Синтез и трансфицирующая активность дисульфидных поликатионных амфифилов
- Авторы: Петухов И.А.1, Пучков П.А.1, Морозова Н.Г.1, Зенкова М.А.2, Маслов М.А.1
-
Учреждения:
- Институт тонких химических технологий им. М.В. Ломоносова, МИРЭА – Российский технологический университет
- Институт химической биологии и фундаментальной медицины СО РАН
- Выпуск: Том 49, № 2 (2023)
- Страницы: 165-177
- Раздел: Статьи
- URL: https://ogarev-online.ru/0132-3423/article/view/145876
- DOI: https://doi.org/10.31857/S0132342323010232
- EDN: https://elibrary.ru/GIHSNO
- ID: 145876
Цитировать
Полный текст
Аннотация
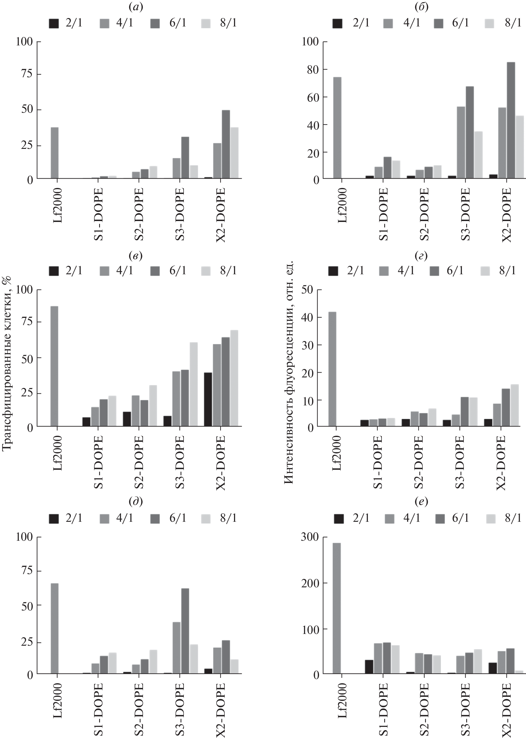
Осуществлен синтез новых поликатионных амфифилов, содержащих в своей структуре дисульфидную группу. На основе полученных соединений и липида-хелпера 1,2-диолеоил-sn-глицеро-3-фосфатидилэтаноламина сформированы катионные липосомы, которые продемонстрировали отсутствие токсичности для клеток НЕК293 и HeLa и высокую эффективность доставки флуоресцентно-меченого олигодезоксирибонуклеотида. Эффективность доставки плазмидной ДНК pEGFP-C2 зависела от клеточной линии и структуры амфифила, при этом липосомы на основе тетракатионных амфифилов оказались наиболее эффективными трансфектантами, которые могут быть использованы для трансфекции эукариотических клеток in vitro, а также для проведения дальнейших биологических испытаний in vivo.
Ключевые слова
Об авторах
И. А. Петухов
Институт тонких химических технологий им. М.В. Ломоносова,МИРЭА – Российский технологический университет
Email: puchkov_pa@mail.ru
Россия, Москва, 119571
П. А. Пучков
Институт тонких химических технологий им. М.В. Ломоносова,МИРЭА – Российский технологический университет
Автор, ответственный за переписку.
Email: puchkov_pa@mail.ru
Россия, Москва, 119571
Н. Г. Морозова
Институт тонких химических технологий им. М.В. Ломоносова,МИРЭА – Российский технологический университет
Email: puchkov_pa@mail.ru
Россия, Москва, 119571
М. А. Зенкова
Институт химической биологии и фундаментальной медицины СО РАН
Email: puchkov_pa@mail.ru
Россия, 630090, Новосибирск, просп. Академика Лаврентьева, 8
М. А. Маслов
Институт тонких химических технологий им. М.В. Ломоносова,МИРЭА – Российский технологический университет
Автор, ответственный за переписку.
Email: puchkov_pa@mail.ru
Россия, Москва, 119571
Список литературы
- Sung Y.K., Kim S.W. // Biomater. Res. 2019. V. 23. P. 1–7. https://doi.org/10.1186/S40824-019-0156-z
- Ni R., Zhou J., Hossain N., Chau Y. // Adv. Drug Deliv. Rev. 2016. V. 106. P. 3–26. https://doi.org/10.1016/J.ADDR.2016.07.005
- Lan T., Que H., Luo M., Zhao X., Wei X. // Mol. Cancer. 2021. V. 21. P. 71. https://doi.org/10.1186/s12943-022-01550-8
- Beltrán-Gracia E., López-Camacho A., Higuera-Ciapara I., Velázquez-Fernández J.B., Vallejo-Cardona A.A. // Cancer Nanotechnol. 2019. V. 10. P. 1–40. https://doi.org/10.1186/S12645-019-0055-Y
- Patel R., Kaki M., Potluri V.S., Kahar P., Khanna D. // Hum. Vaccin. Immunother. 2022. V. 18. P. 2002083. https://doi.org/10.1080/21645515.2021.2002083
- Gottfried L.F., Dean D.A. // Extracellular and Intracellular Barriers to Non-Viral Gene Transfer. In Novel Gene Therapy Approaches / Ed. Wei M. London: InTech, 2013. P. 75–88.
- Puchkov P.A., Maslov M.A. // Pharmaceutics. 2021. V. 13. P. 920. https://doi.org/10.3390/pharmaceutics13060920
- Yu C., Li L., Hu P., Yang Y., Wei W., Deng X., Wang L., Tay F.R., Ma J. // Adv. Sci. 2021. V. 8. P. 2100540.
- Zhang X.X., McIntosh T.J., Grinstaff M.W. // Biochimie. 2012. V. 94. P. 42–58. https://doi.org/10.1016/j.biochi.2011.05.005
- Chen X., Yang J., Liang H., Jiang Q., Ke B., Nie Y. // J. Mater. Chem. B. 2017. V. 5. P. 1482–1497. https://doi.org/10.1039/C6TB02945K
- Liu J., Chang J., Jiang Y., Meng X., Sun T., Mao L., Xu Q., Wang M. // Adv. Mater. 2019. V. 31. P. 1–7. https://doi.org/10.1002/adma.201902575
- Петухов И.А., Маслов М.А., Морозова Н.Г., Серебренникова Г.А. // Известия Академии наук. Серия химическая. 2010. № 1. С. 254–261.
- Sebyakin Y.L., Budanova U.A., Guryeva L.Y. // Biochem. Suppl. Ser. A Membr. Cell Biol. 2007. V. 1. P. 212–218. https://doi.org/10.1134/S1990747807030038
- Goyal P., Goyal K., Kumar S.G.V., Singh A., Katare O.P., Mishra D.N. // Acta Pharm. 2005. V. 55. P. 1–25.
- Masotti A., Mossa G., Cametti C., Ortaggi G., Bianco A., Grosso N.D., Malizia D., Esposito C. // Colloids Surf. B Biointerfaces. 2009. V. 68. P. 136–144. https://doi.org/10.1016/J.COLSURFB.2008.09.017
- Byk T., Haddada H., Vainchenker W., Louache F. // Hum. Gene Ther. 1998. V. 9. P. 2493–2502. https://doi.org/10.1089/hum.1998.9.17-2493
- Shen G., Rajan R., Zhu J., Bell C.E., Pei D. // J. Med. Chem. 2006. V. 49. P. 3003–3011. https://doi.org/10.1021/jm060047g
- Miller K.A., Kumar E.V.K.S., Wood S.J., Cromer J.R., Datta A., David S.A. // J. Med. Chem. 2005. V. 48. P. 2589–2599. https://doi.org/10.1021/jm049449j
- Elsana H., Olusanya T.O.B., Carr-Wilkinson J., Darby S., Faheem A., Elkordy A.A. // Sci. Rep. 2019. V. 9. P. 1–17. https://doi.org/10.1038/s41598-019-51065-4
- Maslov M.A., Kabilova T.O., Petukhov I.A., Morozova N.G., Serebrennikova G.A., Vlassov V.V., Zenkova M.A. // J. Control. Release. 2012. V. 160. P. 182–193. https://doi.org/10.1016/j.jconrel.2011.11.023
- Aljaberi A., Spelios M., Kearns M., Selvi B., Savva M. // Colloids Surf. B Biointerfaces. 2007. V. 57. P. 108–117. https://doi.org/10.1016/j.colsurfb.2007.01.012
- Sebastiani F., Yanez Arteta M., Lindfors L., Cárdenas M. // J. Colloid Interface Sci. 2022. V. 610. P. 766–774. https://doi.org/10.1016/J.JCIS.2021.11.117
- Ivanković M., Ćukušić A., Gotić I., Škrobot N., Matijašić M., Polančec D., Rubelj I. // Biogerontology. 2007. V. 8. P. 163–172. https://doi.org/10.1007/s10522-006-9043-9
- Tang F., Hughes J.A. // Bioconjug. Chem. 1999. V. 10. P. 791–796. https://doi.org/10.1021/BC990016I
- Yong-Hee K., You Han Bae, Sung Wan Kim // J. Control. Release 1994. V. 28. P. 143–152. https://doi.org/10.1016/0168-3659(94)90161-9
Дополнительные файлы








