пуриновых TKI EGFR DM выявило перспективное соединение (56) (рис. 7), сопоставимое по активности и селективности с референсным соединением (12) [102]. На основе структуры известного пуринового ингибитора ВТК ибрутиниба были получены ингибиторы EGFR DM (57) и (58) (рис. 7), которые дозозависимо вызывали гибель клеток Н1975 при наномолярных концентрациях с 500-кратной селективностью, были эффективны in vivo, а также слабо ингибировали INSR и IGF1R [103, 104].
8. ИНГИБИТОРЫ C ТИОФЕНО- И ТИОПИРАНОПИРИМИДИНОВЫМИ ОСТОВАМИ
Разработка тиофенопиримидинового ингибитора EGFR DM олмутиниба (59) (рис. 8) началась в 2013 г. Он ингибировал in vitro киназу EGFR DM с IC50 = 10 нМ и селективностью 222 [105]. В долгосрочных моделях in vivo олмутиниб продемонстрировал устойчивый противоопухолевый эффект [106]. По завершении фазы I/II клинических испытаний в 2016 г. олмутиниб получил первое одобрение в Южной Корее как препарат для второлинейной терапии НМРЛТ790М. Однако в 2021 г. клинические испытания были прекращены на II фазе из-за выявленных проблем с безопасностью [107].
Рис. 8. Тиофено- и тиопиранопиримидиновые ингибиторы EGFR DM.
На основе олмутиниба (59) были получены ряды новых TKI EGFR DM, из которых ингибитор (60) (рис. 8) был наиболее активен in vitro и сопоставим с референсом (59) [108]. Исследования in silico показали перспективность стерического расширения тиофенопиримидинового остова до тиопиранопиримидинового за счет дополнительного связывания в активном сайте киназы [109]. Однако тестирование in vitro показало, что в целом тиопиранопиримидиновые ингибиторы, например, соединение (61) (рис. 8), были менее активны, чем их тиофенопиримидиновые аналоги. В ряду сульфоновых производных соединение (62) (рис. 8) уступало по активности, но в 60 раз превосходило по селективности референсный ингибитор (12) [110].
9. ИНГИБИТОРЫ EGFR DM C ФУРАНОПИРИМИДИНОВЫМ ОСТОВОМ
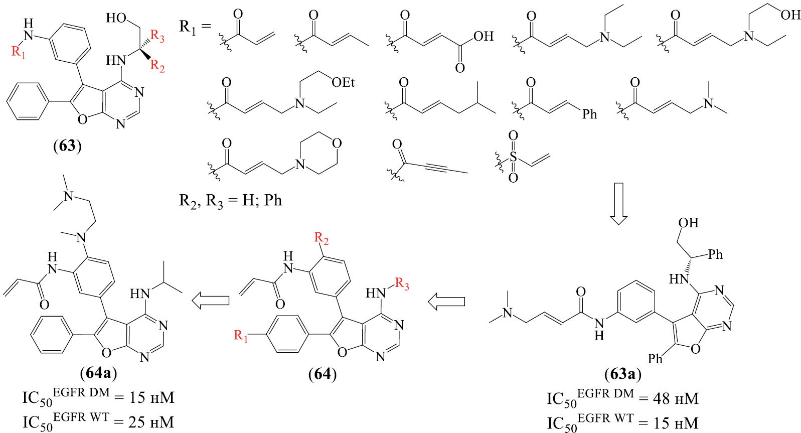
В ходе последовательной разработки фуранопиримидиновых ингибиторов EGFR DM на основе структур (63) и (64) (схема 19) были выявлены закономерности “структура–активность” для ~100 соединений [111, 112]. Так, более высокую ингибирующую активность in vitro показали соединения с акриламидным акцептором. Замена фуранового цикла на тиофеновый или изоксазоловый приводила к значительному снижению активности. Ингибитор (63а) с наиболее оптимальным сочетанием свойств был эффективен in vivo и обладал приемлемыми параметрами фармакокинетики и пероральной биодоступностью 41% [113]. Ингибитор (63а) (или DBPR112) участвовал в клинических испытаниях (NCT03246854), которые в 2018 г. были прекращены на I фазе.
Схема 19. Фуранопиримидиновые ингибиторы EGFR DM.
На следующем этапе была проведена оптимизация структуры соединения (64) (схема 19) путем подбора оптимальных алкильных заместителей R1 и R3, а также солюбилизирующей группы R2 методами in silico. Соединение (64а) показало наилучший баланс характеристик, включая 1.7-кратную киназную селективность in vitro, эффективное подавление роста опухоли Н1975 in vivo, приемлемые параметры фармакокинетики и пероральную доступность 27% [114]. Доклинические исследования соединения (64а) продолжаются.
10. ИНГИБИТОРЫ C ХИНАЗОЛИНОВЫМ, ПИРИДО- И ПИРИМИДОПИРИМИДИНОВЫМИ ОСТОВАМИ
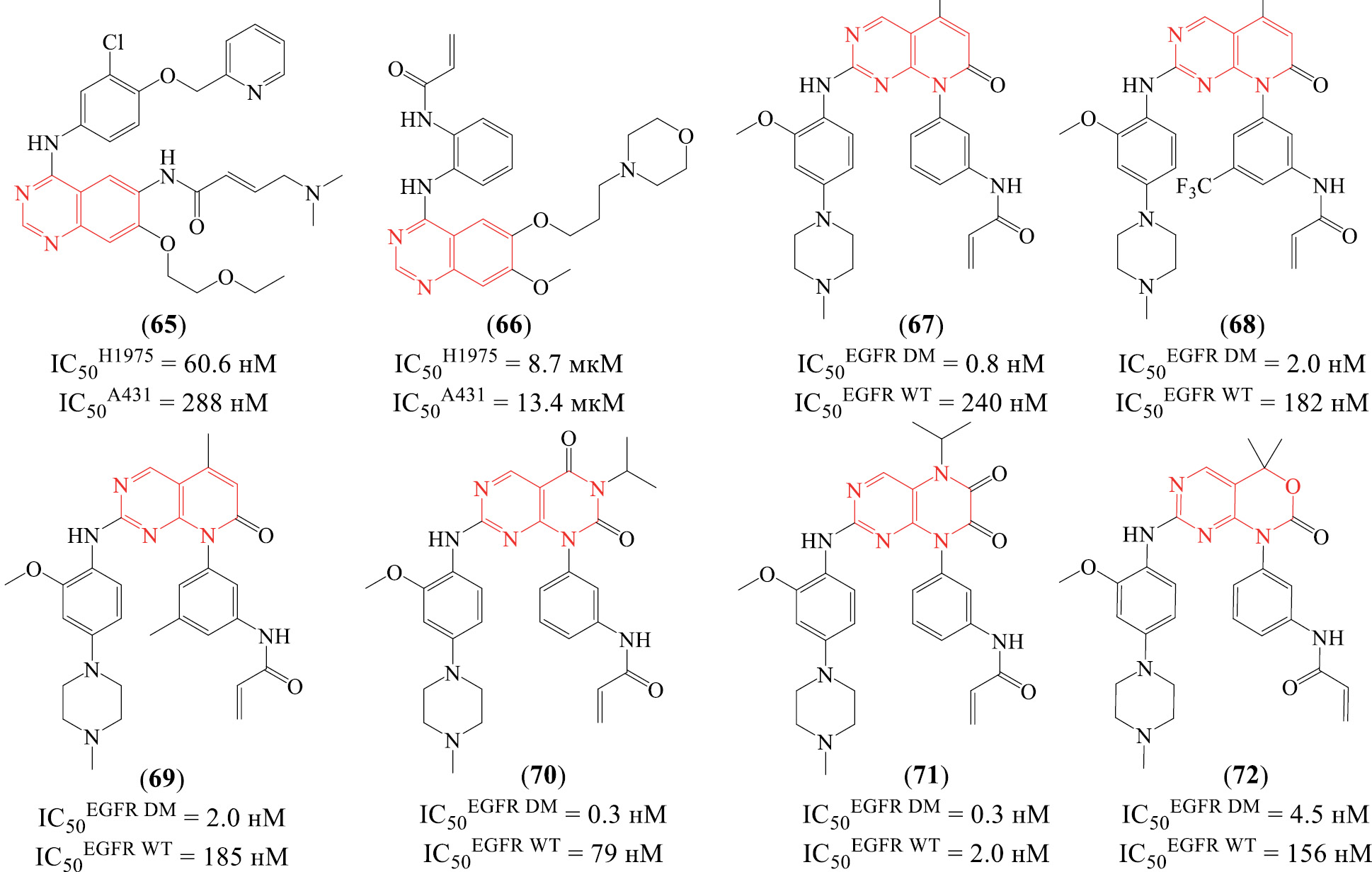
Несмотря на то, что хиназолиновый остов характерен для ингибиторов EGFR первого и второго поколений, он также используется в разработке TKI третьего поколения [115, 116]. Ингибитор (65) (рис. 9) показал 4.7-кратную селективность in vitro в отношении клеток Н1975 и был эффективен in vivo на уровне референса (12) [117]. Соединение (66) (рис. 9) ингибировало киназу EGFR DM с IC50 = 4.3 нМ и 24-кратной селективностью, сопоставимой с референсным соединением (9) [118]. Однако в клеточных тестах соединение (66) показало уже микромолярную активность с 1.5-кратной селективностью, значительно уступая референсу. Пиридонопиримидиновый ингибитор (67) (рис. 9) был наиболее активным in vitro в своей серии TKI, превзойдя референсный осимертиниб по активности в 8.7 раз, а по селективности – в 10 раз [119]. Полученные данные РСА комплекса соединения (67) с EGFRT790M (PDB: 5GMP) позволили смоделировать и получить новую серию ингибиторов, среди которых наилучший баланс свойств, включая умеренные параметры фармакокинетики и пероральную биодоступность 16%, показал ингибитор (68) (рис. 9), сопоставимый in vitro с референсным соединением (12) [120]. Ингибитор (69) (рис. 9) в клеточных тестах был сопоставим с соединением (12), имея IC50Н1975 = 45 нМ. Его киназная активность и селективность в 4.7 и 5 раз соответственно превосходили таковые для осимертиниба. В доклинических испытаниях соединения (69) были установлены противоопухолевая эффективность in vivo, слабое ингибирование FGFR1 и пероральная биодоступность 25% [121]. Модификацией хиназолинового остова был получен ингибитор (70) (рис. 9), который по киназной активности был в 67 раз более активен, чем референсный ингибитор (9), и в 19 раз более селективен. Селективность соединения (70) на клетках была 36-кратной с IC50Н1975 = 44 нМ и с IC50А431 = 1564 нМ, что было сопоставимо с соединением (9) [122]. Последующая структурная оптимизация привела к получению серии птеридиндионовых TKI, из которых наиболее активный ингибитор (71) (рис. 9) в киназных тестах уступал по селективности соединению (9), тогда как в клеточных тестах превосходил референс по активности в 1.7 раз, а по селективности – в 20 раз [123]. Ингибитор (72) (рис. 9), полученный дальнейшей модификацией соединения (71), был сопоставим с роцилетинибом в киназных тестах, а в клеточных тестах уступал ему в 2 раза по активности и селективности [124].
Рис. 9. Ингибиторы EGFR DM с хиназолиновыми и модифицированными хиназолиновыми остовами.
Были получены и другие ряды TKI EGFR DM с хиназолиновым и модифицированными хиназолиновыми остовами, однако существенных преимуществ над существующими ингибиторами достигнуто не было [125–128].
11. ЗАКЛЮЧЕНИЕ
Несмотря на то что осимертиниб (12) стал эталоном лечения лекарственно-устойчивого НМРЛ, он не лишен недостатков, проявляющихся в ингибировании им и его метаболитами других киназ, влекущих за собой ряд побочных дозозависимых эффектов. Развитие методов in silico, а также накопленный опыт создания TKI EGFR DM на основе WZ4002 (8), роцилетиниба (9) и в большей степени осимертиниба (12) позволили выявить основные структурные факторы, ответственные за целевую активность и селективность. Было показано, что значительные отклонения от структурного шаблона соединения (12) приводят к критической утрате активности и селективности. Наиболее перспективными направлениями структурной модификации соединения (12) оказались N-метилиндольный фрагмент и N,N,N′-триметилэтилендиаминовая боковая группа. Модификация N-метилиндола ограничена стерическими факторами, поскольку группа ориентируется внутрь активного сайта киназы. Боковая группа ориентируется в область растворителя и балансирует физико-химические свойства молекулы, что задает свой коридор для модификации. В настоящем обзоре приведен ряд работ, в которых данные направления были успешно реализованы с получением клинически одобренных ингибиторов EGFR DM. Также на основе представленных данных можно заключить, что несмотря на высокую степень исследованности и запатентованности пространства структурных аналогов (12), возможность разработки новых эффективных препаратов для лечения лекарственно-устойчивого НМРЛ по-прежнему остается, что сохраняет перспективы для преодоления монополии осимертиниба в данном сегменте национального здравоохранения.
CОБЛЮДЕНИЕ ЭТИЧЕСКИХ СТАНДАРТОВ
Настоящая статья не содержит описания исследований, выполненных авторами данной работы, с участием людей или использованием животных в качестве объектов исследования.
КОНФЛИКТ ИНТЕРЕСОВ
Авторы заявляют об отсутствии конфликта интересов.
ВКЛАД АВТОРОВ
Все авторы внесли равный вклад в написание этой статьи.
ДОСТУПНОСТЬ ДАННЫХ
Данные, подтверждающие выводы настоящего ис-следования, можно получить у корреспондирующего автора по обоснованному запросу.
About the authors
A. B. Shvetsov
National Research Ogarev Mordovia State University
Author for correspondence.
Email: shvetsov.1984@list.ru
Russian Federation, ul. Bolshevistskaya 68, Saransk, 430005
A. V. Semenov
National Research Ogarev Mordovia State University
Email: shvetsov.1984@list.ru
Russian Federation, ul. Bolshevistskaya 68, Saransk, 430005
References
- Состояние онкологической помощи населению России в 2022 году / Под ред. Каприна А.Д., Старинского В.В., Шахзадовой А.О. М: МНИОИ им. П.А. Герцена, филиал ФГБУ “НМИЦ радиологии” МЗ РФ, 2022. С. 28.
- Злокачественные новообразования в России в 2021 году (заболеваемость и смертность) / Под ред. Каприна А.Д., Старинского В.В., Шахзадовой А.О. М: МНИОИ им. П.А. Герцена, филиал ФГБУ “НМИЦ радиологии” МЗ РФ, 2022. С. 5.
- Chunhacha P., Chanvorachote P. // Int. J. Physiol. Pathophysiol. Pharmacol. 2012. V. 4. P. 149–155. https://pubmed.ncbi.nlm.nih.gov/23071872/
- Stamos J., Sliwkowski M., Eigenbrot C. // J. Biol. Chem. 2002. V. 277. P. 46265–46272. https://doi.org/10.1074/jbc.M207135200
- Amelia T. // Molecules. 2022. V. 27. P. 819. https://doi.org/10.3390/molecules27030819
- Yun C.-H., Boggon T., Li Y., Woo M., Greulich H., Meyerson M., Eck M. // Cancer Cell. 2007. V. 11. P. 217–227. https://doi.org/10.1016/j.ccr.2006.12.017
- Sharma S., Bell D., Settleman J., Haber D. // Nat. Rev. Cancer. 2007. V. 7. P. 169–181. https://doi.org/10.1038/nrc2088
- Castellanos E.H., Horn L. // Curr. Treat. Options Oncol. 2015. V. 16. Р. 51. https://doi.org/10.1007/s11864-015-0365-1
- Elzahabi H., Nossier E., Alasfoury R., El-Manawaty M., Sayed S., Elkaeed E., Metwaly A., Hagras M., Eissa I. // J. Enzyme Inhib. Med. Chem. 2022. V. 37. Р. 1053– 1076. https://doi.org/10.1080/14756366.2022.2062752
- Karachaliou N., Fernandez-Bruno M., Bracht J., Rosell R. // Transl. Cancer Res. 2019. V. 8. P. S23–S47. https://doi.org/10.21037/tcr.2018.10.06
- Ko B., Paucar D., Halmos B. // Lung Cancer (Auckl). 2017. V. 8. Р. 147–159. https://doi.org/10.2147/lctt.s117944
- Eck M., Yun C.-H. // Biochim. Biophys. Acta. 2010. V. 1804. P. 559–566. https://doi.org/10.1016/j.bbapap.2009.12.010
- Yver A. // Ann. Oncol. 2016. V. 27. P. 1165–1170. https://doi.org/10.1093/annonc/mdw129
- Ward R., Goldberg F. // Kinase Drug Discovery. Royal Society of Chemistry, 1th ed., 2011. P. 332. https://doi.org/10.1039/9781849733557
- Engelman J., Zejnullahu K., Gale C., Lifshits E., Gonzales A., Shimamura T., Zhao F., Vincent P., Naumov G., Bradner J., Althaus I., Gandhi L., Shapiro G., Nelson J., Heymach J., Meyerson M., Wong K., Jänne P. // Cancer Res. 2007. V. 67. P. 11924–11932. https://doi.org/10.1158/0008-5472.can-07-1885
- Li D., Ambrogio L., Shimamura T., Kubo S., Takahashi M., Chirieac L., Padera R., Shapiro G., Baum A., Himmelsbach F., Rettig W., Meyerson M., Solca F., Greulich H., Wong K. // Oncogene. 2008. V. 27. P. 4702– 4711. https://doi.org/10.1038/onc.2008.109
- Solca F., Dahl G., Zoephel A., Bader G., Sanderson M., Klein C., Kraemer O., Himmelsbach F., Haaksma E., Adolf G. // J. Pharmacol. Exp. Ther. 2012. V. 343. P. 342–350. https://doi.org/10.1124/jpet.112.197756
- Katakami N., Atagi S., Goto K., Hida T., Horai T., Inoue A., Ichinose Y., Koboyashi K., Takeda K., Kiura K., Nishio K., Seki Y., Ebisawa R., Shahidi M., Yamamoto N. // J. Clin. Oncol. 2013. V. 31. P. 3335– 3341. https://doi.org/10.1200/jco.2012.45.0981
- Kwak E., Sordella R., Bell D., Godin-Heymann N., Okimoto R., Brannigan B., Harris P., Driscoll D., Fidias P., Lynch T., Rabindran S., McGinnis J., Wissner A., Sharma S., Isselbacher K., Settleman J., Haber D. // Proc. Natl. Acad. Sci. USA. 2005. V. 102. P. 7665–7670. https://doi.org/10.1073/pnas.0502860102
- Sequist L., Besse B., Lynch T., Miller V., Wong K., Gitlitz B., Eaton K., Zacharchuk C., Freyman A., Powell C., Ananthakrishnan R., Quinn S., Soria J.-C. // J. Clin. Oncol. 2010. V. 28. P. 3076–3083. https://doi.org/10.1200/jco.2009.27.9414
- Yun C.-H., Mengwasser K., Toms A., Woo M., Greulich H., Wong K.-K., Meyerson M., Eck M. // Proc. Natl. Acad. Sci. USA. 2008. V. 105. P. 2070–2075. https://doi.org/10.1073/pnas.0709662105
- Kalous O., Conklin D., Desai A., O’Brien N., Ginther C., Anderson L., Cohen D., Britten C., Taylor I., Christensen J., Slamon D., Finn R. // Mol. Cancer Ther. 2012. V. 11. P. 1978–1987. https://doi.org/10.1158/1535-7163.MCT-11-0730
- Yoshimura N., Kudoh S., Kimura T., Mitsuoka S., Matsuura K., Hirata K., Matsui K., Negoro S., Nakagawa K., Fukuoka M. // Lung Cancer. 2006. V. 51. P. 363–368. https://doi.org/10.1016/j.lungcan.2005.10.006
- Jänne P., Pawel J., Cohen R., Crino L., Butts C., Olson S., Eiseman I., Chiappori A., Yeap B., Lenehan P., Dasse K., Sheeran M., Bonomi P. // J. Clin. Oncol. 2007. V. 25. P. 3936–3944. https://doi.org/10.1200/JCO.2007.11.1336
- Ghosh A., Samanta I., Mondal A., Liu W. // Chem. Med. Chem. 2019. V. 14. P. 889–906. https://doi.org/10.1002/cmdc.201900107
- Yu H., Riely G. // J. Natl. Compr. Canc. Netw. 2013. V. 11. P. 161–169. https://doi.org/10.6004/jnccn.2013.0024
- Zhou W., Ercan D., Chen L., Yun C.-H., Li D., Capelletti M., Cortot A., Chirieac L., Iacob R., Padera R., Engen J., Wong K.-K., Eck M., Gray N., Jänne P. // Nature. 2009. V. 462. P. 1070–1074. https://doi.org/10.1038/nature08622
- Sjin R., Lee K., Walter A., Dubrovskiy A., Sheets M., Martin T., Labenski M., Zhu Z., Tester R., Karp R., Medikonda A., Chaturvedi P., Ren Y., Haringsma H., Etter J., Raponi M., Simmons A., Harding T., Niu D., Nacht M., Westlin W., Petter R., Allen A., Singh J. // Mol. Cancer Ther. 2014. V. 13. P. 1468–1479. https://doi.org/10.1158/1535-7163.mct-13-0966
- Walter A., Sjin R., Haringsma H., Ohashi K., Sun J., Lee K., Dubrovskiy A., Labenski M., Zhu Z., Wang Z., Sheets M., Martin T., Karp R., Kalken D., Chaturvedi P., Niu D., Nacht M., Petter R., Westlin W., Lin K., Jaw-Tsai S., Raponi M., Dyke T., Etter J., Weaver Z., Pao W., Singh J., Simmons A., Harding T., Allen A. // Cancer Discov. 2013. V. 3. P. 1404–1415. https://doi.org/10.1158/2159-8290.cd-13-0314
- Yan X.-E., Zhu S.-J., Liang L., Zhao P., Choi H., Yun C.-H. // Oncotarget. 2018. V. 9. P. 13652–13665. https://doi.org/10.18632%2Foncotarget.18588
- Van Der Steen N., Caparello C., Rolfo C., Pauwels P., Peters G., Giovannetti E. // Onco Targets Ther. 2016. V. 9. P. 6065–6074. https://doi.org/10.2147/ott.s97644
- Simmons A., Jaw-Tsai S., Haringsma H., Allen A., Harding T. // Cancer Res. 2015. V. 75. P. 793. https://doi.org/10.1158/1538-7445.AM2015-793
- Dhingra K. // Ann. Oncol. 2016. V. 27. P. 1161–1164. https://doi.org/10.1093/annonc/mdw140
- Finlay M.R., Anderton M., Ashton S., Ballard P., Bethel P., Box M., Bradbury R., Brown S., Butterworth S., Campbell A., Chorley C., Colclough N., Cross D., Currie G.S., Grist M., Hassall L., Hill G., James D., James M., Kemmitt P., Klinowska T., Lamont G., Lamont S., Martin N., McFarland H., Mellor M., Orme J., Perkins D., Perkins P., Richmond G., Smith P., Ward R., Waring M., Whittaker D., Wells S., Wrigley G. // J. Med. Chem. 2014. V. 57. P. 8249–8267. https://doi.org/10.1021/jm500973a
- Cross D., Ashton S., Ghiorghiu S., Eberlein C., Nebhan C., Spitzler P., Orme J., Finlay M.R., Ward R., Mellor M., Hughes G., Rahi A., Jacobs V., Brewer M., Ichihara E., Sun J., Jin H., Ballard P., Al-Kadhimi K., Rowlinson R., Klinowska T., Richmond G., Cantarini M., Kim D.-W., Ranson M., Pao W. // Cancer Discov. 2014. V. 4. P. 1046–1061. https://doi.org/10.1158/2159-8290.cd-14-0337
- Yan X.-E., Ayaz P., Zhu S.-J., Zhao P., Liang L., Zhang C., Wu Y.-C., Li J.-L., Choi H.-G., Huang X., Shan Y., Shaw D., Yun C.-H. // J. Med. Chem. 2020. V. 63. P. 8502−8511. https://doi.org/10.1021/acs.jmedchem.0c00891
- Mah R., Thomas J., Shafer C. // Bioorg. Med. Chem. Lett. 2014. V. 24. P. 33–39. https://doi.org/10.1016/j.bmcl.2013.10.003
- Jackson P., Widen J., Harki D., Brummond K. // J. Med. Chem. 2016. V. 60. P. 839–885. https://doi.org/10.1021/acs.jmedchem.6b00788
- Strelow J. // SLAS Discov. 2017. V. 22. P. 3–20. https://doi.org/10.1177/1087057116671509
- Kuzmič P. // bioRxiv. 2020. P. 171207. https://doi.org/10.1101/2020.06.25.171207
- Soria J.-C., Ohe Y., Vansteenkiste J., Reungwetwattana T., Chewaskulyong B., Lee K.-H., Dechaphunkul A., Imamura F., Nogami N., Kurata T., Okamoto I., Zhou C., Cho B., Cheng Y., Cho E.K., Voon P.J., Planchard D., Su W.-C., Gray J., Lee S.-M., Hodge R., Marotti M., Rukazenkov Y., Ramalingam S. // N. Engl. J. Med. 2018. V. 378. P. 113–125. https://doi.org/10.1056/nejmoa1713137
- Xiao Q., Qu R., Gao D., Yan Q., Tong L., Zhang W., Ding J., Xie H., Li Y. // Bioorg. Med. Chem. 2016. V. 24. Р. 2673–2680. https://doi.org/10.1016/j.bmc.2016.04.032
- Zhou F., Zhang L., Jin Y., Liu W., Cheng P., He X., Xie J., Shen S., Lei J., Ji H., Hu Y., Liu Y., Cui Y., Lv Q., Lan J. // Bioorg. Med. Chem. Lett. 2017. V. 28. P. 1257–1261. https://doi.org/10.1016/j.bmcl.2017.12.009
- Yi Y., Wang L., Zhao D., Huang S., Wang C., Liu Z., Sun H., Liu K., Ma X., Li Y. // Chem. Biol. Drug. Des. 2018. V. 92. P. 1988–1997. https://doi.org/10.1111/cbdd.13370
- Shao J., Liu S., Liu X., Pan Y., Chen W. // Bioorg. Med. Chem. 2020. V. 28. P. 115680. https://doi.org/10.1016/j.bmc.2020.115680
- Fawwaz M., Mishiro K., Nishii R., Sawazaki I., Shiba K., Kinuya S., Ogawa K. // Molecules. 2020. V. 25. P. 2914. https://doi.org/10.3390/molecules25122914
- Chen L., Fu W., Feng C., Qu R., Tong L., Zheng L., Fang B., Qiu Y., Hu J., Cai Y., Feng J., Xie H., Ding J., Liu Z., Liang G. // Eur. J. Med. Chem. 2017. V. 140. P. 510–527. https://doi.org/10.1016/j.ejmech.2017.08.061
- Gao H., Yang Z., Yang X., Rao Y. // Bioorg. Med. Chem. 2017. V. 25. P. 4553–4559. https://doi.org/10.1016/j.bmc.2017.06.004
- Liu Q., Luo Y., Li Z., Chen C., Fang L. // Bioorg. Med. Chem. 2021. V. 36. P. 116094. https://doi.org/10.1016/j.bmc.2021.116094
- Yu H., Wei M., Cui Y., Sun X., Tong Z., Sun G., Tan S., Ma J., Gao P., Liao J., Liu Z., Wang S., Xiu W. // Patent Application WO2016054987A1, published 14.04.2016.
- Yang C.-H., Camidge D.N., Yang C.-T., Zhou J., Guo R., Chiu C.-H., Chang G.-C., Shiah H.-S., Chen Y., Wang C.-C., Berz D., Su W.-C., Yang N., Wang Z., Fang J., Chen J., Nikolinakos P., Lu Y., Pan H., Maniam A., Bazhenova L., Shirai K., Jahanzeb M., Willis M., Masood N., Chowhan N., Hsia T.-C., Jian H., Lu S. // J. Thorac. Oncol. 2020. V. 15. P. 1907–1918. https://doi.org/10.1016/j.jtho.2020.09.001
- Lu S., Wang Q., Zhang G., Dong X., Yang C.-T., Song Y., Chang G.-C., Lu Y., Pan H., Chiu C.-H., Wang Z., Feng J., Zhou J., Xu X., Guo R., Chen J., Yang H., Chen Y., Yu Z., Shiah H.-S., Wang C.-C., Yang N., Fang J., Wang P., Wang K., Hu Y., He J., Wang Z., Shi J., Chen S., Wu Q., Sun C., Li C., Wei H., Cheng Y., Su W.-C., Hsia T.-C., Cui J., Sun Y., Ou S.-H., Zhu V., Yang J. // J. Thorac. Oncol. 2022. V. 17. P. 411–422. https://doi.org/10.1016/j.jtho.2021.10.024
- Jiang Y. // Patent CN105085489A, published 25.11.2015.
- Blair H. // Drugs. 2023. V. 83. P. 1433–1437. https://doi.org/10.1007/s40265-023-01946-w
- Peng J., Costanzo M., Greco M., Green M., Wilde V., Zhang D. // Patent Application WO2016094821A2, published 16.06.2016.
- Shi Y., Zhao Y., Yang S., Zhou J., Zhang L., Chen G., Fang J., Zhu B., Li X., Shu Y., Shi J., Zheng R., Wang D., Yu H., Huang J., Zhuang Z., Wu G., Zhang L., Guo Z., Greco M., Li X., Zhang Y. // J. Thorac. Oncol. 2022. V. 17. P. 708–717. https://doi.org/10.1016/j.jtho.2022.01.015
- Yang S., Wu S., Zhao Y., Chen G., Zhu B., Li X., Wang K., Shi J., Cang S., Yao W., Fan Y., Fang J., Zhang L., Zhou J., Wu L., Zheng R., Huang M., Pan Y., Yang Z., Sun M., Yu H., Wang D., Huang J., Wang L., Shu Y., Chen Z., Liu C., Li J., Liu J., Sun S., Guo Y., Meng Z., Liu Z., Han Z., Wu G., Lu H., Ma R., Hu S., Zhao G., Zhang L., Liu Z., Xie C., Zhong D., Zhao H., Bi M., Yi S., Guo S., Yi T., Li W., Lin Y., Chen Z., Zhuang Z., Guo Z., Greco M., Wang T., Zhou A., Shi Y. // Lung Cancer. 2023. V. 180. P. 107194. https://doi.org/10.1016/j.lungcan.2023.107194
- Talele T. // J. Med. Chem. 2016. V. 59. P. 8712–8756. https://doi.org/10.1021/acs.jmedchem.6b00472
- Li J., An B., Song X., Zhang Q., Chen C., Wei S., Fan R., Li X., Zou Y. // Eur. J. Med. Chem. 2020. V. 212. P. 113019. https://doi.org/10.1016/j.ejmech.2020.113019
- An B., Pan T., Hu J., Pang Y., Huang L., Chan A., Li X., Yan J. // Eur. J. Med. Chem. 2019. V. 183. P. 111709. https://doi.org/10.1016/j.ejmech.2019.111709
- Gant T. // J. Med. Chem. 2013. V. 57. P. 3595–3611. https://doi.org/10.1021/jm4007998
- Di Martino R., Maxwell B. Pirali T. // Nat. Rev. Drug Discov. 2023. V. 22. P. 562–584. https://doi.org/10.1038/s41573-023-00703-8
- Meng Y., Yu B., Huang H., Peng Y., Li E., Yao Y., Song C., Yu W., Zhu K., Wang K., Yi D., Du J., Chang J. // J. Med. Chem. 2021. V. 64. P. 925–937. https://doi.org/10.1021/acs.jmedchem.0c02005
- Zhou P., Chen G., Gao M., Wu J. // Bioorg. Med. Chem. 2018. V. 26. P. 6135–6145. https://doi.org/10.1016/j.bmc.2018.10.018
- Zhang H., Wu W., Feng C., Liu Z., Bai E., Wang X., Lei M., Cheng H., Feng H., Shi J., Wang J., Zhang Z., Jin T., Chen S., Hu S., Zhu Y. // Eur. J. Med. Chem. 2017. V. 135. P. 12–23. https://doi.org/10.1016/j.ejmech.2017.04.036
- Bouffard E., Zaro B., Dix M., Cravatt B., Wong C.-H. // Tetrahedron Lett. 2021. V. 74. P. 153178. https://doi.org/10.1016/j.tetlet.2021.153178
- Wang Y., Zhang X., Zhao L., Wang X., Han L., Dai X. // Patent Application WO2017088746A1, published 01.06.2017.
- Han L., Zhang X., Wang Z., Zhang X., Zhao L., Fu W., Liang X., Zhang Z., Wang Y. // Front. Pharmacol. 2021. V. 12. P. 665253. https://doi.org/10.3389/fphar.2021.665253
- Yan Q., Chen Y., Tang B., Xiao Q., Qu R., Tong L., Liu J, Ding J., Chen Y., Ding N., Tan W., Xie H., Li Y. // Eur. J. Med. Chem. 2018. V. 152. P. 298–306. https://doi.org/10.1016/j.ejmech.2018.04.052
- Zhang T., Qu R., Chan S., Lai M., Tong L., Feng F., Chen H., Song T., Song P., Bai G., Liu Y., Wang Y., Li Y., Su Y., Shen Y., Sun Y., Chen Y., Geng M., Ding K., Ding J., Xie H. // Mol. Cancer. 2020. V. 19. P. 90. https://doi.org/10.1186/s12943-020-01202-9
- Shi Y., Li B., Wu L., Pan Y., Pan Z., Liu Y., Fan Y., Ji Y., Fang J., Shi Q., Shi J., Gao H., Hu Y., Wang X., He Z., Ma R., Zhang Y., Jiang D., Bai Y., Zhang Y., Huang L., Zhou T., Liu H., Wang D., Wen Q., Chen G., Zang A., Wang X., Zhang X., Hu J., Yang R., Zhang G., Gu K., Wang L., Wang Q., Wei Z., Li Z., Lu H., Zhang H., Chen H., Song T. // J. Thorac. Oncol. 2022. V. 17. P. 1205–1215. https://doi.org/10.1016/j.jtho.2022.05.011
- Yang Z., Yang H., Ai Y., Zhang L., Li Z., Wan S., Xu X., Zhang H., Wu S., Zhang J., Zhang T. // Eur. J. Pharm. Sci. 2020. V. 152. P. 105463. https://doi.org/10.1016/j.ejps.2020.105463
- Rho J.K., Lee I.Y., Choi Y.J., Choi C.-M., Hur J.-Y., Koh J.S., Lee J., Suh B.-C., Song H.-J., Salgaonkar P., Lee J., Lee J., Jung D.S., Kim S.-Y., Woo D.-C., Baek I.-J., Lee J.-Y., Ha C.H., Sung Y.H., Kim J.K., Kim W.S., Song J.S., Kim C.H., Bivona T., Lee J.C. // Cancer Res. 2017. V. 77. P. 1200–1211. https://doi.org/10.1158/0008-5472.can-16-2432
- Yun J., Hong M.H., Kim S.-Y., Park S.-W., Kim S., Yun M.R., Kang H.N., Pyo K.H., Lee S.S., Koh J.S., Song H.-J., Kim D.K., Lee Y.S., Oh S.-W., Choi S., Kim H.R., Cho B.C. // Clin. Cancer Res. 2019. V. 25. Р. 2575–2587. https://doi.org/10.1158/1078-0432.ccr-18-2906
- Dhillon S. // Drugs. 2021. V. 81. P. 1107–1113. https://doi.org/10.1007/s40265-021-01533-x
- Yang H., Yan R., Jiang Y., Yang Z., Zhang X., Zhou M., Wu X., Zhang T., Zhang J. // Eur. J. Med. Chem. 2020. V. 187. P. 111966. https://doi.org/10.1016/j.ejmech.2019.111966
- Günther M., Lategahn J., Juchum M., Döring E., Keul M., Engel J., Tumbrink H., Rauh D., Laufer S. // J. Med. Chem. 2017. V. 60. P. 5613–5637. https://doi.org/10.1021/acs.jmedchem.7b00316
- Yang T., Zhang W., Cao S., Sun S., Cai X., Xu L., Li P., Zheng Z., Li S. // Eur. J. Med. Chem. 2022. V. 228. P. 113984. https://doi.org/10.1016/j.ejmech.2021.113984
- Luo H., Zhou H., Wang S., Wu Y. // Patent US10072002B2, published 11.09.2018.
- Deeks E. // Drugs. 2021. V. 81. P. 1775–1780. https://doi.org/10.1007/s40265-021-01588-w
- Shi Y., Zhang S., Hu X., Feng J., Ma Z., Zhou J., Yang N., Wu L., Liao W., Zhong D., Han X., Wang Z., Zhang X., Qin S., Ying K., Feng J., Fang J., Liu L., Jiang Y. // J. Thorac. Oncol. 2020. V. 15. P. 1015–1026. https://doi.org/10.1016/j.jtho.2020.01.010
- Li Y., Chang Y., Fu J., Ding R., Zhang L., Liang T., Liu Y., Liu Y, Hu J. // Eur. J. Med. Chem. 2021. V. 226. P. 113845. https://doi.org/10.1016/j.ejmech.2021.113845
- Zhao B., Xiao Z., Qi J., Luo R., Lan Z., Zhang Y., Hu X., Tang Q., Zheng P., Xu S., Zhu W. // Eur. J. Med. Chem. 2018. V. 163. P. 367–380. https://doi.org/10.1016/j.ejmech.2018.11.069
- Abbas A., Xing B., Loh T. // Angew. Chem. Int. Ed. 2014. V. 53. P. 7491–7494. https://doi.org/10.1002/anie.201403121
- Chen D., Guo D., Yan Z., Zhao Y. // Med. Chem. Comm. 2017. V. 9. P. 244–253. https://doi.org/10.1039/C7MD00571G
- Zhao Z., Bourne P. // Pharmaceuticals. 2022. V. 15. P. 1322. https://doi.org/10.3390/ph15111322
- Chen Y., Wu J., Wang A., Qi Z., Jiang T., Chen C., Zou F., Hu C., Wang W., Wu H., Hu Z., Wang W., Wang B., Wang L., Ren T., Zhang S., Liu Q., Liu J. // Eur. J. Med. Chem. 2017. V. 139. P. 674–697. https://doi.org/10.1016/j.ejmech.2017.08.035
- Jang J., Son J.B., To C., Bahcall M., Kim S.Y., Kang S.Y., Mushajiang M., Lee Y., Jänne P., Choi H.G., Gray N. // Eur. J. Med. Chem. 2017. V. 136. P. 497–510. https://doi.org/10.1016/j.ejmech.2017.04.079
- Fan Y., Li W., Nie W., Yao H., Ren Y., Wang M., Nie H., Gu C., Liu J., An B. // Molecules. 2023. V. 28. P. 2006. https://doi.org/10.3390/molecules28052006
- Li Z., Zou H., Zhu W., Shen C., Wang R., Liu W., Chen X., Tsui H., Yang Z., Zhang X. // Patent Application WO2019149164A1, published 08.08.2019.
- Dhillon S. // Drugs. 2023. V. 83. P. 1629–1634. https://doi.org/10.1007/s40265-023-01959-5
- Cheng H., Nair S., Murray B., Almaden C., Bailey S., Baxi S., Behenna D., Cho-Schultz S., Dalvie D., Dinh D., Edwards M., Feng J.L., Ferre R., Gajiwala K., Hemkens M., Jackson-Fisher A., Jalaie M., Johnson T., Kania R., Kephart S., Lafontaine J., Lunney B., Liu K., Liu Z., Matthews J., Nagata A., Niessen S., Ornelas M., Orr S., Pairish M., Planken S., Ren S., Richter D., Ryan K., Sach N., Shen H., Smeal T., Solowiej J., Sutton S., Tran K., Tseng E., Vernier W., Walls M., Wang S., Weinrich S., Xin S., Xu H., Yin M.-J., Zientek M., Zhou R., Kath J. // J. Med. Chem. 2016. V. 59. P. 2005–2024. https://doi.org/10.1021/acs.jmedchem.5b01633
- Xu X., Wang X., Mao L., Zhao L., Xi B. // Patent US9586965B2, published 07.03.2017.
- Xu X., Mao L., Xu W., Tang W., Zhang X., Xi B., Xu R., Fang X., Liu J., Fang C., Zhao L., Wang X., Jiang J., Hu P., Zhao H., Zhang L. // Mol. Cancer Ther. 2016. V. 15. P. 2586–2597. https://doi.org/10.1158/1535-7163.mct-16-0281
- Xia Z., Huang R., Zhou X., Chai Y., Chen H., Ma L., Yu Q., Li Y., Li W., He Y. // Eur. J. Med. Chem. 2021. V. 224. P. 113711. https://doi.org/10.1016/j.ejmech.2021.113711
- Tomassi S., Lategahn J., Engel J., Keul M., Tumbrink H., Ketzer J., Mühlenberg T., Baumann M., Schultz-Fademrecht C., Bauer S., Rauh D. // J. Med. Chem. 2017. V. 60. P. 2361–2372. https://doi.org/10.1021/acs.jmedchem.6b01626
- Lategahn J., Keul M., Klövekorn P., Tumbrink H., Niggenaber J., Müller M., Hodson L., Flaßhoff M., Hardick J., Grabe T., Engel J., Schultz-Fademrecht C., Baumann M., Ketzer J., Mühlenberg T., Hiller W., Günther G., Unger A., Müller H., Heimsoeth A., Golz C., Blank-Landeshammer B., Kollipara L., Zahedi R., Strohmann C., Hengstler J., Otterlo W., Bauer S., Rauh D. // Chem. Sci. 2019. V. 10. P. 10789– 10801. https://doi.org/10.1039/C9SC03445E
- Thress K., Paweletz C., Felip E., Cho B., Stetson D., Dougherty B., Lai Z., Markovets A., Vivancos A., Kuang Y., Ercan D., Matthews S., Cantarini M., Barrett J., Jänne P., Oxnard G. // Nat. Med. 2015. V. 21. P. 560–562. https://doi.org/10.1038/nm.3854
- Lategahn J., Tumbrink H., Schultz-Fademrecht C., Heimsoeth A., Werr L., Niggenaber J., Keul M., Parmaksiz F., Baumann M., Menninger S., Zent E., Landel I., Weisner J., Jeyakumar K., Heyden L., Russ N., Müller F., Lorenz C., Brägelmann J., Spille I., Grabe T., Müller M., Heuckmann J., Klebl B., Nussbaumer P., Sos M., Rauh D. // J. Med. Chem. 2022. V. 65. P. 6643–6655. https://doi.org/10.1021/acs.jmedchem.1c02080
- Günther M., Laux J., Laufer S. // Eur. J. Pharm. Sci. 2018. V. 128. P. 91–96. https://doi.org/10.1016/j.ejps.2018.11.021
- Planken S., Behenna D., Nair S., Johnson T., Nagata A., Almaden C., Bailey S., Ballard E., Bernier L., Cheng H., Cho-Schultz S., Dalvie D., Deal J., Dinh D., Edwards M., Ferre R., Gajiwala K., Hemkens M., Kania R., Kath J., Matthews J., Murray B., Niessen S., Orr S., Pairish M., Sach N., Shen H., Shi M., Solowiej J., Tran K., Tseng E., Vicini P., Wang Y., Weinrich S., Zhou R., Zientek M., Liu L., Luo Y., Xin S., Zhang C., Lafontaine J. // J. Med. Chem. 2017. V. 60. P. 3002−3019. https://doi.org/10.1021/acs.jmedchem.6b01894
- Hu J., Han Y., Wang J., Liu Y., Zhao Y., Liu Y., Gong P. // Bioorg. Med. Chem. 2018. V. 26. P. 1810–1822. https://doi.org/10.1016/j.bmc.2018.02.029
- Hu C., Wang A., Wu H., Qi Z., Li X., Yan X., Chen C., Yu K., Zou F., Wang W., Wang W., Wu J., Liu J., Wang B., Wang L., Ren T., Zhang S., Yun C., Liu J., Liu Q. // Oncotarget. 2017. V. 8. P. 18359–18372. https://doi.org/10.18632%2Foncotarget.15443
- Wang A., Li X., Wu H., Zou F., Yan X.-E., Chen C., Hu C., Yu K., Wang W., Zhao P., Wu J., Qi Z., Wang W., Wang B., Wang L., Ren T., Zhang S., Yun C.-H., Liu J., Liu Q. // J. Med. Chem. 2017. V. 60. P. 2944– 2962. https://doi.org/10.1021/acs.jmedchem.6b01907
- Cha M.-Y., Kang S.-J., Kim M.-R., Lee J.-Y., Jeon J.-Y., Jo M.-G., Kwak E.-J., Lee K.-O., Ha T.-H., Suh K.-H., Kim M.-S. // Patent Application US20130116213A1, published 09.05.2013.
- Kim E. // Drugs. 2016. V. 76. P. 1153–1157. https://doi.org/10.1007/s40265-016-0606-z
- Park K., Jӓnne P., Kim D.-W., Han J.-Y., Wu M.-F., Lee J.-S., Kang J.-H., Lee D.H., Cho B.C., Yu C.-J., Pang Y.K., Felip E., Kim H., Baek E., Noh Y.S. // Cancer. 2021. V. 127. P. 1407–1416. https://doi.org/10.1002/cncr.33385
- Xiao Z., Zhou Z., Chu C., Zhang Q., Zhou L., Yang Z., Li X., Yu L., Zheng P., Xu S., Zhu W. // Eur. J. Med. Chem. 2020. V. 203. P. 112511. https://doi.org/10.1016/j.ejmech.2020.112511
- Xiao Z., Chu C., Zhou L., Zhou Z., Zhang Q., Yang F., Yang Z., Zheng P., Xu S., Zhu W. // Bioorg. Med. Chem. 2020. V. 28. P. 115669. https://doi.org/10.1016/j.bmc.2020.115669
- Zhao B., Zhao C., Hu X., Xu S., Lan Z., Guo Y., Yang Z., Zhu W., Zheng P. // Eur. J. Med. Chem. 2019. V. 185. P. 111809. https://doi.org/10.1016/j.ejmech.2019.111809
- Coumar M.S., Chu C.Y., Lin C.W., Shiao H.Y., Ho Y.L., Reddy R., Lin W.H., Chen C.H., Peng Y.H., Leou J.S., Lien T.W., Huang C.T., Fang M.Y., Wu S.H., Wu J.S., Chittimalla S.K., Song J.S., Hsu J.T., Wu S.Y., Liao C.C., Chao Y.S., Hsieh H.P. // J. Med. Chem. 2010. V. 53. P. 4980–4988. https://doi.org/10.1021/jm1000198
- Peng Y.-H., Shiao H.-Y., Tu C.-H., Liu P.-M., Hsu J., Amancha P.K., Wu J.-S., Coumar M.S., Chen C.-H., Wang S.-Y., Lin W.-H., Sun H.-Y., Chao Y.-S., Lyu P.-C., Hsieh H.-P., Wu S.-Y. // J. Med. Chem. 2013. V. 56. Р. 3889–3903. https://doi.org/10.1021/jm400072p
- Lin S.-Y., Hsu Y.C., Peng Y.-H., Ke Y.-Y., Lin W.-H., Sun H.-Y., Shiao H.-Y., Kuo F.-M., Chen P.-Y., Lien T.-W., Chen C.-H., Chu C.-Y., Wang S.-Y., Yeh K.-C., Chen C.-P., Hsu T.-A., Wu S.-Y., Yeh T.-K., Chen C.-T., Hsieh H.-P. // J. Med. Chem. 2019. V. 62. P. 10108− 10123. https://doi.org/10.1021/acs.jmedchem.9b00722
- Li M.-C., Coumar M., Lin S.-Y., Lin Y.-S., Huang G.-L., Chen C.-H., Lien T.-W., Wu Y.-W., Chen Y.-T., Chen C.-P., Huang Y.-C., Yeh K.-C., Yang C.-M., Kalita B., Pan S.-L., Hsu T.-A., Yeh T.-K., Chen C.-T., Hsieh H.-P. // J. Med. Chem. 2023. V. 66. P. 2566−2588. https://doi.org/10.1021/acs.jmedchem.2c01434
- Das D., Xie L., Wang J., Xu X., Zhang Z., Shi J., Le X., Hong J. // Bioorg. Med. Chem. Lett. 2018. V. 29. P. 591–596. https://doi.org/10.1016/j.bmcl.2018.12.056
- Das D., Hong, J. // Eur. J. Med. Chem. 2019. V. 170. P. 55–72. https://doi.org/10.1016/j.ejmech.2019.03.004
- Das D., Xie L., Wang J., Shi J., Hong J. // Bioorg. Chem. 2020. V. 99. P. 103790. https://doi.org/10.1016/j.bioorg.2020.103790
- Liu Z., Wang L., Feng M., Yi Y., Zhang W., Liu W., Li L., Liu Z., Li Y., Ma X. // Bioorg. Chem. 2018. V. 77. P. 593–599. https://doi.org/10.1016/j.bioorg.2018.01.035
- Xu T., Peng T., Ren X., Zhang L., Yu L., Luo J., Zhang Z., Tu Z., Tong L., Huang Z., Lu X., Geng M., Xie H., Ding J., Ding K. // MedChemComm. 2015. V. 6. P. 1693–1697. https://doi.org/10.1039/C5MD00208G
- Yu L., Huang M., Xu T., Tong L., Yan X., Zhang Z., Xu Y., Yun C., Xie H., Ding K., Lu X. // Eur. J. Med. Chem. 2017. V. 126. P. 1107–1117. https://doi.org/10.1016/j.ejmech.2016.12.006
- Zhang Z., Zou J., Yu L., Luo J., Li Y., Tu Z., Ren X., Wei H., Song L., Lu X., Ding K. // Cancer Med. 2018. V. 7. P. 1430–1439. https://doi.org/10.1002/cam4.1392
- Hao Y., Lyu J., Qu R., Tong Y., Sun D., Feng F., Tong L., Yang T., Zhao Z., Zhu L., Ding J., Xu Y., Xie H., Li H. // J. Med. Chem. 2018. V. 61. P. 5609–5622. https://doi.org/10.1021/acs.jmedchem.8b00346
- Hao Y., Wang X., Zhang T., Sun D., Tong Y., Xu Y., Chen H., Tong L., Zhu L., Zhao Z., Chen Z., Ding J., Xie H., Xu Y., Li H. // J. Med. Chem. 2016. V. 59. P. 7111–7124. https://doi.org/10.1021/acs.jmedchem.6b00403
- Hao Y., Lyu J., Qu R., Sun D., Zhao Z., Chen Z., Ding J., Xie H., Xu Y. Li H. // Sci. Rep. 2017. V. 7. P. 3830. https://doi.org/10.1038/s41598-017-04184-9
- Wurz R., Pettus L., Ashton K., Brown J., Chen J.J., Herberich B., Hong F.-T, Hu-Harrington E., Nguyen T., St. Jean, D., Jr., Tadesse S., Bauer D., Kubryk M., Zhan J., Cooke K., Mitchell P., Andrews K., Hsieh F., Hickman D., Kalyanaraman N., Wu T., Reid D., Lobenhofer E., Andrews D., Everds N., Guzman R., Parsons A., Hedley S., Tedrow J., Thiel O., Potter M., Radinsky R., Beltran P., Tasker A. // ACS Med. Chem. Lett. 2015. V. 6. P. 987–992. https://doi.org/10.1021/acsmedchemlett.5b00193
- Pawara R., Ahmad I., Nayak D., Wagh S., Wadkar A., Ansari A., Belamkar S., Surana S., Kundu C., Patil C., Patel H. // Bioorg. Chem. 2021. V. 115. P. 105234. https://doi.org/10.1016/j.bioorg.2021.105234
- Amaral D., Lategahn J., Fokoue H., Silva E., Sant’Anna C., Rauh D., Barreiro E., Laufer S., Lima L. // Sci. Rep. 2019. V. 9. P. 14. https://doi.org/10.1038/s41598-018-36846-7
- Zhang H., Wang J., Zhao H.-Y., Yang X.-Y., Lei H., Xin M., Cao Y.-X., Zhang S.-Q. // Bioorg. Med. Chem. 2018. V. 26. P. 3619–3633. https://doi.org/10.1016/j.bmc.2018.05.039
Supplementary files






























