The approach to the preparation of cyclic photocleavable RNA for photoactivatable CRISPR/Cas9 System
- Authors: Ivanskaya E.V.1,2, Meschaninova M.I.1, Vorobyeva M.A.1, Zharkov D.O.1,2, Novopashina D.S.1,2
-
Affiliations:
- Intitute of Chemical Biology and Funamental Medicine SB RAS
- Novosibirsk State University
- Issue: Vol 50, No 5 (2024)
- Pages: 622-635
- Section: Articles
- URL: https://ogarev-online.ru/0132-3423/article/view/272171
- DOI: https://doi.org/10.31857/S0132342324050051
- EDN: https://elibrary.ru/LRJNBW
- ID: 272171
Cite item
Full Text
Abstract
The development of controllable gene editing systems on the base of CRISPR/Cas is an actually problem of modern molecular biology and genetic enginery. Interesting variant of solution of this problem is modification of guide RNA by introduction of photocleavable linkers. We developed the approach to the synthesis of cyclic photocleavable guide crRNA for the CRISPR/Cas9 system with photolinker on the base of 1-(2-nitrophenyl)-1,2-ethanediol (PL). Upon irradiation by UV-light these guide RNA are linearized and CRISPR/Cas9 system is activated. Two chemical methods to the cyclization of RNA were tested: Michael reaction (thiol-maleimide condensation) and Cu-catalyzed azide-alkyne cycloaddition (CuAAC, click-chemistry reaction). For this purpose 5',3'-modified RNA containing reactive groups were prepared. The advantages of CuAAC reaction for cyclic RNA preparation was demonstrated. Effectivity of cyclic RNAs is depends from their secondary structure and ability of reactive groups to draw together. Series of photocleavable and control non-cleavable cyclic crRNA were obtained. It was shown that cyclic crRNAs guide nuclease Cas9 for plasmid cleavage less effective but linearization of photocleavable cyclic crRNA increases extent of plasmid cleavage. Developed approach permits prepare cyclic photocleavable RNA including spatiotemporal activation of guide RNA for gene editing. Photoregulation of gene editing will permit to lower the off-target effects and to carry out the editing more targeting.
Full Text
ВВЕДЕНИЕ
Система CRISPR/Cas9 за последние годы превратилась в мощный инструмент для редактирования генов in vivo [1–3]. Эффекторные комплексы нуклеазы Cas9 с единой направляющей РНК (sgРНК) или парой CRISPR-РНК и транс-активирующей CRISPR-РНК (сrРНК/tracrРНК) вносят двуцепочечные разрывы в определенные последовательности ДНК. Разработка подходов к контролируемому редактированию генов, в частности к контролируемому включению и выключению системы CRISPR/Cas9, входит в число самых актуальных задач синтетической биологии и биоорганической химии [4].
Введение фотоактивируемых структур в состав олигонуклеотидных конструкций дает возможность контроля их активности [5, 6]. Развитие химического синтеза модифицированных фоточувствительными группами олигонуклеотидов стимулировало создание и интенсивное изучение молекулярно-биологических систем с использованием так называемых фотоблокированных (caged, photocaged) конструкций, которые могут быть активированы путем облучения светом [7–10].
Цель данной работы заключалась в получении циклических (замкнутых) направляющих РНК для системы CRISPR/Cas9, содержащих фоторасщепляемый линкер. Такие направляющие РНК должны быть неактивны вплоть до облучения, а в результате облучения расщепление фотолинкера должно вызывать переход направляющей РНК в линейную форму и активацию системы геномного редактирования (рис. 1).
Рис. 1. Предлагаемая в работе стратегия функционирования фоторегулируемой системы CRISPR/Cas9 с использованием циклических фотоблокированных crРНК. РАМ – мотив, прилегающий к протоспейсеру (protospacer adjacent motif).
РЕЗУЛЬТАТЫ И ОБСУЖДЕНИЕ
В настоящее время в литературе описаны как химические, так и ферментативные подходы к получению циклических (замкнутых) нуклеиновых кислот (НК) [11, 12], возможно также применение комбинированных химико-ферментативных подходов. Для ферментативной циклизации часто используют реакции лигирования [13] или сплайсинга с применением каталитически активных интронов группы I [14]. Однако такие ферментативные методы дорогостоящи и неприменимы для крупномасштабного синтеза кольцевых НК. Химические методы используют в основном для синтеза малых и средних циклических НК (до 80 нт). Для получения циклических нуклеиновых кислот химическими методами применяют медь-катализируемое азид-алкиновое циклоприсоединение (CuAAC, метод “клик”-химии) [3, 15, 16], в том числе стимулируемое напряжением цикла (strain-promoted azide-alkyne cycloaddition) [17], тиол-малеимидную конденсацию (реакция Михаэля) [18], реакцию взаимодействия галогенов с тиольными группировками [19–21] и другие методы [11, 22].
Для осуществления циклизации олигонуклеотидов нами были выбраны два метода химического лигирования: тиол-малеимидная конденсация и медь-катализируемое азид-алкиновое циклоприсоединение (CuAAC).
Получение исходных 3′,5′-модифицированных олигорибонуклеотидов для циклизации. На первом этапе проводили синтез серий crРНК длиной 42, 46 и 48 нт, содержащих 20-звенный фрагмент, комплементарный протоспейсеру в ДНК-мишени. Дизайн crРНК длиной 46 и 48 нт был осуществлен путем удлинения исходной последовательности crРНК с добавлением, соответственно, 4 и 6 дополнительных нуклеотидов на 3′-конец для формирования внутримолекулярной шпильки. Для химического лигирования концов РНК методом CuAAC необходимо было получить РНК, содержащие алкиновую и азидную группы на противоположных концах олигонуклеотидной цепи.
Введение алкиновой группы на 3′-конец олигорибонуклеотида во время твердофазного синтеза осуществляли с использованием специального полимерного носителя. На последней стадии твердофазного синтеза на 5′-конец олигонуклеотида вводили аминогексанольный линкер. После деблокирования получали линейные олигорибонуклеотиды с алкиновыми группами на 3′-конце и аминолинкером на 5′-конце для последующего введения азидной группы (табл. 1).
Таблица 1. Последовательности модифицированных crРНК, использованных в работе
Шифр РНК* | Последовательность (5′→3′) |
С-42 | 5′-NH2-(CH2)6-AUAACUCAAUUUGUAAAAAAGUUUUAGAGCUAUGCUGUUUUG-3′-Alkyne |
С-46 | 5′-NH2-(CH2)6-AUAACUCAAUUUGUAAAAAAGUUUUAGAGCUAUGCUGUUUUGUUAU3′-Alkyne |
С-48 | 5′-NH2-(CH2)6-AUAACUCAAUUUGUAAAAAAGUUUUAGAGCUAUGCUGUUUUGAGUUAU3′-Alkyne |
С-42-P1 | 5′-NH2-(CH2)6-PL-AUAACUCAAUUUGUAAAAAAGUUUUAGAGCUAUGCUGUUUUG-3′-Alkyne |
С-46-P1 | 5′-NH2-(CH2)6-PL-AUAACUCAAUUUGUAAAAAAGUUUUAGAGCUAUGCUGUUUUGUUAU-3′-Alkyne |
С-46-P2 | 5′-NH2-(CH2)6-PL-AUAACUCAAUUUGUAAAAAAGUUUUAGAGCUAUGCUGUUUUG-PLUUAU-3′-Alkyne |
С-48-P1 | 5′-NH2-(CH2)6-PL-AUAACUCAAUUUGUAAAAAAGUUUUAGAGCUAUGCUGUUUUGAGUUAU-3′-Alkyne |
С-48-P2 | 5′-NH2-(CH2)6-PL-AUAACUCAAUUUGUAAAAAAGUUUUAGAGCUAUGCUGUUUUG-PL-AGUUAU-3′-Alkyne |
С-42-SS-NH2 | 5′-NH2-(CH2)2-S-S-(CH2)2-NH-PL-AUAACUCAAUUUGUAAAAAAGUUUUAGAGCUAUGCUGUUUUG-(CH2)6NH2-3′ |
crРНК (контроль) | 5′-AUAACUCAAUUUGUAAAAAAGUUUUAGAGCUAUGCUGUUUUG-3′ |
tracrРНК | 5′-AACAGCAUAGCAAGUUAAAAUAAGGCUAGUCCGUUAUCAACUUGAAAAAGUGGCACCGAGUCGGUGCUUUUUUU-3′ |
Примечание: PL – фоторасщепляемый линкер на основе 1-(2-нитрофенил)-1,2-этандиола; Alkyne – 3'-концевая модификация, содержащая алкиновую группировку (схема 1).
* Цифровые коды 42, 46 и 48 соответствуют числу нуклеотидов в олигонуклеотидной последовательности; P1 – один PL-линкер; Р2 – два PL-линкера в последовательности.
Для получения фотомодифицированных олигорибонуклеотидов в ходе твердофазного синтеза вводили один или два фоторасщепляемых линкера (PL) с использованием специально синтезированного амидофосфита на основе 1-(2-нитрофенил)-1,2-этандиола, полученного по аналогии с работами [23, 24]. Необходимо отметить, что введение второго фотолинкера в олигонуклеотиды длиной 46 и 48 нт между добавленными нуклеотидами и основной последовательностью crРНК дает возможность удалить введенные в crРНК дополнительные нуклеотиды с образованием исходной 42-звенной crРНК.
Введение азидогруппы на 5′-конец аминомодифицированных олигорибонуклеотидов проводили путем взаимодействия 5′-концевой аминогруппы с N-оксисукцинимидным эфиром азидбутановой кислоты (схема 1).
Схема 1. Введение азидогруппы на 5'-конец 3'-алкинмодифицированного олигорибонуклеотида.
Таким образом получили серию олигорибонуклеотидов, содержащих азидогруппу на 5′-конце и алкиновую группировку на 3′-конце. Во всех случаях реакция проходила количественно, и для циклизации на следующей стадии использовали 5′,3′-модифицированные олигорибонуклеотиды без предварительного выделения.
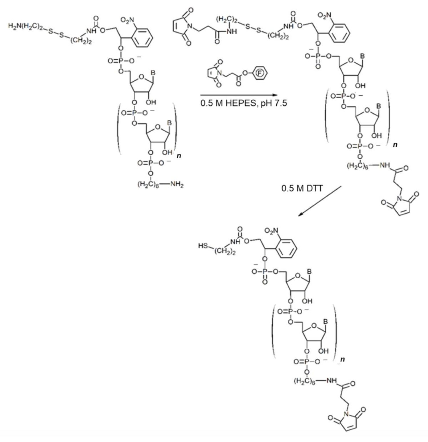
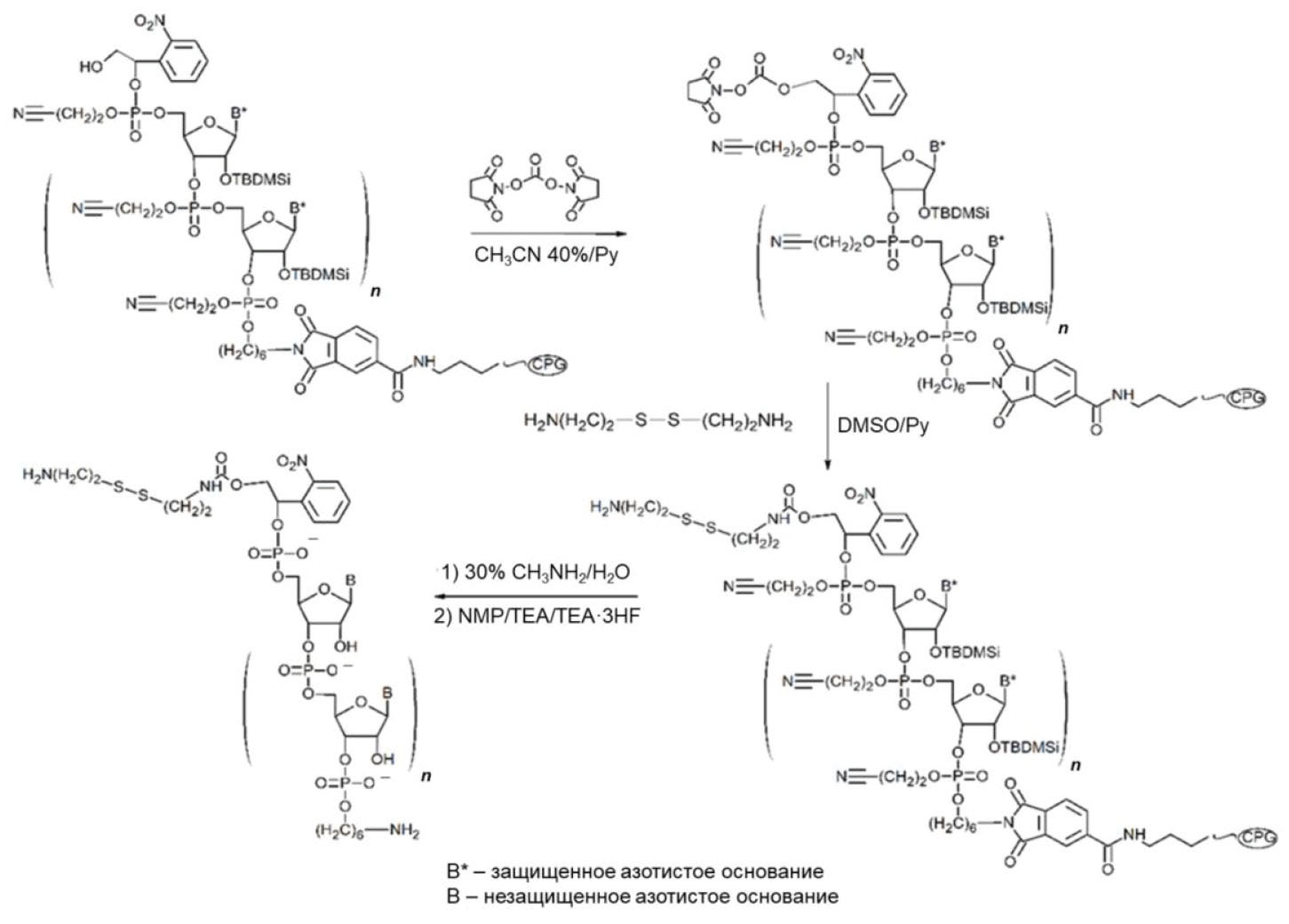
Для циклизации методом тиол-малеимидной конденсации были получены РНК, содержащие тиольную и малеимидную группы на 3′- и 5′-концах олигонуклеотидной цепи. Синтез таких РНК осуществляли, используя иммобилизованную на полимерном носителе 3′-аминомодифицированную, полностью защищенную РНК, которая содержала на 5′-конце фоторасщепляемый линкер и свободную гидроксильную группу. На первом этапе c использованием разработанного нами ранее подхода [25] вводили остаток цистамина на 5′-конец олигорибонуклеотида на твердой фазе путем активации гидроксильной группы N,N′-дисукцинимидилкарбонатом (ДСК) и последующего взаимодействия с аминогруппой цистамина (схема 2). В качестве основания в ходе реакции использовали пиридин. После проведения реакции носитель промывали и проводили деблокирование олигорибонуклеотида С-42-SS-NH2 в стандартных условиях (табл. 1).
Схема 2. Получение олигорибонуклеотида, содержащего аминогруппу на 3'-конце и остаток цистамина на 5'-конце.
На втором этапе присоединяли остатки 3-малеимидопропановой кислоты по обеим аминогруппам олигорибонуклеотида C-42-SS-NH2. Для этого в водно-органической среде проводили реакцию с пентафторфеноловым эфиром 3-малеимидопропановой кислоты по аналогии с работами [26, 27] (схема 3).
Схема 3. Получение олигорибонуклеотида, содержащего тиольную группу на 3'-конце и малеимидную группировку на 5'-конце.
Затем дисульфидную связь восстанавливали с образованием сульфгидрильной группы (–SH) путем обработки 0.5 М раствором дитиотреитола (DTT). В результате получали олигорибонуклеотид, который содержал SH-группу на 5′-конце и малеимидную группу на 3′-конце. Реакционную смесь использовали для циклизации без проведения дополнительной очистки, т.к. в ней присутствовал единственный основной продукт реакции.
Получение циклических олигорибонуклеотидов. Для получения циклической РНК методом CuAAC использовали олигорибонуклеотиды, содержащие 3′-алкиновую и 5′-азидную группы. Реакцию проводили в водно-органической среде в присутствии Cu(I) (схема 4). Ход реакции контролировали с помощью аналитического электрофореза в денатурирующем ПААГ.
Схема 4. Синтез циклического олигорибонуклеотида методом азид-алкинового циклоприсоединения.
В результате реакции во всех случаях наблюдали образование продукта, обладающего меньшей электрофоретической подвижностью по сравнению с исходным олигорибонуклеотидом, который выделяли методом препаративного гель-электрофореза в денатурирующих условиях.
Циклизацию олигорибонуклеотида, содержащего 5′-тиольную группу и 3′-малеимидную группировку, проводили методом тиол-малеимидной конденсации. Реакцию осуществляли в буферных условиях при рН 7.5 (схема 5).
Схема 5. Синтез циклического олигорибонуклеотида методом тиол-малеимидной конденсации.
В результате реакции образовывался циклический продукт, обладающий меньшей подвижностью при электрофоретическом анализе реакционной смеси по сравнению с исходным олигорибонуклеотидом, а также побочный продукт, который по данным масс-спектрометрии соответствовал димеризации crРНК с образованием дисульфидной связи. Образование аналогичного продукта наблюдали и при хранении 3′,5′-модифицированного олигорибонуклеотида, содержащего 3′-SH-группу, в растворе в течение по крайней мере трех суток.
Для дальнейшей работы был выбран метод CuAAC, т.к. он включает меньшее количество стадий и не приводит к образованию димеров crРНК за счет формирования дисульфидной связи. Для получения циклических РНК использовали 42-звенную РНК, а также ее аналоги, содержащие на 3'-конце 4 или 6 дополнительных нуклеотидов для формирования шпильки со сближением 5′- и 3′-концов crРНК (табл. 1, рис. 2).
Рис. 2. Наиболее вероятные вторичные структуры циклических crРНК: C-42-P1, С-46-P1, С-46-P2, С-48-P1 и С-48-P2, полученные с помощью программы OligoAnalyzer (https://www.idtdna.com/calc/analyzer).
Локализация фоторасщепляемых линкеров в молекуле РНК была выбрана таким образом, чтобы происходили линеаризация циклической РНК и выщепление дополнительных нуклеотидов с 3′-конца (только в варианте с двумя PL-линкерами) при облучении УФ-светом.
Анализ циклических РНК. Проводили анализ всех выделенных продуктов циклизации РНК с использованием обращенно-фазовой высокоэффективной жидкостной хроматографии (офВЭЖХ). Время удержания циклических продуктов при офВЭЖХ было больше, чем время удержания исходных линейных олигонуклеотидов (рис. 3, табл. 2).
Рис. 3. Профиль офВЭЖХ выделенных продуктов циклизации, соответствующих исходному линейному олигонуклеотиду (голубой) и циклической crРНК (серый). Хроматографию проводили в градиенте концентрации 0–50% CH3CN в 0.02 М триэтиламмонийацетате (pH 7.0). Время выхода пика циклического продукта С-46-Р1-cyc составило 571 с, исходного линейного 5′,3′-модифицированного олигорибонуклеотида C-46-P1 – 539 с.
Таблица 2. Время удерживания линейных и циклических РНК при офВЭЖХ
Шифр РНК | Время удерживания при офВЭЖХ*, мин | |
циклическая форма | линейная форма (до циклизации) | |
С-42-Р1 | 8.0 | 7.0 |
С-46-Р1 | 9.5 | 9.0 |
С-46-Р2 | 9.2 | 9.1 |
С-48-Р1 | 9.5 | 8.9 |
С-48-Р2 | 9.4 | 9.0 |
* Условия см. в разделе “Эксперим. часть”.
Таким образом, продукты циклизации crРНК обладают меньшей электрофоретической подвижностью и демонстрируют большее время удерживания при офВЭЖХ. При анализе продуктов, образующихся в результате облучения циклических фоторасщепляемых РНК, методом денатурирующего гель-электрофореза наблюдали исчезновение полноразмерной циклической РНК и образование одного или двух фрагментов с более высокой электрофоретической подвижностью для РНК с одним или двумя фотолинкерами соответственно (рис. 4).
Рис. 4. Расщепление циклических РНК С-46-Р1 и С-46-Р2 под действием УФ-облучения. Электрофоретический анализ в 15%-ном денатурирующем ПААГ: 1 – циклический С-46-Р1, 2 – УФ-облученный циклический С-46-Р1, 3 – циклический С-46-Р2, 4 – УФ-облученный циклический С-46-Р2. Длина волны облучения – 365 нм, время облучения – 30 мин. Визуализацию РНК в геле проводили окрашиванием раствором красителя Stains-all. ВР – бромфеноловый синий.
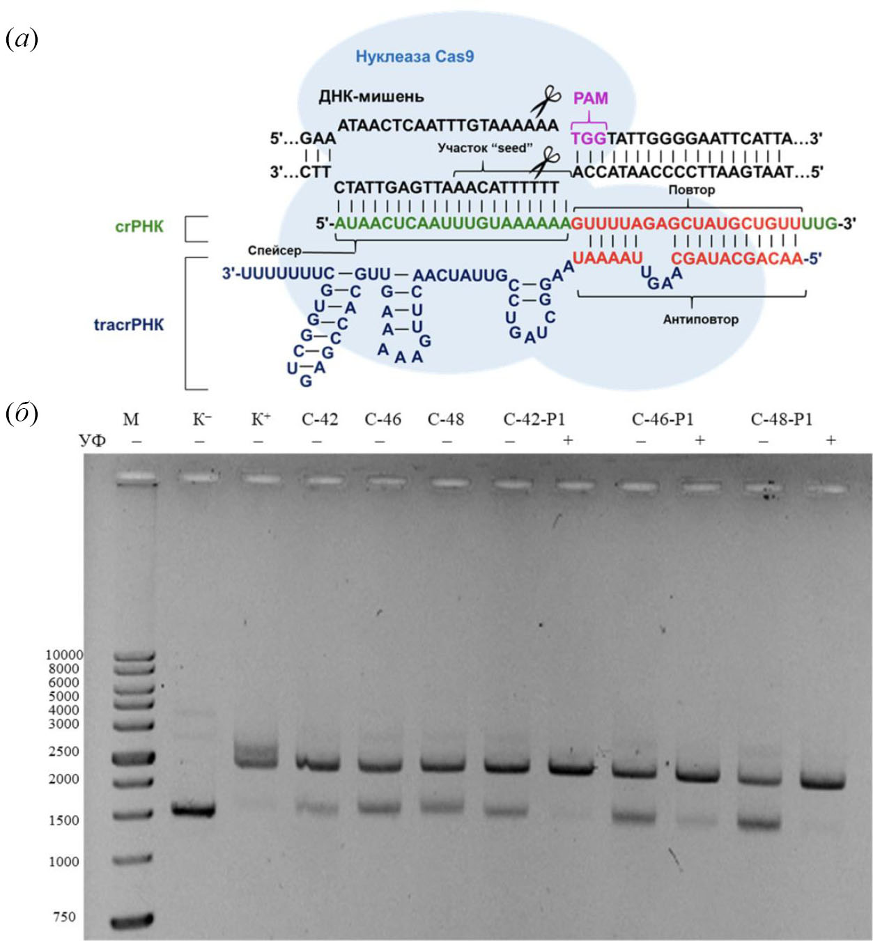
Эффективность системы CRISPR/Cas9 с участием синтезированных циклических crРНК. Синтезированные циклические направляющие crРНК исследовали в отношении способности направлять расщепление ДНК нуклеазой Cas9 Streptococcus pyogenes до и после облучения УФ-светом. Время облучения 30 мин было выбрано на основе ранее полученных результатов [23]. В качестве модельной последовательности ДНК-мишени использовали хорошо охарактеризованный спейсер Sp2, происходящий из CRISPR-области штамма S. pyogenes SF370, с примыкающим к протоспейсеру мотивом (PAM) TGG, необходимым для узнавания мишени [1, 28]. Проводили сравнение расщепления ДНК нуклеазой Cas9 в присутствии облученных и необлученных циклических РНК. Роль ДНК-мишени выполняла плазмида pBluescript II SK(−), в которую по сайтам XhoI–EcoRI был клонирован 23-звенный фрагмент, состоящий из последовательности Sp2 и РАМ. Собирали эффекторный комплекс из исследуемой облученной или необлученной циклической crРНК, химически синтезированной 74-звенной tracrРНК и белка Cas9, добавляли его к плазмиде (рис. 5).
Рис. 5. (а) – Схематическое изображение активного комплекса CRISPR/Cas9; (б) – электрофоретический анализ расщепления плазмидного субстрата. М – набор маркеров длины дцДНК, K– – контроль, содержащий плазмиду без фермента, К+ – плазмида после расщепления нуклеазой Cas9 с немодифицированной crРНК. УФ: знак “–” означает отсутствие облучения, знак “+” – облучение УФ-светом в течение 30 мин при 365 нм.
Реакционные смеси анализировали в 1%-ном агарозном геле с окрашиванием бромистым этидием. После облучения циклических фотомодифицированных crРНК регистрировали повышение степени расщепления модельной плазмиды (рис. 6). В присутствии необлученных циклических crРНК (С-46 и С-48) нуклеаза Cas9 была способна расщеплять ДНК-мишени, но глубина реакции при этом была значительно ниже, чем в присутствии контрольной линейной crРНК.
Рис. 6. Эффективность расщепления ДНК плазмиды с использованием облученных и необлученных циклических фоторасщепляемых crРНК и их нерасщепляемых аналогов. К– – интактная плазмида; К+ – расщепление плазмиды нуклеазой Cas9 в присутствии пары немодифицированных направляющих РНК crРНК/tracrRNA; УФ: знак “–” означает отсутствие облучения, знак “+” – облучение УФ-светом в течение 30 мин при 365 нм.
До облучения циклических фоторасщепляемых crРНК степень расщепления плазмиды нуклеазой Cas9 была значительно ниже, чем после линеаризации путем облучения светом. Эффективность расщепления плазмиды в присутствии линеаризованных crРНК была близка к эффективности расщепления в присутствии немодифицированных crРНК/tracrРНК. Относительно высокая эффективность расщепления плазмиды нуклеазой Cas9 в присутствии циклических фоторасщепляемых crРНК до облучения может быть результатом необходимости использования в реакции достаточно высоких концентраций нуклеопротеинового комплекса Cas9/crРНК/tracrРНК в связи с низким числом оборотов фермента [29, 30]. С другой стороны, это может свидетельствовать о способности циклических crРНК взаимодействовать с tracrРНК и белком Cas9 [5]. Эта возможность требует дальнейшего изучения.
ЭКСПЕРИМЕНТАЛЬНАЯ ЧАСТЬ
Реактивы. В работе были использованы следующие реактивы: N,N′-дисукцинимидилкарбонат, N-метилимидазол, пропионовый ангидрид, дитиотреитол (Acros Organics, США); 2-цианоэтил-N,N,N′,N′-тетраизопропилфосфитамид, 5′-O-(4,4′-диметокситритил)-дезоксириботимидин, 5′-O-(4,4′-диметокситритил)-N-ацетил-защищенные 2′-O-трет-бутилдиметилсилил-рибонуклеозид-3′-фосфитамиды, а также твердофазные носители с присоединенным первым нуклеозидным звеном: 5′-О-(4,4′-диметокситритил)-2′-О-трет-бутилдиметилсилил-N2-изопропилфеноксиацетилгуанозин-CPG и 5′-О-(4,4′диметокситритил)-2′-О-трет-бутилдиметилсилилуридин-CPG (ChemGenes, США); полимерный носитель с присоединенным N-(6-(O-диметокситритил)-гексил)-(2-карбоксамид)-фталимид-CPG (3′-PT-Amino-Modifier C6 CPG), 6-(2N-метил-1N-фталимидил)-гексил-1-[(2-цианоэтил)-(N,N-диизопропил)]фосфитамид (5′-Amino-Modifier C6-PDA) (Glen Research, США); краситель Stains-all, персульфат аммония, дихлоруксусная кислота, акриламид, N,N′-метиленбисакриламид, 2,6-лутидин, бромистый этидий, солянокислый цистеин, трисгидроксиметиламинометан, диметилсульфоксид (Fluka, Швейцария); мочевина, 40%-ный водный раствор метиламина (Merck, Германия); агароза (MP Biomedicals, США); пиридин, ацетон, тетрагидрофуран (PanReac, Испания); ксиленцианол FF, бромфеноловый синий, N,N,N′,N′-этилендиаминтетрауксусная кислота (Serva, Германия); бис-(2,2′-аминоэтил)-дисульфид (цистамин) (Alfa Aesar, США); 1-(2-нитрофенил)-1,2-этандиол, триэтиламин, триэтиламинтригидрофторид, этокситриметилсилан, 5-[3,5-бис(трифторметил)фенил]-1Hтетразол (Активатор 42ТМ), хлористый метилен, ацетонитрил (Sigma-Aldrich, США); N-оксисукцинимидный эфир азидбутановой кислоты, алкин-CPG, Cu(II)-TBTA комплекс (Lumiprobe, Россия); иод кристаллический, формамид, гексан, концентрированная серная кислота (Реахим, Россия); ацетонитрил (Криохром, Россия), а также другие реактивы и растворители отечественного и зарубежного производства. Линкер PL получали, как описано ранее [23]. Пентафторфениловый эфир 3-малеимидопропановой кислоты получен и любезно предоставлен н.с. ЛОрС ИХБФМ СО РАН Л.С. Королевой по аналогии с методикой Kida et al. [31].
Рекомбинантная эндонуклеаза Cas9 и плазмида на основе вектора pBluescript II SK(−) со вставкой протоспейсерной последовательности Sp2 и PAM 5′-TGG-3′ получены по стандартным протоколам [23, 32].
Синтез фоторасщепляемых олигорибонуклеотидов. Олигонуклеотиды были получены на автоматическом ДНК/РНК-синтезаторе ASM-800 (Биоссет, Россия) твердофазным фосфитамидным методом синтеза в масштабе 0.4 мкмоль согласно оптимизированному для данного прибора синтетическому протоколу. Фосфитамиды рибонуклеотидов использовали в концентрации 0.1 М в абсолютном ацетонитриле, время конденсации составило 5 мин. Фосфитамид фоторасщепляемого линкера (PL) и фосфитамид аминогексанола (5′-Amino-Modifier C6-PDA) использовали в концентрации 0.1 М в абсолютном ацетонитриле, время конденсации составило 30 мин. В качестве конденсирующего реагента использовали 0.25 М раствор 5-[3,5-бис(трифторметил)фенил]-1H-тетразола (Активатор 42ТМ) в абсолютном ацетонитриле. С ростом олигонуклеотидной цепи время конденсации и объемы растворов фосфитамида и конденсирующего реагента увеличивали на 15% после 50 синтетических циклов. Смеси (v/v) пропионовый ангидрид/2,6-лутидин/тетрагидрофуран (10 : 10 : 80) и N-метилимидазол/тетрагидрофуран (16 : 84) были использованы в качестве кэпирующих реагентов. Окисление проводили 0.02 M иодом в смеси пиридин/вода/тетрагидрофуран (1 : 9 : 90). В качестве детритилирующего реагента использовали дихлоруксусную кислоту (3%) в хлористом метилене.
Для деблокирования гетероциклических оснований, удаления цианоэтильных защитных групп с межнуклеотидных фосфатных групп и отделения олигорибонуклеотидов от твердофазного носителя использовали обработку 30%-ным раствором аммиака (16 ч при комнатной температуре и постоянном перемешивании). Охлаждали в течение 10 мин при −20°C. Полимерный носитель промывали раствором ацетонитрил–этанол–вода (1 : 1 : 1, v/v/v). Растворы объединяли и упаривали досуха.
Для удаления 2′-OTBDMS защитных групп с олигорибонуклеотида к сухому остатку сразу после упаривания добавляли 200 мкл свежеприготовленного раствора NMP–Et3N–Et3N·3HF (1.5 : 0.75 : 1, v/v/v) и выдерживали в течение 2 ч при 65°C и перемешивании. Далее к полученному раствору добавляли 300 мкл этокситриметилсилана и перемешивали на термомиксере в течение 10 мин при 25°C. К полученной смеси добавляли 1 мл серного эфира, перемешивали, центрифугировали, раствор декантировали, после чего осадок промывали серным эфиром и высушивали на воздухе.
Выделение целевых олигонуклеотидов проводили с использованием препаративного гельэлектрофореза в денатурирующих условиях (12%-ный ПААГ, акриламид–N,N′-метиленбисакриламид 30 : 0.5, 7 М мочевина, 50 мМ Трис-H3BO3, pH 8.3, 0.1 мM Na2ЭДТА). Визуализацию олигонуклеотидов в геле проводили наложением геля на пластину DC-Alufolien Kieselgel 60 F254 (Merck, Германия) в свете УФ-лампы (λ = 254 нм). В случае фоточувствительных олигонуклеотидов во избежание активации реакции расщепления под воздействием УФ-излучения закрывали стеклом основную часть геля, содержащую продукт, оставляя только небольшую его часть, достаточную для визуализации и аппроксимации. Измельченный гель, содержащий олигонуклеотидный материал, смешивали с 1 мл 0.3 М раствора ацетата натрия (pH 5.2) и встряхивали 16 ч при 25°С. Олигорибонуклеотиды после элюции осаждали четырехкратным объемом этилового спирта, выдерживая при −20°C в течение 2–12 ч. Супернатант после центрифугирования отбирали, осадок промывали охлажденным 80%-ным этиловым спиртом и высушивали досуха на воздухе.
Гомогенность полученных олигонуклеотидов подтверждали методом аналитического гель-электрофореза в 12%-ном ПААГ (условия см. выше). Для нанесения на гель использовали 5 мкл раствора 7 М мочевины с содержанием 0.025% ксиленцианола. Для визуализации олигонуклеотидов использовали раствор красителя Stains-all, приготовленный из 50 мг красителя и 100 мл смеси вода–формамид (1 : 1, v/v). После окрашивания гели высушивали на приборе GelDryer 583 (Bio-Rad, США).
Синтез crРНК, содержащих азидогруппу на 5′-конце и алкиновую группировку на 3′-конце. Для синтеза crРНК, содержащих азидогруппу на 5′-конце и алкиновую группировку на 3′-конце, использовали деблокированные олигорибонуклеотиды, содержащие алкиновую группировку на 3′-конце и аминолинкер на 5′-конце. К раствору олигорибонуклеотида (15 OE260) в 16 мкл воды добавляли 4 мкл буфера 0.5 М Tris-HCl (pH 8.3) и 80 мкл раствора 0.5 мг N-оксисукцинимидного эфира азидбутановой кислоты в DMSO. Реакцию проводили при 37°С и постоянном перемешивании в течение 2 ч. По окончании реакции реакционную смесь осаждали 2%-ным раствором NaClO4 в ацетоне, осадок промывали ацетоном, высушивали и растворяли в 50 мкл воды. Реакционную смесь анализировали в 15%-ном денатурирующем ПААГ.
Синтез циклических crРНК методом медькатализируемого азид-алкинового циклоприсоединения. Олигорибонуклеотид (15 OE260), содержащий 5′-азид и 3′-алкин, в 10 мкл 200 мМ NaCl выдерживали 5 мин при 95°С и медленно охлаждали до 37°С. К раствору добавляли 100 мкл буфера (10 мМ комплекс Cu(II)–TBTA, ацетат триэтиламмония, pH 7.0, 55% DMSO), содержащего Cu(II) (Lumiprobе, Россия), и 20 мкл DMSO. Полученный раствор дегазировали аргоном. Затем добавляли 20 мкл свежеприготовленного 5 мМ раствора аскорбиновой кислоты, перемешивали и вновь дегазировали аргоном. Реакционную смесь оставляли на 4 ч с перемешиванием при 37°С. После прохождения реакции реакционную смесь осаждали 2%-ным раствором NaClO4 в ацетоне. Осадок растворяли в 30 мкл воды. Продукты реакции анализировали и выделяли методом гель-электрофореза в 15%-ном ПААГ.
Синтез crРНК, содержащей остаток цистамина на 5′-конце и аминолинкер на 3′-конце. Синтез проводили на основе иммобилизованного на полимерном носителе (CPG) полностью защищенного 42-звенного олигорибонуклеотида, содержащего аминолинкер на 3′-конце и фоторасщепляемый линкер на основе 1-(2-нитрофенил)-1,2-этандиола на 5′-конце. К носителю с иммобилизованным олигонуклеотидом добавляли раствор 9 мг N,N′-дисукцинимидилкарбоната (ДСК) в 270 мкл ацетонитрила (абс.) и 30 мкл пиридина (абс.), реакцию проводили при перемешивании (37°С, 1 ч), затем раствор над полимером удаляли и добавляли свежую порцию раствора 6 мг ДСК в 270 мкл ацетонитрила (абс.) и 30 мкл пиридина (абс.), реакцию проводили еще 30 мин. Последнюю операцию повторяли еще 1 раз. Раствор над полимером удаляли, к полимеру добавляли свежеприготовленный раствор 17 мг гидрохлорида цистамина в 225 мкл DMSO и 25 мкл пиридина (абс.). Реакционную смесь оставляли на ночь при перемешивании при 37°С. Полимер промывали 2 раза DMSO и 3 раза ацетоном, переносили в новую пробирку на 0.6 мл и деблокировали модифицированный олигорибонуклеотид в стандартных условиях. Получившиеся продукты выделяли методом препаративного гель-электрофореза.
Синтез crРНК, содержащей тиогруппу на 5′-конце и малеимидную группировку на 3′-конце. К раствору олигорибонуклеотида (2.5 о.е.) в 9 мкл воды добавляли 1 мкл 0.5 М HEPES-КОН (рН 7.2) и порциями по 20, 10 и 10 мкл через каждые 30 мин раствор пентафторфенолового эфира 3-малеимидопропановой кислоты 0.3 мг в 40 мкл DMSO. Реакцию проводили при 37°С и перемешивании в течение 2 ч. После реакции олигонуклеотид осаждали 2%-ным раствором NaClO4 в ацетоне.
Реакционную смесь растворяли в 45 мкл воды и добавляли 5 мкл 0.5 М свежеприготовленного раствора DTT в воде. Реакцию проводили при перемешивании в течение 2 ч при 25°С. После реакции олигонуклеотид осаждали 2%-ным раствором NaClO4 в ацетоне.
Синтез циклической crРНК методом малеимидной конденсации. К раствору олигорибонуклеотида, содержащего SH-группу на 5'-конце и малеимидную группировку на 3'-конце (2.5 о.е.) в 18 мкл воды, добавляли 1 мкл буфера 0.5 М HEPES-KOH (рН 7.2) и оставляли на ночь при 37°С при перемешивании. Продукты реакции выделяли препаративным гель-электрофорезом.
Расщепление плазмидной ДНК белком Cas9 в присутствии направляющих РНК. Реакцию проводили в 10 мкл раствора, содержащего 20 мМ HEPES-KOH (pH 7.5), 100 мМ KCl, 1 мМ дитиотреитол, 0.5 мМ Na2ЭДТА, 2 мМ MgCl2, 5%-ный глицерин, 1.35 нМ циклическую crРНК, 1.35 нМ tracrРНК, 1.35 нМ Cas9 и 50 нг плазмидной ДНК. Все реагенты, за исключением плазмиды, смешивали и инкубировали 15 мин при 37°C для сборки рибонуклеопротеинового комплекса Cas9/sgРНК/tracrРНК. Аналогичным образом готовили растворы, содержащие линеаризованные УФ-облучением в течение 30 мин (λ = 365 нм) crРНК. Затем в каждую пробирку добавляли 1 мкл раствора плазмидной ДНК и инкубировали в течение 1 ч при 37°C в темноте. Для остановки реакции к реакционной смеси добавляли 2.5 мкл раствора, содержащего 250 мМ Na2ЭДТА, 1.2% SDS, 0.01% бромфенолового синего и 30% глицерина. Продукты реакции анализировали электрофорезом в 1%-ном агарозном геле в ТАЕ-буфере (40 мМ Tris-ацетат, рН 8.3, 1 мМ Na2ЭДТА) с добавлением 1 мкг/мл бромистого этидия. Гели визуализировали с использованием системы гель-документации E-Box (Vilber Lourmat, Франция) и обсчитывали при помощи программы Quantity Оne (Bio-Rad, США).
Долю расщепления плазмиды рассчитывали по формуле:
где Iрасщ. – интенсивность полосы, соответствующей расщепленной плазмиде, Iсуперскруч. – интенсивность полосы, соответствующей суперскрученной форме плазмиды, k = 1.14 – коэффициент эффективности окрашивания бромистым этидием суперскрученной формы ДНК относительно линейной и релаксированной формы [33].
ЗАКЛЮЧЕНИЕ
В ходе исследования был разработан синтетический подход к получению циклических фоторасщепляемых crРНК, позволяющих активировать систему CRISPR/Cas9 путем облучения светом в ближнем УФ-диапазоне. Подход к созданию циклических фоторасщепляемых crРНК для системы СRISPR/Cas9 предложен нами впервые. Разработанный подход расширяет арсенал способов фотоактивации систем геномного редактирования CRISPR/Cas9 и дает возможность активации системы в конкретном месте и в определенный момент времени.
Результаты, полученные в рамках данной работы, демонстрируют перспективность использования разработанной фотоактивируемой системы CRISPR/Cas9 для регулируемого светом редактирования генов. Значительное увеличение степени расщепления модельной ДНК после облучения мягким УФ-светом, не вызывающим значительного повреждения биологических молекул, позволяет надеяться на возможность создания таких фотоактивируемых конструкций для использования в биологических системах. Анализ данных по расщеплению модельной ДНК-мишени указывает на необходимость более полной дезактивации необлученной crРНК в “выключенном” состоянии системы. Перспективным подходом представляется дополнительное затруднение взаимодействия циклической crРНК с ДНК до облучения, например, путем создания би- или трициклической конструкции [5]. Полученные результаты демонстрируют потенциал предлагаемого подхода для создания фотоактивируемых систем геномного редактирования.
БЛАГОДАРНОСТИ
Авторы выражают благодарность к.х.н. Л.С. Королевой (ИХБФМ СО РАН) за предоставленный пентафторфениловый эфир 3-малеимидопропановой кислоты, Л.М. Кулишовой (ИХБФМ СО РАН) за конструирование плазмиды pBluescript II SK(−) со вставкой целевой последовательности, а также Л.В. Саковиной и И.П. Вохтанцеву (ИХБФМ) за наработку и выделение рекомбинантной эндонуклеазы Cas9 и плазмидного субстрата.
ФОНДОВАЯ ПОДДЕРЖКА
Исследование выполнено при поддержке Российского научного фонда (проект № 22-14-00294) и базового бюджетного финансирования в рамках проекта государственного задания Института химической биологии и фундаментальной медицины СО РАН (2021–2024 гг.) № 121031300042-1.
СОБЛЮДЕНИЕ ЭТИЧЕСКИХ СТАНДАРТОВ
Настоящая статья не содержит описания исследований с участием людей или использованием животных в качестве объектов исследования.
КОНФЛИКТ ИНТЕРЕСОВ
Авторы заявляют об отсутствии конфликта интересов.
About the authors
E. V. Ivanskaya
Intitute of Chemical Biology and Funamental Medicine SB RAS; Novosibirsk State University
Email: danov@niboch.nsc.ru
Russian Federation, prosp. Acad. Lavrentjeva 8, Novosibirsk, 630090; ul. Pirogova 1, Novosibirsk, 630090
M. I. Meschaninova
Intitute of Chemical Biology and Funamental Medicine SB RAS
Email: danov@niboch.nsc.ru
Russian Federation, prosp. Acad. Lavrentjeva 8, Novosibirsk, 630090
M. A. Vorobyeva
Intitute of Chemical Biology and Funamental Medicine SB RAS
Email: danov@niboch.nsc.ru
Russian Federation, prosp. Acad. Lavrentjeva 8, Novosibirsk, 630090
D. O. Zharkov
Intitute of Chemical Biology and Funamental Medicine SB RAS; Novosibirsk State University
Email: danov@niboch.nsc.ru
Russian Federation, prosp. Acad. Lavrentjeva 8, Novosibirsk, 630090; ul. Pirogova 1, Novosibirsk, 630090
D. S. Novopashina
Intitute of Chemical Biology and Funamental Medicine SB RAS; Novosibirsk State University
Author for correspondence.
Email: danov@niboch.nsc.ru
Russian Federation, prosp. Acad. Lavrentjeva 8, Novosibirsk, 630090; ul. Pirogova 1, Novosibirsk, 630090
References
- Jinek M., Chylinski K., Fonfara I., Hauer M., Doudna J.A., Charpentier E. // Science. 2012. V. 337. P. 816–821. https://doi.org/10.1126/science.1225829
- Wang, J.Y., Pausch, P., Doudna, J.A. // Nat. Rev. Microbiol. 2022. V. 20. P. 641–656. https://doi.org/10.1038/s41579-022-00739-4
- Makarova K.S., Wolf Y.I., Iranzo J., Shmakov S.A., Alkhnbashi O.S., Brouns S.J.J., Charpentier E., Cheng D., Haft D.H., Horvath P., Moineau S., Mojica F.J.M., Scott D., Shah S.A., Siksnys V., Terns M.P., Venclovas Č., White M.F., Yakunin A.F., Yan W., Zhang F., Garrett R.A., Backofen R., van der Oost J., Barrangou R., Koonin E.V. // Nat. Rev. Microbiol. 2020. V. 18. P. 67–83. https://doi.org/10.1038/s41579-019-0299-x
- Brown W., Zhou W., Deiters A. // ChemBioChem. 2021. V. 22. P. 63–72. https://doi.org/10.1002/cbic.202000423
- Sun Y.-J., Chen W.-D., Liu J., Li J.-J., Zhang Y., Cai W.-Q., Liu L., Tang X.-J., Hou J., Wang M., Cheng L. // Angew. Chemie Int. Ed. 2023. V. 62. P. e202212413. https://doi.org/10.1002/anie.202212413
- Zhang Y., Ling X., Su X., Zhang S., Wang J., Zhang P., Feng W., Zhu Y.Y., Liu T., Tang X. // Angew. Chemie. 2020. V. 132. P. 21081–21085. https://doi.org/10.1002/anie.202009890
- Hartmann D., Booth M.J. // Commun. Chem. 2023. V. 6. P. 59. https://doi.org/10.1038/s42004-023-00860-2
- Darrah K.E., Deiters A. // Chem. Soc. Rev. 2021. V. 50. P. 13253-13267. https://doi.org/10.1039/d1cs00257k
- Wu Y., Yang Z., Lu Y. // Curr. Opin. Chem. Biol. 2020. V. 57. P. 95–104. https://doi.org/10.1016/j.cbpa.2020.05.003
- Casey J.P., Blidner R.A., Monroe W.T. // Mol. Pharm. 2009. V. 6. P. 669–685. https://doi.org/10.1021/mp900082q
- Petkovic S., Müller S. // Nucl. Acids Res. 2015. V. 43. P. 2454–2465. https://doi.org/10.1093/nar/gkv045
- Obi P., Chen Y.G. // Methods. 2021. V. 196. P. 85–103. https://doi.org/10.1016/j.ymeth.2021.02.020
- Lietard J., Meyer A., Vasseur J.-J., Morvan F. // J. Org. Chem. 2008. V. 73. P. 191–200. https://doi.org/10.1021/jo702177c
- Wesselhoeft R.A., Kowalski P.S., Anderson D.G. // Nat. Commun. 2018. V. 9. P. 2629. https://doi.org/10.1038/s41467-018-05096-6
- Ji D., Lyu K., Zhao H., Kwok C.R. // Nucleic Acids Res. 2021. V. 49. P. 7280–7291. https://doi.org/10.1093/nar/gkab593
- Riccardi C., Meyer A., Vasseur J.-J., Krauss I.R., Paduano L., Morvan F., Montesarchio D. // Bioorg. Chem. 2020. V. 94. P. 103379. https://doi.org/10.1016/j.bioorg.2019.103379
- Zhang X.-J., Zhao Z., Wang X., Su M.-H., Ai L., Li Y., Yuan Q., Wang X.-Q., Tan W. // Natl. Sci. Rev. 2022. V. 10. P. nwac107. https://doi.org/10.1093/nsr/nwac107
- Sánchez A., Pedroso E., Grandas A. // Chem. Commun. 2013. V. 49. P. 309–311. https://doi.org/10.1039/c2cc35357a
- Yamazoe S., Liu Q., McQuade L.E., Deiters A., Chen J.K. // Angew. Chem. Int. Ed. 2014. V. 53. P. 10114–10118. https://doi.org/10.1002/anie.201405355
- Brown W., Bardhan A., Darrah K., Tsang M., Deiters A. // J. Am. Chem. Soc. 2022. V. 144. P. 16819–16826. https://doi.org/10.1021/jacs.2c04479
- Klimek R., Wang M., McKenney V.R., Schuman E.M., Heckel A. // Chem. Commun. 2021. V. 57. P. 615– 618. https://doi.org/10.1039/d0cc06704k
- Yang L., Kim H.B., Sul J.-Y., Yeldell S.B., Eberwine J.H., Dmochowski I.J. // ChemBioChem. 2018. V. 19. P. 1250–1254. https://doi.org/10.1002/cbic.201800012
- Akhmetova E.A., Golyshev V.M., Vokhtantsev I.P., Meschaninova M.I., Venyaminova A.G., Novopashina D.S. // Russ. J. Bioorg. Chem. 2021. V. 47. P. 496–504. https://doi.org/10.1134/S1068162021020023
- Semikolenova O., Sakovina L., Akhmetova E., Kim D., Vokhtantsev I., Golyshev V., Vorobyeva M., Novopashin S., Novopashina D. // Int. J. Mol. Sci. 2021. V. 22. P. 10919. https://doi.org/10.3390/ijms222010919
- Meschaninova M.I., Novopashina D.S., Semikolenova O.A., Silnikov V.N., Venyaminova A.G. // Molecules. 2019. V. 24. P. 4266. https://doi.org/10.3390/molecules24234266
- Novopashina D., Vorobyeva M., Nazarov A., Davydova A., Danilin N., Koroleva L., Matveev A., Bardasheva A., Tikunova N., Kupryushkin M., Pyshnyi D., Altman S., Venyaminova A. // Front. Pharmacol. 2019. V. 10. P. 813. https://doi.org/10.3389/fphar.2019.00813
- Danilin N.A., Koroleva L.S., Novopashina D.S., Venyaminova A.G. // Russ. J. Bioorg. Chem. 2019. V. 45. P. 825–832. https://doi.org/10.1134/S106816201906013X
- Deltcheva E., Chylinski K., Sharma C.M., Gonzales K., Chao Y., Pirzada Z.A., Eckert M.R., Vogel J., Charpentier E. // Nature. 2011. V. 471. P. 602–607. https://doi.org/10.1038/nature09886
- Sternberg S.H., Redding S., Jinek M., Greene E.C., Doudna J.A. // Nature. 2014. V. 507. P. 62–67. https://doi.org/10.1038/nature13011
- Shibata M., Nishimasu H., Kodera N., Hirano S., Ando T., Uchihashi T., Nureki O. // Nat. Commun. 2017. V. 8. Р. 1430. https://doi.org/10.1038/s41467-017-01466-8
- Kida S., Maeda M., Hojo K., Eto Y., Nakagawa S., Kawasaki K. // Chem. Pharm. Bull. 2007. V. 55. P. 685– 687. https://doi.org/10.1248/cpb.55.685
- Anders C., Jinek M. // Methods Enzymol. 2014. V. 546. P. 1–20. https://doi.org/10.1016/B978-0-12-801185-0.00001-5
- Shubsda M.F., Goodisman J., Dabrowiak J.C. // J. Biochem. Biophys. Methods. 1997. V. 34. P. 73–79. https://doi.org/10.1016/S0165-022X(96)01204-3
Supplementary files













