Диссоциация когнитивных изменений при унилатеральных лучевых воздействиях на гиппокамп
- Авторы: Кроткова О.А.1, Данилов Г.В.1, Галкин М.В.1, Кулёва А.Ю.2, Каверина М.Ю.1, Ениколопова Е.В.3, Струнина Ю.В.1, Ениколопов Г.Н.4
-
Учреждения:
- ФГАУ “Национальный медицинский исследовательский центр нейрохирургии имени академика Н.Н. Бурденко” Минздрава России
- ФГБУН Институт высшей нервной деятельности и нейрофизиологии РАН
- Московский государственный университет имени М.В. Ломоносова
- Университет Стони-Брук
- Выпуск: Том 50, № 2 (2024)
- Страницы: 5-19
- Раздел: Статьи
- URL: https://ogarev-online.ru/0131-1646/article/view/260369
- DOI: https://doi.org/10.31857/S0131164624020017
- EDN: https://elibrary.ru/VLRENU
- ID: 260369
Цитировать
Полный текст
Аннотация
Хотя ключевая позиция гиппокампа (ГП) в процессах памяти не подвергается сомнению, специфика его участия в когнитивных процессах еще не установлена. При этом роль ГП в дифференциации новизны впечатлений часто обсуждается в контексте взрослого гиппокампального нейрогенеза. Лучевое воздействие на ГП, ингибирующее процессы нейрогенеза, могут служить моделью изучения этой взаимосвязи. Исследовалась однородная выборка из 28 пациентов с менингиомами хиазмально-селлярной области (МХСО), прилежащими к ГП. Средний возраст выборки 51.18 (SD = 10.16). У 15 больных диагностировалось левостороннее расположение опухоли (ЛРО) и у 13 – правостороннее (ПРО). Эти две группы были сопоставимы по демографическим, клиническим и морфометрическим характеристикам. С целью остановки роста опухоли больные проходили лучевую терапию (ЛТ), при которой ГП на стороне патологического процесса вынужденно получал дозу, сопоставимую с дозой в опухоли. Исследование с помощью оригинальной методики оценки зрительной памяти осуществлялось перед началом ЛТ, сразу после ее окончания, через 6 и 12 мес. после окончания. Были получены данные о более ранних изменениях характеристик памяти, опосредуемых правой гиппокампальной областью, но при этом — более выраженных отдаленных когнитивных последствиях ионизирующего воздействия на ГП левого полушария.
Ключевые слова
Полный текст
В настоящее время гиппокамп (ГП) — один из лидеров среди структур мозга по числу научных публикаций, посвященных мозговому обеспечению когнитивных процессов. Клинические наблюдения демонстрируют формирование грубейшего амнестического синдрома при двустороннем поражении ГП. У пациентов возникают выраженные нарушения памяти на текущие события при относительной сохранности приобретенных до болезни знаний и впечатлений личного опыта [1–6]. С другой стороны, интерес к ГП стимулируется новыми данными о взрослом нейрогенезе, происходящем у человека в ряде мозговых структур (зубчатая извилина ГП, субвентрикулярная зона боковых желудочков, прозрачная перегородка), попытками определить роль вновь образованных нейронов в когнитивном функционировании [7–11]. Генерация новых нейронов в мозге млекопитающих поддерживается на протяжении всей жизни благодаря пролиферации и дифференцировке стволовых клеток, однако эти процессы нарушаются при депрессии и нейродегенеративных расстройствах, болезни Альцгеймера и Паркинсона [12–15]. Все эти данные представляют ГП как одну из ключевых структур в реализации когнитивных явлений. При этом связанные с ГП исследования способствуют решению многих клинических вопросов.
Еще в работах О.С. Виноградовой с повреждением ГП у модельных животных высказывалась гипотеза о том, что проходящие через ГП кольцевые афферентно-эфферентные пути обеспечивают сопоставление вновь поступающих впечатлений с имеющимися в памяти. При этом сдвиг маркировки в сторону новизны или ее нивелирования (упрощения и обобщения поступающих раздражителей) зависит от текущего состояния особи [16]. В более поздних литературных источниках эти процессы описываются в разных терминах. Например, A.P. Maurer и L. Nadel [17] ключевым понятием делают “контекст”. Окружающая среда при перемещении животного в пространстве изменяется. Но этот контекст воспринимается постоянным, пока не превышен определенный порог или не пересечена какая-то граница. Мозг генерирует адаптивное поведение особи, которое остается постоянным в определенном диапазоне изменений входных сигналов от окружающей среды или от внутреннего состояния особи. ГП непрерывно отслеживает изменения контекста, функционируя в режиме континуума. Особи могут обнаруживать как сходство, так и различие входной информации, генерируя адаптивный физиологический ответ. Рекуррентные нейронные сети ГП способны к самоорганизации, так что они не требуют априорного обучения для формирования пространственно-временного паттерна. Активность постоянно циркулирует по нейронным петлям. Информация из любого источника накладывается на текущую активность и взаимодействует с ней таким образом, что может усилить текущую траекторию или значительно изменить ее, постоянно “гоняясь за собственным хвостом”. ГП обеспечивает непрерывность контекста за счет наличия вложенных друг в друга анатомических нейронных петель, что позволяет системе в значительной степени управлять собой и поддерживать надежную циркуляцию информации [17].
Континуум маркировки информации по степени новизны не является жестко фиксированным. Он определяется текущим состоянием особи, ее возможностями ассимиляции изменений окружающей среды. Старые поведенческие стереотипы менее ресурсозатратны. Для пожилой особи высокий порог для признания текущих впечатлений новыми — это условие адаптивного поведения, позволяющего опираться на сложившиеся, выверенные и хорошо отработанные поведенческие решения. Нивелирование новизны — это условие выживания при общем, связанном с возрастом, снижении физических и физиологических возможностей организма. Экспериментально установлено, что пожилым животным для дифференциации впечатлений требуются бо́льшие различия с прежней, усвоенной ранее, информацией, чем молодым особям [18, 19]. Пожилые люди нуждаются в бо́льшем, чем молодые, несходстве входной информации, чтобы принять решение о различии с ранее встречавшейся аналогичной информацией. У пожилых особей наблюдается сдвиг маркировки информации в сторону ее обобщения и генерализации, у молодых — в сторону дискриминации стимулов. И эти данные также дают отсылку в сторону снижающегося с возрастом нейрогенеза в ГП [18, 20–22].
В исследованиях функций ГП у человека наибольшее распространение получила экспериментальная модель сравнения визуально сходных объектов, предъявляемых с определенным интервалом времени. В этих заданиях испытуемый должен определить, тождественны ли объекты, различаются ли в мелких деталях или ничего похожего между ними не обнаруживается. Считается, что именно в момент восприятия похожего стимула, когда такой стимул по памяти сличается с виденным ранее, регистрируется специфическое (и решающее) участие ГП в функционировании нейрональной сети мозга [20, 21, 23, 24]. Функциональная магнитно-резонансная томография (фМРТ) высокого разрешения, действительно, позволила зарегистрировать в эти моменты специфический мультивоксельный паттерн активации в ГП, связанный с правильностью последующего ответа испытуемого [20, 25–28].
Однако причинно-следственная связь между особенностями сравнения паттернов информации и процессами нейрогенеза в ГП до сих пор не установлена. В первую очередь, из-за очевидных ограничений преднамеренного манипулирования нейрогенезом у людей. В этой связи уникальной ситуацией становится возможность наблюдения за пациентами с менингиомами хиазмально-селлярной области (МХСО), получающими ЛТ, направленную на остановку роста опухоли. МХСО являются внемозговыми доброкачественными новообразованиями, располагающимися на основании мозга в непосредственной близости к медио-базальным отделам левой или правой височной доли. Опухоль непосредственно прилежит к ГП, но не инфильтрирует вещество мозга. Медленный рост этих новообразований, сопровождаемый компенсаторными перестройками, является еще одним объяснением длительного отсутствия выраженной клинической симптоматики у таких больных [29, 30]. С целью остановки роста опухоли больные проходят ЛТ, при которой ГП вынужденно получает дозу сопоставимую с дозой в опухоли [31]. Поскольку лучевая нагрузка на стороне расположения опухоли на порядок превышает воздействие радиации на противоположное полушарие, она может рассматриваться как унилатеральная. Задачей работы являлось изучение последовательности когнитивных изменений при лево- и правостороннем лучевом воздействии на ГП в группе пациентов с МХСО.
МЕТОДИКА
В исследовании принимали участие 28 пациентов с МХСО от 30 до 65 лет, средний возраст выборки 51.18 (SD = 10.16); 24 женщины. Ни у кого из пациентов ранее в анамнезе не было ЛТ и нейрохирургических вмешательств. Во всех случаях диагноз “доброкачественной менингиомы” был установлен на основании типичной клинической картины и данных нейровизуализации. Всем больным проводили топометрическую МРТ головы в аксиальной проекции в режиме 3D SPGR (до и после введения контрастного вещества с толщиной срезов 1.0 мм) и в режиме Т2 (до введения контраста, с толщиной срезов 2.0 мм). Для точной оценки объема опухоли и ее пространственного расположения проводили оконтуривание опухоли и ГП в системе дозиметрического планирования iPlan (BrainLab). Оконтуривание ГП проводили на основании протокола RTOG 0933 и работ [32] на аксиальных изображениях, последовательно вручную на каждом срезе с использованием всех доступных модальностей. На рис. 1 представлены примеры послойного оконтуривания ГП и опухоли (рис. 1, А), а также трехмерной реконструкции опухоли и основных критических структур (рис. 1, Б). Красным цветом выделена опухоль, розовым — правый ГП, желтым — левый ГП.
Рис. 1. Изображение опухоли, гиппокампа (ГП) и других критических структур в программе планирования лучевой терапии (ЛТ). А - пример определения объемов опухоли, ГП и других критических структур на аксиальных томограммах в режиме Т1 с контрастным усилением. Б - пример трехмерной реконструкции опухоли и основных критических структур.
Лечение пациентов проводили в отделении радиотерапии Национального медицинского исследовательского центра нейрохирургии им. акад. Н.Н. Бурденко (г. Москва). Индивидуальный план ЛТ предполагал нахождение оптимального соотношения лечебной дозы в опухоли и лучевой нагрузки в близлежащих критических структурах. Стереотаксическую конформную ЛТ проводили при помощи фотонного пучка по стандартной методике на аппарате “Novalis” (Varian, США) – линейном ускорителе электронов (6 МэВ), оснащенном микромноголепестковым коллиматором. Курс лечения состоял из 30 ежедневных сеансов облучения в режиме стандартного фракционирования, с разовой очаговой дозой 1.8 Гр, суммарной — 54 Гр.
Дизайн методики исследования был основан на современных представлениях об участии ГП в мнестических процессах и особенностях смещения фокуса внимания при минимальных стимульных экспозициях в сторону, ипсилатеральную пораженному полушарию. По ключевым словам своей направленности, разработанная нами методика получила название — Методика АВП (Айтрекинг–Внимание–Память). На экране монитора испытуемому последовательно предъявляли 5 стимулов с инструкцией “внимательно на них посмотреть и запомнить”. Каждый стимул состоял из трех расположенных в ряд цветных изображений предметов (триплет картинок). Время экспозиции одного триплета — 10 с. Перед началом презентации и в паузах между триплетами испытуемому в течение 10 с экспонировался серый экран (заранее сообщалось, что “во время экспозиции серого экрана надо просто отдыхать, ничего не делать”). Общая длительность презентации — 110 с. Все предъявление сопровождалось регистрацией движений глаз испытуемого, однако в рамках настоящей статьи данные айтрекинга не рассматриваются.
Через 10 мин после окончания презентации (за это время выполнялись другие когнитивные задания) проводили процедуру воспроизведения (В) хранящихся в памяти стимулов. Испытуемый должен был вспомнить и назвать в любом порядке предметы, которые он недавно видел на экране. Ответы испытуемого протоколировали. Еще через 15 мин (за это время выполнялись другие когнитивные задания) проводили процедуру узнавания (У) стимульного материала. На мониторе компьютера в псевдослучайном порядке появлялись одиночные картинки, среди которых были как полностью идентичные исходному образцу, так и несколько отличающиеся от него деталями, цветом, расположением в пространстве. Также в псевдослучайном порядке появлялись и совершенно новые, никак не связанные с исходным образцом изображения. При появлении каждой картинки испытуемый должен был сказать, видел ли он раньше именно эту картинку, видел ли похожую на нее или такой картинки не было совсем. Заранее, до проведения экспериментального исследования, различия в ответах “такой же” и “похожий” демонстрировали на примерах, не входящих в стимульный набор. Исследование проводили только с теми испытуемыми, которые понимали смысл данных слов. Стимульный материал на этапе узнавания состоял из 30 картинок: 15 картинок, идентичных образцу; 10 картинок, похожих на латеральные стимулы в триплетах; 5 новых дистракторов. Анализировали ошибки, допущенные испытуемыми в ходе исследования. Ошибки воспроизведения (ОВ) – это неназванные (забытые) испытуемым стимулы. Ошибки узнавания (ОУ) – неправильно промаркированные картинки. Каждый вид ошибок анализировали в целом для триплета и отдельно — для левого и правого стимулов триплета. Всего возможны 6 типов ошибок узнавания. В табл. 1 они проиллюстрированы по отношению к одному из стимулов.
Таблица 1. Шесть возможных типов ошибок во время процедуры узнавания (представлены примеры для одного из стимулов)
Исходный стимул при запоминании | |||
Три вида изображений при узнавании исходного стимула | Правильный ответ | Ошибочный ответ | Тип ошибки ОУ |
Похожий | “Был” | “похожий/был” (ОПБ) | |
Похожий | “Не был” | “похожий/не был” | |
Был | “Не был” | “был/не был” | |
Был | “Похожий” | “был/похожий” (ОБП) | |
Не был | “Был” | “не был/был” | |
Не был | “Похожий” | “не был/похожий” | |
Для удобства изложения в настоящей статье день исследования памяти был обозначен как некоторая временнáя точка. I точка соответствовала исследованию, проводившемуся перед началом ЛТ. II точка — сразу после окончания ЛТ (как правило, – 45 дней после I точки). III точка соответствовала 6 мес. после окончания ЛТ. IV точка — через 12 мес. после окончания ЛТ.
Для проведения исследования в четырех точках были разработаны четыре набора стимульного материала, представляющие одинаковую трудность для восприятия и запоминания, как в целом по триплету, так и в сопоставлении левой и правой частей каждого набора. Была проведена предварительная апробация стимульного материала на здоровых испытуемых разных возрастных групп с последующей корректировкой стимулов по частоте связанных с ними ошибок в нормативной выборке. Стимульные наборы методики АВП были уравнены по сложности восприятия и удержания в памяти для выборки здоровых испытуемых.
Каждый из стимульных наборов методики АВП был жестко закреплен за той или иной точкой наблюдения. Соответственно, всех пациентов, проходящих данную точку, исследовали по одному и тому же набору. В динамике — от точки I до точки IV — все пациенты видели стимульные наборы в одинаковой последовательности.
Статистический анализ данных. Статистический анализ данных проводили с помощью языка статистического программирования и среды R (ver.3.6.1) в IDE RStudio (ver.1.2.1335). Распределение непрерывных и дискретных количественных переменных в выборке представлены как среднее арифметическое и стандартное отклонение (M ± CО) для нормально распределенных случайных величин, медиана и квартили (Me [Q1; Q3]) для величин, распределение которых отличается от нормального. Категориальные показатели представлены как абсолютное число и процентное соотношение (n (%)). Соответствие выборки нормальному распределению определяли с помощью теста Шапиро-Уилка. Тестирование статистических гипотез о различии в распределении количественных переменных в независимых выборках проводили с помощью метода Манна- Уитни. Для зависимых выборок использовали критерий Уилкоксона для парных сравнений. Выбор методов статистического анализа был определен целями работы, включающими оценку изменений параметров зрительной памяти при переходе от одной временной точки к другой. Наличие или отсутствие конкретных изменений от точки к точке позволяло регистрировать закономерности в динамике процесса. Различие в распределениях категориальных переменных тестировали с помощью точного критерия Фишера. Нулевую гипотезу в статистических тестах отклоняли на уровне значимости p < 0.05.
РЕЗУЛЬТАТЫ ИССЛЕДОВАНИЯ
Однородная выборка из 28 пациентов с МХСО, прилежащими к ГП, образовала две группы, различающиеся по стороне расположения опухоли. 15 пациентов составили группу ЛРО, 13 – группу ПРО. Эти две группы были сопоставимы по демографическим, клиническим и морфометрическим (объем опухоли, ее расположение относительно ГП) характеристикам. Не было различий между группами и по параметрам лучевого воздействия. В среднем для выборки дозовая нагрузка на нормальные ткани (15 см3) составила 47.1 Гр (35.2–56.7 Гр). Дозовые нагрузки на 10, 30 и 50% объема ипсилатерального ГП составили соответственно 40.0 (11.0-53.8 Гр), 29.3 (9.2-44.3 Гр) и 20.1 Гр (4.5-35.8 Гр). Распределение индивидуальных значений дозовой нагрузки на ГП представлено на рис. 2.
Рис. 2. Значения лучевой нагрузки на прилежащий к опухоли (ипсилатеральный) гиппокамп (ГП) (черные кружки) и на ГП противоположного полушария (контрлатеральный) (белые кружки), представленные для его объемов в 10, 30 и 50% в группе из 28 пациентов с менингиомами хиазмально-селлярной области (МХСО).
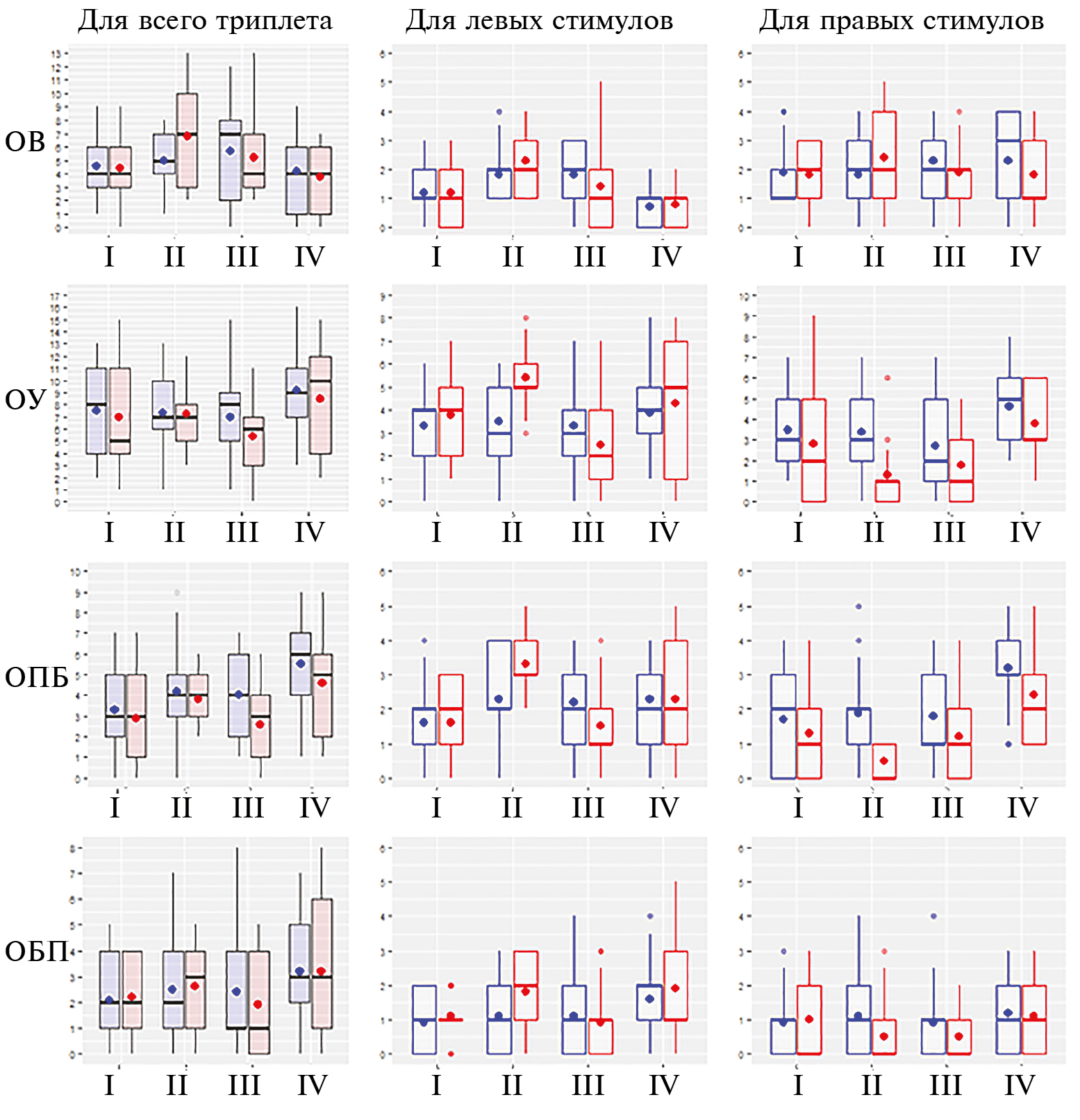
Динамика основных показателей в методике АВП представлена на рис. 3.
Рис. 3. Динамика основных показателей в Методике АВП (Айтрекинг–Внимание–Память).
По данным рис. 3 в I точке группы не различались между собой ни по каким параметрам теста. Не отличались их данные и от нормативного диапазона. В точке II у группы ЛРО значимые изменения не регистрировались ни по одному параметру методики, а в группе пациентов ПРО увеличилось число неназванных стимулов (ОВ) с 4.3 ошибок в среднем по группе в точке I до 6.8 ошибок в среднем по группе в точке II (р = 0.04). В точке III в группе ЛРО значимые изменения по отношению к точкам I и II по-прежнему отсутствовали. В группе ПРО значимые изменения были зарегистрированы для ошибок У, в которых похожий стимул опознавался как ранее виденный (ошибки типа “похожий/был”). В точке IV регистрировалось значимое увеличение всех ошибок У. Их общее число в группе ЛРО возросло от 7.0 в точке III до 9.2 в точке IV (р = 0.01). В группе ПРО для этих же точек изменение составило от 5.4 до 8.6 (р = 0.009). Ошибки У “похожий/был” в группе ЛРО в среднем по группе составили 5.5 (отличие от точки III р = 0.002, от точки I р = 0.01). Эти же ошибки в группе ПРО составили 4.6 (отличие от точки III р = 0.006, от точки I р = 0.008).
Особое значение при характеристике когнитивных изменений в результате унилатеральных воздействий на мозг приобретает анализ пространственного распределения внимания, как правило, акцентированно страдающего в контралатеральном поле зрения. Триплеты методики АВП в условиях кратковременной экспозиции позволяли регистрировать эти эффекты. На рис. 3, помимо проанализированных выше суммарных данных для всего триплета, представлены результаты В и У отдельно, левых и правых стимулов в каждом триплете.
Ошибки воспроизведения в группе пациентов ПРО (облучение правого ГП) достигли максимума в точке II (2.3 – в левом поле; 2.4 – в правом поле). Только в этой точке у пациентов ПРО ошибки в методике АВП превышают значения в остальных точках наблюдения. Точки I, III и IV по данному параметру между собой статистически значимо не различаются (р > 0.05). Другая тенденция наблюдалась в группе пациентов ЛРО (облучение левого ГП): максимальное число ошибок ОВ регистрируется в точке III (2.3) и точке IV (2.3), причем только в контралатеральном очагу — правом поле зрения.
Ошибки узнавания стимулов в точке I не различались между группами, не имели различий в полях зрения, все находились в нормативном диапазоне. В точке II ошибки У стимулов в группе ЛРО количественно не изменяются, а в группе ПРО — в разных полях зрения претерпевают динамику в противоположных направлениях: в левом поле зрения резко нарастают (р = 0.01), а в правом поле зрения — наоборот, их становится меньше (р = 0.01). С переходом к точке III различие между группами постепенно нивелируется за счет динамики противоположного направления по полям зрения у пациентов ПРО. В точке IV ошибки У нарастают параллельно в обеих группах в двух полях зрения, и межгрупповые различия пропадают.
Среди ошибок У наиболее часто регистрировались ошибки, возникающие при предъявлении похожего изображения, когда похожий стимул оценивался как ранее виденный (ошибки “похожий/был”). По числу этих ошибок в точке I не регистрировалось различий ни между группами, ни в распределении ошибок по полям зрения. В точке II у больных ПРО нарастает число ошибок “похожий/был” в левом поле зрения (от 1.62 в среднем по группе в точке I до 3.31 в точке II; р = 0.003). И у них же уменьшается число ошибок “похожий/был” в правом поле зрения (от 1.31 до 0.46; р = 0.05) так, что отличие левого поля от правого поля у пациентов ПРО становится в точке II значимым с р = 0.001. В этом же интервале (от точки I к точке II) у пациентов ЛРО значимого изменения в числе ошибок “похожий/был” не происходит ни в левом, ни в правом полях зрения. В точке IV ошибки “похожий/был” резко нарастают у больных ЛРО в правом поле зрения до значения 3.15 в среднем по группе. Такое число ошибок в этом поле теперь отличается от практически не изменявшихся показателей здесь у этих больных в точке I (1.7, р = 0.012), в точке II (1.9, р = 0.04), в точке III (1.8, р = 0.003). Рост числа ошибок в правом поле зрения у больных ЛРО в точке IV приводит к тому, что у этих больных впервые появляются различия между полями (р = 0.04). Напротив, у больных ПРО в точках III и IV различий между полями уже нет. По левому полю зрения никаких значимых изменений у больных ЛРО не регистрируется ни в одной из точек.
Еще одним часто возникающим типом ошибок У являлись ошибки во время предъявления идентичного изображения, когда вместо ответа “был” пациент ошибочно относил рисунок к похожему (ошибки “был/похожий”). Точка I, так же, как и для предыдущего типа ошибок, характеризуется отсутствием различий между группами по этому типу ошибок и отсутствием различий в полях зрения. В точке II для группы ПРО регистрируется рост числа ошибок в левом поле зрения (от 1.1 до 1.9, р = 0.03). Различия между полями в этой группе в точке II р = 0.01. В то же время в группе ЛРО значимых изменений в ошибках “был/похожий” не происходит и никаких различий между полями не появляется. Соответственно, число ошибок в левом поле зрения у больных ПРО начинает преобладать над соответствующим показателем у ЛРО (р = 0.01), а число ошибок в правом поле зрения, наоборот, преобладает у больных ЛРО (р = 0.05). У пациентов ЛРО статистически значимых изменений от точки к точке по этому типу ошибок не происходит.
ОБСУЖДЕНИЕ РЕЗУЛЬТАТОВ
Важным отправным пунктом в анализе полученных данных является отсутствие различий между группами по результатам выполнения когнитивных тестов в точке I. Такие различия возникают только в точке II. Последующая диссоциация когнитивных изменений у пациентов ЛРО и ПРО с большой долей вероятности может рассматриваться в контексте межполушарной специфики в опосредовании когнитивных процессов. Дополнительным аргументом при этом являются факты нарастания ошибок в контралатеральном очагу поле зрения. При запоминании одних и тех же триплетов у пациентов ЛРО наблюдается нарастание ошибок по отношению к правым стимулам, а у пациентов ПРО — нарастание ошибок преимущественно к левым изображениям. Дефицитарность когнитивной обработки информации в контралатеральном пораженному полушарию пространстве в условиях конкуренции симметричных стимулов неоднократно описывалась в литературе [33–36]. Диссоциация в нарастании ошибок в контралатеральной части триплетов (левой — при правополушарном облучении и правой — при левополушарном) является дополнительным аргументом подтверждения связи этих изменений с ЛТ.
Известно, что ионизирующее излучение оказывает подавляющее действие на нейрогенез. Исследования на животных показали, что при облучении мозга молодых крыс объем ГП уменьшается [37, 38]. Лучевое воздействие изменяет межклеточную микросреду, необходимую для производства новых нейронов, регистрируется потеря пролиферирующих стволовых клеток и нервных клеток-предшественников [39–42]. В поведении животных при этом наблюдается снижение эффективности разделения паттернов в приобретаемых навыках и процессах дифференциации контекстов [8, 43–49].
К сожалению, при лечении ряда онкологических заболеваний у людей ГП вынужденно попадает в зону облучения. Средняя доза облучения для отдельного ГП достоверно коррелирует с потерей его объема [50]. Исследование поведенческих последствий лучевого воздействия на ГП у таких пациентов представляет важную информацию для понимания роли нейрогенеза в когнитивном функционировании. В обзорных работах анализируются отдаленные когнитивные нарушения после ЛТ онкологических заболеваний. На первый план в картине поведенческих нарушений выступают дефекты памяти, нарушения ориентации в пространстве, эмоциональные изменения, склонность к депрессии. При этом когнитивные изменения в большей степени зависят от состояния дорсальной части ГП, а эмоциональные — более тесно связаны с путями, проходящими в вентральной его части. Доза радиации, приходящаяся на медиальную височную долю и ГП, прямо пропорциональна степени последующей когнитивной дисфункции [51–53]. Исследование на большой выборке пациентов продемонстрировало, что снижение показателей в тестах на вербальную память и словесные ассоциации в интервале 0.5–6.5 лет после ЛТ отчетливо зависело от дозы, приходившейся на левый ГП, но не обнаруживало зависимости от дозы, приходившейся на правый ГП и весь ГП в целом. Однако в данном исследовании не указаны параметры когнитивных функций пациентов перед началом лечения, что ограничивает выводы исследования [54]. Участники другой работы [55] выполняли вербальный тест Хопкинса и проходили исследование до начала лечения и через 6 мес. после его окончания. Соотношения объема облучения и дозы были рассчитаны отдельно для правого и левого ГП и для двух ГП вместе как составной структуры. Были выявлены зависимости снижения результатов теста не только от дозы облучения, но и от исходных показателей памяти, а также — от возраста пациентов. При этом левый ГП более чувствительно реагировал на повышение лучевой нагрузки, особенно в отношении ухудшения отсроченного воспроизведения.
Уязвимость выводов большинства работ, исследующих отсроченные эффекты подавления нейрогенеза в ГП при ЛТ, связана с трудностью учета последствий для когнитивных функций первичного (являющегося целью воздействия) внутримозгового опухолевого процесса, повреждающего разные участки мозга. Однако этот фактор удалось нивелировать в нашем исследовании, где внемозговые, медленно растущие опухоли, находясь в непосредственной близости к ГП, не инфильтрировали структуры мозга, в том числе ГП. Однако в ходе лечения ГП на стороне опухоли вынужденно получал лучевую нагрузку, сопоставимую с дозой в опухоли. Нарастание “гиппокампальных” ошибок происходило по-разному, в зависимости от латерализации воздействия. При правостороннем облучении максимальные нарушения регистрировались в точке II. Наблюдалось выраженное нарастание и ошибок В, и ошибок У стимулов, причем ошибки У наросли только для левой части триплета. При левостороннем облучении в точке II никаких значимых изменений в результатах теста не отмечалось. У этих больных ухудшения памяти стали регистрироваться только в последующих точках: в точке III для правых стимулов триплета ухудшились показатели СВ, в точке IV для правых стимулов ухудшилось У.
Латеральные различия в структурно-функциональных особенностях левого и правого ГП и в нейрогенезе ГП отмечаются в разных работах. Изучение нейросетей покоя выявило в их составе парные зоны областей ГП, причем была обнаружена асимметрия взаимодействия этих структур с информационными потоками других отделов мозга: правый ГП получает полимодальную сенсорную информацию от обоих полушарий мозга, тогда как левая парагиппокампальная область демонстрирует только ипсилатеральные связи [56]. Информационные преобразования в правом полушарии осуществляются в аспекте ответа на вопрос “Насколько это полезно и интересно лично для меня?”, при этом в глобальном обзоре учитывается вся информация, с которой так или иначе имеет дело субъект. Преобразование информации в левом полушарии проходит через языковой фильтр и социальную маркировку, соответственно, в обработку поступает преимущественно вербализуемая часть информации [57, 58]. Запись фМРТ во время тестовых заданий, аналогичных нашему, показала, что вербальные стимулы приводят к активизации левой области ГП, когда же в качестве стимулов используются картинки с изображениями предметов, активация ГП регистрируется и слева, и справа [25].
Работы на основе высокоточной морфометрии ГП подтверждают эти когнитивные диссоциации. Производительность вербальной памяти оказалась связанной с объемом левого ГП, тогда как пространственная память — с объемом правого [59]. У лицензированных лондонских таксистов, постоянно решающих задачи пространственной навигации и детальных картографических представлений, был выявлен больший объем серого вещества правого заднего ГП [60, 61]. Степень зависимости от Интернет-игр у компьютерных игроманов положительно коррелировала с объемом серого вещества в правом ГП [62]. ГП включен в сетевую организацию своего полушария. Его функционирование является логическим продолжением функциональной специализации полушария. Левый ГП встраивает свои оценки в систему вербальных конструктов левого полушария. Правый ГП — в систему пространственных ориентиров и их субъективной важности.
Структурные повреждения левого ГП опосредуют поведенческие проявления более однозначно. Лазерная резекция части ГП у больных с эпилепсией приводила к формированию дефицитов в полях зрения, при этом структурное повреждение левого ГП сопровождалось более частыми и отчетливыми симптомами, чем резекция правого ГП [63]. У пациентов с височной эпилепсией размер ГП всегда уменьшался на стороне поражения, но выраженность дефектов памяти коррелировала с объемом левого ГП и не коррелировала с объемом правого [64]. При облучении левого ГП регистрировалось дозозависимое ухудшение отсроченного вербального воспроизведения, тогда как правый ГП не демонстрировал прямых корреляций когнитивных тестов с дозой облучения [54, 55]. Особенности паттерна ЭЭГ при разной латерализации компрессионных воздействий на ГП свидетельствовали о преобладании ирритативно-эпилептиформных знаков в левом полушарии [65]. Разная степень опосредованности когнитивных процессов клеточной и нейрогуморальной составляющими работы мозга [66] в сочетании с перечисленными фактами может служить одной из гипотез, объясняющих несимметричную динамику мнестических процессов при унилатеральных лучевых воздействиях на ГП.
ЗАКЛЮЧЕНИЕ
При исследовании однородной выборки из 28 пациентов с МХСО, прилежащими к ГП, были образованы две группы, сопоставимые по демографическим, клиническим и морфометрическим (объем опухоли, ее расположение относительно ГП, параметры лучевого воздействия) характеристикам, но различающиеся стороной расположения. С целью остановки роста опухоли больные проходили ЛТ, при которой ГП на стороне патологического процесса вынужденно получал дозу облучения, сопоставимую с дозой в опухоли. В лонгитюдинальном наблюдении пациенты выполняли оригинальную методику, в которой, из-за конкуренции в распределении внимания в условиях минимальной экспозиции, запоминание латеральных стимулов более выражено нарушалось в контралатеральном патологическому очагу поле зрения. Состояние памяти в группе ПРО ухудшалось сразу после курса ЛТ, но по ряду параметров возвращалось к исходному уровню через год после лечения. Память в группе с ЛРО снижалась лишь через полгода после лечения, но продолжала ухудшаться в дальнейшем. Анализируемая в статье межполушарная диссоциация когнитивных изменений демонстрирует более выраженные и долговременные последствия ионизирующего излучения на гиппокампальную область левого полушария.
Финансирование работы. Исследование поддержано РНФ (грант № 23-15-00018) “Спонтанная активность мозга при механическом и терапевтическом радиационном воздействии на гиппокамп”.
Соблюдение этических стандартов. Все исследования проводились в соответствии с принципами биомедицинской этики, изложенными в Хельсинкской декларации 1964 г. и последующих поправках к ней. Они также были одобрены локальным биоэтическим комитетом Национального медицинского исследовательского центра нейрохирургии им. акад. Н.Н. Бурденко Минздрава России (Москва), протокол № 05 от 2017 г.
Информированное согласие. Каждый участник исследования дал добровольное письменное информированное согласие после получения разъяснений о потенциальных рисках и преимуществах, а также о характере предстоящего исследования.
Конфликт интересов. Авторы данной работы заявляют, что у них нет конфликта интересов.
Об авторах
О. А. Кроткова
ФГАУ “Национальный медицинский исследовательский центр нейрохирургии имени академика Н.Н. Бурденко” Минздрава России
Автор, ответственный за переписку.
Email: OKrotkova@nsi.ru
Россия, Москва
Г. В. Данилов
ФГАУ “Национальный медицинский исследовательский центр нейрохирургии имени академика Н.Н. Бурденко” Минздрава России
Email: OKrotkova@nsi.ru
Россия, Москва
М. В. Галкин
ФГАУ “Национальный медицинский исследовательский центр нейрохирургии имени академика Н.Н. Бурденко” Минздрава России
Email: OKrotkova@nsi.ru
Россия, Москва
А. Ю. Кулёва
ФГБУН Институт высшей нервной деятельности и нейрофизиологии РАН
Email: OKrotkova@nsi.ru
Россия, Москва
М. Ю. Каверина
ФГАУ “Национальный медицинский исследовательский центр нейрохирургии имени академика Н.Н. Бурденко” Минздрава России
Email: OKrotkova@nsi.ru
Россия, Москва
Е. В. Ениколопова
Московский государственный университет имени М.В. Ломоносова
Email: OKrotkova@nsi.ru
Россия, Москва
Ю. В. Струнина
ФГАУ “Национальный медицинский исследовательский центр нейрохирургии имени академика Н.Н. Бурденко” Минздрава России
Email: OKrotkova@nsi.ru
Россия, Москва
Г. Н. Ениколопов
Университет Стони-Брук
Email: OKrotkova@nsi.ru
США, Нью-Йорк
Список литературы
- Penfield W. Memory Deficit Produced by Bilateral Lesions in the Hippocampal Zone // Arch. Neurol. Psychiatry. 1958. V. 79. № 5. P. 475.
- Gol A., Faibish G.M. Effects of Human Hippocampal Ablation // J. Neurosurg. 1967. V. 26. № 4. P. 390312.
- Damasio A.R., Eslinger P.J., Damasio H. et al. Multimodal Amnesic Syndrome Following Bilateral Temporal and Basal Forebrain Damage // Arch. Neurol. 1985. V. 42. № 3. P. 252.
- Московичюте Л.И. О функциональной роли левого и правого гиппокампа в мнестических процессах / Нейропсихология сегодня // Под ред. Хомской Е.Д. М.: МГУ, 1995. С. 49.
- Буклина С.Б. Нарушения высших психических функций при поражении глубинных и стволовых структур мозга. М.: МЕДпресс-информ, 2016. 312 с.
- Scoville W.B., Milner B. Loss of recent memory after bilateral hippocampal lesions // J. Neurol. Neurosurg. Psychiatry. 1957. V. 20. № 1. P. 11.
- Zhao C., Deng W., Gage F.H. Mechanisms and Functional Implications of Adult Neurogenesis // Cell. 2008. V. 132. № 4. P. 645.
- Danielson N.B., Kaifosh P., Zaremba J.D. et al. Distinct Contribution of Adult-Born Hippocampal Granule Cells to Context Encoding // Neuron. 2016. V. 90. № 1. P. 101.
- Boldrini M., Fulmore C.A., Tartt A.N. et al. Human Hippocampal Neurogenesis Persists throughout Aging // Cell Stem Cell. 2018. V. 22. № 4. P. 589.
- Kempermann G., Gage F.H., Aigner L. et al. Human Adult Neurogenesis: Evidence and Remaining Questions // Cell Stem Cell. 2018. V. 23. № 1. P. 25.
- Xu L., Guo Y., Wang G. et al. Inhibition of Adult Hippocampal Neurogenesis Plays a Role in Sevoflurane-Induced Cognitive Impairment in Aged Mice Through Brain-Derived Neurotrophic Factor/Tyrosine Receptor Kinase B and Neurotrophin-3/Tropomyosin Receptor Kinase C Pathways // Front. Aging Neurosci. 2022. V. 14. P. 782932.
- Toda T., Parylak S.L., Linker S.B., Gage F.H. The role of adult hippocampal neurogenesis in brain health and disease // Mol. Psychiatry. 2019. V. 24. № 1. P. 67.
- Moreno-Jiménez E.P., Flor-García M., Terreros-Roncal J. et al. Adult hippocampal neurogenesis is abundant in neurologically healthy subjects and drops sharply in patients with Alzheimer’s disease // Nat. Med. 2019. V. 25. № 4. P. 554.
- Tobin M.K., Musaraca K., Disouky A. et al. Human Hippocampal Neurogenesis Persists in Aged Adults and Alzheimer’s Disease Patients // Cell Stem Cell. 2019. V. 24. № 6. P. 974.
- Kamil R.J., Jacob A., Ratnanather J.T. et al. Vestibular Function and Hippocampal Volume in the Baltimore Longitudinal Study of Aging (BLSA) // Otol. Neurotol. 2018. V. 39. № 6. P. 765.
- Виноградова О.С. Гиппокамп и память. М.: Наука, 1975. 333 с.
- Maurer A.P., Nadel L. The Continuity of Context: A Role for the Hippocampus // Trends Cogn. Sci. 2021. V. 25. № 3. P. 187.
- Yassa M.A., Lacy J.W., Stark S.M. et al. Pattern separation deficits associated with increased hippocampal CA3 and dentate gyrus activity in nondemented older adults // Hippocampus. 2011. V. 21. № 9. P. 968.
- Tolentino J.C., Pirogovsky E., Luu T. et al. The effect of interference on temporal order memory for random and fixed sequences in nondemented older adults // Learn. Mem. 2012. V. 19. № 6. P. 251.
- Yassa M.A., Stark C.E.L. Pattern separation in the hippocampus // Trends Neurosci. 2011. V. 34. № 10. P. 515.
- Stark S.M., Kirwan C.B., Stark C.E.L. Mnemonic Similarity Task: A Tool for Assessing Hippocampal Integrity // Trends Cogn. Sci. 2019. V. 23. № 11. P. 938.
- Creer D.J., Romberg C., Saksida L.M. et al. Running enhances spatial pattern separation in mice // Proc. Natl. Acad. Sci. U.S.A. 2010. V. 107. № 5. P. 2367.
- Rolls E.T. The mechanisms for pattern completion and pattern separation in the hippocampus // Front. Syst. Neurosci. 2013. V. 7. P. 74.
- Zeidman P. Maguire EA. Anterior hippocampus: The anatomy of perception, imagination and episodic memory // Nat. Rev. Neurosci. 2016. V. 17. № 3. P. 173.
- Stark C.E.L., Squire L.R. Functional Magnetic Resonance Imaging (fMRI) Activity in the Hippocampal Region during Recognition Memory // J. Neurosci. 2000. V. 20. № 20. P. 7776.
- Bakker A., Kirwan C.B., Miller M., Stark C.E.L. Pattern separation in the human hippocampal CA3 and dentate gyrus // Science. 2008. V. 319. № 5870. P. 1640.
- Stark S.M., Yassa M.A., Lacy J.W., Stark C.E.L. A task to assess behavioral pattern separation (BPS) in humans: Data from healthy aging and mild cognitive impairment // Neuropsychologia. 2013. V. 51. № 12. P. 2442.
- Leal S.L., Yassa M.A. Integrating new findings and examining clinical applications of pattern separation // Nat. Neurosci. 2018. V. 21. № 2. P. 163.
- Fountain D.M., Soon W.C., Matys T. et al. Volumetric growth rates of meningioma and its correlation with histological diagnosis and clinical outcome: a systematic review // Acta Neurochir. 2017. V. 159. № 3. P. 435.
- Alekseeva A., Enikolopova E., Krotkova O. et al. Dynamics of Cognitive Functions in Patients With Parasellar Meningiomas Undergoing Radiotherapy / The Fifth International Luria Memorial Congress «Lurian Approach in International Psychological Science», Ekaterinburg, Russia, 13–16 October, 2017. Dubai: Knowledge E, KnE Life Sciences, 2018. P. 42. https://doi.org/10.18502/kls.v4i8.3261
- Rogers L., Barani I., Chamberlain M. et al. Meningiomas: knowledge base, treatment outcomes, and uncertainties. A RANO review // J. Neurosurg. 2015. V. 122. № 1. P. 4.
- Chera B.S., Amdur R.J., Patel P., Mendenhall W.M. A Radiation Oncologist’s Guide to Contouring the Hippocampus // Am. J. Clin. Oncol. 2009. V. 32. № 1. P. 20.
- Kinsbourne M. Eye and Head Turning Indicates Cerebral Lateralization // Science. 1972. V. 176. № 4034. P. 539.
- Kimura D. From ear to brain // Brain Cogn. 2011. V. 76. № 2. P. 214.
- de Schotten M.T., Dell’Acqua F., Forkel S.J. et al. A lateralized brain network for visuospatial attention // Nat. Neurosci. 2011. V. 14. № 10. P. 1245.
- Кроткова О.А., Каверина М.Ю., Данилов Г.В. Движения глаз и межполушарное взаимодействие при распределении внимания в пространстве // Физиология человека. 2018. Т. 44. № 2. С. 66.
- Fukuda A., Fukuda H., Swanpalmer J. et al. Age-dependent sensitivity of the developing brain to irradiation is correlated with the number and vulnerability of progenitor cells // J. Neurochem. 2005. V. 92. № 3. P. 569.
- Hellström N.A.K., Björk‐Eriksson T., Blomgren K., Kuhn H.G. Differential Recovery of Neural Stem Cells in the Subventricular Zone and Dentate Gyrus After Ionizing Radiation // Stem Cells. 2009. V. 27. № 3. P. 634.
- Monje M. Cranial radiation therapy and damage to hippocampal neurogenesis // Dev. Disabil. Res. Rev. 2008. V. 14. № 3. P. 238.
- Olsson E., Eckerström C., Berg G. et al. Hippocampal volumes in patients exposed to low-dose radiation to the basal brain. A case–control study in long-term survivors from cancer in the head and neck region // Radiat. Oncol. 2012. V. 7. P. 202.
- Monje M., Thomason M.E., Rigolo L. et al. Functional and structural differences in the hippocampus associated with memory deficits in adult survivors of acute lymphoblastic leukemia // Pediatr. Blood Cancer. 2013. V. 60. № 2. P. 293.
- Mineyeva O.A., Bezriadnov D.V., Kedrov A.V. et al. Radiation Induces Distinct Changes in Defined Subpopulations of Neural Stem and Progenitor Cells in the Adult Hippocampus // Front. Neurosci. 2019. V. 12. P. 1013.
- Burghardt N.S., Park E.H., Hen R., Fenton A.A. Adult-born hippocampal neurons promote cognitive flexibility in mice // Hippocampus. 2012. V. 22. № 9. P. 1795.
- Clelland C.D., Choi M., Romberg C. et al. A Functional Role for Adult Hippocampal Neurogenesis in Spatial Pattern Separation // Science. 2009. V. 325. № 5937. P. 210.
- Leal S.L., Yassa M.A. Neurocognitive Aging and the Hippocampus across Species // Trends Neurosci. 2015. V. 38. № 12. P. 800.
- McAvoy K.M., Scobie K.N., Berger S. et al. Modulating Neuronal Competition Dynamics in the Dentate Gyrus to Rejuvenate Aging Memory Circuits // Neuron. 2016. V. 91. № 6. P. 1356.
- Niibori Y., Yu T.-S., Epp J.R. et al. Suppression of adult neurogenesis impairs population coding of similar contexts in hippocampal CA3 region // Nat. Commun. 2012. V. 3. P. 1253.
- Sahay A., Scobie K.N., Hill A.S. et al. Increasing adult hippocampal neurogenesis is sufficient to improve pattern separation // Nature. 2011. V. 472. № 7344. P. 466.
- Tronel S., Belnoue L., Grosjean N. et al. Adult-born neurons are necessary for extended contextual discrimination // Hippocampus. 2012. V. 22. № 2. P. 292.
- Seibert T.M., Karunamuni R., Bartsch H. et al. Radiation Dose–Dependent Hippocampal Atrophy Detected With Longitudinal Volumetric Magnetic Resonance Imaging // Int. J. Radiat. Oncol. Biol. Phys. 2017. V. 97. № 2. P. 263.
- Gondi V., Tomé W.A., Mehta M.P. Why avoid the hippocampus? A comprehensive review // Radiother. Oncol. 2010. V. 97. № 3. P. 370.
- Pereira Dias G., Hollywood R., Bevilaqua M.C. et al. Consequences of cancer treatments on adult hippocampal neurogenesis: implications for cognitive function and depressive symptoms // Neuro Oncol. 2014. V. 16. № 4. P. 476.
- Suh J.H. Hippocampal-Avoidance Whole-Brain Radiation Therapy: A New Standard for Patients With Brain Metastases? // J. Clin. Oncol. 2014. V. 32. № 34. P. 3789.
- Haldbo-Classen L., Amidi A., Lukacova S. et al. Cognitive impairment following radiation to hippocampus and other brain structures in adults with primary brain tumours // Radiother. Oncol. 2020. V. 148. P. 1.
- Ma T.M., Grimm J., McIntyre R. et al. A prospective evaluation of hippocampal radiation dose volume effects and memory deficits following cranial irradiation // Radiother. Oncol. 2017. V. 125. № 2. P. 234.
- Velichkovsky B.M., Krotkova O.A., Kotov A.A. et al. Consciousness in a multilevel architecture: Evidence from the right side of the brain // Conscious. Cogn. 2018. V. 64. P. 227.
- Кроткова О.А., Величковский Б.М. Межполушарные различия мышления при поражениях высших гностических отделов мозга / Компьютеры, мозг, познание. Успехи когнитивных наук // Под ред. Величковского Б.М., Соловьева В.Д. М.: Наука, 2008. С. 107.
- Velichkovsky B.M., Krotkova O.A., Sharaev M.G., Ushakov V.L. In search of the “I”: Neuropsychology of lateralized thinking meets Dynamic Causal Modeling // Psychology in Russia: State of the Art. 2017. V. 10. № 3. P. 7.
- Ezzati A., Katz M.J., Zammit A.R. et al. Differential association of left and right hippocampal volumes with verbal episodic and spatial memory in older adults // Neuropsychologia. 2016. V. 93. Pt. B. P. 380.
- Maguire E.A., Gadian D.G., Johnsrude I.S. et al. Navigation-related structural change in the hippocampi of taxi drivers // Proc. Natl. Acad. Sci. U.S.A. 2000. V. 97. № 8. P. 4398.
- Brunec I.K., Robin J., Patai E.Z. et al. Cognitive mapping style relates to posterior–anterior hippocampal volume ratio // Hippocampus. 2019. V. 29. № 8. P. 748.
- Yoon E.J., Choi J.-S., Kim H. et al. Altered hippocampal volume and functional connectivity in males with Internet gaming disorder comparing to those with alcohol use disorder // Sci. Rep. 2017. V. 7. № 1. P. 5744.
- Donos C., Rollo P., Tombridge K. et al. Visual field deficits following laser ablation of the hippocampus // Neurology. 2020. V. 94. № 12. P. 1303.
- Reyes A., Holden H.M., Chang Y.-H.A. et al. Impaired spatial pattern separation performance in temporal lobe epilepsy is associated with visuospatial memory deficits and hippocampal volume loss // Neuropsychologia. 2018. V. 111. P. 209.
- Болдырева Г.Н., Кулева А.Ю., Шарова Е.В. и др. Поиск функциональных маркеров включения гиппокампа в патологический процесс // Физиология человека. 2023. Т. 49. № 2. С. 5.
- Кроткова О.А. Психофизическая проблема и асимметрия полушарий мозга // Вест. Моск. ун-та. Сер. 14. Психология. 2014. № 3. С. 47.
Дополнительные файлы











