Юрий Анатольевич Овчинников и я. Большое видится на расстоянии
- Авторы: Свердлов Е.Д.1
-
Учреждения:
- Национальный исследовательский центр «Курчатовский Институт»
- Выпуск: Том 50, № 4 (2024)
- Страницы: 351-358
- Раздел: Статьи
- URL: https://ogarev-online.ru/0132-3423/article/view/267290
- DOI: https://doi.org/10.31857/S0132342324040016
- EDN: https://elibrary.ru/MNHPGO
- ID: 267290
Цитировать
Полный текст
Аннотация
Я во многих популярных статьях говорил о Юрии Анатольевиче. У меня с ним более 30 общих публикаций. В частности, более десяти – по РНК-полимеразе:, пять – по АТФ-азе, одна (из трех) посвящена фотоаффиной модификации активных центров РНК-полимеразы; восемнадцать статей и патентов по интерферонам, в десяти из которых участвует Юрий Анатольевич: шесть наиболее существенных, семь статей и патентов (в трех из которых участвует Юрий Анатольевич) посвящены проблеме вакцины против вируса гепатита А.
Я был в составе команды, получившей Государственную премию СССР в 1981 г. за работы по РНК-полимеразе, возглавлявшиеся Юрием Анатольевичем. Также следует отметить, что при активном содействии Ю. А. Овчинникова было организовано промышленное производство интерферона, который я назвал Реаферон (рекомбинантный альфа интерферон), и я вместе другими участниками этой непростой работы был удостоен Ленинской премии. Реаферон продается в аптеках по сей день и будет в употреблении еще очень долго. Я привел эти данные, чтобы было ясно, насколько у нас было тесное сотрудничество.
Ключевые слова
Полный текст
1. ВВЕДЕНИЕ
Я во многих популярных статьях говорил о Юрии Анатольевиче. У меня с ним более 30 общих публикаций. В частности: более десяти – по РНК-полимеразе: [1–10], пять – по АТФ-азе [11–15], одна – [10] (из трех – [10, 16, 17]) посвящена фотоаффиной модификации активных центров РНК-полимеразы. 18 статей и патентов по интерферонам, в 10 из которых участвует Юрий Анатольевич: 6 наиболее существенных: [18–23], 7 статей и патентов (в трех из которых участвует Юрий Анатольевич) посвящены проблеме вакцины против вируса гепатита А, четыре – наиболее существенных [27–30].
Я был в составе команды, получившей Государственную премию СССР в 1981 г. за работы по РНК-полимеразе, возглавлявшиеся Юрием Анатольевичем. Также следует отметить, что при активном содействии Ю. А. Овчинникова было организовано промышленное производство интерферона, который я назвал Реаферон (рекомбинантный альфа интерферон), и я вместе другими участниками этой непростой работы был удостоен Ленинской премии. Реаферон продается в аптеках по сей день и будет в употреблении еще очень долго. Я привел эти данные, чтобы было ясно, насколько у нас было тесное сотрудничество.
2. ЗНАКОМСТВО В УНИВЕРСИТЕТЕ. ЮРИЙ АЛЕКСАНДРОВИЧ АРБУЗОВ. МОЕ ПОЯВЛЕНИЕ В ИХПС
Знакомство наше началось где-то между 1956 и 1960 годами, когда мы жили в общежитии студентов-химиков в МГУ зоне “Ж” на Ленинских горах. Мы оба активно участвовали в общественной работе я – в факультетском бюро ВЛКСМ, а он, насколько я помню, в студенческом комитете.
Мы часто общались и, как мне кажется, у нас установились дружеские взаимоотношения. Кроме того, он работал в лаборатории выдающегося человека – Юрия Александровича Арбузова, а там работали также два человека с нашего курса – Женя Климов и Лена Берестнева. Я часто забегал к ним и встречал там Юру (интересуясь этим периодом жизни Ю. А. Арбузова и Ю. А. Овчинникова, я нашел их совместную работу с М. М. Шемякиным [31] образца 1960 г. Я в это время был на 4-м курсе химфака МГУ).
Несколько слов обязательно надо сказать о Ю. А. Арбузове. Он из семьи знаменитого химика – Александра Ерминингельдовича Арбузова, создавшего Казанскую школу химиков, где интенсивно развивалась фосфорорганическая химия. Юрий Александрович обладал феноменальной памятью – на химфаке считали, что он практически наизусть помнил все соединения, описанные в фундаментальном многотомнике Бейльштейна. Его памятью пользовался Президент АН СССР Александр Николаевич Несмеянов, когда ему срочно была нужна информация по какому-нибудь соединению.
Он любил подшучивать над студентами. На первом же зачете по органической химии он спрашивал всех, как зовут его отца. Никто не знал этого сложного имени Александр Ерминингельдович. И Арбузов всех выгнал с зачета. Зато теперь все мы это помним. И еще он влюблялся в талантливых учеников и, в частности, в Овчинникова и в Климова. Всячески им помогал и много с ними беседовал.
В 1959 г. был образован Институт химии природных соединений (ИХПС, впоследствии – Институт биоорганической химии), куда пошли работать многие мои друзья. В частности, один из них – Всеволод Николаевич Бочкарев (ныне покойный) – любил рассказывать, что он был первым сотрудником этого Института. Поскольку научных ставок еще не было, он был зачислен истопником.
Интересна предыстория этого института. До сих пор на фронтоне здания на улице Вавилова красуется надпись “Институт горного дела Академии Наук”. Однако, в конце пятидесятых, Никита Сергеевич Хрущёв занялся проблемой сближения науки и производства. Институт горного дела был переведён в ближайшее Подмосковье, здание освободилось. Как раз в это время борьба с лысенковщиной приближалась к победному концу и было решено создать два института: Институт химии природных соединений (ИХПС, впоследствии – Институт биоорганической химии) и Институт радиационной и физико-химической биологии (ИРФХБ, впоследствии – Институт молекулярной биологии), который мы, шутя, называли ФРГ. Институты поделили здание пополам: в левой его части, если стоять лицом к институту, располагалась ФРГ, а в правой – ИХПС. Институты тесно сотрудничали. Директором ИРФХБ был выдающийся академик Владимир Александрович Энгельгардт, а ИХПС возглавлял академик Михаил Михайлович Шемякин.
Когда в 1965 г я оканчивал аспирантуру химфака, и передо мной стоял вопрос – куда податься, Михаил Александрович Грачев, мой друг и сотрудник ИХПС, решил уехать в Новосибирск с семьей, и я пошел на его ставку в ИХПС в лабораторию Н. К. Кочеткова в группу нуклеотидов, которой руководил Эдуард Израилевич Будовский.
Первым знакомым, которого я увидел в ИХПС, был Юрий Анатольевич – с противогазом через плечо руководил занятиями по гражданской обороне. Помню, как он, увидев меня, заговорщически мне подмигнул. В 1970 году академик Шемякин скончался, и Юрий Анатольевич стал директором. А меня в 1969 году Ученый совет ИХПС избрал старшим научным сотрудником. Это была высокая честь – на конкурсе на эту должность претендовали несколько очень достойных сотрудников.
3. Я В ИХПС. НАЧАЛО РАБОТ ПО СТРУКТУРЕ НУКЛЕИНОВЫХ КИСЛОТ. РОЖДЕНИЕ ГЕННОЙ ИНЖЕНЕРИИ. СОЗДАНИЕ ГРУППЫ БИОТЕХНОЛОГИИ НУКЛЕИНОВЫХ КИСЛОТ
В это время я вместе со своим шефом Эдуардом Израилевичем Будовским изучал механизмы мутагенного действия гидроксиламина, параллельно изучал новую для меня область, в которую попал, посещал школы по молекулярной биологии в Дубне и начинал понимать, какие первоочередные задачи стоят перед химией нуклеиновых кислот. В 1965 г. американский биохимик Р. Холли установил структуру аланиновой тРНК длиной 76 нуклеотидов из дрожжей. Он разделил Нобелевскую премию по физиологии и медицине в 1968 году (вместе с Хар Гобиндом Хорана и Маршаллом Ниренбергом). Рядом в ИМБ лаборатория А. А. Баева активно работала над структурой валиновой т-РНК и закончила ее в 1967 г. А в промежутке (1966) мой будущий хороший товарищ Ханс Цахау из Мюнхена установил структуру сериновой т-РНК из дрожжей. Работа над структурами РНК кипела, и мне было ясно, что адекватного метода ее установления нет. В один прекрасный день я придумал принцип, на котором мог бы основываться такой метод [24, 25], и стал заниматься, наряду с прежними работами, с Будовским, анализом структуры ДНК.
Как раз в это время в 1972 году Пол Берг в Стэнфордском университете получил первую рекомбинантную ДНК. В 1980 году Берг был удостоен Нобелевской премии по химии. Тогда и началась эпоха генной инженерии. С ним получил премии Уолтер Гилберт и Фредерик Сенгер. Они создали методы установления первичной структуры ДНК, основанные на том же принципе, что был описан нами в 1972–1973 гг. С открытием Берга генная инженерия начала активно разрабатываться в мире и, где-то в 1977 году, Ю. А. Овчинников предложил мне создать такую группу в ИБХ. Группа под названием “Группа биотехнологии нуклеиновых кислот” была создана. К ней присоединились В. А. Ефимов и О. Г. Чахмахчева, химики-синтетики из лаборатории М. Н. Колосова. Первый продукт не заставил себя долго ждать – мы получили короткий рекомбинантный пептид лейцин-энкефалин, клонировав его генетическую структуру в E. coli. Совершенно естественно первым автором соответствующей статьи был идеолог этого направления в институте, Юрий Анатольевич [26].
4. НАЧАЛО ИССЛЕДОВАНИЙ СТРУКТУР РНК-ПОЛИМЕРАЗ
Где то, между 1975 и 1976 Ю. А. Овчинников начал исследование структуры РНК полимеразы E. coli. Напомню, что в то время полагали, что этот важнейший фермент состоит из пяти субъединиц — двух α (329 аминокислотных остатков (а/к), молекулярная масса ≈ 37 кДа), β (1342 а/к и 151 кДа), β′ (1407 а/к и 155 кДа), и σ70 (613 а/к и 70 кДа). Позже к ним добавились еще субъединицы, в частности ω (90 а/к и ≈ 10 кДа), но их рассмотрение не входит в рамки данного мемориального обзора. Четыре из них – 2α, β и β′ – образуют кор-фермент, ответственный за стадию элонгации транскрипции. Юрий Анатольевич начал работы с установления первичной структуры самой маленькой субъединицы РНК-полимеразы E. coli – α. Первая публикация на эту тему появилась в 1976 г., а окончательно структура была установлена в 1977 году. И теперь предстояло устанавливать единицы большие β и β′. Эти субъединицы состоят из более чем 1300 аминокислот и это было затруднительно для метода установления аминокислотных последовательностей того времени. И Юрий Анатольевич, человек широко мыслящий и находившийся в курсе всех современных тенденций, связанных с белками, быстро понял, что к работе следует привлечь химиков, занимающихся установлением структуры нуклеиновых кислот. Это была чрезвычайно разумная идея, потому что к тому времени техника установления первичных структур нуклеиновых кислот продвинулась очень сильно, и структуру нуклеиновой кислоты можно было определить гораздо быстрее и с меньшими затратами, чем структуру белка. А из структуры нуклеиновой кислоты можно было, пользуясь генетическим кодом, вывести структуру белка. Гены, кодирующие β- и β′ субъединицы, были доступны благодаря тому, что в Институте молекулярной генетики АН СССР лаборатория замечательного генетика Романа Бениаминовича Хесина также интересовалась РНК полимеразой и к моменту начала работы группы Юрия Анатольевича уже имела клонированные в бактериофаги гены β- и β′ субъединиц. Естественно, что Юрий Анатольевич привлек к работе созданную им группу биотехнологии нуклеиновых кислот. Это дало возможность нам незамедлительно начать работу по установлению структуры этих генов, и было ясно, что скоро эти структуры будут установлены. Я не буду рассказывать про эти работы. Гораздо лучше меня это сделают Валерий Михайлович Липкин и Татьяна Владимировна Овчинникова. Дам только ссылки на полные структуры этих генов и белков, опубликованные Ю. А. Овчинниковым совместно с моим коллективом [1–10].
5. ПОДХОДЫ К ОПРЕДЕЛЕНИЮ ФУНКЦИОНАЛЬНЫХ ЦЕНТРОВ РНК И ДНК-ПОЛИМЕРАЗ
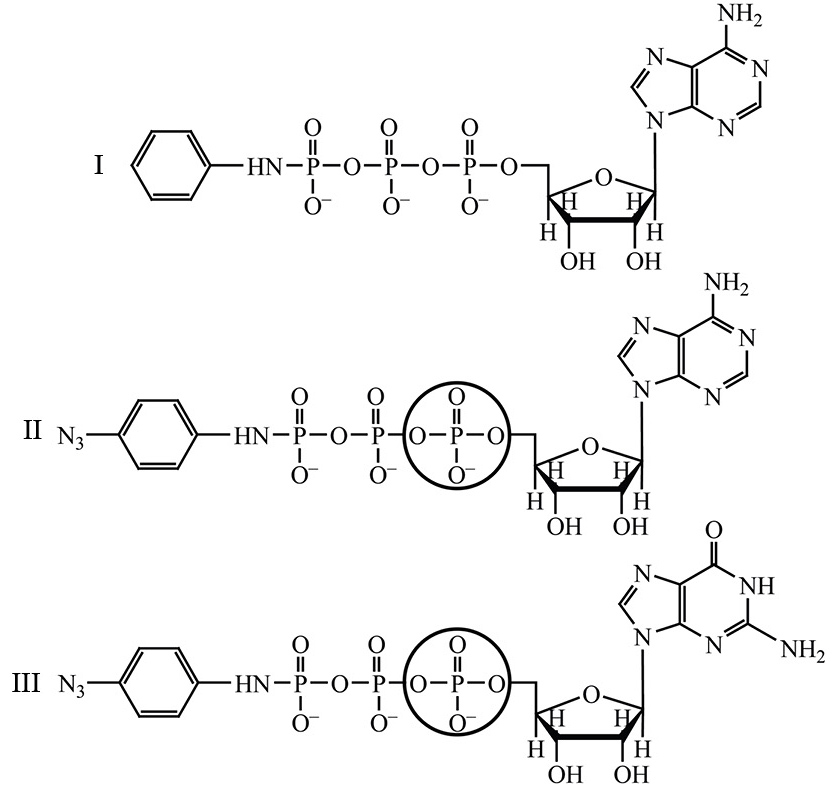
Не дожидаясь конца структурной работы, Юрий Анатольевич начал размышлять о функциональной структуре фермента. К этим размышлениям привлёк и меня. Я в это время тесно контактировал замечательным учёным Михаилом Александровичем Грачёвым, к сожалению, ушедшим от нас в 2022 году. Я часто ездил в командировки в Новосибирск, где в институте органической химии в отделе, возглавляемом Дмитрием Георгиевичем Кнорре, он работал. В одной из таких командировок, как это часто бывает, за обсуждением подходов, с помощью которых можно было бы определить функциональные центрыРНК-полимеразы, появилась идея аффинного мечения активных центров. Идея была очень простая и она изображена на рис. 1. К этому времени в лаборатории Дмитрия Георгиевича Кнорре было установлено, что гамма анилид рибонуклеозидтрифосфатов (рис. 1, I) выступает субстратом РНК-полимераз. И если в этот субстрат ввести фоточувствительную азидную группу, как это изображено на рис. 1 (II и III), то можно получить реагент для фотоаффинного мечения фермента.
Рис 1. Субстраты РНК-полимеразы. I. γ-анилид аденозин трифосфата, II. γ-азидоанилид аденозин трифосфата, III γ-азидоанилид гуанозин трифосфата. Окружности обозначают α-P³² группу
Мы показали, что производные аденозинтрифосфата и гуанозинтрифосфата (рис. 1), действительно являются субстратами фермента. Следовательно, эти аналоги могут быть использованы для фотоаффинного мечения РНК-полимеразы внутри транскрибирующих комплексов. Азидонилин находится на 5′- конце растущей цепи РНК. Образование новой фосфодиэфирной связи ведёт к сдвигу фотореактивной группы вдоль комплекса. Следовательно, облучение комплекса в разные моменты времени в ходе синтеза РНК создаёт возможность метить P32 различные сайты РНК-полимеразы в “коридоре”, вдоль которого продукт движется в транскрипционном комплексе. Мы использовали разные промотор-содержащие матрицы, представляющие собой индивидуальные фрагменты рестрикции фаговой ДНК, первичные структуры которых были известны. В качестве примера я рассмотрю фрагмент, полученный путём расщепления ДНК бактериофага Лямбда-imm434 рестриктазой EcoRI. Известно, что 5′-концевая последовательность РНК, синтезируемой РНК-полимеразой на этом фрагменте, представляет собой pppGUUGAUAGAUC. Первые четыре остатка этой последовательности состоят только из двух остатков G и U. Если в РНК-полимеразную реакцию запускать только два этих трифосфата, меченных фосфором, как на рис. 1 и содержащих азидную группу, то синтезируется тетраолигонуклеотид, и РНК-полимераза остановится. Облучение приведет к сшивке синтезированного радиоактивного тетраолигонуклеотида с теми участками РНК-полимеразы, с которыми он контактирует. Подобным образом, давая в смесь еще аденозинтрифосфат, можно синтезировать декаолигонуклеотид. Его 5′-конец с азидной группой продвинется в другое место внутри РНК-полимеразного комплекса.
Пришивка позволит идентифицировать это место. Используя разные матрицы можно, таким образом, исследовать разные зоны РНК полимеразы, контактирующие с 5′-растущей РНК на разных этапах синтеза.
В ходе синтеза РНК субъединицы РНК-полимеразы E. coli образуют, по-видимому, также несколько функциональных сайтов, отвечающих за связывание с 3′-ОН-концом растущей цепи РНК, с входящими нуклеозидтрифосфатами и с ДНК-матрицей. Для установления участков фермента, контактирующих с 3′-ОН-концом растущей РНК, на первых этапах синтеза мы использовали фотоаффинную модификацию субъединиц фермента синтезирующимися in situ олигонуклеотидами, содержащими фотореактивные 5-галогенпиримидиновые остатки вблизи 3′-ОН-конца растущей РНК.
В экспериментах σ-субъединица РНК-полимеразы специфически метится фотореактивными группами, расположенными вблизи 3′-конца синтезированного рибоолигонуклеотида. Таким образом, σ-субъединица непосредственно участвует в формировании 3′-ОН-связывающего сайта РНК-полимеразы и после диссоциации σ-субъединицы структура этого сайта меняется. В дальнейшем контактировать начинают β и β′, а контакт с σ исчезает [10]
Таким образом, был заложен фундамент для функциональных исследований функциональных центров РНК- полимеразы, а также других ферментов, полимеризующих РНК и ДНК, который в дальнейшем сильно развил, усовершенствовал и использовал М. А. Грачев и его коллеги.
6. АФГАНСКИЙ ЭПИЗОД
Три статьи с участием Ю. А. Овчинникова (из 6 статей на эту тему) посвящены Гепатиту А. Даты этих статей совпадают со временем войны в Афганистане (1979–1989 годы). История этого эпизода отражает активную роль Ю. А. Овчинникова в жизни страны.
Где-то примерно в 1984 году мне позвонил Юрий Анатольевич и попросил зайти к нему. В его кабинете сидел генерал. Юрий Анатольевич обратился ко мне со словами: “Женя, наша армия в Афганистане просит о помощи. Вот генерал (не помню его фамилии) расскажет о проблеме”. Проблема была чудовищная. Генерал сказал, что в Афганистане войска массово выходят из строя, заболевая гепатитом А: “Там жара, – сказал он, – и солдаты пьют из любого источника, даже из луж”. Это было вечером, а утром следующего дня я обзвонил наших ведущих вирусологов – Льва Степановича Сандахчиева, тогда директора научно-производственного объединения “Вектор” в Кольцово рядом с Новосибирском, Сергея Григорьевича Дроздова, директора Института полиомиелита и вирусных энцефалитов, где тогда работал Вадим Израилевич Агол. Через три дня мы собрались и обсудили ситуацию. Сандахчиев предложил быстро создать аттенюированную вакцину против гепатита А. Для этого было нужно разработать методы культивации этого вируса, его аттенюации и культивирования. Это было самое быстрое, что можно было сделать. Что же касается Института полиомиелита, то мы с медицинским академиком Дроздовым и Вадимом Израивичем Аголом решили идти по пути использования готовой вакцины против полиомиелита, заменив в нём гены, кодирующие антигенные детерминанты, на соответствующие гены из вируса гепатита А. Это была очень рискованная работа, потому что было неясно, будут ли эти замены в геноме полиомиелита совместимы с его жизнеспособностью. Работы начались незамедлительно, и к 1988 году была готова технология производства аттенюированной вакцины у Сандахчиева, а в 1989 году мы показали, что вирус полиомиелита с заменами антигенов на антигены вируса гепатита А жизнеспособен. Мы задание выполнили, но в это время война в Афганистане закончилась, в нашей стране началась неразбериха, и вакцины оказались никому не нужны, но работы по ним были изящными, оригинальными и были соответствующим образом опубликованы.
7. НОВОЕ ЗДАНИЕ ИБХ НА УЛИЦЕ МИКЛУХО-МАКЛАЯ. ГЕННО-ИНЖЕНЕРНЫЙ БЛОК
Генная инженерия, как отрасль молекулярной биологии, берет начало с 1972 года в Стэнфордском университете, в США. Тогда, как я уже упоминал, лаборатория Пола Берга, получила вне организма рекомбинантную (гибридную) молекулу ДНК, состоящую из фрагментов фаговой, бактериальной и вирусной ДНК. Следующим революционным шагом стала статья Стенли Коэна и Герберта Бойера (1973) об успешном переносе человеческого гена инсулина в клетку Escherichia coli и осуществлении его экспрессии. Сразу же в индивидуальном порядке они объявили мораторий на свои исследования и призвали к этому своих коллег. В 1975 году Пол Берг и другие “генные инженеры” организовали Асиломарскую конференцию по рекомбинантной ДНК, на которой были обсуждены возможные риски, связанные с созданием генетически модифицированных организмов (ГМО), и в 1976 г. была разработана система правил, регламентировавшая подобные исследования. В этом же году Овчинников начал строить новое здание Института, сверху напоминающее двойную спираль ДНК. Естественно, в нем было предусмотрено помещение для генной инженерии, причем в самом опасном варианте, так называемом Р4. Создавать его проект совместно с югославской фирмой, которую подрядили строить институт, Юрий Анатольевич поручил мне. Фирма до этого строила только жилые дома и гостиницы и, естественно, не имела преставления об оборудовании и планировке помещений для безопасной работы с рекомбинантными ДНК. Я отверг первый же их проект и дал рекомендации по требованиям, предъявляемым к таким помещениям. Однако, второй вариант также был непригоден. Я изложил ситуацию Ю. А. Овчинникову и предложи пригласить квалифицированных консультантов.
В это время я поехал в командировку в Англию и там меня пригласили в Институт микробиологии в Солсбери (надеюсь помню правильно, много времени прошло), который до этого был закрытым военизированным учреждением, но в связи с разрядкой его открыли и перевели на самофинансирование. Они предложили услуги по проектированию помещений для работы с особо опасными микроорганизмами. Я ознакомился с их помещениями и сотрудниками, руководившими подобного рода работами, рассказал им о своих проблемах, и они предложили создать для нашего Института соответствующий проект. Приехав в Москву, я пошёл к Юрию Анатольевичу, изложил ему ситуацию и предложил пригласить людей из этого института для создания нашего проекта. Юрий Анатольевич сначала отверг это предложение, поскольку это стоило довольно больших денег, причём валютных. Однако, вскоре деньги для приглашения проектантов из Солсбери были найдены, был составлен проект и согласован с ГИПРОНИИ Академии наук. В результате появилось то помещение, которое сейчас существует, но оно уже потеряло свою функциональность. Сразу после того, как помещение было построено и принято приёмной комиссией, я попросил Юрия Анатольевича назначить ответственного за это помещение. Юрий Анатольевич назначил Юру Ушкарёва, который до этого долго работал в моей лаборатории над проектом первичной структуры РНК-полимеразы. что касается нового здания, то оно служит великолепным памятником Юрию Анатольевичу. Работать в нем комфортно и почетно.
Кто-то из великих сказал: “Нужно быть абсолютно выдающимся, чтобы тебя помнили через 10 лет после твоей смерти”.
Мы, наши ученики будем помнить академика Овчинникова Юрия Анатольевич всегда.
СОБЛЮДЕНИЕ ЭТИЧЕСКИХ СТАНДАРТОВ
Настоящая статья не содержит описания исследований с участием людей или использованием животных в качестве объектов исследования.
КОНФЛИКТ ИНТЕРЕСОВ
Автор заявляет об отсутствии конфликта интересов.
Об авторах
Е. Д. Свердлов
Национальный исследовательский центр «Курчатовский Институт»
Автор, ответственный за переписку.
Email: edsverd@gmail.com
Россия, 123182 Москва, пл. Академика Курчатова, 1
Список литературы
- Lipkin V.M., Sverdlov E.D., Monastyrskaya G.S., Ovchinnikov Yu.A. // Method. Protein Sequence Anal. 1982. P. 355–362.
- Lipkin V.M., Sverdlov E.D., Ovchinnikov Yu.A. // Proc. Indian Natn. Sci. Acad. 1982. P. 56–68.
- Marchenko T.V., Lipkin V.M., Chertov Yu.O., Sverdlov E.D., Ovchinnikov Yu.A. // Int. J. Quantum Chem. 1981. V. 20. P. 283–289. https://doi.org/10.1002/qua.560200202
- Ovchinnikov Yu.A., Monastyrskaia G.S., Gubanov V.V., Guriev S.O., Chertov O.Yu., Modianov N.N., Grinkevich V.A., Makarova I.A., Marchenko T.V., Polovnikova I.N. // Dokl. Akad. Nauk SSSR. 1980. V. 253. P. 994–998.
- Ovchinnikov Iu.A., Monastyrskaia G.S., Gubanov V.V., Guriev S.O., Salomatina I.S., Shuvaeva T.M., Lipkin V.M., Sverdlov E.D., Shemakina M.M. // Dokl. Ros. Akad. Nauk. 1981. V. 261. P. 763–768.
- Ovchinnikov Y.A., Monastyrskaya G.S., Gubanov V.V., Gureyev S.O., Chertov O.Y., Modyanov N.N., Grinkevich V.A., Makarova I.A., Mrchenko T.V., Polovnikova I.N. // Europ. J. Biochem. 1981. V. 116. P. 621– 629.
- Ovchinnikov Yu.A., Monastyrskaya G.S., Gubanov V.V., Salomatina I.S., Shuvaeva T.M., Lipkin V.M., Sverdlov E.D. // Rus. J. Bioorg. Chem. 1981. V. 7. P. 1107–1112.
- Ovchinnikov Y.A., Monastyrskaya G.S., Guriev S.O., Kalinina N.F., Sverdlov E.D., Gragerov A.I., Bass I.A., Kiver I.F., Moiseyeva E.P., Igumnov V.N., Mindlin S.Z., Nikiforov V.G., Khesin R.B. // Mol. Gen. Genet. 1983. V. 190. P. 344–348. https://doi.org/10.1007/bf00330662
- Овчинников Ю.А., Свердлов Е.Д., Липкин В.М., Монастырская Г.С., Чертов О.Ю., Губанов В.В., Гурьв С.О., Модянов Н.Н., Гринкевич В.А., Макарова И.А., Марченко Т.В., Половникова И.Н. // Биоорг. химия. 1980. Т 6. С. 655–665.
- Sverdlov, E.D,. Tsarev, S.A. Levitan, T.L. Lipkin, V.M. Modyanov, N.N. Grachev, M.A. Saychikov, E.F. Pletnev, A.G., Ovchinnikov, Yu.A. / Interaction of E. coli RNA Polymerase with Substrates During Initiation of RNA Synthesis at Different Promoters in Macromolecules in the Functioning Cell / Salvatore F., Marino G., Volpe P., Eds., Springer, Boston M.A., 1979, Plenum Press, New York. https://doi.org/10.1007/978-1-4684-3465-1_10
- Broude N.E., Sverdlov E.D., Ovchinnikov Yu.A. The Family of Human Na+,K+-ATPase Genes, Organization and Function of the Eucaryotic Genome / Abstracts Seventh German-Soviet Symposium, 1987, April 2–4, Springer, Heidelberg.
- Ovchinnikov Yu.A., Monastyrskaia G.S., Broude N.E., Ushkarev Yu.A., Dolganov G.M. // Dokl. Akad. Nauk SSSR. 1986. V. 287. P. 1251–1254.
- Ovchinnikov Yu.A., Modyanov N.N., Broude N.E., Petrukhin K.E., Grishin A.V., Arzamazova N.M., Aldanova N.A., Monastyrskaya G.S., Sverdlov E.D. // FEBS Lett. 1986. V. 201. P. 237–245. https://doi.org/10.1016/0014-5793(86)80616-0
- Ovchinnikov Yu.A., Monastyrskaya G.S., Broude N.E., Allikmets R.L., Ushkaryov Yu.A., Melkov A.M., Smirnov Yu.V., Malyshev I.V., Dulubova I.E., Petrukhin K.E. // FEBS Lett. 1987. V. 213. P. 73–80. https://doi.org/10.1016/0014-5793(87)81467-9
- Ovchinnikov Yu.A., Monastyrskaya G.S., Broude N.E., Ushkaryov Yu.A., Melkov A.M., Smirnov Yu.V., Malyshev I.V., Allikmets R.L., Kostina M.B., Dulubova I.E. // FEBS Lett. 1988. V. 233. P. 87–94.
- Sverdlov E.D., Tsaryov S.A., Modyanov N.N., Lipkin V.M., Grachev M.A., Zaychikov E.F., Pletnyov A.G. // Bioorg. Khim.(USSR). 1978. V. 4. P. 1278.
- Sverdlov E.D., Tsarev S.A., Kuznetsova N.F. // FEBS Lett. 1980. V. 112. P. 296–298. https://doi.org/10.1016/0014-5793(80)80202-X
- Ovchinnikov Yu.A., Sverdlov E.D., Monastyrskaia G.S., Tsarev S.A., Zaitseva E.M. // Mol. Biol. 1984. V. 18. P. 48–59.
- Ovchinnikov Yu.A., Sverdlov E.D., Tsarev S.A., Khodkova E.M., Monastyrskaia G.S. // Dokl. Akad. Nauk SSSR. 1982. V. 262. P. 725–728.
- Ovchinnikov Iu.A., Sverdlov E.D., Tsarev S.A., Monastyrskaia G.S., Khodkova E.M. // Dokl. Akad. Nauk SSSR. 1983. V. 268. P. 996–1000. PMID: 6187523
- Ovchinnikov Yu.A., Sverdlov E.D., Tsarev S.A. // Electronic J.Inform. Technol. Construct. 1982. V. 1–6. P. 265.
- Ovchinnikov Yu.A., Sverdlov E.D., Tsarev S.A. // Electronic J. Inform. Technol. Construct. 1982. V. 1–6. P. 262.
- Ovchinnikov, Yu.A., Zhdanov V.M., Khodkova E.M., Efimov V.A., Chakhmakhcheva D.G., Kustetsov V.P. // Labor-Med. (GIT-Verlag Giebeler). 1983. V. 6. P. 385– 392.
- Sverdlov E.D., Monastyrskaya G.S., Budowsky E.I., Grachev M.A. // FEBS Lett. 1972. V. 28. P. 231–235. https://doi.org/10.1016/0014-5793(72)80719-1
- Sverdlov E.D., Monastyrskaya G.S., Chestukhin A.V., Budowsky E.I. // FEBS Lett. 1973. V. 33. P. 15–17. https://doi.org/10.1016/0014-5793(73)80148-6
- Ovchinnikov Iu.A., Dolganov G.M., Efimov V.A., Monastyrskaia G.S., Sverdlov E.D. // Dokl. Akad. Nauk SSSR. 1979. V. 248. P. 1486–1491.
- Balayan M.S., Kusov Yu.Yu., Andjaparidze A.G., Tsarev S.A., Sverdlov E.D., Chizhikov V.E., Blinov V.M., Vasilenko S.K. // FEBS Lett. 1989. V. 247. P. 425–428. https://doi.org/10.1016/0014-5793(89)81384-5
- Kusov I.I., Kazachkov I.A., Grabko V.I., Nastashenko T.A., Balaian M.S., Tsarev S.A., Rokhlina T.O., Sverdlov E.D. // Dokl. Akad. Nauk SSSR. 1987. V. 294. P. 731–734
- Sverdlov E.D., Tsarev S.A., Markova S.V., Rostapshov V.M., Azhikina T.L., Chenov I.P., Gorbalenya A.E., Kolesnikova M.S., Romanova L.I., Teterina N.L. // FEBS Lett. 1989. V. 257. P. 354–356. https://doi.org/10.1016/0014-5793(89)81570-4
- Ovchinnikov Iu.A., Sverdlov E.D., Tsarev S.A., Arsenian S.G., Rokhlina T.O. // Dokl. Akad. Nauk SSSR. 1985. V. 285. P. 1014–1018. PMID: 3000718
- Шемякин, М. М., Арбузов, Ю. А., Колосов, М. Н., Овчинников, Ю. А. // Докл. АН СССР. 1985. T. 133. C. 1121–1124.
Дополнительные файлы



