Изменения основного обмена у экипажа в условиях восьмимесячной изоляции в герметичном объекте с умеренно гиперкапнической искусственной газовой средой. Сообщение 1
- Авторы: Демин А.В.1, Зарипов Р.Н.1
-
Учреждения:
- Институт медико-биологических проблем РАН
- Выпуск: Том 50, № 5 (2024)
- Страницы: 54-64
- Раздел: Статьи
- URL: https://ogarev-online.ru/0131-1646/article/view/270770
- DOI: https://doi.org/10.31857/S0131164624050067
- EDN: https://elibrary.ru/AOHJXW
- ID: 270770
Цитировать
Полный текст
Аннотация
В рамках международного проекта SIRIUS проведено исследование основного обмена (ОО) у гендерно-смешанного экипажа в герметичном объекте с умеренно гиперкапнической искусственной газовой средой. С помощью математических методов оценены минимальные базовые потребности в энергии у экипажа из 5 чел. (3 мужчин и 2 женщины) в состоянии покоя за 240 сут изоляции при моделировании полета на Луну в эксперименте SIRIUS-21. Период изоляции продолжался с 4.11.2021 по 3.07.2022. Исследования ОО проводили дважды в фоне (на –38–35, –9–6 сут), 7 раз в период изоляции (23–25, 50–52, 84–86, 110–112, 154–156, 181–183, 222–224 сут) и дважды в период последействия (+1–2, +8–9 сут). Установлено, что основной обмен в условиях изоляции достоверно снизился в среднем на 6 ккал/кг массы тела в сутки по сравнению с естественными условиями внешней среды (фона). Экипаж был изолирован от действия сезонных изменений освещения в герметичном объекте Наземного экспериментального комплекса (НЭК) ГНЦ РФ – Института медико-биологических проблем РАН, в котором отсутствуют иллюминаторы и где было создано искусственное освещение без сезонных изменений. Внутри НЭК постоянно поддерживалась температура комфорта 21–23 °C и формировалась искусственная газовая среда, в которой поддерживалось содержание кислорода на уровне 21%, диоксида углерода не более 0.35%. В условиях изоляции от действия этих сезонных геофизических факторов внешней среды обнаружены сезонные колебания основного обмена с размахом волны в среднем 4 ккал/кг массы тела в сутки. В весенний календарный сезон в условиях изоляции происходило повышение уровня основного обмена относительно зимнего сезона. Для каждого из добровольцев были найдены сезонные локальные максимумы и минимумы уровня основного обмена за 2 календарных сезона (зимнего 2021/2022 гг. и весеннего 2022 г.) Полученные результаты могут быть применены в области космической физиологии для уточнения расчетных запасов кислорода и калорийности рационов для экипажей длительных космических миссий, а также при проектировании и программировании систем жизнеобеспечения и обеспечения теплового режима пилотируемых космических аппаратов и других обитаемых гермообъектов.
Полный текст
Известно, что минимальное количество энергии, необходимое для поддержания жизнедеятельности физиологических систем организма в состоянии полного покоя (основной обмен), составляет 50–70% общих энерготрат организма человека при малоподвижном образе жизни [1–4]. Кроме того, известно, что уровень основного обмена (ОО) организма человека является интегральным показателем интенсивности окислительных процессов в тканях и может изменяться при недостаточном или избыточном питании, длительном увеличении или снижении физических нагрузок, при воздействии на организм сезонных и климатических факторов [5–8]. Изменения уровня ОО могут быть также связаны с развитием различных заболеваний [9]. В клинической практике для оценки ОО широко используются уравнения на основе антропометрических данных, однако фактические энерготраты рекомендуется определять инструментальными методами, в том числе с помощью калориметрии [10–12]. Наиболее информативной характеристикой энергетического обмена является удельная скорость ОО (ккал/кг/час) [13].
Определение уровня ОО имеет важное прикладное значение: на основе измерений ОО методом непрямой калориметрии можно количественно оценить базовые индивидуальные потребности в энергии и кислороде, а также теплопродукцию экипажей космических летательных аппаратов (КЛА), в том числе при планировании длительных миссий за пределы орбиты Земли [14—20]. Так как экипаж является не только объектом обеспечения теплового режима КЛА, но и источником тепла, в модельных экспериментах важно оценить теплопродукцию экипажа за период, сопоставимый с продолжительностью длительной космической миссии. Результаты непрямой калориметрии у экипажа за длительный период можно использовать для идентификации математических моделей теплового режима экипажа при его взаимодействии со средой герметичного объекта при проектировании систем обеспечения теплового режима КЛА [21, 22]. Индивидуальные данные калориметрии можно также применить для оценки индивидуальной теплопродукции и потребности в кислороде при использовании изолирующих средств защиты [23].
При этом следует учесть, что увеличение продолжительности пребывания человека в условиях невесомости сопровождается усилением катаболических процессов и постепенным снижением скорости многих метаболических реакций, обеспечивающих образование энергии в организме, а также снижением теплопродукции на 10–15% [19, 24].
Известно, что у человека в естественных геофизических условиях происходят сезонные изменения ОО, которые заключаются в повышении уровня энерготрат весной и ранним летом и понижении их поздней осенью и зимой [5, 7]. Это связано не столько с температурным фактором, сколько с изменением двигательной активности и колебаниями гормональной деятельности организма в соответствии с биологическими ритмами [25, 26]. Ранее, в 520-суточном изоляционном эксперименте “Марс-520” Государственного научного центра РФ – Института медико-биологических проблем РАН (ГНЦ РФ – ИМБП РАН, г. Москва) с помощью стохастического моделирования вегетативного индекса Кердо (ВИК) нами были обнаружены индивидуальные сезонные ритмы вегетативной регуляции центральной гемодинамики, а также найдены корреляции (r > 0.92, p ≤ 0.05) между величиной ВИК и потреблением кислорода при дозированной физической работе возрастающей мощности [27]. В случае сохранения сезонных колебаний основного энергетического обмена в условиях длительной изоляции от действия геофизических факторов в герметичном объекте следует оценить количественно и учесть эти изменения при расчетах калорийности запасов продуктов питания и кислородсодержащих соединений, необходимых для экипажей, а также в целях оптимизации работы систем управления тепловым режимом КЛА при длительных космических миссиях [28].
В ранее проводившихся исследованиях энергетического обмена в ходе модельных и космических экспериментов были исследованы в основном моногендерные экипажи, сформированные из добровольцев-мужчин [29]. В настоящее время большинство космических полетов проходят с гендерно-смешанными экипажами.
В связи с этим представляется актуальной задача количественной оценки уровня основного обмена и его сезонных изменений у гендерно-смешанного экипажа в условиях длительной изоляции в модельном эксперименте.
Цель работы – поиск закономерностей в динамике основного обмена у гендерно-смешанного экипажа в условиях длительной изоляции в герметичном объекте с умеренно гиперкапнической газовой средой в эксперименте SIRIUS-21.
Задачи работы – оценить: 1) количественно ОО и потребление кислорода в покое у экипажа гермообъекта за 8 мес. изоляции; 2) влияние условий восьмимесячной изоляции в герметичном объекте на уровень основного обмена у экипажа; 3) сезонные изменения ОО у экипажа за 2 календарных сезона в условиях изоляции от действия сезонных геофизических факторов.
МЕТОДИКА
В эксперименте SIRIUS-21 принимали участие 5 добровольцев (3 мужчин и 2 женщины) в возрасте от 29 до 43 лет. Добровольцы были ознакомлены со всеми требованиями и условиями для корректного измерения ОО. Исследования основного обмена методом непрямой калориметрии с дилюционным куполом проводили с помощью метаболографа Quark CPET (CosMed, Италия) [30, 31]. Сразу после 8-часового сна и 12-часового голодания в течение 20 мин исследовали газообмен в состоянии релаксации у добровольцев в положении лежа на спине [32]. Основные регистрируемые показатели: скорость потребления кислорода (мл/мин) и выделение углекислого газа (мл/мин). Из показателей газообмена вычисляли суточные энерготраты, ОО в ккал/сут. Первые 5 мин регистрации газообмена из анализа данных исключали. Исследование ОО у каждого добровольца было выполнено: дважды – в фоне (на –38–35, –9–6 сут), 7 раз в течение изоляции со средним интервалом между сессиями 33 сут (23–25, 50–52, 84–86, 110–112, 154–156, 181–183, 222–224 сут) в ЭУ-250 Наземного экспериментального комплекса (НЭК) ГНЦ РФ – ИМБП РАН (г. Москва) с умеренно гиперкапнической газовой средой и дважды в период последействия (+1–2, +8—9). Период изоляции продолжался с 4.11.2021. по 3.07.2022. Содержание СО2 в атмосфере ЭУ-250 во время исследований ОО в изоляции составляло 0.02–0.2%, температура 21–23 °С. Во время фонового периода добровольцы ночевали и были исследованы в клиническом отделе ГНЦ РФ – ИМБП РАН (г. Москва), в период последействия – в разгерметизированном НЭК. В ходе изоляции исследования ОО проводили ответственные за методику члены экипажа под дистанционным наблюдением и контролем научных сотрудников (авторов настоящей статьи). Период изоляции включал в себя два полных календарных сезона: зимний 2021/2022 гг. и весенний 2022 г. Экипаж был изолирован от действия сезонных изменений освещения, так как в герметичном объекте отсутствуют иллюминаторы, внутри было создано искусственное освещение, продолжительность дневного и ночного периодов не имела сезонных изменений. Внутри замкнутого объема поддерживали температуру комфорта 21–23 °C и формировали искусственную газовую среду, в которой с помощью СЖО поддерживали содержание кислорода на уровне 21%, диоксида углерода не более 0.35%.
Расчеты фактических энерготрат выполняли по уравнению Вейра (1949). Удельные энерготраты (ккал/кг/сут) рассчитывали на 1 кг массы тела добровольцев, измеренной во время медицинского контроля в день измерений газообмена. При разведочном статистическом анализе полученных данных описательной статистики вычисляли доверительные интервалы средних арифметических энерготрат с заданной надежностью 0.95. Далее проводили аппроксимацию полученных данных полиномами 7-го порядка методом максимального правдоподобия Фишера на интервале всего эксперимента. Энерготраты на интервалах эксперимента вычисляли с помощью определенного интегрирования полученных аналитических выражений. Для вычислений и графических интерпретаций результатов измерений использовали программное обеспечение: Origin Pro 8 (OriginLab Corporation, США) и DeriveTM6 V6.10 (Texas Instrument, США) [33, 34].
РЕЗУЛЬТАТЫ ИССЛЕДОВАНИЯ И ИХ ОБСУЖДЕНИЕ
Установлено, что в ходе 240-суточной изоляции в гермообъекте с умеренно гиперкапнической искусственной газовой средой уровень ОО у всех членов экипажа оказался пониженным по сравнению с фоном в среднем на 6 ккал/кг/сут (табл. 1). Аппроксимацию результатов измерений ОО из табл. 1 для каждого добровольца выполняли с использованием полиномов 7-го порядка в виде:
Таблица 1. Описательная статистика результатов измерений ОО у добровольцев эксперимента SIRIUS-21
Сутки эксперимента | ОО, ккал/кг/сут | СКО, ккал/кг/сут | N, объем выборки | Нижняя граница доверительного интервала среднего арифметического (надежность 0.95) | Верхняя граница доверительного интервала среднего арифметического (надежность 0.95) |
K | |||||
-38 | 21.49 | 0.72 | 91 | 21.35 | 21.65 |
-8 | 20.67 | 1.17 | 91 | 20.44 | 20.93 |
26 | 21.10 | 2.61 | 92 | 20.57 | 21.64 |
53 | 18.16 | 1.08 | 93 | 17.91 | 18.36 |
87 | 17.96 | 0.93 | 94 | 17.40 | 17.78 |
110 | 18.16 | 1.09 | 93 | 17.93 | 18.38 |
154 | 18.25 | 0.94 | 92 | 18.04 | 18.43 |
181 | 18.02 | 0.95 | 91 | 17.83 | 18.23 |
222 | 17.22 | 1.17 | 93 | 16.99 | 17.47 |
242 (+2) | 24.03 | 1.37 | 79 | 23.68 | 24.30 |
248 (+8) | 21.80 | 1.10 | 67 | 21.50 | 22.04 |
I | |||||
-37 | 24.40 | 2.60 | 91 | 23.86 | 24.94 |
-7 | 24.81 | 1.52 | 91 | 24.49 | 25.12 |
25 | 22.48 | 1.51 | 97 | 22.18 | 22.79 |
52 | 20.78 | 2.10 | 92 | 20.35 | 21.22 |
86 | 19.87 | 2.21 | 92 | 19.49 | 20.33 |
111 | 25.10 | 2.88 | 91 | 24.50 | 25.70 |
155 | 22.35 | 2.33 | 91 | 21.87 | 22.84 |
182 | 20.37 | 1.17 | 91 | 20.13 | 20.61 |
223 | 23.69 | 1.27 | 91 | 23.43 | 23.96 |
241 (+1) | 28.01 | 2.08 | 79 | 27.54 | 28.48 |
249 (+9) | 26.14 | 2.09 | 67 | 25.63 | 26.65 |
B | |||||
-37 | 26.92 | 1.54 | 91 | 24.50 | 25.22 |
-7 | 24.86 | 1.72 | 91 | 22.10 | 22.75 |
25 | 22.43 | 1.60 | 96 | 22.44 | 22.82 |
52 | 22.63 | 0.91 | 92 | 19.33 | 19.81 |
86 | 19.57 | 1.14 | 91 | 24.97 | 25.40 |
111 | 25.18 | 1.03 | 91 | 22.13 | 22.78 |
155 | 22.46 | 1.58 | 92 | 22.02 | 22.54 |
182 | 22.28 | 1.29 | 93 | 22.00 | 22.51 |
223 | 22.26 | 1.23 | 92 | 27.64 | 28.43 |
242 (+2) | 28.03 | 1.75 | 79 | 25.17 | 25.76 |
249 (+9) | 25.47 | 1.14 | 61 | 24.50 | 25.22 |
L | |||||
-38 | 29.70 | 3.70 | 91 | 28.93 | 30.48 |
-9 | 27.90 | 3.29 | 91 | 27.21 | 28.58 |
24 | 21.47 | 1.59 | 98 | 21.15 | 21.78 |
51 | 20.38 | 2.38 | 91 | 19.88 | 20.87 |
85 | 21.63 | 1.44 | 91 | 21.33 | 21.93 |
110 | 23.14 | 0.90 | 91 | 22.95 | 23.32 |
154 | 23.33 | 1.18 | 92 | 23.08 | 23.57 |
183 | 24.80 | 1.48 | 91 | 24.49 | 25.11 |
222 | 22.73 | 3.28 | 96 | 22.06 | 23.39 |
241 (+1) | 27.79 | 2.71 | 79 | 27.18 | 28.40 |
248 (+8) | 27.08 | 1.30 | 61 | 26.75 | 27.41 |
M | |||||
-35 | 21.88 | 1.11 | 94 | 21.66 | 22.11 |
-9 | 26.77 | 3.17 | 99 | 26.14 | 27.40 |
24 | 19.47 | 1.70 | 100 | 19.13 | 19.81 |
51 | 18.38 | 1.64 | 96 | 18.04 | 18.71 |
85 | 22.28 | 2.19 | 94 | 21.83 | 22.73 |
112 | 22.30 | 3.20 | 102 | 21.67 | 22.92 |
156 | 22.52 | 1.29 | 96 | 22.26 | 22.78 |
183 | 23.14 | 2.65 | 94 | 22.60 | 23.69 |
224 | 21.89 | 3.69 | 94 | 21.13 | 22.65 |
241 (+2) | 31.80 | 2.49 | 82 | 31.25 | 32.34 |
250 (+9) | 27.32 | 1.66 | 64 | 26.90 | 27.73 |
Примечание: K, I, B, L, M – идентификаторы добровольцев. ОО – основной обмен, СКО – среднеквадратическое отклонение.
, (1)
где y(t) – величина ОО (ккал/кг массы тела в сутки), в зависимости от времени t (сут). Методом наименьших квадратов находили численные значения индивидуальных коэффициентов: ai, bi, ci, fi, gi, hi, ji, zi. Графические интерпретации полученных аналитических выражений, аппроксимирующих индивидуальные средние арифметические значения результатов измерений ОО у добровольцев, представлены на рис. 1. Для оценки индивидуальных энерготрат на всем временнóм интервале изоляции (от 0 до 240 сут) вычисляли определенные интегралы по формуле:
. (2)
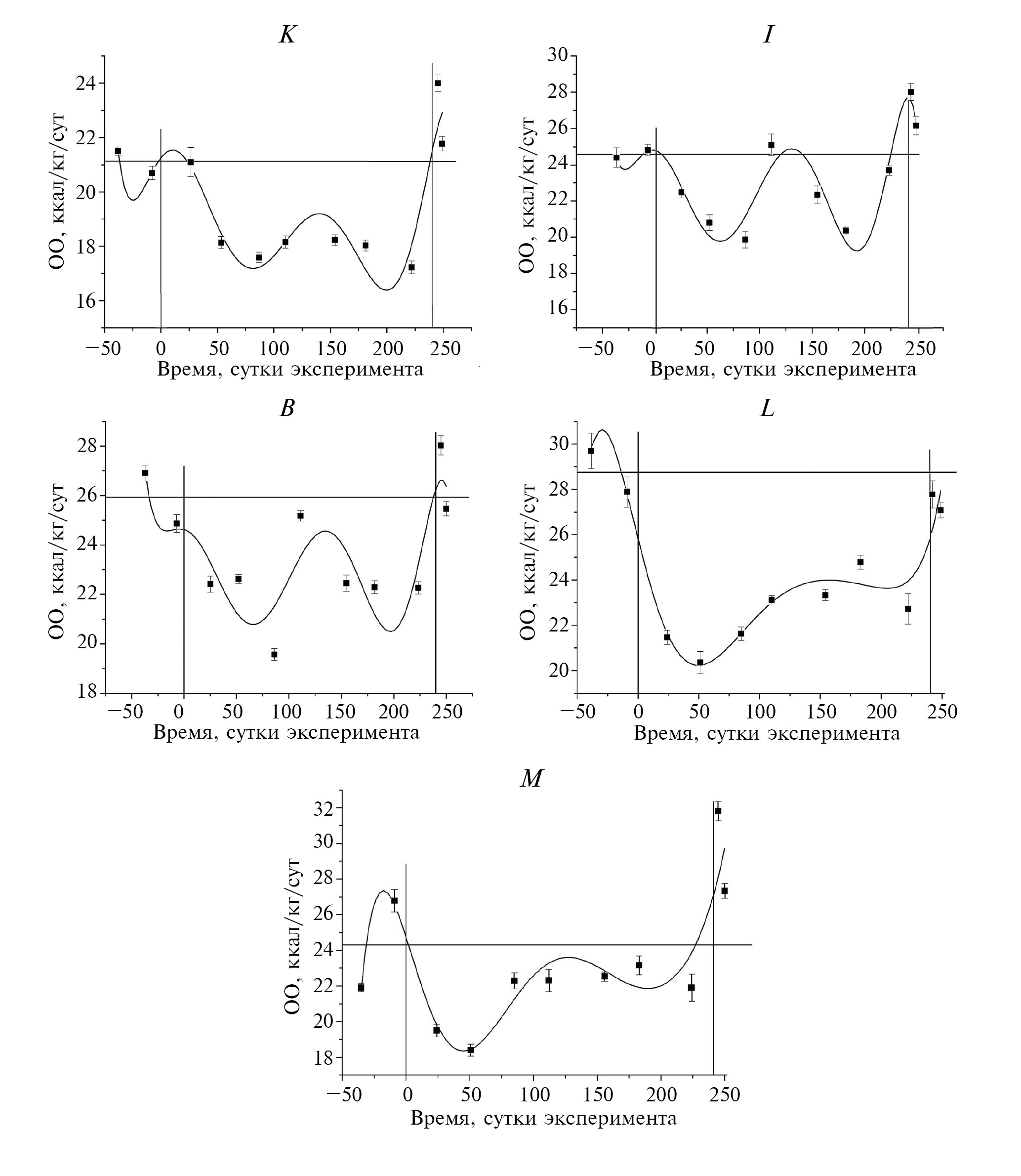
Рис. 1. Графические интерпретации динамики основного обмена (ОО) за 240 сут в нормальных условиях и в условиях изоляции у 5 добровольцев K, I, B, L, M. Кривые – графические интерпретации полиномов 7-го порядка, аппроксимирующих средние значения удельного ОО у добровольцев в фоне, изоляции и последействии. Горизонтальные линии – индивидуальные фоновые уровни ОО при нормальных условиях. Вертикальные линии обозначают начало (t1 = 0) и окончание (t2 = 240) периода изоляции. Черные квадраты – средние арифметические результатов измерений ОО за каждую сессию исследования, вертикальные отрезки у квадратов обозначают границы доверительных интервалов, с надежностью 0.95 накрывающих индивидуальные средние арифметические значения ОО
Результаты интегрирования энерготрат за 240 сут изоляции представлены в табл. 2. В целях сравнения с нормальными условиями на том же временнóм интервале вычисляли площади прямоугольных фигур, образованных осью абсцисс и горизонтальными прямыми на уровнях индивидуальных средних фоновых энерготрат.
Таблица 2. Изменения ОО у добровольцев SIRIUS-21 (ккал/кг за 240 сут)
Доброволец | ОО при НУ (фон) | ОО в УИ | Разность (Δ) ОО НУ vs УИ | Δ(%) |
К | 5063 | 4454 | ↓608 | ↓12% |
I | 5904 | 5360 | ↓544 | ↓9% |
B | 6214 | 5437 | ↓777 | ↓12% |
L | 6913 | 5493 | ↓1420 | ↓20% |
M | 5839 | 5261 | ↓578 | ↓10% |
В среднем | 5987 | 5201 | 785 | 13% |
Примечание: ОО – основной обмен, НУ – нормальные условия, УИ – условия изоляции.
При сравнении результатов интегрирования определили, что за весь период изоляции уровень ОО у добровольцев снизился в среднем на 785 ккал/кг массы тела, т. е. на 13% по сравнению с фоном (табл. 2).
Переходя к совокупным (валовым) оценкам для всего экипажа обнаружено, что в условиях изоляции ОО составил 1978 мкал за 240 сут, что в среднем на 439 мкал ниже по сравнению с нормальными условиями фона (табл. 3). Воспользовавшись калорическим эквивалентом 4.825 ккал на 1 литр потребленного O2, вычислили, что экипаж из 5 чел. потребил в покое за 240 сут изоляции 410 кЛ O2, что на 91 кЛ меньше по сравнению с нормальными условиями фона за такой же период. Снижение уровня ОО и потребления кислорода в условиях модельной изоляции в герметичном объекте известно из литературы и объясняется снижением общего уровня двигательной активности [17, 29]. Механизмы данного явления требуют дальнейшего изучения. Полученные нами данные развивают результаты работы [20].
Таблица 3. Валовый ОО у экипажа SIRIUS-21 (мкал/240 сут) в НУ и УИ
Доброволец | ОО при НУ | ОО в УИ | Разность (Δ) ОО НУ vs УИ | Δ(%) |
K | 502 | 420 | 82 | ↓16% |
I | 618 | 489 | 129 | ↓21% |
B | 416 | 362 | 55 | ↓13% |
L | 467 | 353 | 114 | ↓24% |
M | 414 | 354 | 60 | ↓10% |
Весь экипаж | 2417 | 1978 | 439 | ↓18 |
Примечание: обозначения см. табл. 2.
В целях удобства сравнения и поиска общих закономерностей поместили графические интерпретации индивидуальных полиномиальных моделей динамики ОО за весь период эксперимента на один рисунок (рис. 2). Очевидно, что у всех добровольцев в условиях изоляции – близкие по времени локальные минимумы и максимумы интенсивности ОО. Далее сопоставили время обнаруженных локальных максимумов энерготрат с календарным временем. Наблюдается общий рост уровней ОО на границе календарных сезонов и достижение локальных максимумов ОО в весенний календарный сезон у всех добровольцев.
Рис. 2. Кривые – графические интерпретации полиномов 7-го порядка, аппроксимирующих средние значения удельного основного обмена добровольцев K, I, B, L, M за весь период эксперимента SIRIUS-21. Вертикальные линии (t1 = 28, t2 = 116.5, t3 = 208 сут изоляции) обозначают начала и окончания календарных сезонов: зимы и весны 2022 г.
В результате интегрирования энерготрат покоя на интервалах двух календарных сезонов нами установлено, что у всех добровольцев в весенний календарный сезон уровень основного обмена оказался выше, чем в зимний календарный сезон, в среднем на 221 ккал/кг за 90 сут, или на 10%. Результаты интегрирования энерготрат представлены в табл. 4.
Таблица 4. Сезонные уровни удельного основного обмена (ОО) у добровольцев SIRIUS-21
Идентификатор добровольца | ОО ккал/кг за 90 сут (зима) | ОО ккал/кг за 90 сут (весна) | Разность (Δ) ОО весна vs зима | Δ(%) |
К | 1585 | 1659 | ↑73 | ↑4% |
I | 1850 | 2039 | ↑189 | ↑9% |
B | 1899 | 2092 | ↑193 | ↑9% |
L | 1853 | 2188 | ↑335 | ↑15% |
M | 1770 | 2087 | ↑316 | ↑15% |
В среднем | 1791 | 2013 | 221 | ↑10% |
Согласно примененной полиномиальной модели локальные минимумы основного обмена наблюдались в зимний календарный сезон в диапазоне 46–81 сут изоляции, а локальные максимумы основного обмена наблюдались в весенний календарный сезон в диапазоне 128–156 сут изоляции. Началу календарной весны (1 марта 2022 г.) соответствовали 117 сут изоляции. Таким образом, сезонный ритм ОО в условиях изоляции от геофизических факторов сохранился, по крайней мере, в течение 2 календарных сезонов у всех членов экипажа. Данный результат развивает и дополняет результаты, полученные в работе [35]. Исследования сезонных изменений ОО в связи с гормональной регуляцией энергетического обмена продолжаются авторами настоящей работы в ходе годовой изоляции 2023/2024 гг. у гендерно-смешанного экипажа из 6 чел. в эксперименте SIRIUS-23.
ЗАКЛЮЧЕНИЕ
Таким образом, в работе установлено обратимое снижение интенсивности ОО у гендерно-смешанного экипажа из 5 чел. в условиях длительной изоляции в гермообъекте с умеренно гиперкапнической искусственной газовой средой. При этом величина основного обмена у добровольцев в условиях изоляции снижалась на 6 ккал/кг/сут. Валовое снижение основного обмена у всего экипажа из 5 чел. по сравнению с фоном составило 439 мкал за 240 сут изоляции. Этому соответствовало валовое снижение потребления экипажем кислорода на 91 кЛ за 240 сут. Совокупная теплопродукция экипажа в покое оценена в 1978 мкал за 240 сут изоляции в гермообъекте. Этому соответствует совокупное потребление кислорода у всего экипажа из 5 чел. в покое 410 кЛ за 240 сут. В условиях изоляции от действия сезонных геофизических факторов внешней среды у всех добровольцев обнаружено увеличение уровня ОО в весенний календарный сезон по сравнению с зимним. Величина индивидуального прироста между зимним локальным минимумом ОО и весенним локальным максимумом ОО составила в среднем 4 ккал/кг/сут. Прирост уровня ОО у добровольцев весной составил в среднем 221 ккал/кг за 90 сут по сравнению с зимним календарным сезоном.
Финансирование работы. Работа выполнена в рамках научной темы РАН FMFR-2024-0038.
Соблюдение этических стандартов. Все исследования проводились в соответствии с принципами биомедицинской этики, изложенными в Хельсинкской декларации 1964 г. и последующих поправках к ней. Они также были одобрены комиссией по биомедицинской этике ГНЦ РФ – Институтом медико-биологических проблем РАН (Москва), протокол № 539 от 17.03.2020 г.
Каждый участник исследования дал добровольное письменное информированное согласие после получения разъяснений о потенциальных рисках и преимуществах, а также о характере предстоящего исследования.
Конфликт интересов. Авторы данной работы заявляют, что у них нет конфликта интересов.
Благодарности. Авторы выражают благодарность добровольцам экипажа SIRIUS-21 за ответственное выполнение методики эксперимента.
Вклад авторов в публикацию. Р.Н. Зарипов, А.В. Демин – планирование, организация и проведение эксперимента, физиологические измерения, редактирование статьи. А.В. Демин – анализ данных, написание статьи.
Об авторах
А. В. Демин
Институт медико-биологических проблем РАН
Автор, ответственный за переписку.
Email: a_demin2005@mail.ru
Россия, Москва
Р. Н. Зарипов
Институт медико-биологических проблем РАН
Email: a_demin2005@mail.ru
Россия, Москва
Список литературы
- Мак-Мюррей У. Обмен веществ у человека / Основы учения о взаимосвязи биохимии с физиологией и патологией // Пер. с англ. М.: Мир, 1980. 368 с.
- Иванов К.П. Основы энергетики организма: Теоретические и практические аспекты. Т. 3. Современные проблемы, загадки и парадоксы регуляции энергетического баланса. СПб.: Наука, 2001. 278 с.
- Герман И. Физика организма человека / Пер. с англ. Долгопрудный: Интеллект, 2014. 992 с.
- Холл Дж.Э Медицинская физиология по Гайтону и Холлу / Пер. с англ. М.: Логосфера, 2018. 1328 с.
- Беркович Е.М. Энергетический обмен в норме и патологии. М.: Медицина, 1964. 334 с.
- Ольнянская Р.П. Очерки по регуляции обмена веществ. Л.: Наука, 1964. 234 с.
- Слоним А.Д. Экологическая физиология животных. М.: Высшая школа, 1971. 448 с.
- Экологическая физиология животных. часть 2. Физиологические системы в процессе адаптации и факторы среды обитания. Руководство по физиологии / Под ред. Слонима А.Д. Л.: Наука, 1981. 528 с.
- Chen K., Zhang Y., Zhou S. et al. The association between the basal metabolic rate and cardiovascular disease: A two-sample Mendelian randomization study // Eur. J. Clin Invest. 2024. V. 54. № 5. P. e14153.
- Blasco Redondo R. Resting energy expenditure; assessment methods and applications // Nutr. Hosp. 2015. V. 31. Suppl 3. P. 245.
- Pavlidou E., Papadopoulou S.K., Seroglou K., Giaginis C. Revised Harris-Benedict equation: New human resting metabolic rate equation // Metabolites. 2023. V. 13. № 2. P. 189.
- Heymsfield S.B., Smith B., Dahle J. et al. Resting energy expenditure: from cellular to whole-body level, a mechanistic historical perspective // Obesity (Silver Spring). 2021. V. 29. № 3. P. 500.
- Мониторинг пищевого статуса с использованием современных методов нутриметаболомики и оптимизации диетотерапии при внутренней патологии. (Методические рекомендации для врачей МЗСР РФ). М.: Эталон, 2006. 36 с.
- Илюшин Ю.С., Олизаров В.В. Системы обеспечения жизнедеятельности и спасения экипажей летательных аппаратов. М.: ВВИА им. проф. Н.Е. Жуковского, 1972. 492 с.
- Хаскин В.В. Энергетика теплообразования и адаптация к холоду. Новосибирск: Наука, 1975. 200 с.
- Малоземов В.В. Тепловой режим космических аппаратов. М.: Машиностроение, 1980. 232 с.
- Баранов В.М. Газоэнергообмен человека в космическом полете и модельных исследованиях. М.: Наука, 1993. 126 с.
- Глушко А.А. Космическая экология. М.: Инженерная экология, 2005. 624 с.
- Шибанов Г.П. Обитаемость космоса и безопасность пребывания в нем человека. М.: Машиностроение, 2007. 544 с.
- Демин А.В., Иванов А.И., Суворов А.В. Теплопродукция человека в разных состояниях // Вестник Тверского государственного университета. Сер.: Биология и экология. 2013. Т. 29. № 2. С. 99.
- Малоземов В.В., Рожнов В.Ф., Правецкий В.Н. Системы жизнеобеспечения экипажей летательных аппаратов. М.: Машиностроение, 1986. 584 с.
- Глушко А.А. Космические системы жизнеобеспечения (биофизические основы проектирования и испытания). М.: Машиностроение, 1986. 304 с.
- Городинский С.М., Глушко А.А., Орехов Б.В. Калориметрия в изолирующих средствах защиты человека. М.: Машиностроение, 1976. 208 с.
- Bioastronautics Data book / NASA. Washington, 1973. P. 847.
- Fujihira K., Takahashi M., Wang Ch., Hayashi N. Factors explaining seasonal variation in energy intake: a review // Front. Nutr. 2023. V. 10. P. 1192223.
- Голиков А.П., Голиков П.П. Сезонные биоритмы в физиологии и патологии. М.: Медицина, 1973. 167 с.
- Демин А.В. Разработка способа косвенной оценки потребления кислорода человеком // Вестник Тверского государственного университета. Сер.: Биология и экология. 2013. № 2. С. 90.
- Меньшов А.И. Космическая эргономика. Л.: Наука, 1971. 296 с.
- Модельный эксперимент с длительной изоляцией: проблемы и достижения / Под ред. Баранова В.М. М.: Слово, 2001. 590 с.
- McLean J.A., Tobin G. Animal and Human Calorimetry. Cambridge University Press, 2008. 356 p.
- Alcantara J.M.A., Galgani J.E., Jurado-Fasoli L. et al. Validity of four commercially available metabolic carts for assessing resting metabolic rate and respiratory exchange ratio in non-ventilated humans // Clin. Nutr. 2022. V. 41. № 3. P. 746.
- Fullmer S., Benson-Davies S., Earthman C.P. et al. Evidence analysis library review of best practices for performing indirect calorimetry in healthy and non-critically ill individuals // J. Acad. Nutr. Diet. 2015. V. 115. № 9. P. 1417.
- Дьяконов В.П. Справочник по системе символьной математики DERIVE. М.: СК Пресс, 1998. 255 с.
- Исакова О.П., Тарасевич Ю.Ю., Юзюк Ю.И. Обработка и визуализация данных физических экспериментов с помощью пакета Origin. М.: Либроком, 2009. 138 с.
- Демин А.В., Дьяченко А.И., Иванов А.И. и др. Инструментальный мониторинг состояния вегетативной нервной системы человека в эксперименте «Марс-520» // Медицинская техника. 2013. № 2. С. 27.
Дополнительные файлы



