Synthesis of Synthethic Analogs of Glycolipids Containing A (Type 2) Tetrasaccharide
- Authors: Petrakova D.O.1, Savchenko M.S.1, Popova I.S.1, Tuzikov A.B.1, Paramonov A.S.1, Chizhov A.O.2, Bovin N.V.1, Ryzhov I.M.1
-
Affiliations:
- Shemyakin-Ovchinnikov Institute of Bioorganic Chemistry of the Russian Academy of Sciences
- Zelinsky Institute of Organic Chemistry of the Russian Academy of Sciences
- Issue: Vol 49, No 4 (2023)
- Pages: 422-433
- Section: Articles
- URL: https://ogarev-online.ru/0132-3423/article/view/139180
- DOI: https://doi.org/10.31857/S013234232304036X
- EDN: https://elibrary.ru/ODKLJF
- ID: 139180
Cite item
Full Text
Abstract
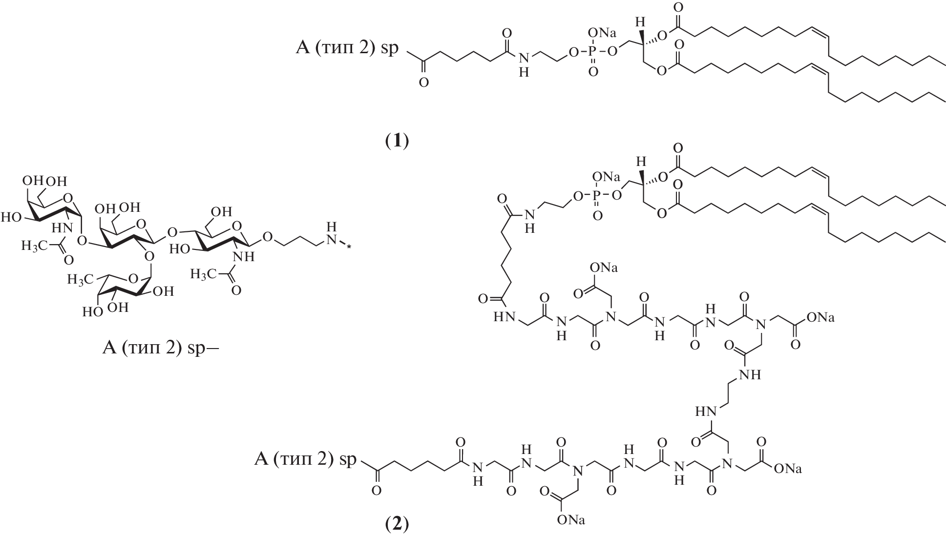
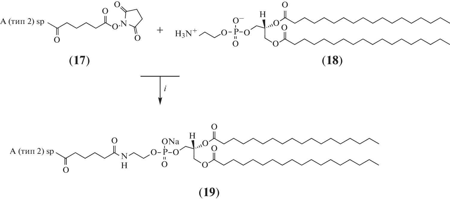
Glycolipids are the components of cellular membrane containing glycan and lipid parts. Transport of glycolipids from membrane and vice versa from extracellular space into the membrane is possible. This opens opportunity for modification of cellular membrane via embedding of glycolipids. In practice, synthetical analogs of glycolipids are significantly more convenient than natural glycolipids for such application, as the properties of the synthetical analogs can be varied and other bioactive components besides glycans can be introduced into their structure. This research describes synthesis of the eight synthetical glycolipids containing the same glycan part – A (type 2) tetrasaccharide but varying in the composition of lipid part or including several glycan residues. Obtained set of synthetic glycolipids will allow to study the influence of structural variations on the ability to present tetrasaccharide antigen on the cellular surface.
About the authors
D. O. Petrakova
Shemyakin-Ovchinnikov Institute of Bioorganic Chemistry of the Russian Academy of Sciences
Email: imryzhov@gmail.com
Russia, 117997, Moscow, ul. Miklukho-Maklaya 16/10
M. S. Savchenko
Shemyakin-Ovchinnikov Institute of Bioorganic Chemistry of the Russian Academy of Sciences
Email: imryzhov@gmail.com
Russia, 117997, Moscow, ul. Miklukho-Maklaya 16/10
I. S. Popova
Shemyakin-Ovchinnikov Institute of Bioorganic Chemistry of the Russian Academy of Sciences
Email: imryzhov@gmail.com
Russia, 117997, Moscow, ul. Miklukho-Maklaya 16/10
A. B. Tuzikov
Shemyakin-Ovchinnikov Institute of Bioorganic Chemistry of the Russian Academy of Sciences
Email: imryzhov@gmail.com
Russia, 117997, Moscow, ul. Miklukho-Maklaya 16/10
A. S. Paramonov
Shemyakin-Ovchinnikov Institute of Bioorganic Chemistry of the Russian Academy of Sciences
Email: imryzhov@gmail.com
Russia, 117997, Moscow, ul. Miklukho-Maklaya 16/10
A. O. Chizhov
Zelinsky Institute of Organic Chemistry of the Russian Academy of Sciences
Email: imryzhov@gmail.com
Russia, 119991, Moscow, Leninskiy prosp. 47
N. V. Bovin
Shemyakin-Ovchinnikov Institute of Bioorganic Chemistry of the Russian Academy of Sciences
Email: imryzhov@gmail.com
Russia, 117997, Moscow, ul. Miklukho-Maklaya 16/10
I. M. Ryzhov
Shemyakin-Ovchinnikov Institute of Bioorganic Chemistry of the Russian Academy of Sciences
Author for correspondence.
Email: imryzhov@gmail.com
Russia, 117997, Moscow, ul. Miklukho-Maklaya 16/10
References
- Reitsma S., Slaaf D.W., Vink H., Van Zandvoort M.A.M.J., Oude Egbrink M.G.A. // Pflugers Arch. Eur. J. Physiol. 2007. V. 454. P. 345–359. https://doi.org/10.1007/s00424-007-0212-8
- Rapoport E.M., Khasbiullina N.R., Komarova V.A., Ryzhov I.M., Gorbatch M.M., Tuzikov A.B., Khaidukov S.V., Popova I.S., Korchagina E.Y., Henry S.M., Bovin N.V. // Biochim. Biophys. Acta Biomembr. 2021. V. 1863. P. 183645. https://doi.org/10.1016/j.bbamem.2021.183645
- Marcus D.M., Cass L.E. // Science. 1969. V. 164. P. 553–555. https://doi.org/10.1126/science.164.3879.553
- Korchagina E., Tuzikov A., Formanovsky A., Popova I., Henry S., Bovin N. // Carbohydr. Res. 2012. V. 356. P. 238–246. https://doi.org/10.1016/j.carres.2012.03.044
- Miller-Podraza H. // Chem. Rev. 2000. V. 100. P. 4663–4681. https://doi.org/10.1021/cr990347o
- Koscielak J. // Transfus. Med. 2001. V. 11. P. 267–279. https://doi.org/10.1046/j.1365-3148.2001.00317.x
- Karlsson H., Johansson L., Miller-Podraza H., Karlsson K.A. // Glycobiology. 1999. V. 9. P. 765–778. https://doi.org/10.1093/glycob/9.8.765
- Morales-Serna J.A., Boutureira O., Díaz Y., Matheu M.I., Castillón S. // Carbohydr. Res. 2007. V. 342. P. 1595–1612. https://doi.org/10.1016/j.carres.2007.03.028
- Korchagina E.Y., Henry S.M. // Biochem. 2015. V. 80. P. 857–871. https://doi.org/10.1134/S0006297915070068
- Frame T., Carroll T., Korchagina E., Bovin N., Henry S. // Transfusion. 2007. V. 47. P. 876–882. https://doi.org/10.1111/j.1537-2995.2007.01204.x
- Henry S. // ISBT Sci. Ser. 2020. V. 15. P. 303–309. https://doi.org/10.1111/voxs.12545
- Ryzhov I.M., Bovin N.V. // Mendeleev Commun. 2019. V. 29. P. 597–612. https://doi.org/10.1016/j.mencom.2019.11.001
- Ryzhov I.M., Korchagina E.Y., Popova I.S., Tyrtysh T.V., Paramonov A.S., Bovin N.V. // Carbohydr. Res. 2016. V. 430. P. 59–71. https://doi.org/10.1016/j.carres.2016.04.029
- Ryzhov I.M., Tuzikov A.B., Perry H., Korchagina E.Y., Bovin N.V. // ChemBioChem. 2019. V. 20. P. 131–133. https://doi.org/10.1002/cbic.201800289
- Barr K., Korchagina E., Ryzhov I., Bovin N., Henry S. // Transfusion. 2014. V. 54. P. 2477–2484. https://doi.org/10.1111/trf.12661
- Perry H., Bovin N., Henry S. // Transfusion. 2019. V. 59. P. 2131–2140. https://doi.org/10.1111/trf.15247
- Lee R.T., Lee, Y.C. // Bioconjug. Chem. 1997. V. 8. P. 762–765. https://doi.org/10.1021/bc9700796
- Chiu S.W., Jakobsson E., Mashl R.J., Scott H.L. // Biophys. J. 2002. V. 83. P. 1842–1853. https://doi.org/10.1016/S0006-3495(02)73949-0
- Smondyrev A.M., Berkowitz M.L. // Biophys. J. 1999. V. 77. P. 2075–2089. https://doi.org/10.1016/S0006-3495(99)77049-9
- Henry S., Williams E., Barr K., Korchagina E., Tuzikov A., Ilyushina N., Abayzeed S.A., Webb K.F., Bovin N. // Sci. Rep. 2018. V. 8. P. 2845. https://doi.org/10.1038/s41598-018-21186-3
- Tyrtysh T.V., Korchagina E.Y., Ryzhov I.M., Bovin N.V. // Carbohydr. Res. 2017. V. 449. P. 65–84. https://doi.org/10.1016/j.carres.2017.06.014
- Азев В.Н., Байдакова Л.К., Чулин А.Н., Тузиков А.Б., Кислицин П.Г., Молчанов М.В., Мирошников А.И. // Биоорг. химия. 2023. Т. 49. № 4. С. 411–421. https://doi.org/10.31857/S0132342323040279
- Meloncelli P.J., Lowary T.L. // Carbohydr Res. 2010. V. 345. P. 2305–2322. https://doi.org/10.1016/j.carres.2010.08.012
Supplementary files










