Effect of Guanidine Derivatives of Quinazoline on Na+/H+-Exchanger and Intraocular Pressure
- Authors: Taran A.S.1,2, Naumenko L.V.1, Govorova J.A.1, Gurova N.A.1, Spasov A.A.1,2, Ozerov A.A.1,2, Merezhkina D.V.1
-
Affiliations:
- Volgograd State Medical University, Ministry of Healthcare of the Russian Federation
- Volgograd Medical Scientific Center
- Issue: Vol 49, No 2 (2023)
- Pages: 207-215
- Section: Articles
- URL: https://ogarev-online.ru/0132-3423/article/view/145879
- DOI: https://doi.org/10.31857/S0132342323020215
- EDN: https://elibrary.ru/PGNDUV
- ID: 145879
Cite item
Full Text
Abstract
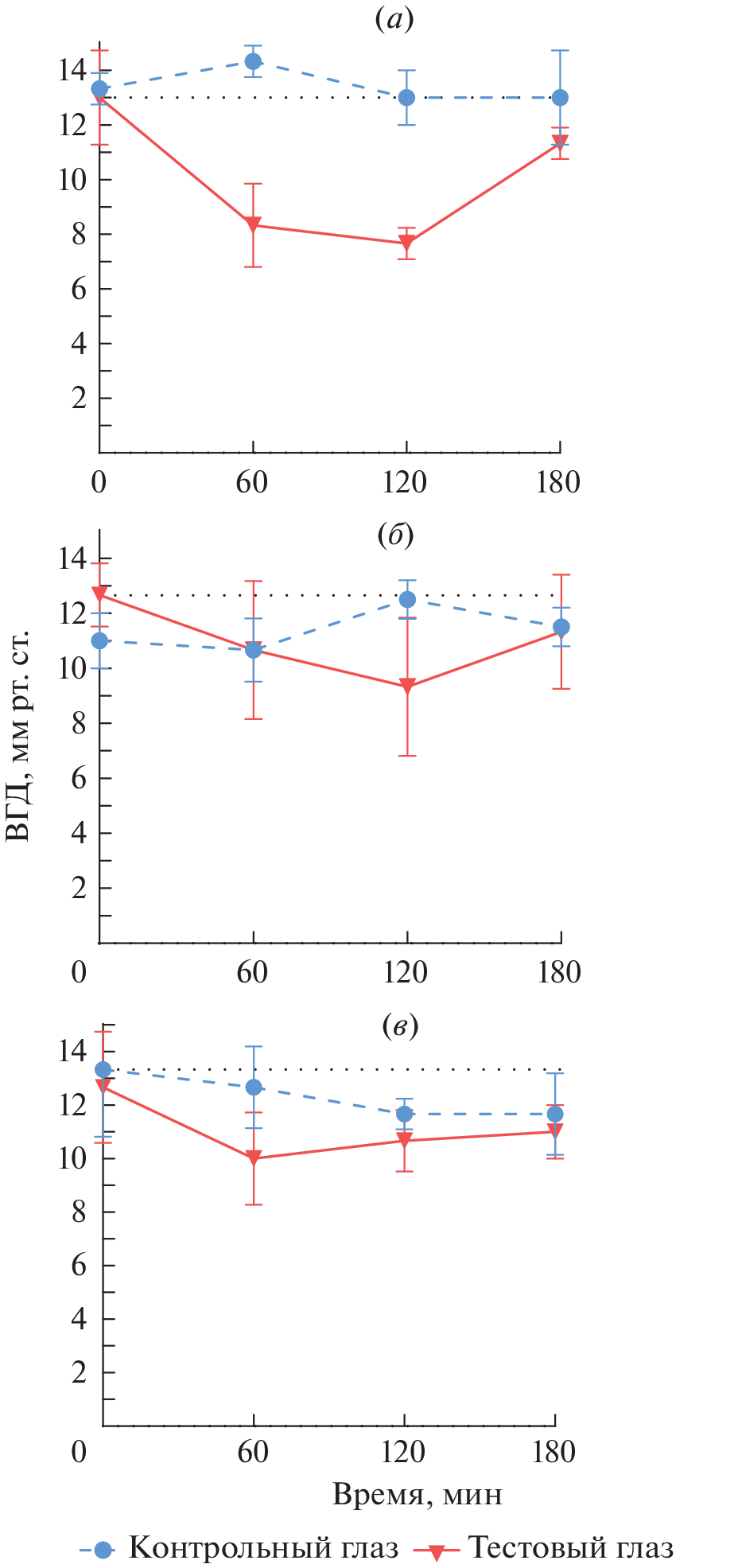
Based on the data of the role of Na+/H+-exchanger (NHE) in the modulation of intraocular pressure, which is the main factor in the development of glaucoma, and previously conducted studies by various authors proving the presence of inhibitory NHE-1 activity in quinazoline derivatives, nine new compounds belonging to this class were synthesized. The effect of the obtained quinazoline derivatives on the inhibition of Na+/H+-exchanger and their on intraocular pressure (IOP) in comparison with zoniporide (NHE inhibitor) and timolol (a drug for lowering IOP used in clinical practice) was studied. Among the compounds studied in vitro, all quinazoline derivatives at a concentration of 1 nM inhibited the activity of NHE-1, the most active compound was a derivative of quinazoline acetylguanidine. However, not all compounds showed IOP-reducing activity in vivo in rats. So the most active of the quinazoline derivatives are 4-oxoquinazoline acetylguanidine, its brominated derivative at position C6 and quinazoline propionylguanidine. The structure–activity analysis showed that the presence of the Br atom at the C6 position of the 4-oxoquinazoline acetylguanidine derivative leads to a maximum decrease in IOP during instillation of the solution of the compound.
About the authors
A. S. Taran
Volgograd State Medical University, Ministry of Healthcare of the Russian Federation; Volgograd Medical Scientific Center
Author for correspondence.
Email: taran-a.s@yandex.ru
Russia, 400131, Volgograd,
pl. Pavshikh Bortsov 1; Russia, 400131, Volgograd, pl. Pavshikh Bortsov 1
L. V. Naumenko
Volgograd State Medical University, Ministry of Healthcare of the Russian Federation
Email: taran-a.s@yandex.ru
Russia, 400131, Volgograd,
pl. Pavshikh Bortsov 1
Ju. A. Govorova
Volgograd State Medical University, Ministry of Healthcare of the Russian Federation
Email: taran-a.s@yandex.ru
Russia, 400131, Volgograd,
pl. Pavshikh Bortsov 1
N. A. Gurova
Volgograd State Medical University, Ministry of Healthcare of the Russian Federation
Email: taran-a.s@yandex.ru
Russia, 400131, Volgograd,
pl. Pavshikh Bortsov 1
A. A. Spasov
Volgograd State Medical University, Ministry of Healthcare of the Russian Federation; Volgograd Medical Scientific Center
Email: taran-a.s@yandex.ru
Russia, 400131, Volgograd,
pl. Pavshikh Bortsov 1; Russia, 400131, Volgograd, pl. Pavshikh Bortsov 1
A. A. Ozerov
Volgograd State Medical University, Ministry of Healthcare of the Russian Federation; Volgograd Medical Scientific Center
Email: taran-a.s@yandex.ru
Russia, 400131, Volgograd,
pl. Pavshikh Bortsov 1; Russia, 400131, Volgograd, pl. Pavshikh Bortsov 1
D. V. Merezhkina
Volgograd State Medical University, Ministry of Healthcare of the Russian Federation
Email: taran-a.s@yandex.ru
Russia, 400131, Volgograd,
pl. Pavshikh Bortsov 1
References
- Балалин С.В., Фокин В.П. // Клиническая офтальмология. 2019. Т. 19. С. 43–48. https://doi.org/10.21689/2311-7729-2019-19-1-43-48
- Avila M.Y., Seidler R.W., Stone R.A., Civan M.M. // Invest. Ophthalmol. Vis. Sci. 2002. V. 43. P. 1897–1902.
- Mandal A., Shahidullah M., Delamere N.A., Terán M.A. // Am. J. Physiol. Cell Physiol. 2009. V. 297. P. C111–C120. https://doi.org/10.1152/ajpcell.00539.2008
- Lupachyk S., Stavniichuk R., Komissarenko J., Drel V., Obrosov A., El-Remessy B., Pacher P., Obrosova I. // Int. J. Mol. Med. 2012. V. 29. P. 989–998. https://doi.org/10.3892/ijmm.2012.933
- Fidzinski P., Salvador-Silva M., Choritz L., Geibel J., Coca-Prados M. // Am. J. Physiol. Cell Physiol. 2004. V. 287. P. C655–C663. https://doi.org/10.1152/ajpcell.00552.2003
- Spasov A., Ozerov A., Vassiliev P., Kosolapov V., Gurova N., Kucheryavenko A., Naumenko L., Babkov D., Sirotenko V., Taran A., Litvinov R., Borisov A., Klochkov V., Merezhkina D., Miroshnikov M., Uskov G., Ovsyankina N. // Sci. Rep. 2021. V. 11. P. 1–13. https://doi.org/10.1038/s41598-021-03722-w
- Спасов А.А., Гурова Н.А., Тимофеева А.С., Сорокин С.М. // Эксперим. и клинич. фармакология. 2014. Т. 77. № 6. С. 13–17.
- Pedersen S.F., Counillon L. // Physiol. Rev. 2019. V. 99. P. 2015–2113. https://doi.org/10.1152/physrev.00028.2018
- Gubin D., Neroev V., Malishevskaya T., Cornelissen G., Astakhov S., Kolomeichuk S., Yuzhakova N., Kabitskaya Y., Weinert D. // J. Pineal Res. 2021. V. 70. P. e12730. https://doi.org/10.1111/jpi.12730
- Озеров А.А., Новиков М.С., Глухова Е.Г. // Усп. соврем. естествознания. 2016. № 2. С. 53–56.
- Гурова Н.А., Спасов А.А., Питерсен А.С. // Вестник Волгоград. гос. мед. ун-та. 2011. № 2. С. 70–72.
- Спасов А.А., Гурова Н.А., Харитонова М.В. // Эксперим. и клинич. фармакология. 2013. Т. 76. № 1. С. 43–48.
- Rosskopf D., Morgenstern E., Scholz W., Osswald U., Siffert W. // J. Hypertens. 1991. V. 9. № 3. P. 231–238.
- Kusumoto K., Igata H., Abe A., Ikeda S., Tsuboi A., Imamiya E., Fukumoto S., Shiraishi M., Watanabe T. // Br. J. Pharmacol. 2002. V. 135. P. 1995–2003. https://doi.org/10.1038/sj.bjp.0704647
- Солодунова Е.А., Новиков М.С., Озеров А.А. // Волгоград. научно-мед. журн. 2015. № 3. С. 36–38.
- Солодунова Г.Н., Волкова А.О., Коршенинникова А.С., Кучеренко А.Р., Скороход Е.Д., Толкачева В.И., Турченкова К.В., Турченкова Л.В. // Волгоград. научно-мед. журн. 2018. № 2. С. 20–22.
- Marcus A.J., Iezhitsa I., Agarwal R., Vassiliev P., Spasov A., Zhukovskaya O., Anisimova V., Ismail N.M. // Data Brief. 2018. V. 18. P. 523–554. https://doi.org/10.1016/j.dib.2018.03.019
Supplementary files








