Структура функциональной синергии, обеспечивающей сохранение ортоградной позы человека
- Авторы: Моисеев С.А.1, Иванов С.М.1, Михайлова Е.А.1, Городничев Р.М.1
-
Учреждения:
- ФГБОУ ВО Великолукская государственная академия физической культуры и спорта
- Выпуск: Том 50, № 3 (2024)
- Страницы: 26-40
- Раздел: Статьи
- URL: https://ogarev-online.ru/0131-1646/article/view/263922
- DOI: https://doi.org/10.31857/S0131164624030039
- EDN: https://elibrary.ru/BUYMRH
- ID: 263922
Цитировать
Полный текст
Аннотация
В данной работе рассматривается процесс взаимодействия отдельных мышц и мышечных групп, обслуживающих различные суставы тела, с целью стабилизации нарушений вертикальной устойчивости, вызываемых дыхательными движениями грудной клетки. Рассматриваются наиболее существенные переменные контроля в процессе регуляции межмышечного взаимодействия с целью поддержания устойчивости вертикального положения тела. Анализ выполнен с применением факторизации данных мышечной электроактивности, величин суставных углов и перемещений сегментов тела. Установлено, что стратегия поддержания вертикальной стойки связана с контролем тазобедренного и шейного сегментов, а при увеличении возмущающего воздействия в синергию оказываются вовлечены и другие сегменты тела. Увеличение глубины дыхания сопровождается включением ранее незадействованных мышечных модулей и изменением вовлечения каждой мышцы в процесс регуляции вертикальной позы. Такое включение отражается на временном паттерне активации синергий на мышечном уровне, что проявляется в формировании дополнительных пиков активации в отдельных фазах дыхательного цикла. В процессе поддержания вертикальной позы мышечная активность оказывается в средней степени связана с регуляцией положения общего центра масс, а в большей степени направлена на формирование кинематических синергий, включающих изменение величин ряда суставных углов и одновременное перемещение большинства сегментов тела. Последние в свою очередь стабилизируют важные для сохранения равновесия переменные, причем синергетический контроль на кинематическом уровне по мере увеличения глубины дыхания возрастает.
Полный текст
Работа нервной системы при управлении движением направлена на анализ афферентной информации, поступающей от различных рецепторов и выработку целесообразной комбинации и последовательности импульсов к рабочим мышцам в соответствии с условиями двигательной задачи. Эти процессы могут быть организованы по принципу синергии, что позволяет упростить обработку афферентации, уменьшить число управляемых параметров и необходимой для управления импульсации [1, 2]. Наличие множества синергий, уменьшая число степеней свободы системы управления, создает возможность выбора тех или иных блоков движений в процессе обучения сложному движению или при сохранении стационарной позы. В случае воздействия на систему может быть задействована та или иная синергия для нивелирования этого возмущения. В таком случае управление многозвенной системой представляется намного проще, чем множеством независимых элементов с большим числом степеней свободы [2, 3].
Одним из известных примеров такой организации управления является "дыхательная" синергия (ДС). Она может быть отнесена к синергиям позы (не только ортоградной), которых по всей вероятности довольно много и одна из главных задач заключается в их выявлении и изучении механизма их осуществления. ДС может быть определена как фиксированное и воспроизводимое взаимодействие суставов или их групп, выработанное в результате обучения или врожденное, организуемое и управляемое центральной нервной системой (ЦНС) для эффективного решения двигательной задачи. ДС призвана компенсировать дыхательные возмущения вертикальной стойки человека, в результате чего соответствующие перемещения центров масс сегментов тела не отражаются на положении общего центра тяжести.
Известен вычислительный подход к выявлению и анализу таких образований в рамках гипотезы неконтролируемого многообразия, основанный на оценке вариабельности в пространстве переменных производительности. Предполагается, что ЦНС организует многообразие управляемых переменных контроля, ограничивая вариабельность тех, которые воздействуют на важную переменную контроля [4, 5]. Таким образом, синергию как способ организации, может определять целевая переменная, на стабилизацию которой она направлена. Определение таких переменных является важной задачей для понимания принципов организации системы управления движением. Другой подход основан на применении методов снижения размерности и факторизации данных. В этом случае синергией обозначают отдельные периоды движения, связанные с определенными функциями, например, синергия “принятия веса”, “стабилизации”, “замаха”, “приземления” и т.п. [6, 7]. Параметры пространственно-временной структуры таких синергий указывают на временной отрезок целостного двигательного акта, в котором отмечаются совместная мышечная активность, коактивация суставных углов или другие сочетанные изменения параметров моторного выхода. Целесообразность такого подхода показана в ряде исследований, рассматривающих фундаментальные модели двигательного поведения человека и животных — локомоций, позной регуляции, сложных многосуставных движений [8, 9].
ДС внимательно рассмотрена на уровне взаимодействия суставных углов и их взаимосвязи с показателями стабилометрии при различных режимах дыхания и условиях стойки [10–13]. Тем не менее, механизмы, обеспечивающие особое взаимодействие отдельных мышц и мышечных групп, обслуживающих различные суставы во многом остаются малоизученны. Также остается не ясным, какие переменные контроля являются наиболее существенными для управляющей системы в процессе регуляции межмышечного взаимодействия с целью поддержания устойчивости вертикального положения тела. В связи с этим цель данной работы заключалась в определении роли синергий в процессе стабилизации вертикальной устойчивости вследствие ее нарушения, вызываемого обычным и глубоким дыханием. Конкретные задачи работы включали: определение пространственно-временной структуры синергий на мышечном и кинематическом уровнях их исследования, обеспечивающих сохранение вертикальной позы, а также установление переменных, с целью стабилизации которых организованы синергии.
Методика
В исследовании принимали участие 8 испытуемых мужского пола в возрасте от 17 до 21 года. Протокол исследований предполагал выполнение стояния в основной стойке с закрытыми глазами в течение 30 с в каждом экспериментальном условии. В первом случае испытуемые выполняли стойку при обычном дыхании в произвольном ритме, во втором предполагалось глубокое дыхание. Синхронно регистрировали кинезиограммы, электромиограммы и осуществляли 3D-видеозахват движений. В каждом экспериментальном условии в анализ включали не менее шести полных дыхательных циклов.
Регистрацию кинезиограмм осуществляли при помощи стабилоанализатора Стабилан-01 (Россия) с частотой дискретизации 50 Гц. Его синхронизацию с применяемой аппаратурой осуществляли путем подачи метки, предусмотренной в программе "StabMed". Зарегистрированные вариационные ряды траекторий перемещений общего центра массы по сагиттальной (СТАБ X) и фронтальной (СТАБ Y) осям экспортировали для дальнейшего анализа в систему Statistica (StatSoft, Inc., version 10). Эти данные были экстраполированы до частоты дискретизации 250 Гц в системе Statistica при помощи модуля "Time/Series-Forecasting" путем добавления константы С (x = x + c) с нулевым значением.
Система 3D-видеозахвата Qualisys (Швеция), включала 8 высокоскоростных камер Oqus с частотой оцифровки данных 500 Гц. Светоотражающие маркеры прикрепляли к основным антропометрическим точкам сегментов тела правой половины тела: лобной, шейной (уровень C7), акромиальной, локтевой, шиловидной, верхнеберцовой, нижнеберцовой, плюсневой, конечной. При помощи программного обеспечения (ПО) Qualisys Track Manager (QTM) рассчитывали величины основных суставных углов и траектории перемещений указанных точек сегментов тела и экспортировали вариационные ряды данных в систему Statistica. Перед экспортом к данным применяли процедуру аппроксимизации кривой 2-ой степени, используя QTM.
Осуществляли запись электромиограмм (ЭМГ) восьми поверхностных мышц туловища и нижних конечностей биомонитором ME6000 (Финляндия): икроножной медиальной (MG), передней большеберцовой (TA), прямой бедра (RF), двуглавой бедра (BF), латеральной широкой мышцы бедра (VL) выпрямляющей позвоночник на уровне Т9 (ES), средней части прямой живота (RA), большой ягодичной (GM). Частота дискретизации составляла 2000 Гц. Для отведения ЭМГ применяли накожные одноразовые самоклеющиеся электроды с токопроводящим гелем и активной площадью контакта 2.5 см2, 36 × 45 мм (Swaromed, Австрия). Электроды накладывали биполярно, при этом активный располагали в области проекции двигательной точки исследуемой мышцы, а референтный прикрепляли по ходу ее волокон с межэлектродным расстоянием 2 см, предусматривали дополнительный электрод заземления на каждой мышце [14]. Процедура обработки интерференционных ЭМГ включала предварительную фильтрацию полосовым фильтром 30–450 Гц, усреднение в интервалах 0.004 с и повторную фильтрацию фильтром низких частот 15 Гц, применяли ПО "Megawin". Обработанные вариационные ряды ЭМГ экспортировали для дальнейшего анализа. В Statistica к этим данным применяли экспоненциальное сглаживание (α = 0.01).
Границы дыхательного цикла определяли при помощи датчика рекурсии дыхания (РД) прибора "Энцефалан-ЭЭГР-19/26" синхронизированного с другим оборудованием посредством автоматической подачи метки на один из каналов, предусмотренной в программе "Энцефалан-ЭЭГ". Дополнительно регистрировали изменения положения тела с помощью датчика двигательной активности (ДвА) в комплексе "Энцефалан-ЭЭГР-19/26". Датчик располагали спереди на поясе испытуемого. Полученные данные экспортировали в систему Statistica в необработанном виде с частотой дискретизации 250 Гц.
Полученные вариационные ряды, синхронизированные относительно единой точки отсчета, формировали в Statistica матрицу данных (X), размерностью (I × J), где I — число точек (измерений в момент времени), а J — число независимых переменных (ЭМГ, антропометрических точек, величин углов, траекторий перемещений центра тяжести и др.). Дополнительно в матрице создавали переменные, позволяющие идентифицировать начало и окончание дыхательного цикла, и принадлежность данных к определенному испытуемому, попытке, пробе [15]. Из матрицы извлекали компоненты (синергии) с помощью факторного анализа (FA) и метода главных компонент (PCA). Матрица X разлагалась на произведение двух матриц: X = T × P + E, где T — матрица счетов, P — матрица нагрузок, E — матрица остатков. Матрица нагрузок включает весовые коэффициенты для каждой переменной. Фактически, значение коэффициента указывает на степень прямолинейности в изменениях сигнала, т.е. является мерой их синхронизма, что является характерной чертой синергии. Матрица счетов определяет временнýю организацию выявленных компонент и представлена в виде коэффициентов активации. Изменение коэффициентов активации на временной шкале свидетельствует о возрастании, либо снижении активности синергии, обусловленное синхронной активацией ее компонентов. Разложение матриц осуществляли в среде Statistica, используя стандартные модули "Advanced/Multivariate — PCA" и "Mult/Exploratory — Factor". Рассматривали компоненты, имеющие собственные значения (eigenvalues) больше единицы и учитывающие не менее 10% общей дисперсии. Анализировали следующие параметры: количество извлекаемых компонент (синергий), процент общей дисперсии, учитываемый каждым фактором в общем наборе данных (VAF), весовые коэффициенты и коэффициенты активации. Применяли кластерный анализ (алгоритм иерархической кластеризации) для определения структуры данных и выделения основных компонент в случае рассмотрения данных о перемещениях антропометрических точек по трем осям: сагиттальной (X), фронтальной (Y) и вертикальной (Z).
Множественный регрессионный анализ выполняли с помощью стандартного модуля Statistica "Multiple Linear Regression". Предварительно осуществляли анализ диаграмм рассеяния с целью выявления наличия зависимости и ее формы. Осуществляли анализ корреляционных матриц на предмет: мультиколениарности; достоверности получаемых β-коэффициентов; нормальности распределения остатков, соответствия предсказанных и наблюдаемых значений [16]. В случае положительной проверки по этим параметрам модель считали приемлемой. Анализировали коэффициенты детерминации (R2).
Математико-статистическая обработка данных была выполнена в Statistica 10.0 и включала расчет среднего арифметического (M), ошибки среднего арифметического (SE), стандартного отклонения (SD), коэффициентов вариативности (CV). Коэффициенты вариативности в диапазоне от 0 до 30% считали низким уровнем, от 30 до 70% — средним и от 70% и выше — высоким. Коэффициенты активации сравнивали при помощи анализа максимальных значений кросскорреляционных функций с учетом смещения относительно нуля, где 1 – полное соответствие, 0 – отсутствие взаимосвязи. Оценку достоверности различий параметров в разных экспериментальных условиях выполняли с применением однофакторного дисперсионного анализа с Post-Hoc анализом по критерию Newman-Keuls при уровне значимости 0.05.
Результаты исследования
Исходя из задач исследования, был выполнен кросскорреляционный анализ величин суставных углов и пневмограмм. На рис. 1, А приведены образцы пневмограммы и гониограммы при обычном и глубоком дыхании. Наибольшие коэффициенты кросскорреляционных функций при обычном дыхании были выявлены при рассмотрении шейного угла — 0.93 ± 0.02, коэффициенты вариативности при внутригрупповом рассмотрении достигали 4.66%, что оценивается как очень низкая вариативность (рис. 1, Б). При глубоком дыхании данный угол также демонстрировал наибольшие коэффициенты — 0.82 ± 0.09, а CV были не более 22.75%. Также высокие коэффициенты были зарегистрированы с углом в локтевом суставе при обычном дыхании — 0.76 ± 0.07, CV = 18.51%. Другие регистрируемые углы демонстрировали средние коэффициенты соответствия пневмограммам и находились в диапазоне от 0.33 до 0.62. Самые низкие коэффициенты были получены при рассмотрении угла в коленном суставе — не более 0.19 ± 0.07, а вариативность оценивалась как высокая — более 80.05% в среднем по группе.
Рис. 1. Типичная запись гониограммы, пневмограммы (А) в основной стойке при обычном и глубоком дыхании.
Б — коэффициенты кросскорреляционных функций, рассчитанные между рядами пневмограмм и гониограмм, данные представлены в виде M ± SD ± SE. 1 – пневмограмма. Углы: 2 – шейный, 3 – плечевой, 4 – локтевой, 5 – тазобедренный, 6 – коленный, 7 – голеностопный.
Аналогичный анализ был выполнен с целью выявления соответствия сигналов электрической активности скелетным мышц и пневмограмм. На рис. 2 приведены образцы записей ЭМГ и внутригрупповые коэффициенты кросскорреляционных функций, полученные при сопоставлении ЭМГ и пневмограмм. При рассмотрении большинства мышц было выявлено среднее соответствие их активности дыхательному циклу. Так, наибольшие коэффициенты были получены для икроножной мышцы при обычном и глубоком дыхании — 0.59 ± 0.07 и 0.65 ± 0.16 соответственно (рис. 2, В). Также сравнительно большие коэффициенты были рассчитаны для прямой бедра 0.65 ± 0.15 и двуглавой мышцы бедра 0.65 ± 0.08. Во всех названных случаях коэффициенты вариативности при внутригрупповом рассмотрении, преимущественно, оценивались как средние и не превышали 51.18%. Самое низкое соответствие пневмограмме демонстрировали передняя большеберцовая, большая ягодичная и прямая мышца живота. Коэффициенты кросскорреляционных функций здесь находились в диапазоне от 0.19 ± 0.04 до 0.28 ± 0.08, а CV для некоторых мышц, например, прямой живота, превышали 100%, однако в целом находились на среднем уровне.
Рис. 2. Образцы электромиограмм (ЭМГ) скелетных мышц в основной стойке при обычном дыхании.
А — усредненные ЭМГ, Б — сглаженные. В — соответствие ЭМГ сигналов склетных мышц и пневмограммы, данные представлены в виде M ± SD ± SE. По оси ординат — коэффициенты кросскорреляционных функций. Вертикальными пунктирными линиями показаны границы дыхательных циклов.
При разложении исходных матриц данных были получены два мышечных модуля при обычном дыхании с общей долей объясняемой дисперсии 87.64 ± 0.27, что оценивается как высокий процент учтенных данных при их факторизации (табл. 1). При глубоком дыхании в некоторых случаях были выделены три фактора, при несколько меньшем качестве реконструкции данных — 78.89 ± 3.07 (p > 0.05). Количество выявленных кинематических синергий (КинС) различалось не существенно в разных экспериментальных условиях и в большинстве случаев не превышало двух. По обоим рассматриваемым параметрам отмечалась низкая внутригрупповая вариативность, CV не превышали 28.57%.
Таблица 1. Количество компонент (факторов) и доля объясняемой дисперсии при обычном и глубоком дыхании
Показатели | Стат. показатели | Дыхание | |||
обычное | глубокое | ||||
МС | КинС | МС | КинС | ||
Кол-во | М ± m | 2.00 ± 0.00 | 2.25 ± 0.25 | 2.50 ± 0.28 | 1.75 ± 0.25 |
Max | 2.00 | 3.00 | 3.00 | 2.00 | |
CV | 0.00 | 22.22 | 23.09 | 28.57 | |
VAF | М ± m | 87.64 ± 0.27 | 81.44 ± 4.03 | 78.89 ± 3.07 | 79.92 ± 3.27 |
Max | 91.31 | 90.36 | 83.34 | 84.96 | |
CV | 2.91 | 9.90 | 7.79 | 8.18 | |
Примечание: VAF – общий набор данных. МС — мышечная синергия, КинС — кинематическая синергия.
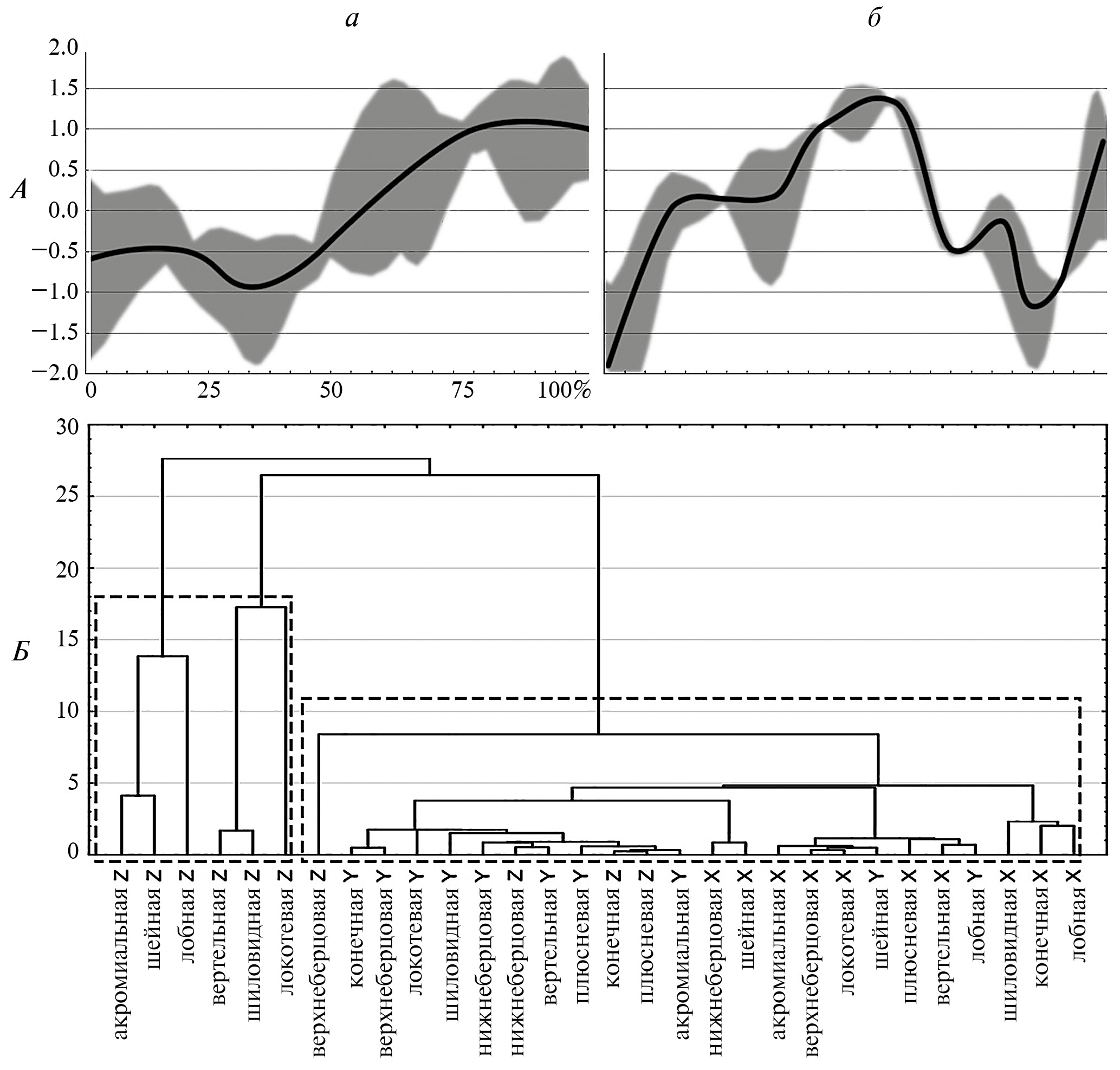
Кластеризация данных о перемещениях антропометрических точек сегментов тела в трех плоскостях показала наличие двух компонент при обычном дыхании, первый из которых включал, преимущественно, перемещения всех точек по сагиттальной и фронтальной осям (рис. 3, Б). Второй компонент содержал перемещения по вертикальной оси. Коэффициенты активации первого компонента демонстрировали снижение активности во второй четверти дыхательного цикла и последующее ее возрастание до последней четверти. В структуре второго компонента отмечен один основной пик активации, приходящийся на середину дыхательного цикла (рис. 3, А, б). При глубоком дыхании существенных различий в количестве компонент и структуре временны́х профилей перемещений установлено не было.
Рис. 3. Структура извлекаемых компонент, включающих данные о перемещениях антропометрических точек сегментов тела при обычном дыхании.
А — коэффициенты активации, по оси абсцисс — прогресс дыхательного цикла, по оси ординат — у.е., а — компонент 1, б — компонент 2. Заливкой показан разброс коэффициентов. Б — дендрограмма перемещений, по оси абсцисс — антропометрические точки, по оси ординат — евклидово расстояние (у.е.).
Пространственная структура выделенных КинС характеризовалась сочетанным изменением ряда суставных углов в процессе полного дыхательного цикла. При обычном дыхании первый компонент включал шейный и тазобедренный суставы, где весовые коэффициенты были наибольшими — 0.88 ± 0.02 и 0.70 ± 0.07 соответственно (рис. 4, А, а). При этом внутригрупповая вариативность при их извлечении оценивалась как низкая, а шейного угла — очень низкая (CV = 6.36%). Другие регистрируемые суставные углы демонстрировали средние весовые коэффициенты в структуре первого компонента и находились в диапазоне от 0.57 ± 0.15 до 0.69 ± 0.11. Второй компонент в этих же условиях характеризовался средними весовыми коэффициентами, не превышающими 0.49 ± 0.09 (рис. 4, А, б). Коэффициенты вариативности при внутригрупповом сравнении структуры циклов дыхания находились в диапазоне от 37.50 до 93.43%, что оценивается как средний и высокий уровень.
Рис. 4. Весовые коэффициенты в структуре кинематических (А) и мышечных синергий (Б) при обычном и глубоком дыхании.
а — компонент 1, б — компонент 2. Углы: 1 – шейный, 2 – плечевой, 3 – локтевой, 4 – тазобедренный, 5 – коленный, 6 – голеностопный. По оси ординат — коэффициенты. * – статистически значимые различия при p < 0.05. Сплошной и пунктирной линиями показаны векторы синергий.
При глубоком дыхании наибольшие весовые коэффициенты в структуре первого компонента были получены для тазобедренного (0.90 ± 0.01), плечевого (0.87 ± 0.05) и шейного (0.81 ± 0.04) углов. Вариативность коэффициентов данных углов при многократных реализациях циклов дыхания в среднем по группе оценивалась как низкая, например, для тазобедренного сустава CV не превышали 3.97%. В структуре второго компонента средние коэффициенты были установлены для коленного, локтевого и шейного угла (рис. 4, А, а). Здесь, в большинстве случаев, вариативность оценивалась как средняя или высокая — CV более 46.32%. Статистически значимые различия весовых коэффициентов в структуре выделенных компонент при обычном и глубоком дыхании были установлены только для плечевого и тазобедренного углов (p < 0.05).
Выявленные факторы (мышечные синергии – МС) демонстрировали сочетанную активацию отдельных скелетных мышц во временных рамках отдельного дыхательного цикла. При обычном дыхании первый фактор включал активность практически всех исследуемых скелетных мышц за исключением прямой живота. Весовые коэффициенты этих мышц превышали 0.7, что свидетельствует о высокой степени синхронизации электроактивности. Наибольшие коэффициенты были получены для большой ягодичной — 0.91 ± 0.03 и икроножной мышцы — 0.91 ± 0.01 (рис. 4, Б, а). Коэффициенты вариативности данных мышц при внутригрупповом сопоставлении не превышала 11.15%, что свидетельствует о высокой воспроизводимости пространственной структуры первой МС при обычном дыхании. Второй фактор характеризовался наибольшим вовлечением в синергию прямой живота, выпрямляющей позвоночник, двуглавой бедра и передней большеберцовой мышц. Здесь весовые коэффициенты были максимальными и превышали 0.64 ± 0.07. По большей части отмечалась средняя вариативность, однако были получены и низкие CV, например, для мышцы, выпрямляющей позвоночник — 9.39%.
При глубоком дыхании наблюдалось вовлечение в первую синергию практически всех исследуемых мышц, за исключением прямой живота. Наибольшие весовые коэффициенты были зарегистрированы для мышцы, выпрямляющей позвоночник — 0.92 ± 0.01, а внутригрупповая вариативность была очень низкой — 2.95% (рис. 4, Б, а). Наименьшие весовые коэффициенты отмечались для прямой мышцы живота и составляли в среднем по группе 0.45 ± 0.08. Коэффициенты других исследуемых скелетных мышц находились в диапазоне от 0.70 ± 0.10 до 0.87 ± 0.05. Второй фактор демонстрировал, преимущественно, средние весовые коэффициенты для икроножной, передней большеберцовой, двуглавой бедра и латеральной широкой мышцы бедра. Их коэффициенты не превышали 0.53 ± 0.10, а CV оценивались как средние (рис. 4, Б, б). Сопоставительный анализ весовых коэффициентов при обычном и глубоком дыхании выявил статистически значимые различия для икроножной и мышцы, выпрямляющей позвоночник (p < 0.05). Также некоторые различия были выявлены для двуглавой бедра и прямой мышцы живота, но статистически не достоверные (p < 0.05).
Временнáя структура первой выявленной КинС при обычном дыхании характеризовалась снижением активности до середины, затем возрастанием в третьей четверти дыхательного цикла и далее сохранением активности на одном уровне (рис. 5, А, а). При глубоком дыхании наблюдалась схожая динамика, однако в середине цикла отмечалось снижение. Вторая синергия демонстрировала пик активации во второй и третьей четверти дыхательного цикла, а при глубоком дыхании было отмечено несколько пиков активности (рис. 5, А, б). Для первой МС при обычном дыхании было характерно возрастание активности в третьей четверти, вторая синергия характеризовалась плавным снижением активности до середины цикла и возрастанием к его окончанию. В условиях глубокого дыхания отмечались два отчетливых пика активации МС (рис. 5, Б). Анализ кросскорреляционных функций МС выявил низкое соответствие временнόй структуры, коэффициенты не превышали 0.26 ± 0.04 в среднем по группе. Сопоставление коэффициентов активации КинС показало среднее их соответствие — не более 0.47 ± 0.06.
Рис. 5. Коэффициенты активации кинематических (A) и мышечных синергий (Б) при обычном и глубоком дыхании.
а — компонент 1, б — компонент 2. По оси абсцисс — временной период, соответствующий полному дыхательному циклу (%), по оси ординат — у.е.
Исходя из задач работы, были проанализированы связи выявленных компонент (синергий) на различных уровнях их исследования с показателями устойчивости, дыхания и двигательной активности. Установлено, что синергии на кинематическом и мышечном уровнях практически не связаны с перемещением тела по фронтальной оси. Коэффициенты детерминации в этом случае достигали 0.19 ± 0.04 в среднем по группе, а максимальные значения не превышали 0.37 (табл. 2). Отмечена высокая внутригрупповая вариативность показателя при обычном дыхании и средняя — при глубоком. С показателем перемещения центра масс тела по сагиттальной оси установлена высокая взаимосвязь КинС при глубоком дыхании, здесь коэффициенты детерминации достигали 0.71 ± 0.04 в среднем по группе. Коэффициенты вариативности не превышали 9.31%, что свидетельствует о высокой воспроизводимости результатов регрессионного анализа. При обычном дыхании были получены средние коэффициенты, что указывает на среднее качество регрессионной модели. При оценке связи мышечных и КинС с показателем рекурсии дыхания установлена высокая взаимосвязь только на кинематическом уровне. Так, при обычном дыхании коэффициенты детерминации достигали 0.86 ± 0.03, а при глубоком — 0.80 ± 0.09 (табл. 2).
Таблица 2. Коэффициенты детерминации моделей множественной регрессии, описывающие связи синергий с показателями устойчивости, дыхания и двигательной активности
Зависимые переменные | Стат. показатели | Дыхание | |||||
обычное | глубокое | ||||||
Независимые переменные | |||||||
МС | КинС (угл.) | КинС (перем.) | МС | КинС (угл.) | КинС (перем.) | ||
СТАБ X | М ± m | 0.08 ± 0.05 | 0.15 ± 0.08 | 0.17 ± 0.04 | 0.19 ± 0.04 | 0.07 ± 0.02 | 0.42 ± 0.06 |
Max | 0.21 | 0.37 | 0.28 | 0.27 | 0.11 | 0.51 | |
CV | 114.69 | 100.63 | 49.04 | 38.14 | 47.29 | 32.35 | |
СТАБ Y | М ± m | 0.39 ± 0.16 | 0.52 ± 0.13 | 0.60 ± 0.11 | 0.60 ± 0.10 | 0.71 ± 0.04 | 0.86 ± 0.02 |
Max | 0.83 | 0.84 | 0.81 | 0.80 | 0.76 | 0.90 | |
CV | 82.58 | 50.66 | 36.89 | 29.03 | 9.31 | 4.74 | |
РД | М ± m | 0.65 ± 0.10 | 0.86 ± 0.03 | 0.78 ± 0.03 | 0.38 ± 0.07 | 0.80 ± 0.09 | 0.88 ± 0.02 |
Max | 0.84 | 0.91 | 0.86 | 0.49 | 0.91 | 0.94 | |
CV | 29.36 | 6.26 | 7.81 | 33.47 | 19.28 | 5.15 | |
ДвА | М ± m | 0.10 ± 0.04 | 0.11 ± 0.05 | 0.28 ± 0.08 | 0.20 ± 0.10 | 0.19 ± 0.07 | 0.36 ± 0.09 |
Max | 0.22 | 0.25 | 0.50 | 0.39 | 0.28 | 0.56 | |
CV | 77.32 | 95.44 | 59.97 | 83.99 | 63.00 | 49.74 | |
Примечание: МС — мышечная синергия, КинС — кинематическая синергия. КинС (угл.) – компоненты, извлеченные из матрицы с данными о величинах суставных углов; КинС (перем.) – данные из матрицы с перемещениями антропометрических точек. СТАБ X – перемещение по сагиттальной оси, СТАБ Y – перемещение по фронтальной оси, РД — рекурсия дыхания, ДвА – общая двигательная активность.
С МС отмечена средняя взаимосвязь, в большей степени выраженная при обычном дыхании — 0.65 ± 0.10. Коэффициенты вариативности при оценке взаимосвязей с показателем рекурсии дыхания находились в диапазоне от 6.26 до 33.47%. С показателем двигательной активности значимых связей установлено не было, коэффициенты детерминации не превышали 0.20 ± 0.10 и в редких случаях достигали 0.39, например, с МС при глубоком дыхании. Отдельно был выполнен анализ коэффициентов детерминации при условии, где независимыми переменными являлись КинС, полученные в результате разложения матрицы с данными о перемещении антропометрических точек сегментов тела, а зависимыми — выявленные мышечные модули (синергии). Установлено, что с первой МС при обычном дыхании R2 составляли 0.93 ± 0.02, а максимальные значения достигали 0.97 при очень низкой вариативности. Со второй МС коэффициенты достигали 0.88 ± 0.03 (Rmax = 0.93, CV = 8.54%). При обычном дыхании существенных различий R2 с первой МС не было выявлено. При глубоком дыхании установлены меньшие коэффициенты детерминации со второй МС (p > 0.05). Здесь они составляли в среднем по группе 0.36 ± 0.09, при среднем уровне вариативности — 49.74%.
Обсуждение результатов
Известно, что непосредственной зависимости между колебаниями тела и дыхательными движениями туловища не наблюдается при обычном стоянии у здорового человека, тем не менее, вертикальная устойчивость сохраняется. Это указывает на наличие механизма, в результате действия которого не происходит изменений положения общего центра тяжести вследствие изменения центров масс сегментов тела при дыхательных движениях грудной клетки. Установлено, что на вдохе при отклонении туловища назад происходят противофазные изменения туловищного угла, т.е. сгибание в тазобедренном и шейных сегментах. Такой пример межсуставного взаимодействия компенсации дыхательных возмущений вертикальной стойки был обозначен как "дыхательная" синергия [2]. Исходя из этого, дыхание является физиологическим процессом, который играет существенную роль при организации фиксированного взаимодействия определенных суставов. Важную роль шейного отдела позвоночника подтверждают и исследования с регистрацией постуральной дыхательной динамики и изменениями шейного угла. Постулируется, что наряду с большими изменениями других суставных углов такие процессы отражают стратегию стабилизации позы, организуемую централизованно [13]. Известны стратегии коррекции нарушений позы, вследствие возмущений, заключающиеся в отклонении ноги назад при наклонах корпуса вперед и наоборот. Показан вклад тазобедренного и голеностопного суставов (Н-синергия и А-синергия) в процесс сохранения вертикальной устойчивости, в зависимости от силы возмущающего воздействия [10, 17]. При сильном воздействии коррекция осуществляется, преимущественно за счет Н-синергии (включаются мышцы бедра), а при слабом — за счет А-синергии, т.е. за счет мышц, фиксирующих голеностопный сустав. Также были показаны стратегии стабилизации позы при сравнении угловых характеристик при различных типах дыхания у пожилых и молодых людей. Они заключались в том, что пожилые используют, преимущественно, движения в тазобедренном суставе (вероятно, Н-синергия), а молодые люди в процессе коррекции стойки задействуют больше сегментов тела [18].
В наших исследованиях была установлена высокая взаимосвязь при сопоставлении динамики пневмограмм с изменениями шейного и локтевого суставных углов при обычном и глубоком дыхании. С динамикой тазобедренного угла было установлено среднее соответствие, а самое низкое — с коленным. Очевидно, что не все сегменты тела оказываются включены в синергию в равной степени. На отсутствие прямой зависимости синхронно регистрируемых параметров движения и дыхания указывают ряд исследователей. Так, при помощи анализа постурографических и пневмографических данных в положении стоя при ритмичном и спонтанном дыхании установлена зависимость дыхания и позы, имеющая нелинейных характер [19]. Близкие данные получены при рассмотрении постурографических данных прямостоящего человека и респираторного компонента при анализе их взаимодействии при двух типах дыхания — грудного и брюшного. В этом случае использовался алгоритм обнаружения пиков и их синхронизации на вариационных рядах, основанный на быстром преобразовании Фурье [20]. Следует отметить, что применение различных методических подходов дает схожие результаты. Так, с применением вычислительного подхода в рамках концепции неконтролируемого многообразия был проведен эксперимент по оценке организации постуральной синергии, компенсирующей эффекты дыхания [11]. Было установлено, что ковариации между основными суставами постуральной цепи обеспечивают сохранение стабильного положения центра масс при различных типах дыхания и разных инструкциях по выполнению стойки. Применяемый нами подход с факторизацией исходных данных показал наличие двух КинС при обычном дыхании, в первой из которых отмечалось сочетанное изменение шейного и тазобедренного углов, здесь весовые коэффициенты были наибольшими. При глубоком дыхании, наряду с этими же сегментами в синергию оказался вовлечен и плечевой сустав, а значимые различия весовых коэффициентов при различных типах дыхания отмечались только в тазобедренном и плечевом суставах. Таким образом, стратегия сохранения равновесия при обычной стойке однозначно связана с контролем тазобедренного сустава и шейного сегмента, а при увеличении возмущающего воздействия в синергию оказываются вовлечены и другие сегменты. Вышесказанное согласуется с принципом организации синергии, как физиологического механизма контроля многоэлементной системой, заключающийся в изменении числа образуемых модулей (синергий) и модификации элементов внутри них при усложнении условий реализации двигательной задачи или при возрастании возмущающего воздействия. Это было продемонстрировано в исследованиях локомоторной активности человека в усложненных условиях и при возрастании интенсивности выполняемой работы [21–23].
Несмотря на широкое представление ДС как организованного процесса стабилизации устойчивости на уровне межсуставного взаимодействия, понятие синергии гораздо шире и включает функциональные настройки на разных уровнях ЦНС, соответственно оно не может быть сведено к констатации изменений величин только на кинематическом уровне. В этой связи логично ожидать синергетического структурирования активности мышц, обслуживающих различные суставы тела. Мы рассмотрели ДС на мышечном уровне с позиции синхронизации активности отдельных мышц с фазами дыхательного цикла. Так, при анализе ЭМГ-активности мышц не было выявлено явной тенденции к изменению электроактивности пропорционально кривой дыхательного цикла, а было установлено лишь среднее соответствие. Несмотря на отсутствие активных мышечных добавок нарушений вертикальной устойчивости вертикальной стойки не происходит. Видимо для обеспечения устойчивости в момент наибольших возмущающих воздействий (изменение фаз дыхательного цикла) не требуются активные мышечные усилия и высокая синхронизация их активности. На это же указывают исследования влияния дыхательных движений грудной клетки и живота на вертикальную позу [24]. Группой авторов с применением синхронной регистрации электромиограмм мышц туловища и бедра, а также стабилограмм и кинематограмм была установлена средняя взаимосвязь движений тела и электроактивностью мышц, а с показателем смещения центра давления была очень низкой. Взаимосвязь между параметрами оценивалась по корреляции в частотной области (когерентности). Исследование с применением вычислительного подхода в рамках концепции неконтролируемого многообразия позволило установить, что смещение центра давления прямостоящего человека не сопровождается объединением мышц в группы (вероятно, синергии), осуществляющие движения в голеностопном и тазобедренном суставах [25]. Таким образом, отмеченная ранее закономерность, заключающаяся в противофазном изменении величин суставных углов, и описанные стратегии бедра и лодыжки при поддержании вертикальной позы на мышечном уровне не так явны. Очевидно, что для объяснения наблюдаемого взаимодействия сегментов, образующих суставы, необходимо рассмотреть особенности межмышечного взаимодействия с использованием инструментария концепции модульной организации управления структурой движения [3, 26, 27].
Нами установлены две МС при обычном дыхании и в среднем две — при глубоком. В последнем случае регистрировалось и большее их количество. Следует отметить, что здесь прослеживается принцип организации синергии, наблюдаемый нами на кинематическом уровне, заключающийся в изменении числа модулей при усложнении условий реализации задачи. Высокий процент объясняемой дисперсии при факторизации данных и низкая внутригрупповая вариативность свидетельствует о том, что выявленные синергии характерны для человека и не являются вычислительным артефактом. Следует обратить внимание на то, что первая синергия объединяет большинство мышц (из числа регистрируемых) в единый модуль, а вторая включает мышцы-антагонисты туловища и мышцы, осуществляющие сгибание в голеностопном и коленом суставах. При глубоком дыхании первая МС также демонстрировала включение большинства мышц, а вторая характеризовалась преимущественной активацией мышц-антагонистов бедра и голени. Таким образом, при различных типах дыхания пространственная структура первой МС остается относительно стабильной, а вторая демонстрирует существенное изменение вклада активности ряда мышц в синергию.
Наиболее отчетливо механизм компенсации нарушений вертикальной устойчивости в связи с циклом дыхания прослеживается при анализе временнόй структуры МС (коэффициентов активации). Так, при обычном дыхании изменения коэффициентов наиболее выражены в середине дыхательного цикла, т.е. в период изменения его фаз (вдох и выдох). Однако при глубоком дыхании пики активации МС наблюдаются не только на границе фаз, но и в процессе их реализации. За весь дыхательный цикл мы наблюдали в среднем по три пика активации, это было характерно для обеих выявленных МС. При рассмотрении МС изменения коэффициентов активации, как правило, связывают со стратегиями контроля в ЦНС [28-30]. Более существенное возмущающее воздействие, либо новые условия реализации двигательной задачи вынуждают управляющую систему включать ранее не задействованные мышечные модули или гибко комбинировать компоненты внутри таких модулей. Мы наблюдали и увеличение числа извлекаемых модулей и изменение весовых коэффициентов в их структуре, т.е. регуляцию степени участия скелетной мышцы в формировании паттерна активации. Вполне вероятно, что с увеличением глубины дыхания в структуре управляющей системы оказываются задействованы оба названных механизма регуляции на мышечном уровне.
Одно из положений теории иерархической многоуровневой организации движений (о специфической вариативности) указывает на то, что управляющая система допускает бόльшую вариативность по отношению к менее важным компонентам движения, нежели к тем, которые представляют большую важность для успешной реализации двигательной задачи. Выбор важных и менее важных компонент при построении движения может быть осуществлен путем применения соответствующих тактик (стратегий), которые сводятся к поиску рабочих параметров, позволяющих достичь наилучшего приближения к цели [1, 31]. Решение такой задачи возможно в случае эффективного выделения существенных переменных контроля под которыми, вероятно, следует понимать рациональное соотношение величин суставных углов для обеспечения вертикальной устойчивости. Исходя из понимания синергии как гибкой нейронной организации переменных, способствующей стабилизации определенных характеристик многоэлементных систем, определение переменных, на стабилизацию которых направлена деятельность системы, приобретает важное значение. Так, например, было установлено, что две КинС объясняют ковариацию суставов нижних конечностей и туловища во время стояния и раскачивания и направлены на стабилизацию двух переменных: ориентацию туловища и положение центра масс тела [32]. На необходимость выделения стабилизируемых переменных, как неотъемлемой части механизма синергий указывает и исследование по изучению синергий стабилизации позы [9].
Выполненный нами анализ показал стабильные низковариативные связи КинС с движениями грудной клетки и смещением центра масс по сагиттальной оси. Мышечные же синергии демонстрировали лишь среднюю взаимосвязь с названными параметрами. Это свидетельствует о том, что активность мышц, функционирующих в синергии, не способствует напрямую стабилизации таких важных для сохранения вертикальной позы переменных как положение центра масс в пределах площади опоры. На наш взгляд обнаруженные зависимости показателей рекурсии дыхания и смещением центра давления по сагиттальной оси с синергиями на кинематическом уровне являются косвенным отражением центрального управления вертикальной позой. Прямым же доказательством является установление зависимостей выявленных мышечных модулей (синергий) с кинематическими модулями, отражающими сочетанное перемещение нескольких сегментов тела (КинС перем.). Таким образом, мышечная синергетическая активность оказывается направлена на формирование синергий кинематических, которые, в свою очередь, стабилизируют важные для сохранения равновесия переменные. Причем при увеличении возмущающего воздействия (увеличение глубины дыхания) связи синергий с такими переменными усиливаются. Любопытно, что количество МС возрастает при увеличении глубины дыхания, однако снижаются их связи с проявлением синергизма на кинематическом уровне, т.е. для эффективной организации межсуставного взаимодействия и перемещения сегментов тела с целью компенсации более значительных возмущений, связанных с дыханием, управляющая система увеличивает количество мышечных низкоразмерных модулей, но при этом контроль перемещений большинством кинематических модулей осуществляется, преимущественно, одной МС. Роль других МС остается не до конца ясна, возможно, они принимают участие в стабилизации взаимодействия контралатеральных сегментов тела.
Заключение
Стратегия поддержания вертикальной стойки связана с контролем тазобедренного и шейного сегментов, а при увеличении возмущающего воздействия в синергию оказываются вовлечены и другие сегменты тела. Увеличение глубины дыхания сопровождается включением ранее незадействованных мышечных модулей и изменением степени вовлечения каждой мышцы в процесс регуляции вертикальной позы. Такое включение отражается на временном паттерне активации синергий на мышечном уровне, что проявляется в формировании дополнительных пиков активации в отдельных фазах дыхательного цикла. В процессе поддержания вертикальной устойчивости мышечная активность оказывается в средней степени связана с регуляцией положения общего центра масс, а в большей степени направлена на формирование КинС, включающих изменение величин ряда суставных углов и одновременное перемещение большинства сегментов тела. Последние в свою очередь стабилизируют важные для сохранения равновесия переменные, причем синергетический контроль на кинематическом уровне по мере увеличения глубины дыхания возрастает.
Финансирование работы. Финансирование осуществлено в рамках плановой работы ФГБОУ ВО "Великолукская государственная академия физической культуры и спорта".
Соблюдение этических стандартов. Все исследования проводились в соответствии с принципами биомедицинской этики, изложенными в Хельсинкской декларации 1964 г. и последующих поправках к ней. Они также были одобрены локальным этическим комитетом Великолукской государственной академии физической культуры и спорта (Великие Луки), протокол № 2 от 14.03.2023 г.
Каждый участник исследования дал добровольное письменное информированное согласие после получения разъяснений о потенциальных рисках и преимуществах, а также о характере предстоящего исследования.
Конфликт интересов. Авторы данной работы заявляют, что у них нет конфликта интересов.
Благодарности. Авторы выражают благодарность сотруднику Научно-исследовательского института проблем спорта и оздоровительной физической культуры Великолукской государственной академии физической культуры и спорта А.М. Пухову, за помощь в организации исследований.
Вклад авторов в публикацию. С.А. Моисеев — организация и общий контроль исследований, обработка и анализ данных, обзор исследований по теме, работа над текстом рукописи. Е.А. Михайлова — обработка первичных данных, работа над текстом рукописи. С.М. Иванов — обработка первичных данных, работа над фрагментами текста рукописи. Р.М. Городничев — работа над текстом рукописи.
Об авторах
С. А. Моисеев
ФГБОУ ВО Великолукская государственная академия физической культуры и спорта
Автор, ответственный за переписку.
Email: sergey_moiseev@vlgafc.ru
Россия, Великие Луки
С. М. Иванов
ФГБОУ ВО Великолукская государственная академия физической культуры и спорта
Email: sergey_moiseev@vlgafc.ru
Россия, Великие Луки
Е. А. Михайлова
ФГБОУ ВО Великолукская государственная академия физической культуры и спорта
Email: sergey_moiseev@vlgafc.ru
Россия, Великие Луки
Р. М. Городничев
ФГБОУ ВО Великолукская государственная академия физической культуры и спорта
Email: sergey_moiseev@vlgafc.ru
Россия, Великие Луки
Список литературы
- Бернштейн Н.А. Очерки по физиологии движений и физиологии активности. М.: Медицина, 1966. 349 c.
- Гельфанд И.М., Гурфинкель В.С., Фомин С.В., Цетлин М.Л. Модели структурно-функциональной организации некоторых биологических систем. М.: Наука, 1966. 322 с.
- d’Avella A. Modularity for motor control and motor learning // Adv. Exp. Med. Biol. 2016. V. 957. Р. 3.
- Scholz J., Schöner G. The uncontrolled manifold concept: identifying control variables for a functional task // Exp. Brain Res. 1999. V. 126. № 3. P. 289.
- Latash M. Motor synergies and the equilibrium-point hypothesis // Motor Control. 2010. V. 14. № 3. P. 294.
- Munoz-Martel V., Santuz A., Bohm S., Arampatzis A. Proactive modulation in the spatiotemporal structure of muscle synergies minimizes reactive responses in perturbed landings // Front. Bioeng. Biotechnol. 2021. V. 9. P. 761766.
- Silva P.B., Oliveira A.S., Mrachacz-Kersting N., Kersting U.G. Effects of wobble board training on single-leg landing neuromechanics // Scand. J. Med. Sci. Sports. 2018. V. 28. № 3. Р. 972.
- Rabbi M.F., Pizzolato C., Lloyd D.G. et al. Non-negative matrix factorization is the most appropriate method for extraction of muscle synergies in walking and running // Sci. Rep. 2020. V. 10. № 1. P. 8266.
- Nardon M., Pascucci F., Cesari P. et al. Synergies stabilizing vertical posture in spaces of control variables // Neuroscience. 2022. V. 500. P. 79.
- Alexandrov A.V., Frolov A.A., Massion J. Biomechanical analysis of movement strategies in human forward trunk bending. I. Modeling // Biol. Cybern. 2001. V. 84. № 6. P. 425.
- Kuznetsov N.A., Riley M.A. Effects of breathing on multijoint control of center of mass position during upright stance // J. Mot. Behav. 2012. V. 44. № 4. Р. 241.
- Freitas S.M., Duarte M., Latash M.L. Two kinematic synergies in voluntary whole-body movements during standing // J. Neurophysiol. 2006. V. 95. № 2. Р. 636.
- Clavel L., Attali V., Rivals I. et al. Decreased respiratory-related postural perturbations at the cervical level under cognitive load // Eur. J. Appl. Physiol. 2020. V. 120. № 5. Р. 1063.
- Altenburger K., Bumke O., Foerster O. Allgemeine neurologie. Berlin: Handbuch der Neurologie, 1937. 747 р.
- Моисеев С.А., Пухов А.М., Михайлова Е.А., Городничев Р.М. Методологические и вычислительные аспекты извлечения обширных мышечных синергий при локомоциях умеренной интенсивности // Рос. физиол. ж. им. И.М. Сеченова. 2021. Т. 108. № 1. С. 24.
- Радченко С. Методология регрессионного анализа: монография. Киев: Корнійчук, 2011. 375 с.
- Nashner L.M., McCollum G. The organization of human postural movements: a formal basis and experimental synthesis // Behav. Brain Sci. 1985. V. 8. № 1. Р. 135.
- Kweon M., Son S.M., Kwon Y.H. The effect of aging on respiratory synergy // J. Phys. Ther. Sci. 2015. V. 27. № 4. Р. 997.
- Schmid M., Conforto S., Bibbo D., D’Alessio T. Respiration and postural sway: detection of phase synchronizations and interactions // Hum. Mov. Sci. 2004. V. 23. № 2. Р. 105.
- Hamaoui A., Gonneau E., Le Bozec S. Respiratory disturbance to posture varies according to the respiratory mode // Neurosci. Lett. 2010. V. 21. № 475(3). Р. 141.
- Моисеев С.А., Городничев Р.М. Вариативность пространственно-временнóй структуры двигательных синергий при локомоциях различной интенсивности // Физиология человека. 2022. Т. 48. № 4. С. 22.
- Escalona M.J., Bourbonnais D., Goyette M. et al. Effects of varying overground walking speeds on lower-extremity muscle synergies in healthy individuals // Motor Control. 2021. V. 25. № 2. P. 234.
- Santuz A., Brüll L., Ekizos A. et al. Neuromotor dynamics of human locomotion in challenging settings // iScience. 2020. V. 23. № 1. P. 100796.
- Hodges P.W., Gurfinkel V.S., Brumagne S. et al. Coexistence of stability and mobility in postural control: evidence from postural compensation for respiration // Exp. Brain Res. 2002. V. 144. № 3. Р. 293.
- Krishnamoorthy V., Goodman S., Zatsiorsky V., Latash M.L. Muscle synergies during shifts of the center of pressure by standing persons: identification of muscle modes // Biol. Cybern. 2003. V. 89. № 2. Р. 152.
- Tresch M.C., Cheung V.C., d’Avella A. Matrix factorization algorithms for the identification of muscle synergies: evaluation on simulated and experimental data sets // J. Neurophysiol. 2006. V. 95. № 4. Р. 2199.
- Bizzi E., Cheung V.C. The neural origin of muscle synergies // Front. Comput. Neurosci. 2013. V. 7. Р. 51.
- Torres-Oviedo G., Ting L. Subject-specific muscle synergies in human balance control are consistent across different biomechanical contexts // J. Neurophysiol. 2010. V. 103. № 6. Р. 3084.
- Munoz-Martel V., Santuz A., Ekizos A., Arampatzis A. Neuromuscular organisation and robustness of postural control in the presence of perturbations // Sci. Rep. 2019. V. 9. № 1. Р. 12273.
- Hagio S., Ishihara A., Terada M. et al. Muscle synergies of multidirectional postural control in astronauts on Earth after a long-term stay in space // J. Neurophysiol. 2022. V. 127. № 5. Р. 1230.
- Гельфанд И., Цетлин М. О некоторых способах управления сложными системами // УМН. 1962. Т. 17. № 1(103). С. 3.
- Freitas S.M., Duarte M., Latash M.L. Two kinematic synergies in voluntary whole-body movements during standing // J. Neurophysiol. 2006. V. 95. № 2. Р. 636.
Дополнительные файлы






