Eye Movements and Autonomic Regulation of Cognitive Activity during Reading in Adolescence. Part I. Functional “Cost” of Cognitive Activity when Reading Text from the Screen in Adolescence
- Authors: Komkova Y.N.1, Bezrukikh M.M.2, Babanova K.U.1,3, Ryabkova T.S.1,3, Ustsova A.G.1
-
Affiliations:
- Institute of Child Developmental
- Moscow State Pedagogical University
- Moscow State University
- Issue: Vol 50, No 2 (2024)
- Pages: 57-69
- Section: Articles
- URL: https://ogarev-online.ru/0131-1646/article/view/260385
- DOI: https://doi.org/10.31857/S0131164624020053
- EDN: https://elibrary.ru/VIGRPV
- ID: 260385
Cite item
Full Text
Abstract
Reading from the screen of an electronic device (ED) is a significant cognitive activity for adolescences, and its complexity affects visceral functions. We conducted an analysis of the heart rate variability (HRV) and eye movements (EM) in adolescents while they were reading complex text on an ED screen. The aim was to assess the functional state characteristics under these conditions and reveal the intensity (“cost”) associated with this activity The study involved 22 adolescences with an average age of 15 years (М = 15.46, SD = 0.44). Reading text from an ED screen in adolescents was associated with a high functional “cost,” characterized by a decrease in overall HRV, an increase in the tension index and heart rate. These changes indicate the functional tension of regulatory systems during cognitive activity. The study revealed varying levels of parafoveal processing involvement. For the majority of adolescents (86.4%), word-by-word reading and a low percentage of regressions (12.0%) were observed, suggesting developed average reading skill. However, a qualitative analysis of individual EM tracks indicated varying level of reading skill development among adolescents, possibly due to a limited vocabulary and a lack of understanding of syntax. Additionally, 40.9% of adolescents demonstrated poor text comprehension. Our results showed that reading remains a complex cognitive task for adolescents, despite the expectation that their reading skills should be well-developed and automated by this age. Individual analysis of HRV and EM in adolescents with varying levels of text comprehension during reading demonstrated different strategies of adaptive behavior and autonomic reactions when performing a complex cognitive task. The functional “cost” of information processing when reading text from the ED screen results from a combination of age-related and individual adaptation characteristics, language competence and the psycholinguistic complexity of the text.
Full Text
Подростковый возраст является одним из самых динамичных периодов онтогенеза [1]. Физиологические изменения, происходящие в период полового созревания, делают организм подростка уязвимым к внешним воздействиям и, на фоне увеличения умственных и эмоциональных нагрузок, можно ожидать повышение “функциональной цены” учебной деятельности.
Электронные устройства (ЭУ) широко используются в повседневной жизни детьми и подростками [2], а чтение с ЭУ становится доминирующим компонентом в учебной и внеучебной деятельности. Между тем влияние этого вида деятельности на познавательное развитие и функциональное состояние детей остается мало изученным. Показано, что чтение с ЭУ у детей младшей школы и 5-классников может существенно влиять на функциональное состояние (ФС) сердечно-сосудистой системы и его регуляцию [3, 4], при этом характер вегетативной нервной регуляции сердечного ритма при чтении зависит от морфо- и психолингвистической сложности текста [3].
Подобные исследования с подростками сосредоточены на оценке влияния общего времени проведенного за ЭУ на показатели физического и когнитивного развития [5, 6]. Есть данные сравнительного анализа функционального состояния при чтении с разного вида носителей информации [7], где показана выраженная вегетативная реакция при чтении с ЭУ. Подобные результаты получены и на взрослых [8].
Когнитивная сложность процесса чтения, длительность и сложность формирования навыка определяют высокую чувствительность всех его характеристик к изменениям условий деятельности. Поскольку чтение с экрана ЭУ существенно меняет условия и процесс чтения традиционной книги, увеличение практики использования цифрового формата для чтения среди детей и подростков предъявляет определенные требования к сформированности навыка чтения.
В среднем, к 10-12 годам происходит стабилизация паттерна чтения по показателям окуломоторной активности [9]. Основные изменения, связанные с развитием навыка чтения и освоением языка, включают уменьшение длительности фиксаций [10, 11], формирование более точных переходов на новую строку [12], и возрастание роли парафовеального просмотра. Несмотря на это, многочисленные исследования свидетельствуют о трудностях в понимании прочитанного среди детей подросткового возраста [13, 14], что может не только напрямую влиять на успешность обучения, но и создавать высокое функциональное напряжение. Поэтому, несмотря на предполагаемую сформированность механизмов окуломоторной активности (ОМА) у подростков, у них могут сохраняться индивидуальные затруднения, связанные с различными компонентами данной когнитивной деятельности, которые будут проявляться в параметрах ОМА.
На фоне снижения регуляции и контроля произвольной деятельности, а также эффективности когнитивных функций в подростковом возрасте, определяющих затруднения в реализации когнитивных навыков [15], изучение процесса чтения у данной целевой группы особенно интересно.
Изучение закономерностей развития адаптационных ресурсов у нормотипичных детей в свете возрастающей цифровизации образовательного процесса позволит составить представление об уровне функциональных возможностей приспособительных реакций в период подросткового возраста.
Можно предположить, что сочетание возрастных особенностей подростков и трудностей при реализации ими сложного когнитивного навыка — чтения с экрана ЭУ могут создавать дополнительное функциональное напряжение.
Эта гипотеза положена в основу настоящего исследования, цель которого состоит в изучении функциональной “цены” сложной когнитивной нагрузки при чтении и анализе ОМА (при чтении с экрана ЭУ сложного текста) учащимися 9 класса (15 лет).
Среди задач исследования наиболее значимыми являлись: оценка характера вегетативной нервной регуляции сердечного ритма и параметров глазодвигательной активности при чтении у подростков, а также выявление особенностей в понимании прочитанного текста.
МЕТОДИКА
В исследовании функционального состояния при чтении текста с ЭУ принимали участие подростки 15 лет (М = 15.46, SD = 0.44; n = 22, 63.6% — девочек) с письменного согласия родителей.
Все подростки, согласно данным медицинских карт, относились к I–II группам здоровья, не имели выраженных трудностей письма и чтения. Исследование проводили в первой половине дня (с 9 до 13 ч), в период наибольшей активности физиологических функций. Регистрацию электрокардиографии (ЭКГ) и глазодвигательной активности проводили с каждым участником индивидуально согласно дизайну, представленному на рис. 1.
Рис. 1. Дизайн экспериментального исследования. Чтение теста с экрана электронного устройства (ЭУ) у подростков 15 лет.
Опрос включал вопросы по содержанию прочитанного фрагмента текста (до 5) с возможностью развернутого устного ответа. Оценку степени понимания текста детьми проводили экспертно по шкале от 0 до 4 баллов.
Регистрация электрокардиограммы (ЭКГ) и обработка вариабельности ритма сердца (ВРС). Регистрацию ЭКГ осуществляли во II стандартном отведении с помощью прибора “Полиспектр-12” (Россия). Этапы исследования и их последовательность, в ходе которых проводили регистрацию ЭКГ, представлены на рис. 1. В экспериментальной ситуации 2 (чтение), одновременно с записью ЭКГ, проводили регистрацию ОМА. Для исследования автономной нервной регуляции сердечного ритма по параметрам ВРС анализировали 3–5-минутную запись ЭКГ.
Анализ ВРС проводили в соответствии с методическими рекомендациями, разработанными группой российских авторов [16] и стандартом Европейского общества кардиологов и Северо-Американского общества электростимуляции и электрофизиологии [17]. При проведении временного анализа ВРС проводили вычисление следующих показателей: RRNN (мс) – средняя длительность нормальных интервалов RR; SDNN (мс) – стандартное отклонение величин нормальных интервалов RR за рассматриваемый временной отрезок; RMSSD (мс) – квадратный корень из суммы квадратов разностей величин последовательных интервалов NN; pNN50 (%) – процент NN50 (NN50 – количество пар последовательных интервалов NN, различающихся более чем на 50 мс в течение всей записи) от общего количества последовательных интервалов, полученный за весь период записи; CV (%) – коэффициент вариации.
При проведении спектрального анализа ВРС оценивали следующие параметры спектрограммы: HF (мс2) – мощность спектра в диапазоне высоких частот (0.15–0.4 Гц); LF (мс2) – мощность спектра в диапазоне низких частот (0.04–0.15 Гц); очень низкочастотные колебания — VLF (мс2) – мощность спектра в диапазоне 0.003–0.04 Гц. TP (мс2) – общая мощность спектра или полный спектр частот, характеризующих ВРС. LF/HF (у.е.) – отношение низкочастотной составляющей спектра к высокочастотной. Анализировали также частоту сердечных сокращений (ЧСС, уд./мин) и индекс напряжения (ИН, у.е.).
Регистрация и обработка окуломоторной активности. Бинокулярную регистрацию ОМА осуществляли при помощи метода видеоокулографии с элементами фотоэлектрического метода на установке Eyegaze Analyzing System фирмы “Interactive Mind” с использованием программы NYAN (версия 1.3.0.20). Скорость съемки каждой видеокамеры (частота опроса) составляет 60 Гц. При переменном опросе частота составляет 120 Гц (~1 кадр в 8 мс).
Показатели ОМА, анализируемые в настоящей работе, отобраны на основе результатов ранее проведенных работ [11, 18], продемонстрировавших связь этих показателей со сложностью текста и навыком чтения. Дополнительно рассчитывали параметры перехода на новую строку, такие как длительность предстроковой фиксации, совершаемой на последнем слове предыдущей строки, а также процент переходов с дополнительной корректирующей саккадой перед установочной фиксацией. Согласно литературным данным значения этих показателей отличаются у взрослых и детей [12].
Схема разметки показателей ОМА на восстановленном треке представлена на рис. 2.
Рис. 2. Фрагмент разметки параметров движений глаз при чтении текста (пример восстановленного трека окуломоторной активности (ОМА)).
Для исключения фиксаций, не связанных с чтением, проводили их фильтрацию в диапазоне 80–800 мс. Ориентируясь на методику, представленную в работе [19], при анализе ОМА короткие переходы на новую строку не учитывали; в анализ вошли переходы больше 14.19 угл. град.
Стимульным материалом в настоящем исследовании являлся текст учебника 9 класса “Обществознание” [20]. Выбор текста определяли психолингвистической сложностью текста, а также отсутствием специальных терминов, понятий, формул, требующих особой подготовки читателя. Участники исследования не были знакомы с содержанием текста.
Материалы для чтения были подготовлены в соответствие с нормами СанПиН 2.2.2/2.4.1340-03 при чтении текста с экранов ЭУ. Выравнивание текста проводили по левому краю для сохранения одинакового расстояния между словами.
Опираясь на выделенные в исследовании В.В. Иванова [21] морфо- и психолингвистические показатели, была проведена оценка степени “сложности” текста. Выявили, что в среднем предложения содержали 17.28 слов длиной 6.61 символов; из них 51.68% предложений — сложные, отношение количества лемм к количеству слов составляло 96.27%. Расчет интегральных метрик сложности (удобочитаемости) текста, адаптированных для русского языка [21, 22] показал: коэффициент Колемана-Лиау составил 22.59 баллов, коэффициент Флеша — 10.58 баллов, коэффициент Флеша-Кинкайд — 16.42 баллов. Результаты проведенного анализа позволили считать этот текст сложным для подростков.
Статистическая обработка данных. Статистическую оценку групповых различий временных и спектральных показателей ВРС, описанных выше, осуществляли с помощью критерия Уилкоксона. Выбор данного критерия был продиктован объемом анализируемой выборки подростков, а также характером распределения анализируемых переменных. Большинство анализируемых показателей сердечного ритма имело распределение отличное от нормального, вычисляли медиану (МЕ) и интерквартильный размах (25-й — Q1 и 75-й — Q3 квартили). Результаты статистической значимости множественных сравнений подвергали корректировке (p-values) методом контроля за false discovery rate (FDR) [23].
Показатели ОМА представлены как среднее по группе ± ошибка среднего (коэффициент вариации, выраженный в %).
РЕЗУЛЬТАТЫ ИССЛЕДОВАНИЯ И ИХ ОБСУЖДЕНИЕ
Функциональное состояние при чтении с экрана ЭУ у подростков. Одним из ресурсозатратных когнитивных процессов, который требует значительного включения физических и интеллектуальных возможностей, является чтение с экрана ЭУ. В настоящем иследовании основное внимание было обращено на анализ вегетативного обеспечения исследуемой когнитивной деятельности и на анализ показателей ОМА у подростков в целом по группе.
Вегетативное обеспечение когнитивной деятельности. Исследования, посвященные оценке влияния когнитивной деятельности на функциональное состояние организма при чтении, малочисленны [3, 8]. Выявлена зависимость характера вегетативной реакции от морфо- и психолингвистической сложности текста у детей младшего школьного возраста [3]. Подобные исследования с участием детей подросткового возраста не были найдены. Важно понимать, что в пубертатный период происходят значительные морфологические и функциональные перестройки в механизмах регуляции кровообращения и дыхания [1], что делает ребенка уязвимым к повышенным умственным и физическим нагрузкам.
Физиологический ответ на когнитивные нагрузки реализуется через структуры центральной нервной системы и включение информационных и метаболических процессов деятельности организма. Интересной представляется оценка вегетативной реакции у подростков, когда навык уже достаточно сформирован. Вероятно, физиологическая реакция детского организма будет различаться в зависимости от объема или вида когнитивной нагрузки.
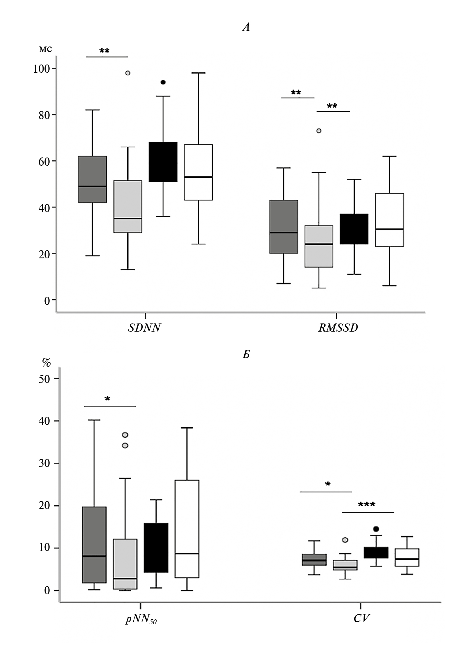
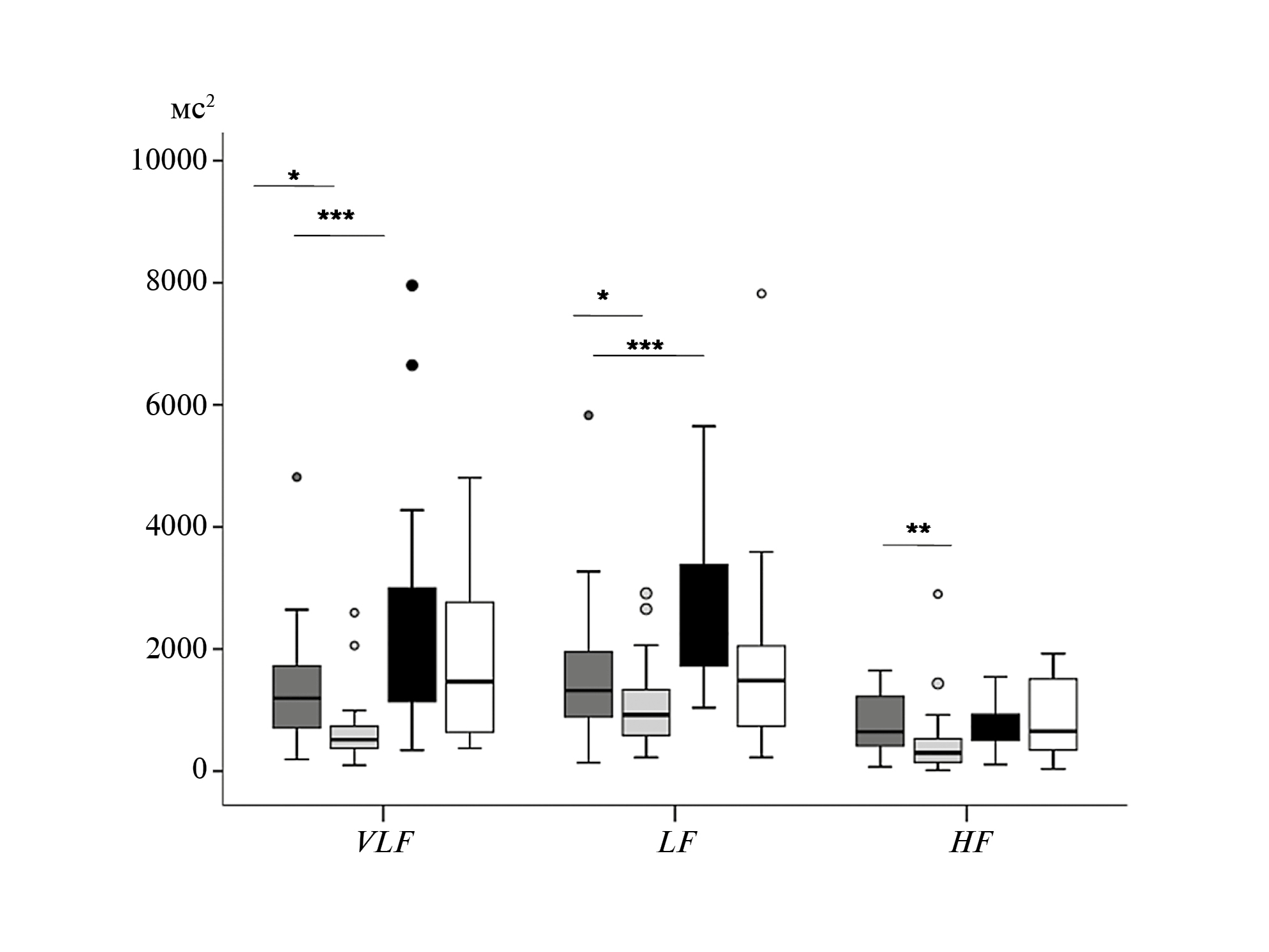
Активность вегетативной нервной системы, обеспечивающей адаптацию организма к когнитивной деятельности в нашем исследовании, оценивалась по показателям временного и спектрального анализа ВСР. Анализ изменений показателей ВСР в процессе чтения сложного текста по сравнению с исходными данными в состоянии покоя, выявил значимые изменения большинства показателей (рис. 3). Динамика изменений значений всех спектральных показателей при чтении текста направлена в сторону снижения. Значимые различия выявлены для всех показателей спектра (рис. 3), что отражается на показателе общей мощности (TP), который также снижался (покой — 3707.50; 2263.50; 5037.25; чтение — 1738.00; 1365.00; 3890.00; p = 0.036 (далее по тексту уровень значимости при FDR = 0.1).
Рис. 3. Изменение спектральных показателей вариабельности ритма сердца (ВРС) в процессе экспериментального исследования у подростков 15 лет. По оси абсцисс — показатели, по оси ординат — значения. Столбики — период исследования: темно-серые — покой, светло-серые — чтение текста, черные — ответы на вопросы, белые — восстановление (покой 2). Верхняя и нижняя границы каждого прямоугольника — первый и третий квартили (25‑й и 75‑й процентили соответственно), горизонтальная линия внутри — медиана (50‑й процентиль), концы отрезков — 10‑й и 90‑й процентили, точки — индивидуальные значения в выборке. * – p < 0.05, ** – p < 0.01, *** – p < 0.001. p-values значимое при FDR = 0.1 коррекции на множественные сравнения.
Как видно из рис. 3, доминирующими или наиболее лабильными в процессе реагирования сердечного ритма на нагрузку и восстановительный период в спектре сердечного ритма являлись VLF-волны. Сложность в интерпретации спектрального диапазона ВРС очень медленных колебаний проявляется в многообразии физиологических свойств, присущих этому диапазону [24].
На основании результатов исследований этого диапазона с помощью разных видов анализа, показано, что VLF отражает центральные механизмы вегетативной регуляции и адаптации [25]. Активное “включение” гуморально-метаболических влияний может быть связано и с эндокринными перестройками в этом возрасте.
Несмотря на то, что вклад низкочастотных волн снижался, баланс LF/HF при чтении сложного текста по сравнению с покоем характеризовался их преобладанием в спектре ритма сердца (покой — 2.3; 1.4; 3.5; чтение- 3.2; 1.4; 6.7; p = 0.085), что обусловлено изначально преобладанием данного типа волн. Необходимо отметить, что LF компонент в литературе связывается с воздействием на ритм сердца как симпатических, так и парасимпатических влияний [26].
Как видно из рис. 4, аналогичная динамика изменений прослеживается и в значениях временных показателей, которые при чтении также снижаются. Наблюдаемые изменения в значениях вагус-опосредованных временных и спектральных показателей ВРС (HF, RMSSD, SDNN, pNN50) можно рассматривать как один из вариантов адаптации, обеспечивающий выполнение сложной когнитивной задачи. В работе [27] снижение тонуса блуждающего нерва объясняется усилением компенсаторных возможностей.
Рис. 4. Изменение временных (А, Б) показателей вариабельности ритма сердца (ВРС) в процессе экспериментального исследования у подростков 15 лет. Обозначения см. рис. 3.
На фоне снижения общей вариабельности у подростков отмечалось увеличение ЧСС (покой — 84.00; 76.00; 94.00; чтение — 93.00; 77.00; 105.00; p = 0.025) и ИН (покой — 91.00; 57.67; 107.3; чтение — 216.00; 89.70; 267.00; p = 0.026). Выраженный скачок ИН наблюдался в 82.0% случаев.
Сниженная ВРС в литературе рассматривается, как сниженная способность адаптироваться к требованиям окружающей среды и стрессовым факторам [28]. Наблюдаемая в настоящем исследовании вегетативная реакция может говорить о “значимости” даже непродолжительной (7-минутной) когнитивной нагрузки (чтение) для подростков, которая вызывает существенные изменения в ФС регулирующих систем организма.
Вопросы по содержанию текста вызвали выраженную вегетативную реакцию, характеризующуюся ростом ряда временных и спектральных показателей (рис. 3 и 4). При этом средний уровень понимания составил 58.64 ± 3.85 (30.82)%.
Восстановительный период характеризовался тем, что большинство временных и спектральных показателей остались выше значений показателей исходного уровня, что так же свидетельствует о “значимости” когнитивной нагрузки, которая вызвала повышенное функциональное напряжение.
Таким образом, по данным проведенного исследования, характер реагирования спектра сердечного ритма, а также динамика изменений значений временных показателей ВРС при чтении с ЭУ и в восстановительном периоде у подростков свидетельствует о высокой функциональной “цене” этого вида когнитивной деятельности.
Одновременная с ВРС регистрация ОМА позволила провести анализ направленности глазодвигательной активности при чтении.
Анализ параметров движений глаз показал, что средняя скорость чтения составляла 2.0 ± 0.43 (33.5) слова в секунду или 12.96 ± 2.76 (36.03) символов в секунду. Объем прочитанного за 7 мин материала составил 1571.36 ± 335.02 (16.39) слов.
При этом у подростков преобладало восприятие текста по словам, в среднем на слово приходится 1.42 ± 0.30 (28.87) фиксаций, 0.53 ± 0.11 (30.19) фиксаций на слог, 0.23 ± 0.05 (30.43) фиксаций на букву. Несформированность восприятия текста по словам наблюдалась только у трех подростков, которые совершали в среднем две фиксации на слово.
Продолжительность прогрессивных фиксаций, совершаемых по направлению чтения, которая отражает процессы орфографического, фонологического, морфологического, лексического и семантического распознавания слова, у подростков составляла 235.03 ± 50.11 (10.22) мс. Амплитуда саккад, совершаемых по направлению чтения, достигала 4.17 ± 0.89 (18.71) угл. град, что, с учетом длины слов, отражает достаточно беглое пословесное чтение. Процент регрессивных саккад варьировал по группе, однако в среднем был близок к уровню этого показателя у взрослых [29], составляя 13.38 ± 2.85 (33.71)%. Амплитуда регрессивных саккад (4.05 ± 1.86 (22.72) угл. град) указывает на преобладающие возвраты к предыдущему слову, что может быть связано со сложностью понимания текста.
Известно, что по мере развития навыка чтения, параметры перехода на новую строку меняются [12]. Переход на новую строку осуществляется в два этапа. Первый этап включает предстроковую фиксацию. На этом этапе, помимо обработки последнего слова, происходит планирование перехода на новую строку и подготовка длинной саккады, т.е. переход от лексической обработки к зрительно-пространственному ориентированию. На втором этапе осуществляется фиксирование взора в начале строки — установочная фиксация.
Как показали результаты настоящего исследования, у подростков длительность предстроковых фиксаций (первый этап) составляла 213.05 ± 45.42 (11.06) мс, что в среднем на 22 мс меньше, чем длительность прогрессивных фиксаций, что согласуется с литературными данными, полученными у детей и взрослых при чтении на английском языке [12].
Длительность установочной фиксации (второй этап) у подростков составляла 285.08 ± 60.78 (16.2) мс, что на 50 мс больше длительности прогрессивных фиксаций. У взрослых читателей также наблюдается бóльшая длительность установочных фиксаций, по сравнению с фиксациями внутри строки, что может быть обусловлено “ценой” активного использования парафовеальной обработки [30], которая вносит свой вклад в алгоритмы распознавания слова [31] и может приводить к уменьшению последующей фиксации [32]. Парафовеальная обработка может зависеть и от частотности слов, их предсказуемости и в некоторых случаях может приводить к пропуску слов в предложении [33–35]. Возраст, в котором происходит активное вовлечение парафовеальной обработки в процесс перехода на новую строку, продолжает обсуждаться в литературе. Так, при чтении на английском языке у детей младшего школьного возраста активного вовлечения парафовеальной обработки не отмечено [12], в то время как при чтении на русском языке у детей того же возраста наблюдается увеличение длительности установочных фиксаций [11].
Помимо обозначенных двух этапов перехода на новую строку, при чтении возможны промежуточные фиксации (строковые), сопровождаемые корректирующей саккадой к установочной фиксации. Как показали результаты нашего исследования, у подростков доля таких переходов высока — 53.38 ± 11.38 (44.01%), у трех детей корректирующие саккады встречались менее чем в 30.0% случаев и только у одного — менее 12.0%. Длительность строковых фиксаций составляла 168.75 ± 35.98 (13.61) мс, что на 66 мс меньше длительности фиксаций внутри строки. Аналогичные различия в показателях ОМА наблюдались и при чтении на английском языке [12].
Переход на новую строку с корректирующей саккадой в литературе чаще рассматривается как моторная ошибка [34], а наблюдаемые вариации этого показателя среди подростков могут свидетельствовать о разной степени сформированности моторной составляющей чтения. Как показали исследования, у детей доля таких переходов выше, чем у взрослых, при этом и у детей и у взрослых, длительность строковой фиксации короче, чем прогрессивной [12]. Существуют также данные, которые указывают на предварительную обработку слова во время дополнительной фиксации [21]. В связи с этим, мы проанализировали длительность следующей за коррекцией фиксации, которая при чистом переходе была бы установочной. Оказалось, что длительность этой фиксации была близка к таковой у саккад внутри строки 232.92 ± 49.66 (15.12) мс. Наши результаты косвенно подтверждают предположения о том, что бóльшая длительность установочной фиксации без коррекции обусловлена ценой отсутсвия парафовеального просмотра при чтении первого слова и что дополнительная (строковая) фиксация включает некоторую предобработку слова. При наложении таких эффектов обработка первого слова, предположительно, происходит в обычном режиме, как и других слов в строке.
Проведенный анализ указывает на то, что глазодвигательная активность у подростков в возрасте 15 лет при чтении сложного текста с ЭУ характеризуется сформированностью пословесного чтения, активным вовлечением парафовеальной обработки текстовой информации, показателями длительностей фиксаций и амплитуды саккад близкими к показателям взрослых читателей, что свидетельствует о процессе совершенствования навыка чтения.
Индивидуальные варианты функционального состояния и окуломоторной активности у подростков при чтении с экрана ЭУ. Вариации показателей окуломоторной активности при чтении и разный характер вегетативного обеспечения этой деятельности у подростков 15 лет позволяют рассмотреть индивидуальные возможности функционального реагирования при реализации когнитивной деятельности (чтение сложного текста) с учетом понимания текста.
На рис. 5 представлены восстановленные треки для двух детей, которые демонстрировали трудности при чтении, при этом уровень понимания был разным и профиль вегетативной активации в процессе выполнения задания также имел свои особенности.
Рис. 5. Фрагменты восстановленного трека у подростков 15 лет с разной степенью понимания текста. А — низкое понимание (30.0%), Б — высокое понимание (90.0%).
Общим в показателях ОМА для подростков, демонстрирующих трудности понимания текста были дополнительные фиксации на последнем слове строки.
Случай A. Первый подросток продемонстрировал 30.0% понимания, прочитал 839 слов, совершая в среднем 1.72 фиксации на слово. Амплитуда прогрессивных саккад составила 4.04 угл. град, длительность фиксаций — 244.04 мс. В процессе чтения 61.9% переходов на новую строку включали дополнительную корректирующую саккаду, длительность предстроковых фиксаций составила 230.57 мс, совершено 17.05 регрессий. Большая длительность предстроковой фиксации и характер возвратов позволяет предположить у этого ребенка трудности с объединением отдельных строк и сложных синтаксических конструкций в предложение. При этом амплитуда регрессивных саккад (5.41 угл. град), превышающая амплитуду прогрессивных саккад, указывает на преобладание возвратов к предлогу перед предыдущим словом или к окончанию предшествующего слова, что также может быть связано с трудностями в интерпретации синтаксиса и соотношения отдельных слов и частей предложения между собой.
Анализ ВРС выявил у этого школьника типичную для большинства детей (в целом по анализируемой группе подростков 15 лет в настоящем исследовании) вегетативную реакцию: снижение общей вариабельности, отражающееся как в показателях временных (RRNN, SDNN, RMSSD), так и спектральных (TP, VLF, LF, HF), что свидетельствует о функциональном напряжении регулирующих систем. При этом значение ИН существенно не меняется, но характеризуется изначально высоким уровнем (перед чтением — 218 у.е.), что свидетельствует о повышенном функциональном напряжении уже в процессе готовности к предстоящей когнитивной деятельности.
Случай Б. Второй испытуемый продемонстрировал 90.0% понимания, прочитав 764 слова, совершая в среднем 2.07 фиксации на слово. Амплитуда прогрессивных саккад составила 3.33 угл. град, длительность фиксаций — 229.43 мс. В процессе чтения 50.0% переходов на новую строку включали дополнительную корректирующую саккаду. Длительность предстроковых фиксаций составила 217.29 мс, было совершено 22.69 регрессий.
Количество фиксаций на слово, а также амплитуда регрессий, близкая к амплитуде прогрессивных саккад, указывает на перечитывание отдельных слов, что, возможно, связано как с лексическими и фонетическими свойствами слова, так и с определением его роли в предложении.
Анализ ВРС выявил у этого ребенка вегетативную реакцию, характеризующуюся ростом общей мощности спектра за счет гуморально-метаболических влияний и повышения тонуса симпатической нервной системы на фоне снижения парасимпатической активности. При этом ИН увеличился в 2.5 раза (с 80 до 217 у.е.). Наблюдаемая вегетативная реакция во время когнитивной деятельности, с одной стороны, вполне типична при выполнении задач [36], выраженность которой может быть обусловлена исходно низкой активностью симпатических нервных влияний на сердечный ритм. В то же время выраженный прирост значений TP и ИН свидетельствует о значительном функциональном напряжении уже в процессе чтения.
Проведенный анализ индивидуальных значений параметров ОМА и динамики показателей ВРС при чтении у подростков с разным пониманием текста свидетельствует о разной функциональной “цене” реализации сложной когнитивной деятельности. Особенности глазодвигательной активности свидетельствуют о разной степени сформированности навыка чтения. Наблюдаемые вариации вегетативной реакции могут свидетельствовать о высокой степени индивидуальности адаптационного реагирования и регуляции на когнитивную нагрузку.
ВЫВОДЫ
- Чтение текста с экрана монитора сопровождается высокой функциональной “ценой” регулирующих систем, характеризующейся снижением общей ВРС, повышением ИН и ЧСС.
- Глазодвигательная активность у подростков в возрасте 15 лет при чтении сложного текста характеризуется близкими к дефинитивному уровню показателями, сформированностью пословесного чтения, активным вовлечением парафовеальной обработки.
- Качественный анализ треков движений глаз указывает на неравномерность развития навыка чтения у подростков 15 лет. Эта вариативность может быть связана с дефицитом словарного запаса и затруднениями в интерпретации синтаксических конструкций.
- Анализ глазодвигательной активности и характер вегетативной нервной реакции у подростков свидетельствует о том, что чтение продолжает оставаться сложной когнитивной задачей для детей этого возраста.
- Анализ индивидуальных показателей вариабельности сердечного ритма и глазодвигательной активности у подростков свидетельствует о различиях в индивидуальных стратегиях адаптивного реагирования и вариантах вегетативной реакции при выполнении сложной когнитивной задачи.
Финансирование работы. Настоящая работа выполнена за счет средств, выделяемых для выполнения государственного задания.
Соблюдение этических стандартов. Все исследования проводились в соответствии с принципами биомедицинской этики, изложенными в Хельсинкской декларации 1964 г. и последующих поправках к ней. Они также были одобрены Комиссией по этике Ученого совета Института возрастной физиологии РАО (Москва), протокол № 1 от 05.10.2020 г.
Информированное согласие. Перед началом исследования каждый родитель участника дал добровольное письменное информированное согласие после получения разъяснений о потенциальных рисках и преимуществах, а также о характере предстоящего исследования.
Конфликт интересов. Авторы данной работы заявляют, что у них нет конфликта интересов.
Вклад авторов в публикацию. Концепция и дизайн исследования — М.М. Безруких, сбор и обработка данных в части ВРС — Ю.Н. Комкова, А.Г. Усцова, сбор и обработка данных в части ОМА — К.Ю. Бабанова, Т.С. Рябкова, подготовка иллюстраций — Ю.Н. Комкова, К.Ю. Бабанова, Т.С. Рябкова, написание и редактирование рукописи — М.М. Безруких, Ю.Н. Комкова, К.Ю. Бабанова, Т.С. Рябкова, ответственность за целостность всех частей статьи — Ю.Н. Комкова.
About the authors
Yu. N. Komkova
Institute of Child Developmental
Author for correspondence.
Email: julie.komkova@gmail.com
Russian Federation, Moscow
M. M. Bezrukikh
Moscow State Pedagogical University
Email: julie.komkova@gmail.com
Russian Federation, Moscow
K. U. Babanova
Institute of Child Developmental; Moscow State University
Email: julie.komkova@gmail.com
Russian Federation, Moscow; Moscow
T. S. Ryabkova
Institute of Child Developmental; Moscow State University
Email: julie.komkova@gmail.com
Russian Federation, Moscow; Moscow
A. G. Ustsova
Institute of Child Developmental
Email: julie.komkova@gmail.com
Russian Federation, Moscow
References
- Farber D.A., Semenova L.K., Alferova V.V. et al. [Physiology of adolescent]. M.: Pedagogika, 1988. 208 p.
- Korcz A., Krzysztoszek J., Bronikowski M. et al. Associations between physical activity, screen time, sleep time and selected academic skills in 8/9-year-old children // BMC Public Health. 2023. V. 23. № 1. P. 1335.
- Bezrukikh M.M., Komkova Y.N., Ivanov V.V. Autonomic regulation of heart rate and distinctive features of oculomotor activity in eight- to nine-year-old boys and girls during the reading of texts of different complexities // Human Physiology. 2018. V. 44. № 4. P. 361.
- Thomas S.A., Lynch J.J., Friedmann E. et al. Blood pressure and heart rate changes in children when they read aloud in school // Public Health Rep. 1984. V. 99. № 1. P. 77.
- Marciano L., Camerini A.-L., Morese R. The Developing Brain in the Digital Era: A Scoping Review of Structural and Functional Correlates of Screen Time in Adolescence // Front. Psychol. 2021. V. 12. P. 671817.
- Dahlgren A., Sjöblom L., Eke H. et al. Screen time and physical activity in children and adolescents aged 10-15 years // PloS One. 2021. V. 16. № 7. P. e0254255.
- Kuchma V.R., Teksheva L.M., Vyatleva O.A., Kurganskij A.M. [Physiological and hygienic assessment of perception of the information from electronic device for reading (reader)] // Gig. Sanit. 2013. V. 92. № 1. P. 22.
- Bando S., Asano H., Nozawa A. Analysis of Physiological Effect of Reading Books by Paper and Electronic Medium // Electron. Commun. Japan. 2017. V. 100. № 5. P. 44.
- Justino J., Kolinsky R. Eye movements during reading in beginning and skilled readers: Impact of reading level or physiological maturation? // Acta Psychol. 2023. V. 236. P. 103927.
- Blinnikova I.V., Rabeson M.D., Izmalkova A.I. Eye movements and word recognition during visual semantic search: differences between expert and novice language learners // Psychology in Russia: State of the Art. 2019. V. 12. № 1. P. 129.
- Bezrukikh M.M., Adamovskaya O.N., Ivanov V.V., Filippova T.A. Visual perception and oculomotor activity during reading tasks of varying complexity in children aged 7–10 years // Human Physiology. 2019. V. 45. № 6. P. 596.
- Parker A.J., Slattery T.J., Kirkby J.A. Return-sweep saccades during reading in adults and children // Vision Res. 2019. V. 155. P. 35.
- Oslund E.L., Clemens N.H., Simmons D.C., Simmons L.E. The direct and indirect effects of word reading and vocabulary on adolescents’ reading comprehension: Comparing struggling and adequate comprehenders // Read. Writ. 2018. V. 31. P. 355.
- Nippold M.A. Reading Comprehension Deficits in Adolescents: Addressing Underlying Language Abilities // Lang. Speech Hear. Serv. Sch. 2017. V. 48. № 2. P. 125.
- [Regulation of behavior and cognitive activity in adolescence / Brain mechanisms] // Eds. Machinskaya R.I., Farber D.A. M.: MPSU Publ., 2023. 615 p.
- Baevskij R.M., Ivanov G.G., Chirejkin L.V. et al. [Analysis of heart rate variability using various electrocardiographic systems (part 1)] // J. Arrhythmol. 2002. № 24. P. 65.
- Malik M. Heart rate variability. Standards of Measurement, Physiological interpretation and clinical use // Circulation. 1996. V. 93. № 5. P. 1043.
- Bezrukikh M.M., Adamovskaya O.N., Ivanov V.V. Visual and oculomotor activity of first-grade school students during reading texts of varying complexity // Human Physiology. 2017. V. 43. № 2. P. 168.
- Slattery T.J., Parker A.J. Return sweeps in reading: Processing implications of undersweep-fixations // Psychon. Bull. Rev. 2019. V. 26. № 6. P. 1948.
- Bogolyubov L.N., Lazebnikova A.Yu., Lobanov I.A. et al. [Social Studies. Grade 9: studies. for general education]. M.: Prosveshhenie, 2021. 224 p.
- Ivanov V.V. [On the possibility of using linguistic characteristics of text complexity when studying eye movements while reading in adolescence] // Nov. Issled. 2013. № 1 (34). P. 42.
- Oborneva I.V. [Automation of text perception quality assesment] // The Academic Journal of MCU, Series: Computer Science and Informatization of Education. 2005. № 5. P. 86.
- Benjamini Y., Hochberg Y. Controlling the false discovery rate: a practical and powerful approach to multiple testing // J. R. Stat. Soc. Ser. B Methodol. 1995. V. 57. № 1. P. 289.
- Usui H., Nishida Y. The very low-frequency band of heart rate variability represents the slow recovery component after a mental stress task // PloS One. 2017. V. 12. № 8. P. e0182611.
- Flejshman A.N., Korablina T.V., Petrovskij S.A., Martynov I.D. [Complex structureand nonlinear behavior of very low frequency of heart rate variability: model of analysisand practical applications] // Izvestiya VUZ. Applied Nonlinear Dynamics. 2014. V. 22. № 1. P. 55.
- Ng J., Sundaram S., Kadish A.H., Goldberger J.J. Autonomic effects on the spectral analysis of heart rate variability after exercise // Am. J. Physiol. Heart Circ. Physiol. 2009. V. 297. № 4. P. H1421.
- Mizuno K., Tanaka M., Yamaguti K. et al. Mental fatigue caused by prolonged cognitive load associated with sympathetic hyperactivity // Behav. Brain Functions. 2011. V. 7. P. 17.
- Shaffer F., McCraty R., Zerr C.L. A healthy heart is not a metronome: An integrative review of the heart’s anatomy and heart rate variability // Front. Psychol. 2014. V. 5. P. 1040.
- Rayner K. Eye movements in reading and information processing: 20 years of research // Psychol. Bull. 1998. V. 124. № 3. P. 372.
- Rayner K. Visual attention in reading: Eye movements reflect cognitive processes // Mem. Cognit. 1977. V. 5. № 4. P. 443.
- Schotter E.R., Tran R., Rayner K. Don’t believe what you read (only once): Comprehension is supported by regressions during reading // Psychol. Sci. 2014. V. 25. № 6. P. 1218.
- Dimigen O., Kliegl R., Sommer W. Trans-saccadic parafoveal preview benefits in fluent reading: a study with fixation-related brain potentials // NeuroImage. 2012. V. 62. № 1. P. 381.
- Plummer P., Rayner K. Effects of parafoveal word length and orthographic features on initial fixation landing positions in reading // Attent. Percept. Psychophys. 2012. V. 74. № 5. P. 950.
- Veldre A., Andrews S. Parafoveal preview effects depend on both preview plausibility and target predictability // Q. J. Exp. Psychol. 2018. V. 71. № 1. P. 64.
- Parker A.J, Kirkby J.A, Slattery T.J. Undersweep fixations during reading in adults and children // J. Exp. Child. Psychol. 2020. V. 192. P. 104788.
- Weissman D.G., Mendes W.B. Correlation of sympathetic and parasympathetic nervous system activity during rest and acute stress tasks // Int. J. Psychophysiol. 2021. V. 162. P. 60.
Supplementary files






