Obtaining of active amino groups on a surface of a polyethylene terephthalate films and their quantitative evaluation
- Authors: Shtylev G.F.1, Shishkin I.Y.1, Lapa S.A.1, Shershov V.E.1, Barsky V.E.1, Polyakov S.A.1, Vasiliskov V.A.1, Zasedateleva O.A.1, Kuznetsova V.E.1, Chudinov A.V.1
-
Affiliations:
- Engelhardt Institute of Molecular Biology, Russian Academy of Sciences
- Issue: Vol 50, No 5 (2024)
- Pages: 665-671
- Section: ПИСЬМА РЕДАКТОРУ
- URL: https://ogarev-online.ru/0132-3423/article/view/272178
- DOI: https://doi.org/10.31857/S0132342324050092
- EDN: https://elibrary.ru/LQVIRS
- ID: 272178
Cite item
Full Text
Abstract
A method has been developed for obtaining active amino groups on the surface of a polyethylene terephthalate (PET) substrate. A method has been developed to quantify the concentration and distribution of chemically accessible amino groups on the surface of a PET substrate using the cyanine dye Cy5 and digital fluorescence microscopy. Amino groups can be used for further chemical modification of the PET surface, grafting of various functional groups and covalent binding with biomolecules, which opens up prospects for widespread use of inexpensive PET as functional substrates in biochips, biosensors, “laboratory-on-a-chip” devices and other biotechnological applications.
Full Text
ВВЕДЕНИЕ
При исследовании белков и нуклеиновых кислот широко используют анализ по связыванию анализируемых компонентов биологических образцов с молекулярными зондами, закрепленными на поверхности твердых подложек. Анализ по связыванию используют в иммунологических исследованиях в формате микротитровальных планшетов [1], индикаторных тестах на беременность [2], иммунохроматографических полосках (стрипах) [3], олигонуклеотидных и белковых биологических микрочипах [4–7]. В методе биочипов набор олигонуклеотидных или белковых зондов иммобилизуют на подложке в микроячейках по определенным координатам, а затем исследуют одновременное связывание анализируемого образца с набором иммобилизованных зондов. С использованием этого принципа реализован вариант многопараметрического мультиплексного гибридизационного анализа ДНК [4, 5].
В качестве подложек используют стекло, кварц, кремний и силоксаны. Для них отработаны методы активации поверхности и прививки функциональных групп с использованием различных производных силана [4, 8–10]. В анализах по связыванию, наряду с кремнийсодержащими подложками, используют подложки из синтетических полимеров, для которых доступны методы активации поверхности и прививки реактивных химических групп. Нашли применение подложки из полиметилметакрилата, поверхность которых достаточно легко активируется в реакциях гидролиза, восстановления, аминирования [11]. Значительный интерес представляют подложки из тонкого полиэтилентерефталата (ПЭТ) [12–14]. ПЭТ биосовместим, прозрачен в видимом и ближнем ИК-свете. Благодаря высокой термостойкости на тонких подложках из ПЭТ возможно выполнение анализов не только при окружающей температуре, но и при температурах до 100°С, что важно для ПЦР. Наличие сложноэфирных групп в составе ПЭТ позволяет изменять химические свойства поверхности без затрагивания полимерного массива.
Иммобилизация зондов на поверхности подложки позволяет получать двумерные ячейки с ограниченной концентрацией зондов, приходящихся на единицу поверхности, и снижает их пространственную доступность для взаимодействия с анализируемыми ДНК. Иммобилизация зондов в трехмерной сетке гидрогелевых ячеек позволяет увеличить их концентрацию. В гидрогелевых ячейках, закрепленных на стеклянных подложках, реализованы варианты гибридизационного анализа нуклеиновых кислот [4, 5], а также некоторые подходы для проведения ПЦР на чипе [15, 16].
Перекрестно-сшитая трехмерная сетка ограничивает пространственную доступность иммобилизованных зондов и затрудняет диффузию компонентов анализируемых проб, что увеличивает время анализа [17]. Для преодоления пространственных и диффузионных препятствий предложено использовать ячейки из перекрестно-сшитой крупнопористой агарозы с праймерами, иммобилизованными на линкерах, которые расщепляются в ходе термоциклической ПЦР [18].
Другое решение для иммобилизации зондов – использование ячеек из щеточных полимеров [19]. Щеточные полимеры закреплены на подложке только одним концом, без образования перекрестно-сшитой сетки, а реактивные химические группы на полимерных цепях используют для иммобилизации зондов [20]. Непосредственное получение щеточных полимеров на поверхности ПЭТ затруднительно, ПЭТ не фотоактивен. В работе Мифтахова с соавт. [21] подложки из ПЭТ покрывали тонким слоем фотоактивного циклоолефинсополимера с высокой адгезией к ПЭТ. На подложках методом фотолитографии получали ячейки из щеточных сополимеров акриловой кислоты и акриламида. Множественные карбоксильные группы на полимерных цепях использовали для иммобилизации зондов.
Свойства ячеек из щеточных полимеров, предназначенных для анализа макромолекул, должны регулироваться в процессе получения ячеек. Радикальная полимеризации “от поверхности” с фотоинициаторами, находящимися в растворе, затрудняет такое регулирование [20]. Молекулы фотоинициаторов радикальной полимеризации должны быть иммобилизованы на поверхности подложки, и их поверхностная концентрация должна регулироваться [22].
Контролируемый аминолиз поверхности ПЭТ диаминами в мягких условиях позволяет получать аминогруппы [23], которые могут использоваться для иммобилизации фотоинициаторов. В работе Avny et al. [24] для контроля аминогрупп на поверхности ПЭТ использовали “кислотный фукцин”, который связывается с аминогруппами с образованием солей. Связавшийся краситель затем десорбировали, и его количество определяли спектрофотометрически. В работе Bech et al. [25] для этих целей использовали пикриновую кислоту. Поверхность ПЭТ в значительной мере гидpофобна и физически сорбирует полиароматический краситель. Поэтому количество красителя, связавшегося с поверхностью, зависит не только от концентрации аминогрупп, но и от условий сорбции отмывки и десорбции. При этом важна не общая концентрация аминогрупп на поверхности, а концентрация доступных аминогрупп, способных к ковалентному связыванию с образованием амидных связей.
Цель данного исследования – разработка метода аминолиза поверхности ПЭТ-подложки и контроля химически доступных аминогрупп по связыванию с красителем Cy5 с флуоресцентной регистрацией результатов.
РЕЗУЛЬТАТЫ И ОБСУЖДЕНИЕ
В данной работе подложки из пленочного ПЭТ обрабатывали растворами этилендиамина (ЭДА). В мягких условиях происходит разрыв части сложноэфирных групп, находящихся на поверхности. Одна из аминогрупп этилендиамина присоединяется к фрагменту терефталевой кислоты, который связан с полимерной цепью, входящей в состав полимерного массива, а вторая аминогруппа остается свободной. Получали подложку с аминированной поверхностью, ПЭT-NH2 (рис. 1).
Рис. 1. Схема химической модификации поверхности ПЭТ-пленки.
Количеcтвенный анализ концентpации доступных аминогpупп на повеpxноcти ПЭТ-NH2 проводили после ковалентного связывания с флуоресцентным цианиновым красителем Cy5 и регистрации флуоресцентных сигналов методом цифровой флуоресцентной микроскопии. Для этого аминированную пленку ПЭТ-NH2 обрабатывали активированным производным красителя, пара-нитрофениловым эфиром Cy5-pNP, в диметилсульфоксиде. Подложку тщательно отмывали от не связавшегося с пленкой красителя. Ковалентная cвязь кpаcителя Cy5 с аминогpуппами, полученными на повеpxноcти ПЭТ-пленки, обеcпечивает пpочное cвязывание и возможноcть иcчеpпывающей отмывки от неcвязавшегоcя кpаcителя, что увеличивает доcтовеpноcть и воcпpоизводимоcть pезультатов. Получили ПЭТ-подложку, у которой доступные аминогруппы маркированы флуоресцентным красителем, ПЭТ-Cy5 (рис. 1).
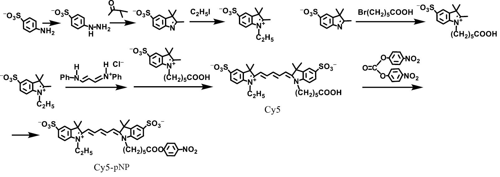
Краситель Cy5 и его активное производное, пара-нитрофениловый эфир, Cy5-pNP предварительно синтезировали по ранее отработанному методу [26]. Схема синтеза представлена на рис. 2.
Рис. 2. Схема синтеза флуоресцентного красителя Cy5 и активированного производного пара-нитрофенилового эфира красителя Cy5-pNP.
Для количественной оценки концентрации молекул красителя, связавшихся с поверхностью подложки, был изготовлен калибровочный чип с ячейками, содержащими тот же самый краситель Cy5 с пошаговой убывающей концентрацией молекул красителя на единицу поверхности. Измерения интенсивности флуоресценции подложек c ячейками, содержащими известную концентрацию красителя на единицу поверхности, показали, что флуоресцентному сигналу в одну относительную единицу (отн. ед.) при выдержке 100 мс соответствует концентрация Су5 8.44 ×10–4 пмоль/см2.
В табл. 1 представлены вычисленные значения концентрации аминогрупп на поверхности ПЭТ, полученные реакцией с этилендиамином в различных условиях и последующем связывании с флуоресцентным красителем Су5. Приведены усредненные значения при тpеx повтоpах.
Таблица 1. Результаты обработки поверхности ПЭТ растворами этилендиамина (ЭДА)
Реагенты | Концентрация ЭДА, % | Время, мин | Концентрация NH2-групп, пмоль/см2 |
ЭДА/этанол | 10 | 15 | 0.67 |
30 | 0.78 | ||
60 | 1.01 | ||
120 | 1.39 | ||
240 | 5.49 | ||
ЭДА/вода | 10 | 15 | 0.55 |
30 | 0.59 | ||
60 | 0.70 | ||
120 | 0.89 | ||
240 | 1.69 | ||
480 | 4.90 | ||
ЭДА/вода | 25 | 60 | 1.35 |
120 | 1.71 | ||
240 | 7.43 | ||
ЭДА/этанол | 50 | 15 | 1.86 |
30 | 10.04 | ||
60 | 23.13 | ||
ЭДА/вода | 50 | 15 | 1.10 |
30 | 1.77 | ||
60 | 3.33 | ||
120 | 4.30 |
Пpимечание: концентрация ЭДА приведена в процентах (v/v), температура аминирования 70°С.
Как видно из данных табл. 1, с ростом концентрации этилендиамина концентрация аминогрупп на поверхности возрастает, при этом в спиртовых растворах концентрация аминогрупп выше, чем в водных растворах. Однако при достижении концентрации NH2-групп ~8 пмоль/см2 начинают наблюдаться следы деградации поверхности ПЭТ-подложки, наблюдаемой визуально в виде помутнения первоначально гладкой и блестящей поверхности.
Оптимальные условия для получения аминогрупп на поверхности ПЭТ-подложки наблюдались для 10%-ной объемной концентрации этилендиамина в водном растворе и времени реакции до 8 ч, а в спиртовом растворе – до 4 ч. В этих условиях, при визуальном контроле, повеpхноcть ПЭТ-подложки оcтаетcя гладкой и блестящей, без видимыx повpеждений.
На рис. 3 представлена микрофотография ПЭТ-подложки в свете флуоресценции красителя Cy5 после аминирования 10%-ным водным раствором этилендиамина в течение 8 ч при 70°С и связывания аминогрупп с флуоресцентным красителем Cy5-pNP. Показан график распределения сигналов вдоль проведенной линии на флуоресцентном изображении подложки.
Рис. 3. Микрофотография ПЭТ-подложки в свете флуоресценции красителя Cy5 после аминирования 10%-ным водным раствором этилендиамина в течение 8 ч при 70°С и связывания аминогрупп с флуоресцентным красителем Cy5-pNP. Показан график распределения сигналов вдоль проведенной линии на флуоресцентном изображении.
Как следует из данных, представленных на рис. 3, аминогруппы на поверхности распределяются неравномерно, что, видимо, связано с наличием аморфных и кристаллических участков на поверхности ПЭТ-подложки. При получении ячеек со щеточными полимерами будет наблюдаться химическая неоднородность по площади ячеек. Для нивелирования неоднородности химических свойств подложки под ячейкой следует увеличивать площадь ячейки, чтобы под ячейкой оказывалось несколько разнородных микроучастков. Для чипов повышенной плотности с супермелкими ячейками нужны подложки с химически более однородной поверхностью, например, кристаллический кремний.
Флуоресцентные сигналы вдоль проведенной линии колеблются в диапазоне 5900–7900 отн. ед., что после вычислений с вычетом фонового сигнала соответствует концентрации аминогрупп 4.1– 5.7 пмоль/см2 при среднем значении 4.9 пмоль/см2. На выдержке 100 мс фоновый сигнал составляет 1100 отн. ед., он суммируется из темнового сигнала видеокамеры 1000 отн. ед., собственной флуоресценции ПЭТ 50 отн. ед. и флуоресценции сорбировавшихся к подложке молекул красителя 50 отн. ед. Разница концентрации аминогрупп на поверхности значительная. При получении ячеек со щеточными полимерами будет наблюдаться неоднородность концентрации щеточных полимеров в ячейках в зависимости от положения ячеек на поверхности подложки. Соответственно, будет наблюдаться неоднородность концентрации иммобилизованных зондов в разных ячейках на одной подложке. Для нивелирования влияния неоднородности иммобилизации зондов от ячейки к ячейке следует зонды дополнительно маркировать спектрально независимыми красителями, и сигналы, полученные от индикаторной флуоресцентной метки, нормировать на количество иммобилизованного зонда в ячейке: для сэндвич-иммуноанализа это нормировка сигнала индикаторной метки на проявляющих антителах на сигнал от метки на первичных захватывающих антителах, для ПЦР на чипе – нормировка сигналов от встроенных маркированных нуклеотидов на сигнал от иммобилизованных в ячейках праймеров.
Из вычислений следует, что при поверхностной концентрации аминогрупп 5 пмоль/см2 расстояние между аминогруппами на поверхности будет ~6 нм. При иммобилизации через аминогруппы фотоинициаторов радикальной полимеризации и последующем получении цепей полимеров методом радикальной полимеризации “от поверхности” расстояние между полимерными цепями будет ~6 нм, что находится в диапазоне предпочтительных значений с тенденцией в сторону увеличения расстояний между аминогруппами. Размер молекул иммуноглобулинов составляет ~10 нм. Для получения небольших концентраций аминогрупп на поверхности ПЭТ лучше подходит 10%-ный водный раствор этилендиамина, реакция идет медленно, легче регулировать концентрацию аминогрупп.
ЭКСПЕРИМЕНТАЛЬНАЯ ЧАСТЬ
Материалы и реагенты. Использовали подложки из пленочного полиэтилентерефталата (ПЭТ) толщиной 125 мкм (ГОСТ 24234-80, плотность 1.39 г/см3, молекулярная масса 20–40 кДа) и размером 25 × 75 мм. Для удаления возможных загрязнений с поверхности подложки промывали 2%-ным раствором моющего средства (Roth Ultrasonol 7 Neutral, Art. No 5356.1) в дистиллированной воде в ультразвуковой бане (Elmasonic S 30, Elma, Германия) в течение 10 мин, промывали струей деионизированной воды, далее обрабатывали ацетоном в ультразвуковой бане в течение 30 мин и высушивали при 60°С в течение 1 ч на открытом воздухе. Использовали 96%-ный этанол марки х.ч., этилендиамин 99.5% (Fluka, Германия; Art. No 03550).
Синтез активного флуоресцентного красителя Cy5-pNP. Краситель Cy5 и активное производное, пара-нитрофениловый эфир красителя Cy5-pNP, синтезировали по методу Spitsyn et al. [26]. Схема синтеза представлена на рис. 1.
Аминирование поверхности ПЭТ-подложки. Аминирование пленочных ПЭТ-подложек размером 25 × 75 мм проводили в закрытой пробирке из полипропилена, содержащей 40 мл раствора этилендиамина. Пробирки закрывали и помещали в термостат при 70°С на заданное время. Затем подложки доставали, промывали струей деионизированной воды, сушили в течение 1 ч на открытом воздухе, а затем сушили в вакуум-эксикаторе (Медлабстекло, Россия) над Р2О5 в течение 16 ч. Хранили в эксикаторе над свежим Р2О5.
Флуоресцентное маркирование аминогрупп на ПЭТ-подложке. На подложке формировали разборную камеру объемом 30 мкл, площадь подложки в камере 50 мм2. В камеру вносили 30 мкл раствора активированного красителя Cy5-pNP с концентрацией 1 нмоль/мкл и диизопропилэтиламина (DIPEA) с концентрацией 60 нмоль/мкл в диметилсульфоксиде, инкубировали при комнатной температуре в течение 16 ч. После окончания реакции раствор удаляли, камеру разбирали, подложки промывали струей деионизированной воды.
Для удаления красителя, не связавшегося с пленкой, ее тщательно отмывали. Для этого пленку помещали в закрытую пробирку из полипропилена с 40 мл 50%-ного раствора ацетонитрила в 50 мм триэтиламмонийгидрокарбонате (рН 7.5), выдерживали на ультразвуковой бане 20 мин. Процедуру повторяли 3 раза со сменой растворителя. Затем промывали струей деионизированной воды, после чего сушили при комнатной температуре в течение 1 ч на открытом воздухе. Ковалентная связь красителя Сy5 с аминогруппами, полученными на поверхности ПЭТ-пленки, обеспечивает прочное связывание и возможность исчерпывающей отмывки от несвязавшегося красителя.
Флуоресцентные сигналы. Для измерения флуоресцентных сигналов использовали метод цифровой флуоресцентной микроскопии с регистрацией интенсивности сигналов флуоресценции в свете флуоресценции красителя Cy5 [27]. Флуоpеcцентные cигналы на пленке pегиcтpиpовали на поpтативном анализатоpе (ООО “БИОЧИП-ИМБ”, Pоccия) с лазерным возбуждением при 650 нм, запирающим фильтром 716 ± 43 нм (Semrock, США) и цифровой ПЗС-камерой. Изображение анализиpовали c помощью пpогpаммы ImaGeWare (ООО “БИОЧИП-ИМБ”, Pоccия) [27, 28]. В спектральном диапазоне флуоресценции красителя Cy5 полимерная подложка из ПЭТ-пленки практически не флуоресцирует и не влияет на регистрируемые сигналы.
ЗАКЛЮЧЕНИЕ
В данном исследовании были разработаны следующие методы: 1) метод получения активных аминогрупп на поверхности ПЭТ-подложки; 2) метод количественной оценки концентрации химически доступных аминогрупп на поверхности ПЭТ-подложки с использованием индодикарбоцианинового красителя Cy5 и цифровой флуоресцентной микроскопии; 3) метод количественной оценки распределения химически доступных аминогрупп на поверхности ПЭТ-подложки с использованием математической программы анализа интенсивностей флуоресцентных сигналов.
Предложенный метод контроля химически доступных аминогрупп на поверхности аминированной ПЭТ-пленки может быть использован применительно к аминированным поверхностям других материалов.
Разработанные методы могут найти применение в разработке технологии параллельного множественного экспресс-микроанализа нуклеиновых кислот “лаборатория на чипе” для выявления соматических и инфекционных заболеваний человека.
БЛАГОДАРНОСТИ
Авторы выражают благодарность Р.А. Юрасову за помощь при использовании компьютерной программы ImaGeWare (ООО “БИОЧИП-ИМБ”, Pоccия).
ФОНДОВАЯ ПОДДЕРЖКА
Работа выполнена при финансовой поддержке Российского научного фонда (проект № 22-14-00257).
СОБЛЮДЕНИЕ ЭТИЧЕСКИХ СТАНДАРТОВ
Настоящая статья не содержит описания каких-либо исследований с участием людей и использованием животных в качестве объектов исследований.
КОНФЛИКТ ИНТЕРЕСОВ
Авторы заявляют об отсутствии конфликта интересов.
About the authors
G. F. Shtylev
Engelhardt Institute of Molecular Biology, Russian Academy of Sciences
Email: chud@eimb.ru
Russian Federation, ul. Vavilova 32, Moscow, 119991
I. Y. Shishkin
Engelhardt Institute of Molecular Biology, Russian Academy of Sciences
Email: chud@eimb.ru
Russian Federation, ul. Vavilova 32, Moscow, 119991
S. A. Lapa
Engelhardt Institute of Molecular Biology, Russian Academy of Sciences
Email: chud@eimb.ru
Russian Federation, ul. Vavilova 32, Moscow, 119991
V. E. Shershov
Engelhardt Institute of Molecular Biology, Russian Academy of Sciences
Email: chud@eimb.ru
Russian Federation, ul. Vavilova 32, Moscow, 119991
V. E. Barsky
Engelhardt Institute of Molecular Biology, Russian Academy of Sciences
Email: chud@eimb.ru
Russian Federation, ul. Vavilova 32, Moscow, 119991
S. A. Polyakov
Engelhardt Institute of Molecular Biology, Russian Academy of Sciences
Email: chud@eimb.ru
Russian Federation, ul. Vavilova 32, Moscow, 119991
V. A. Vasiliskov
Engelhardt Institute of Molecular Biology, Russian Academy of Sciences
Email: chud@eimb.ru
Russian Federation, ul. Vavilova 32, Moscow, 119991
O. A. Zasedateleva
Engelhardt Institute of Molecular Biology, Russian Academy of Sciences
Email: chud@eimb.ru
Russian Federation, ul. Vavilova 32, Moscow, 119991
V. E. Kuznetsova
Engelhardt Institute of Molecular Biology, Russian Academy of Sciences
Email: chud@eimb.ru
Russian Federation, ul. Vavilova 32, Moscow, 119991
A. V. Chudinov
Engelhardt Institute of Molecular Biology, Russian Academy of Sciences
Author for correspondence.
Email: chud@eimb.ru
Russian Federation, ul. Vavilova 32, Moscow, 119991
References
- Ahsan H. // Comp. Clin. Pathol. 2022. V. 31. P. 333– 345. https://doi.org/10.1007/s00580-021-03302-4
- Gnoth C., Johnson S. // Geburtshilfe Frauenheilkd. 2014. V. 74. P. 661–669. https://doi.org/10.1055/s-0034-1368589
- Mao X., Wang W., Du T.-E. // Sensors and Actuators B: Chemical. 2013. V. 186. P. 315320. https://doi.org/10.1016/j.snb.2013.05.083
- Rubina A.Yu., Pan’kov S.V., Dementieva E.I., Pen’kov D.N., Butygin A.V., Vasiliskov V.A., Chudinov A.V., Mikheikin A.L., Mikhailovich V.M., Mirzabekov A.D. // Anal. Biochem. 2004. V. 325. P. 92–106. https://doi.org/10.1016/j.ab.2003.10.010
- Gryadunov D., Dementieva E., Mikhailovich V., Nasedkina T., Rubina A., Savvateeva E., Fesenko E., Chudinov A., Zimenkov D., Kolchinsky A., Zasedatelev A. // Exp. Rev. Mol. Diagn. 2011. V. 11. P. 839–853. https://doi.org/10.1586/ERM.11.73
- Miller M.B., Tang Y.W. // Clin. Microbiol. 2009. V. 22. P. 611–633. https://doi.org/10.1128/CMR.00019-09
- Zhu H., Qian J. // Adv. Genet. 2012. V. 79. P. 123–155.
- Rother D., Sen T., East D., Bruce I.J. // Nanomedicine. 2011. V. 6. P. 281–300. https://doi.org/10.2217/nnm.10.159
- Akkoyun A., Bilitewski U. // Biosensors and Bioelectronics. 2002. V. 17. P. 655–664. https://doi.org/10.1016/S0956-5663(02)00029-5
- Tu Q., Wang J.-C., Zhang Y., Liu R., Liu W., Ren L., Shen S., Xu J., Zhao L., Wang J. // Rev. Anal. Chem. 2012. V. 31. P. 177–192. https://doi.org/10.1515/revac-2012-0016
- Hosseini S., Ibrahim F., Djordjevic I., Koolea L.H. // Analyst. 2014. V. 139. P. 2933–2943. https://doi.org/10.1039/c3an01789c
- Dimitrievska S., Maire M., Diaz-Quijada G.A., Robitaille L., Ajji A., Yahia L., Moreno M., Merhi Y., Rureau M. // Macromol. Biosci. 2011. V. 11. P. 493–502. https://doi.org/10.1002/mabi.201000390
- Miftakhov R.A., Lapa S.A., Shershov V.E., Zasedateleva O.A., Guseinov T.O., Spitsyn M.A., Kuznetsova V.E., Mamaev D.D., Lysov Yu.P., Barsky V.E., Timofeev E.N., Zasedatelev A.S., Chudinov A.V. // Biophysics. 2018. V. 63. P. 512–518. https://doi.org/10.1134/S0006350918040127
- Miftakhov R.A., Lapa S.A., Kuznetsova V.E., Zolotov A.M., Vasiliskov V.A., Shershov V.E., Surzhikov S.A., Zasedatelev A.S., Chudinov A.V. // Russ. J. Bioorg. Chem. 2021. V. 47. Р. 1345–1347. https://doi.org/10.1134/S1068162021060182
- Lapa S.A., Klochikhina E.S., Miftakhov R.A., Zasedatelev A.S., Chudinov A.V. // Russ. J. Bioorg. Chem. 2021. V. 47. P. 1122–1125. https://doi.org/10.1134/S1068162021050290
- Лапа С.А., Мифтахов Р.А., Клочихина Е.С., Аммур Ю.И., Благодатских С.А., Шершовa В.Е., Заседателев А.С., Чудинов А.В. // Мол. биология. 2021. Т. 55. С. 944–955. https://doi.org/10.1134/S0026893321040063
- Zubtsov D.A., Savvateeva E.N., Rubina A.Yu., Pan’kov S.V., Konovalova E.V., Moiseeva O.V., Chechetkin V.R., Zasedatelev A.S. // Anal. Biochem. 2007. V. 368. P. 205–213. https://doi.org/10.1016/j.ab.2007.04.040
- Zolotov A.M., Miftakhov R.A., Ikonnikova A.Y., Lapa S.A., Kuznetsova V.E., Vasiliskov V.A., Shershov V.E., Zasedatelev A.S., Nasedkina T.V., Chudinov A.V. // Russ. J. Bioorg. Chem. 2022. V. 48. Р. 858–863. https://doi.org/10.1134/S1068162022040203
- Rendl M., Bönisch A., Mader A., Schuh K., Prucker O., Brandstetter T., Rühe J. // Langmuir. 2011. V. 27. P. 6116–6123. https://doi.org/10.1021/la1050833
- Ma Y., Liu L., Yang W. // Polymer. 2011. V. 52. P. 4159– 4173. https://doi.org/10.1016/j.polymer.2011.07.027
- Miftakhov R.A., Ikonnikova A.Yu., Vasiliskov V.A., Lapa S.A., Levashova A.I., Kuznetsova V.E., Shershov V.E., Zasedatelev A.S., Nasedkina T.V., Chudinov A.V. // Russ. J. Bioorg. Chem. 2023. V. 49. P. 1143–1150. https://doi.org/10.1134/S1068162023050217
- Mueller M., Bandl C., Kern W. // Polumers. 2022. V. 14. P. 608. https://doi.org/10.3390/ polym14030608
- Bui L.N., Thompson M., McKeown N.B., Romaschin A.D., Kalman P.G. // Analyst. 1993. V. 118. P. 463–474.
- Avny Y., Rebenfeld L. // J. Appl. Polymer Sci. 1986. V. 32. P. 4009–4025.
- Bech L., Meylheuc T., Lepoittevin B., Roger P. // J. Polymer Science. Part A: Polymer Chem. 2007. V. 45. P. 2172–2183. https://doi.org/10.1002/pola.21983
- Spitsyn M.A., Kuznetsova V.E., Shershov V.E., Emelyanova M.A., Guseinov T.O., Lapa S.A., Nasedkina T.V., Zasedatelev A.S., Chudinov A.V. // Dyes and Pigments. 2017. V. 147. P. 199–210. https://doi.org/10.1016/j.dyepig.2017.07.052
- Lysov Y., Barsky V., Urasov D., Urasov R., Cherepanov A., Mamaev D., Yegorov Y., Chudinov A., Surzhikov S., Rubina A., Smoldovskaya O., Zasedatelev A. // Biomed. Optics Express. 2017. V. 8. P. 4798–4810. https://doi.org/10.1364/BOE.8.004798
- Barsky V., Perov A., Tokalov S., Chudinov A., Kreindlin E., Sharonov A., Kotova E., Mirzabekov A. // J. Biomol. Screening. 2002. V. 7. P. 247–257. https://doi.org/10.1177/108705710200700308
Supplementary files





