A New Complex of the Glucose Phosphate Isomerase Ribozyme with the Enzyme Hexokinase in Yeast
- Authors: Solovjeva O.N.1
-
Affiliations:
- Belozersky Institute of Physico-Chemical Biology, Lomonosov Moscow State University
- Issue: Vol 49, No 5 (2023)
- Pages: 494-501
- Section: Articles
- URL: https://ogarev-online.ru/0132-3423/article/view/139253
- DOI: https://doi.org/10.31857/S013234232305007X
- EDN: https://elibrary.ru/BYLHBD
- ID: 139253
Cite item
Full Text
Abstract
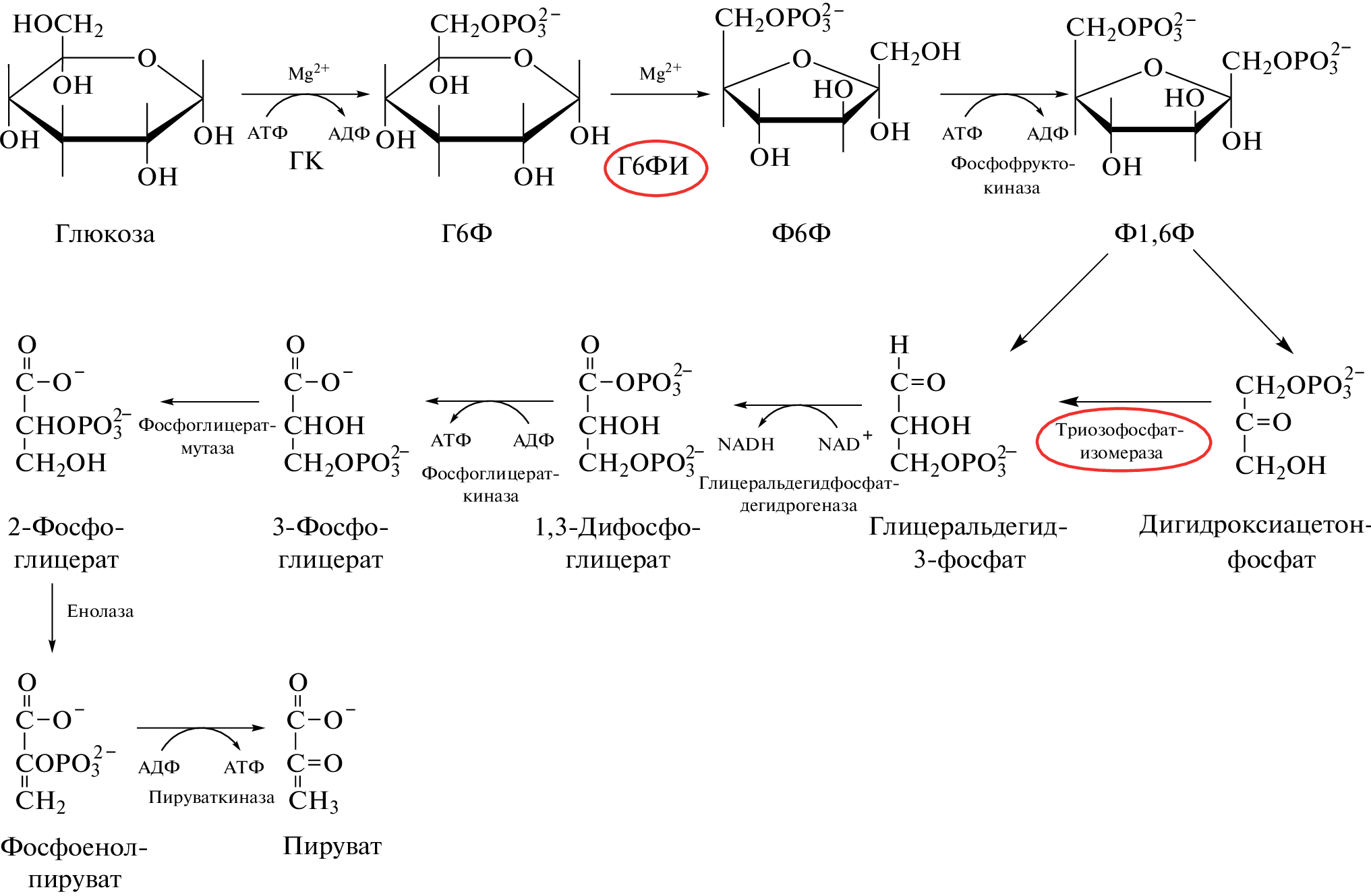
The existence of a previously unknown ribozyme with the catalytic function of glucose phosphate isomerase was shown. It catalyzes the interconversion of glucose 6-phosphate and fructose 6-phosphate. This ribozyme was found in baker’s yeast Saccharomyces cerevisiae and was isolated as a complex with the enzyme hexokinase. The complex was easily isolated on an immunoaffinity column with antibodies to hexokinase. The ribozyme consists of 41–42 nucleotides and has a molecular weight of about 14.15–14.5 kDa. Km and Vmax are accordingly 0.14 ± 0.02 mM and 14.0 ± 1.3 U/mg for glucose 6-phosphate and 0.2 ± 0.03 mM and 15.4 ± 1.4 U/mg for fructose 6-phosphate. These kinetic characteristics are approximately the same in the complex and for the free ribozyme. Hexokinase within the complex retains its catalytic activity.
About the authors
O. N. Solovjeva
Belozersky Institute of Physico-Chemical Biology, Lomonosov Moscow State University
Email: soloveva_o@list.ru
Russia, 119234, Moscow, Leninskie gory 1/40
References
- Cech T.R., Zaug A.J., Grabowski P.I. // Cell. 1981. V. 27. P. 487–496. https://doi.org/10.1016/0092-8674(81)90390-1
- Kruger K., Grabowski P.J., Zaug A.J., Sands J., Gottschling D.E., Cech T.R. // Cell. 1982. V. 31. P. 147–157. https://doi.org/10.1016/0092-8674(82)90414-7
- Guerrier-Takada C., Gardiner K., Marsh T., Pace N., Altman S. // Cell. 1983. V. 35. P. 849–857. https://doi.org/10.1016/0092-8674(83)90117-4
- Wilson T.J., Lilley D.M.J. // Wiley Interdiscip. Rev. RNA. 2021. V. 12. P. e1651. https://doi.org/10.1002/wrna.165
- Lilley D.M. // Phil. Trans. R. Soc. Lond. B. Biol. Sci. 2011. V. 366. P. 2910–2917. https://doi.org/10.1098/rstb.2011.0132
- Lilley D.M. // Biochem. Soc. Trans. 2011. V. 39. P. 641–646. https://doi.org/10.1042/BST0390641
- Wilson T.J., Lilley D.M. // RNA. V. 21. P. 534–537. https://doi.org/10.1261/rna.049874.115
- Müller S., Appel B., Balke D., Hieronymus R., Nübel C. // F1000Res. 2016. V. 5. P. 1511. https://doi.org/10.12688/f1000research.8601.1
- Kuznetsova S.A., Petrukov K.S., Pletnev F.I., Sergiev P.V., Dontsova O.A. // Biochemistry (Moscow). 2019. V. 84. P. 851–869. https://doi.org/10.1134/S0006297919080029
- Suga H., Cowan J.A., Szostak J.W. // Biochemistry. 1998. V. 37. P. 10118–10125. https://doi.org/10.1021/bi980432a
- DeRose V.J. // Chem. Biol. 2002. V. 9. P. 961–969. https://doi.org/10.1016/S1074-5521(02)00217-X
- Kingery D.A., Pfund E., Voorhees R.M., Okuda K., Wohlgemuth I., Kitchen D.E., Rodnina M.V., Strobel S.A. // Chem. Biol. 2008. V. 15. P. 493–500. https://doi.org/10.1016/j.chembiol.2008.04.005
- Wohlgemuth I., Brenner S., Beringer M., Rodnina M.V. // J. Biol. Chem. 2008. V. 283. P. 32229–32235. https://doi.org/10.1074/jbc.M805316200
- Kikovska E., Svard S.G., Kirsebom L.A. // Proc. Natl. Acad. Sci. USA. 2007. V. 104. P. 2062–2067. https://doi.org/10.1073/pnas.0607326104
- Marvin M.C., Engelke D.R. // J. Cell. Biochem. 2009. V. 108. P. 1244–1251. https://doi.org/10.1002/jcb.22367
- McCarthy T.J., Plog M.A., Floy S.A., Jansen J.A., Juliane K., Soukup J.K., Soukup G.A. // Chem. Biol. 2005. V. 12. P. 1221–1226. https://doi.org/10.1016/j.chembiol.2005.09.006
- Brooks K.M., Hampel K.J. // Biochemistry. 2011. V. 50. P. 2424–2433. https://doi.org/10.1021/bi101842u
- Bingaman J.L., Zhang S., Stevens D.R., Yennawar N.H., Hammes-Schiffer S., Bevilacqua P.C. // Chem. Biol. 2017. V. 13. P. 439–445. https://doi.org/10.1038/nchembio.2300
- Lohse P.A., Szostak J.W. // Nature. 1996. V. 381. P. 442–444. https://doi.org/10.1038/381442a0
- Travascio P., Bennet A.J., Wang D.Y., Sen D. // Chem. Biol. 1999. V. 6. P. 779–787. https://doi.org/10.1016/S1074-5521(99)80125-2
- Nieuwlandt D., West M., Cheng X., Kirshenheuter G., Eaton B.E. // ChemBioChem. 2003. V. 4. P. 651–654. https://doi.org/10.1002/cbic.200300610
- Cernak P., Sen D. // Nat. Chem. 2013. V. 5. P. 971–977. https://doi.org/10.1038/nchem.1777
- Tsukiji S., Pattnaik S.B., Suga H. // Nat. Struct. Biol. 2003. V. 10. P. 713–717. https://doi.org/10.1038/nsb964
- Corley M., Burns M.C., Yeo G.W. // Mol. Cell. 2020. V. 78. P. 9–29. https://doi.org/10.1016/j.molcel.2020.03.011
- Smith J.M., Sandow J.J., Webb A.I. // Biochem. Soc. Trans. 2021. V. 49. P. 393–403. https://doi.org/10.1042/BST20200688
- Ramanathan M., Porter D.F., Khavari P.A. // Nat. Methods. 2019. V. 16. P. 225–234. https://doi.org/10.1038/s41592-019-0330-1
- Tsukiji S., Pattnaik S.B., Suga H. // J. Am. Chem. Soc. 2004. V. 126. P. 5044–5045. https://doi.org/10.1021/ja0495213
- Fusz S., Eisenführ A., Srivatsan S.G., Heckel A., Famulok M. // Chem. Biol. 2005. V. 12. P. 941–950. https://doi.org/10.1021/ja0495213
- Fusz S., Srivatsan S.G., Ackermann D., Famulok M. // J. Org. Chem. 2008. V. 73. P. 5069–5077. https://doi.org/10.1021/jo800639p
- Curtis N.J., Jeffery C.J. // Biochem. Soc. Trans. 2021. V. 49. P. 1099–1108. https://doi.org/10.1042/BST20200664
- Gemmill D., D’souza S., Meier-Stephenson V., Patel T.R. // Biochem. Cell Biol. 2020. V. 98. P. 31–41. https://doi.org/10.1139/bcb-2019-0041
- Solovjeva O.N. // Open J. Anal. Bioanal. Chem. 2020. V. 4. P. 020–028. https://doi.org/10.17352/ojabc.000020
- Gancedo C., Flores C.L. // Microbiol. Mol. Biol. Rev. 2008. V. 72. P. 197–210. https://doi.org/10.1128/MMBR.00036-07
- Ahuatzi D., Riera A., Pela Ez.R., Herrero P., Moreno F. // J. Biol. Chem. 2007. V. 282. P. 4485–4493. https://doi.org/10.1074/jbc.M606854200
- Rodríguez-Saavedra C., Morgado-Martínez L.E., Burgos-Palacios A., King-Díaz B., López-Coria M., Sánchez-Nieto S. // Front. Mol. Biosci. 2021. V. 8. P. 701 975. https://doi.org/10.3389/fmolb.2021.701975
- Castello A., Hentze M.W., Preiss T. // Trends Endocrinol. Metab. 2015. V. 26. P. 746–757. https://doi.org/10.1016/j.tem.2015.09.012
- Bradford M.M. // Anal. Biochem. 1976. V. 72. P. 248–254. https://doi.org/10.1016/0003-2697(76)90527-3
- Wilfinger W.W., Mackey K., Chomczynski P. // Biotechniques. 1997. V. 22. P. 474–481. https://doi.org/10.2144/97223st01
- Jacob L., Beecken V., Bartunik L.J., Rose M., Bartunik H.D. // J. Chromatogr. 1991. V. 587. P. 85–92. https://doi.org/10.1016/0021-9673(91)85201-p
- Rabinovitz M. // FEBS Lett. 1992. V. 302. P. 113–116. https://doi.org/10.1016/0014-5793(92)80418-G
- White M.R., Garcin E.D. // Wiley Interdiscip. Rev. RNA. 2016. V. 7. P. 53–70. https://doi.org/10.1002/wrna.1315
- Arutyunova E.I., Danshina P.V., Domnina L.V., Pleten A.P., Muronetz V.I. // Biochem. Biophys. Res. Commun. 2003. V. 307. P. 547–552. https://doi.org/10.1016/S0006-291X(03)01222-1
- Baranowska B., Baranowski T. // Mol. Cell Biochem. 1977. V. 16. P. 43–48. https://doi.org/10.1007/BF01769838
- Baranowska B., Baranowski T. // Mol. Cell Biochem. 1977. V. 17. P. 75–83. https://doi.org/10.1007/BF01743430
- Castello A., Hentze M.W., Preiss T. // Trends Endocrinol. Metab. 2015. V. 26. P. 746–757. https://doi.org/10.1016/j.tem.2015.09.012
- Schmidt E.E., Colowick S.P. // Arch. Biochem. Biophys. 1973. V. 158. P. 458–470. https://doi.org/10.1016/0003-9861(73)90537-7
- Salas M., Vinuela E., Sols A. // J. Biol. Chem. 1965. V. 240. P. 561–568. https://doi.org/10.1016/S0021-9258(17)45210-0
- Bessell E.M., Thomas P. // Biochem. J. 1973. V. 131. P. 77–82. https://doi.org/10.1042/bj1300020p
- Solovjeva O.N. // Biochemistry (Moscow). 2002. V. 67. P. 667–671. https://doi.org/10.1023/a:1016198321838
- Brückner J. // Biochem. J. 1955. V. 60. P. 200–205. https://doi.org/10.1042/bj0600200
- Barbas C.F., 3rd, Burton D.R., Scott J.K., Silverman G.J. // CSH Protoc. 2007. P. pdb.ip47. https://doi.org/10.1101/pdb.ip47
- Mansour T.E. // J. Biol. Chem. 1963. V. 238. P. 2285–2292. https://doi.org/10.1016/S0021-9258(19)67967-6
- Fromm H.J., Zewe V. // J. Biol. Chem. 1962. V. 237. P. 3027–3032. https://doi.org/10.1016/S0021-9258(18)50115-0
- Cech T.R. // Cold Spring Harb. Perspect. Biol. 2012. V. 4. P. a006742. https://doi.org/10.1101/cshperspect.a006742
- Robertson M.P., Joyce G.F. // Cold Spring Harb. Perspect. Biol. 2012. V. 4. P. a003608. https://doi.org/10.1101/cshperspect.a003608
Supplementary files







