Специфические изменения сократительных функций и архитектуры скелетной мышцы у человека в ответ на использование двух протоколов немодулированной нервно-мышечной электростимуляции
- Авторы: Коряк Ю.А.1
-
Учреждения:
- ФГБУН ГНЦ РФ – Институт медико-биологических проблем РАН
- Выпуск: Том 50, № 1 (2024)
- Страницы: 45-63
- Раздел: Статьи
- URL: https://ogarev-online.ru/0131-1646/article/view/256059
- DOI: https://doi.org/10.31857/S0131164624010045
- ID: 256059
Цитировать
Полный текст
Аннотация
Целью данной работы было определить влияние немодулированной относительно низкочастотной поверхностной нервно-мышечной электростимуляции (ЭСТ) длительностью 30 и 60 мин/день на протяжении 7 нед. на сократительные функции мышц. Во многих исследованиях изучали влияние интенсивности ЭСТ-тренировки на показатель максимальной произвольной изометрической силы (МПС) мышц. Однако ни в одном из исследований не изучалось влияние длительности ЭСТ-тренировки в неделю и в один день на изменение функций мышц. В настоящем исследовании приняли участие 10 здоровых мужчин-добровольцев (23.2 ± 3.2 года), которые случайным образом были распределены в две группы. Первая группа испытуемых применяла ЭСТ-тренировку 5 раз в неделю на протяжении 30 мин, а вторая группа — 5 раз в неделю, но на протяжении 60 мин. Влияние ЭСТ-тренировки оценивали по изменению МПС и скоростно-силовых свойств мышц-разгибателей стопы, регистрируемых до “электрической” тренировки, а затем в начале каждой недели 7-недельного тренировочного периода для всех испытуемых. Сократительные свойства регистрировали с использованием изокинетического динамометра Biodex. После 7-недельного тренировочного периода показатели МПС и максимальной произвольной “взрывной” силы значительно отличались между группами. Основываясь на параметрах ЭСТ и здоровых испытуемых, участвующих в данном исследовании, “электрическая” тренировка 5 раз в неделю и в течение 30 мин на протяжении 7 нед. вызвала увеличение силы мышц-разгибателей стопы и градиента максимальной произвольной “взрывной” силы.
Полный текст
Известно, что скелетные мышцы относительно быстро адаптируются к условиям существования и особенно это проявляется в условиях реальной или моделируемой невесомости и главным фактором, ответственным за изменение ряда физиологических функций, является устранение проприоцептивной информации от мышц и сухожилий в ответ на отсутствие нагрузки [1, 2]. Поэтому, чтобы устранить дефицит нагрузок и увеличить афферентную “посылку” от “рабочих” мышц, используют различные средства, например, от искусственно создаваемой опоры для стоп [3, 4] до комплекса физических упражнений [5]. Однако ни одно из этих средств полностью не предотвращает не только мышечных нарушений [6-9], но даже нарушения метаболизма кальция и минеральных веществ [10–12]. В связи с этим И.Б. Козловской было высказано предположение, что низкочастотная электростимуляция (ЭСТ) мышц может быть средством, с одной стороны, которое устранит дефицит нагрузок, а с другой стороны, активирует деятельность волокон тонического типа, исключение которых из мышечной деятельности в условиях микрогравитации неизбежно способствует развитию атонии и снижению силы мышц [2]. Мы утверждаем, что немодулированная относительно низкочастотная ЭСТ с субмаксимальной силой тока, коротким по длительности импульсом и рабочим циклом импульсов, а также учитывая толщину кожно-жировой складки, расположенной между кожей и сарколеммой, ограничивает диффузию тока в мышцу [13–16] и, таким образом, не активирует мышечные волокна, расположенные в глубоких слоях мышцы. Следовательно, для возбуждения мышцы необходим ток более высокой интенсивности, но учитывая, что окончания многих болевых нервных волокон расположены над жировой клетчаткой, то это приводит к увеличению интенсивности тока на поверхность кожи, что создает дискомфорт испытуемому [15, 17] и представляет собой ограничение к эффективности применения ЭСТ.
ЭСТ является физиологическим методом тренировки скелетных мышц не только клинически здорового человека [18], но и применяется как дополнительное средство в тренировочном процессе высококвалифицированных спортсменов [19]. Более того ЭСТ также представляет собой важное терапевтическое средство, используемое в целях уменьшения болевых ощущений, атрофии и увеличения мышечной силы и размера [20–23], для повышения мышечной активности [24] и поддержания сократительной активности в парализованных или обездвиженных мышцах [25] и уменьшения спастичности [26, 27]. Прирост мышечной силы напрямую связан степенью напряжения мышцы, вызванного ЭСТ. Таким образом, чтобы вызвать высокий уровень напряжения мышцы и, следовательно, создания большой силы сокращения мышцы, ток при ЭСТ должен быть как можно выше [28]. По мере увеличения силы тока и длительности импульса при ЭСТ сила мышцы увеличивается [29, 30], поскольку активируется большее количество двигательных единиц [31].
Несмотря на перспективность применения поверхностной ЭСТ в качестве одного из физиологических методов повышения нервно-мышечной пластичности и улучшения двигательных функций [30, 32, 33], проблема влияния длительности одной “электрической” тренировки в день на функции мышц не исследовалась. Протокол “электрических” тренировок должен включать длительность ЭСТ и продолжительность отдыха, общее количество тренировок, число и частоту повторений. Многие выполненные исследования не в состоянии сообщить о достаточном количестве подробной информации относительно не только режимов стимула, но также и протоколов тренировок. Другие исследования используют значительное разнообразие интенсивности, продолжительности сокращения и периодов отдыха, число повторений и тренировок (в пределах от 10–40 тренировок; ежедневно или 2–3 раза в неделю). Это разнообразие добавляет трудности к анализу эффективности “электрической” тренировки, чтобы усилить функции мышц.
В нескольких исследованиях сообщалось использование ЭСТ-процедур разной продолжительности и интенсивности стимулирующего сигнала. Так, использование 3-х ЭСТ-тренировок в неделю на протяжении 5 нед. с интенсивностью более 60% от МПС привело к увеличению силы мышц бедра на 14% [29]. Повышение интенсивности ЭСТ-тренировок до 90% от МПС способствовало увеличению силы сокращения мышц на 44% после 3-х “электрических” тренировок в неделю на протяжении 4-х нед. [34]. При использовании ЭСТ-тренировки на протяжении 5 нед. с частотой 3 раза в неделю с интенсивностью 45% от МПС отмечалось увеличение максимальной произвольной изометрической силы мышц бедра на 33% [31]. Выполненные исследования показывают, что интенсивность “электрической” тренировки определяет степень увеличения мышечной силы. В поддержку взаимосвязи между интенсивностью и величиной прироста силы сокращения мышц указывает высокая корреляционная связь (r = 0.756, р < 0.05) [35]. H.S. Lai et al. [36] сообщают, что интенсивность ЭСТ-тренировок, превышающая 50% от МПС, приводит к большему увеличению силы сокращения мышц. Таким образом, интенсивность “электрической” тренировки является важным параметром, который оказывает существенное влияние на величину прироста силы мышцы.
Однако количество ЭСТ-тренировок в неделю также может способствовать увеличению мышечной силы. В ряде исследований сообщалось о частоте ЭСТ-тренировок от 1 до 5 в неделю и в течение от 3 до 6 нед. [29, 31, 34, 35]. E. Ericksson и T. Haggmark [33] наблюдали увеличение силы мышц на 16% после ЭСТ-тренировок по 1 ч в течение 5 дней в неделю на протяжении 4 нед. Напротив, R.K. Laughman et al. [37] использовали 5 ЭСТ-тренировок в неделю на протяжении 5 нед. и сообщили об увеличении силы мышц бедра на 22%. Тем не менее, T. Moh et al. [38] после трех ЭСТ-тренировок в неделю на протяжении 5 нед. сообщили об увеличении силы сокращения мышц бедра всего лишь на 0.7%. Увеличение числа ЭСТ-тренировок до 4 нед. с 4–5 тренировками в неделю обнаружило увеличение силы сокращения трехглавой мышцы голени на 18% [39]. Однако увеличение количества ЭСТ-тренировок до 32 в течение 8 нед. с 4 тренировками в неделю обнаружили значительное повышение (+26–+30%) максимального произвольного суставного момента мышц-разгибателей бедра [40, 41] и выраженную гипертрофию мышечных волокон I и II типа [42, 43]. N.A. Maffiuletti et al. [44] сообщили, что кратковременная 4-недельная ЭСТ-тренировка мышц-разгибателей стопы с использованием стимулятора, генерирующего импульсные токи прямоугольной формы частотой 75 Гц и длительностью 400 мс, сопровождалась увеличением произвольного суставного момента на 8.1% (р < 0.05) и прирост суставного момента сопровождался более высокой нормализованной ЭМГ-активностью камбаловидной мышцы, а при выполнении эксцентрического сокращения - повышенной ЭМГ-активности икроножных мышц. Таким образом, ЭМС-тренировка помимо периферических изменений существенный вклад вносит в центрально-нервный механизм управления произвольным движением: увеличение нейронной активности, вероятно, опосредует произвольное увеличение суставного момента, наблюдаемое после кратковременной ЭСТ-тренировки. Поскольку частота ЭСТ-тренировочных занятий не была в центре внимания многих исследований, то невозможно определить вклад количества ЭСТ-тренировок в неделю на увеличение мышечной функции.
Таким образом, общая цель настоящего исследования состояла в том, чтобы сравнить воздействие двух программ немодулированной низкочастотной ЭСТ продолжительностью 30 и 60 мин/день с частотой 5 тренировок в неделю в течение 7 нед. на динамику изменений сократительных функций (силовых и скоростно-силовых свойств) мышц-разгибателей стопы (на примере трехглавой мышцы голени — ТМГ) и архитектуру сложной ТМГ (на примере медиальной икроножной мышцы — МИМ). Настоящее исследование является первым, в котором измерения МПС, максимальной произвольной “взрывной” силы и длины и угла наклона мышечных волокон были объединены для изучения специфической адаптации к различным программам ЭСТ. Было высказано предположение, что ЭСТ продолжительностью 30 мин/день приведет к большему увеличению МПС и максимальной произвольной быстрой “взрывной” силы сокращения по сравнению с ЭСТ-тренировкой продолжительностью 60 мин/день. Это первое исследование, представляющее комбинированный анализ, как мышечных, так и нервных факторов после продолжительной ЭСТ-тренировки.
МЕТОДИКА
Дизайн исследования. Исследование было выполнено в Институте медико-биологических проблем РАН (ИМБП, Москва). Испытуемым по желанию разрешали в любой момент отказаться от дальнейшего участия в эксперименте.
Испытуемые. В исследовании принимали участие 10 нетренированных молодых мужчин-добровольцев возрастом 23.2 ± 3.2 года (возрастной диапазон 18–28 лет). Испытуемые были набраны через объявления и устные приглашения. Ни один из них не участвовал в каких-либо регулярных аэробных или резистивных тренировках в течение предыдущего года. Согласно анамнезу, у всех испытуемых не было явных хронических заболеваний. Испытуемые, принимающие какие- либо лекарства, были исключены. Все испытуемые были проинформированы о методах, процедурах и рисках исследования.
Испытуемые случайным образом были распределены либо в группу испытуемых, использующих ЭСТ-процедуру в течение 30 мин (1 группа), либо в группу испытуемых, использующих “электрическую” тренировку на протяжении 60 мин (2 группа). Физическая характеристика испытуемых каждой группы и их количество представлены в табл. 1. Не было обнаружено существенной разницы ни в росте, ни в весе между группами.
Таблица 1. Среднее значение возраста, роста, массы тела испытуемых
Переменные | ЭСТ, 5 раз/нед. | |
30 мин | 60 мин | |
Возраст, лет | 23.4 ± 1.2 | 30.6 ± 3.3 |
Рост, см | 179.1 ± 3.5 | 170.4 ± 3.3 |
Масса, кг | 76.4 ± 3.0 | 71,0 ± 4.8 |
Мужчины, n | 5 | 5 |
Примечание: ЭСТ — электростимуляция.
Электростимуляционная тренировка. Для применения эквивалентной тренировочной нагрузки, основанной на количестве тренировочных занятий, по сравнению с предыдущими исследованиями [21, 39, 42], мы выполняли ЭСТ-процедуру в течение 7 нед. (т.е. 5 занятий в неделю). ЭСТ-тренировку выполняли способом прямого электрического раздражения мышцы по методике, приведенной ранее [45–47] в положении сидя с углом в коленном и голеностопном суставах ~90°. После подготовки кожи, два слегка увлажненных электрода стимуляции были поверхностно помещены на ТМГ каждой конечности с анодом площадью 65 см2 (13 × 5 см) выше медиальной и латеральной головок икроножных мышц. Катод площадью 45 см2 (9 × 5 см) был помещен на расстоянии приблизительно 5 см от места перехода двух головок икроножных мышц в Ахиллово сухожилие. Такая конфигурация позволила охватить всю мышцу. В случае, когда во время ЭСТ при визуальном контроле, а также при пальпации мышцы, наблюдались сокращения передней большеберцовой или малоберцовой мышцы, то электроды стимуляции были медиально перемещены, чтобы активировалась только ТМГ.
Тренировочная ЭСТ-процедура выполнялась с использованием двух автономных электростимуляторов Стимул НЧ-01 (ФГУП СКТБ “Биофизприбор” ФМБА, Россия), соединенных между собой кабелем синхронизации, и состояла из последовательной ритмической стимуляции (1 с вкл — 2 с выкл). Электростимуляторы генерировали немодулированные двухполярные симметричные прямоугольные импульсы длительностью 1 мс с длительностью пачки импульсов 1 с и с интервалами между пачками импульсов 2 с, и с частотой следования импульсов 25 Гц, и амплитудой сигнала 45 В. Во время ЭСТ-процедуры в 1 группе было выполнено 18000 сокращений мышцы, а во 2 группе — 36000 сокращений. Тренировочная процедура продолжалась 7 нед., на протяжении которых ежедневно проводили ЭСТ-процедуру. Затем следовали 2 дня отдыха (суббота и воскресенье). Каждый испытуемый провел 35 ЭСТ-тренировок. Началу каждого недельного цикла (в понедельник) предшествовало тестирование сократительных свойств мышц-разгибателей стопы. Во время каждой “электрической” тренировки у каждого участника эксперимента регистрировали интенсивность ЭСТ, т.е. силу электрического раздражения, которую подбирали индивидуально и критерием ее был порог переносимости. Силу сокращения ТМГ, развиваемую каждым испытуемым во время ЭСТ-процедуры, в настоящем исследовании не отслеживали. Однако, как ранее сообщалось, во время ЭСТ-тренировки мышц-разгибателей стопы сила сокращения достигает уровня 50–70% МПС [42]. Все ЭСТ-тренировочные занятия проводили под руководством одного из экспериментаторов.
В процессе “электрической” тренировки, учитывая влияние мембранной аккомодации, амплитуда импульса, т.е. интенсивность возбуждения, постоянно повышалась, не вызывая ощущения “неудобства” в тренировке, как описано физиотерапевтами [28]. Ни один из испытуемых не сообщал о серьезном дискомфорте от этого тока при стимуляции. Во время всех сеансов ЭСТ-тренировок участников инструктировали “расслабить насколько это возможно стимулированные мышцы”.
В конце каждой “электрической” тренировки записывали амплитуду тока. Средние амплитуды тока рассчитывали для каждой минуты ЭСТ во время тренировки в течение 7 нед. Средние значения тока для каждой минуты ЭСТ рассчитывали путем суммирования амплитуды тока для каждого испытуемого в группах с 30 и 60 мин/день в течение 7 нед.
Мышечная функция
Максимальную изометрическую силу мышц- разгибателей стопы регистрировали с помощью изокинетического динамометра Biodex (Biodex System 4 PRO™, Multi-Joint Systems, США). Во время измерения испытуемые находились в кресле динамометра в положении “стоя на коленях” с углом в коленном суставе 130°. Центр вращения голеностопного сустава визуально совмещали с осью плеча рычага динамометра, а стопу относительно жестко фиксировали к платформе измерительного устройства динамометра. Перед измерением каждый испытуемый выполнял от 5 до 10 произвольных движений в голеностопном суставе с около максимальным усилием.
Изокинетическое тестирование. Испытуемые были дважды приглашены в лабораторию. Во время первого визита испытуемые были ознакомлены с экспериментальной установкой, с тестированием силовых и скоростно-силовых свойств мышц-разгибателей стопы с помощью изокинетического динамометра Biodex. При последующем посещении (за сутки до экспозиции) был выполнен сбор исходных данных. Все процедуры тестирования были выполнены на правой конечности участников эксперимента.
Участники эксперимента в положении “стоя на коленях” удобно располагались в кресле изокинетического динамометра Biodex, при этом их туловище и тазобедренный сустав были закреплены к спинке сиденья поясными и плечевыми ремнями, чтобы гарантировать постоянное положение и минимизировать любое движение. При этом относительно жестко фиксировали голеностопный сустав с углом подошвенного сгибания ~90°. Латеральная лодыжка правой стопы была совмещена с осью вращения изокинетического динамометра, а центр коленного сустава был тщательно выровнен по оси вращения регистрирующего устройства динамометра.
Измерение максимального изометрического суставного момента. Всех испытуемых в первый день посещения лаборатории инструктировали воздерживаться в день тестирования от приема пищи (за 2 ч), кофеина (за 4 ч) и от применения физических упражнений (за 12 ч).
Перед проведением изокинетического тестирования испытуемый выполнял стандартные процедуры разминки суставов, состоящие из пяти упражнений субмаксимальных повторений и двух-трех упражнений с максимальным повторением. После разминки испытуемые отдыхали не менее 2–3 мин.
После разминки испытуемый удобно размещался в кресле динамометра. Стопу конечности прикрепляли к специальной платформе динамометра с помощью неэластичных ремней, которые были прочно закреплены сзади и на нижней стороне платформы для предотвращения подъема пятки во время выполнения разгибания стопы. Если происходил подъем пятки или показатель суставного момента не возвращался к исходной величине, то протокол выполнения эксперимента был остановлен и повторен только после 3–5 мин отдыха. Испытуемые выполняли три произвольных максимальных изокинетических движений стопой из четырех подходов с угловой скоростью голеностопного сустава 0°/с-1, и если третья попытка не превышала первых двух более чем на 10%, то в этом случае было проведено дополнительное испытание. Между каждой выполненной попыткой испытуемому предоставляли отдых не менее 2 мин.
При тестировании изометрического суставного момента, развиваемого мышцами-разгибателями стопы, каждого испытуемого инструктировали “прикладывать максимальное усилие” в каждом движении и при каждом повторении выполняемого теста. Суставной момент с поправкой на гравитацию в реальном времени отображался на экране дисплея компьютера. Во время тестирования испытуемому предоставляли словесную инструкцию. Наибольшее изометрическое значение суставного момента (пик момента) при 0°/с–1 принимали за показатель МПС. Сбор исходных данных был выполнен за сутки перед началом выполнения “электрической” тренировки и последующие измерения — каждый понедельник нового недельного цикла.
Измерение отношения момент-скорость. Тестирование мышц-разгибателей стопы выполняли в положении “стоя на коленях” в кресле изокинетического динамометра, причем угол коленного и голеностопного сустава составлял ~130° и 90° соответственно, а ось голеностопного сустава совпадала с осью вращения регистрирующего устройства динамометра. Скоростно-силовые свойства мышц, или иначе градиент развития произвольной силы, оценивали по времени нарастания изометрического произвольного напряжения от начала сокращения до достижения 25, 50 и 75% от МПС (“относительные” градиенты силы произвольного сокращения). Испытуемые выполняли две попытки из четырех повторений максимальных разгибаний стопы с угловой скоростью 0°/с-1 и с интервалом отдыха не менее 30 с между повторениями [48]. При измерении отношения момент-скорость испытуемых инструктировали выполнять каждое движение “как можно быстрее и сильнее”. Во время тестирования испытуемому предоставляли биологическую обратную связь развиваемого усилия на мониторе компьютера, а также обеспечивали словесное поощрение во время и между каждой попыткой. Словесные поощрения проводил один и тот же исследователь для всех испытуемых. На мониторе компьютера отображалась, как сила, так и наклон кривой сила-время.
Мышечная архитектура
Мышечная архитектура (длина и угол наклона волокон) МИМ измеряли in vivo с использованием В-режима ультразвуковой системы Edge (Edge, Fujifilm SonoSite, Inc., США) электронным линейным датчиком 7.5 МГц и апертурой 60 мм. Ультразвуковые изображения (УЗИ) были получены на уровне 30% расстояний между подколенной складкой и центром боковой лодыжки при нейтральном положении голеностопного сустава [49], и на этом уровне помещали гиперэхогенный маркер, прикрепленный к коже, ультразвуковой датчик помещали над маркером. Для обеспечения акустического контакта поверхность датчика покрывали растворимым в воде трансмиссионным гелем и, не вдавливая на поверхность мышцы, ориентировали вдоль средне-сагиттальной плоскости мышцы перпендикулярно коже. Визуализацию мышц выполняли после предварительного 20 мин отдыха [50, 51]. Угол наклона волокон (Θв) МИМ определяли как угол вхождения волокна в глубокие слои апоневроза, а длину волокон (Lв) определяли как длину гипотенузы треугольника с углом, равным Θв, и стороной, противоположной этому углу, равной толщине мышцы (рис. 1). Для каждого испытуемого были получены УЗИ в покое во время одного эксперимента. Анализ данных проводили с использованием программного обеспечения для анализа изображений (ImageJ, 1.47v, National Institute of Health, США). УЗИ были собраны и проанализированы в цифровом виде одним и тем же оператором и у каждого обследуемого измеряли параметры не менее трех мышечных пучков, которые затем усредняли и использовали для дальнейшего анализа. Расстояние между границей подкожно-жировой тканью и межмышечной фасцией использовали как показатель толщины мышцы — ТМ (рис. 1). Физиологическая площадь поперечного сечения (ФППС) в настоящем исследовании была оценена по следующему уравнению [52]:
ФППС-индекс = ТМ2/Lв,
Рис. 1. Стандартное сагиттальное ультразвуковое изображение медиальной икроножной мышцы (МИМ).
Ультразвуковой датчик располагался над мышцей на уровне 30% расстояния между подколенной складкой и центром боковой лодыжки. Длину волокна измеряли вдоль ультразвуковой сигнальной линии, проведенной параллельно волокну между глубоким и поверхностным апоневрозами. Угол наклона измеряли как угол, образованный линией, проведенной параллельно мышечному волокну между глубоким и поверхностным апоневрозами. Белая линия, наложенная на ультразвуковое изображение, показывает путь волокна между поверхностным и глубоким апоневрозами. Представлены угол (Θв) наклона и длина (Lв) волокна между глубоким и поверхностным апоневрозами. Маркер (↓), расположенный между ультразвуковым датчиком и кожей, является ориентиром постоянства датчика во время измерений.
Показателем внутреннего укорочения волокон при сокращении мышцы (ΔLмышца) может быть разница между Lв и Θв в активном по сравнению с пассивным состоянием мышцы [49] и ΔLмышца определяли по формуле:
ΔLмышца = Lп∙cosΘп — Lу∙cosΘу, (1)
где Lп и Lу — длина волокна в условиях покоя и при усилии [50% МПС]; Θп и Θу — угол наклона волокна в условиях покоя и усилии [50% МПС].
Анализ данных и статистика. При обработке полученных результатов исследования применяли общепринятые статистические методы, и данные представлены в виде средних значений и стандартной ошибки средней (М ± m). Различия между показателями были проанализированы с использованием парного критерия t-Стьюдента. Амплитуду тока и изометрическую силу ТМГ сравнивали между группами на протяжении каждой “электрической” тренировки.
Первую и вторую группу испытуемых получавших ЭСТ-процедуры 30 мин и 60 мин соответственно, оценивали по процентному изменению МПС и “относительным” показателям произвольного “взрывного” сокращения, которые произошли между начальным и конечным измерением сократительных свойств ТМГ. Затем были рассчитаны процентные изменения переменных при различных условиях, как функция от исходной величины. Вероятность совершения ошибки была установлена на уровне 5% для всех тестов.
РЕЗУЛЬТАТЫ ИССЛЕДОВАНИЯ
Изменение изометрической мышечной силы. ЭСТ-тренировка у человека на протяжении 7 нед. вызывала значительные изменения сократительных свойств мышц-разгибателей стопы. Показатели изменения МПС для двух групп испытуемых графически представлены на рис. 2, А. Средний прирост МПС мышц-разгибателей стопы после 10 “электрических” тренировок составлял 32% в 1 группе испытуемых и 26% во 2 группе, а после 25 “электрических” тренировок — 35% в 1 группе и 23% во 2 группе. Причем основной прирост МПС в 1 и 2 группе достигал после 6 нед., т.е. 30 ЭСТ-процедур, составляя в среднем 39.5 и 28.1% соответственно. Последующие периоды стимуляции не вызывали значимого прироста мышечной силы: прирост МПС составил в 1 группе испытуемых в среднем ~ 4 и ~2% во 2 группе (рис. 2, Б). За весь период “электрической” тренировки МПС возросла в среднем до 163.3 Н в 1 группе и до 139.7 Н во 2 группе испытуемых, что соответствует относительному изменению 14.6% (р < 0.05).
Рис. 2. Изменение максимального суставного момента мышц-разгибателей стопы в 1 группе (30 мин электростимуляции (ЭСТ)) и 2 группе (60 мин ЭСТ) в результате 7-недельной немодулированной низко- частотной “электрической” тренировки с максимально переносимой интенсивностью тока (А) и динамика изменения усредненной (∆%) изометрической максимальной произвольной силы (МПС) трехглавой мышцы голени (ТМГ) за каждую неделю 7-недельной немодулированной низкочастотной “электрической” тренировки для 1 группы (30 мин) и 2 группы (60 мин) испытуемых (Б).
* – p < 0.05.
Изменение скоростно-силовых свойств. Анализ результатов изменений функций сила-скорость показал, что максимальный суставной момент, развиваемый мышцами-разгибателями стопы после 7 нед. ЭСТ-тренировок при произвольных изометрических “взрывных” сокращениях, оцениваемых по “относительным” показателям, разнятся в двух случаях эксперимента (рис. 3). Как следует из графически представленных данных изменения “относительных” показателей скорости развития произвольного “взрывного” изометрического напряжения (обратная величина времени сокращения) мышц-разгибателей стопы снижается с самого начала развития сокращения, что видно по времени достижения относительного уровня напряжения (рис. 3).
Рис. 3. Кинетика изменения силы мышц-разгибателей стопы во время изометрического произвольного “взрывного” усилия до и после 7-недельной немодулированной низкочастотной электростимуляционной “тренировки” для 1 группы (30 мин) и 2 группы (60 мин) испытуемых.
* – p < 0.05.
Сравнивая механические параметры мышечных сокращений в обеих ситуациях эксперимента, мы тем самым определяли, в какой мере условия эксперимента повлияют на результат градиента силы. На рис. 3 показано влияние градиента силы на кинетику развития механических параметров произвольных “взрывных” изометрических усилий, проявляемых испытуемыми до и после 7-недельной “электрической” тренировки мышечного аппарата. Градиент произвольного “взрывного” изометрического усилия существенно зависит от МПС. После ЭСТ-тренировок общая способность к “взрывному” проявлению максимальной произвольной силы, которая в решающей мере определяет результат движения, оказывается более эффективной в 1 группе испытуемых по сравнению со 2 группой, когда отмечается существенное снижение использования скоростно-силовых свойств мышечного аппарата. Максимальная произвольная “взрывная” сила тренируемой мышцы в 1 группе первые 50% после начала действия силы увеличилась в первую очередь из-за бóльшей МПС (рис. 2). Увеличение МПС на ~40% в 1 группе испытуемых объясняет увеличение (сохранение) производства силы в поздней фазе кривой сила-время (время достижения “относительного” уровня напряжения 75%). Отмечается снижение градиента стартовой силы в изометрических условиях сокращения мышцы. Однако, если градиент стартовой силы определяется степенью волевых усилий, то общая способность к “взрывному” проявлению произвольной силы определяется степенью использования силового потенциала мышц.
Таким образом, “электрическая” тренировка в течение 30 мин/день 5 раз в неделю оказывает бóльшее влияние на результат произвольного движения на начальных участках траектории кривой сила-время, тогда как “тренировка” в течение 60 мин/день 5 раз в неделю существенно снижает “взрывную” производительность мышц. Так, время достижения первых 50% МПС после 7 нед. “электрической” тренировки в 1 группе уменьшилось на ~32% по сравнению с исходной величиной, тогда как во 2 группе это время увеличилось на ~26%. Причем испытуемые 2 группы показывают еще большее снижение степени использования силовых возможностей мышечного аппарата в кратковременных движениях при достижении второй половины кривой сила-время (рис. 3), когда производство максимальной произвольной “взрывной” силы сокращения мышцы определяется максимальной силой. Таким образом, и общая способность к “взрывному” проявлению произвольной силы у испытуемых 2 группы оказывается значительно сниженной.
Текущая амплитуда “электрической” тренировки. Средняя амплитуда тока за каждую неделю на протяжении 7 нед. “электрической” тренировки для обеих групп графически представлена на рис. 4 и в табл. 2. Все испытуемые хорошо переносили максимальный выходной ток ЭСТ и при этом отдельные испытуемые достигали максимальной амплитуды тока в течение 2-5 мин ЭСТ.
Рис. 4. Динамика изменения усредненной (∆%) амплитуды тока (В) немодулированной электростимуляции за каждую неделю 7-недельной “электрической” тренировки для 1 группы (30 мин ЭСТ) и 2 группы (60 мин ЭСТ).
Таблица 2. Изменение средней амплитуды тока (В) на протяжении ЭСТ-тренировки
Группы | Неделя электростимуляции (ЭСТ) | ||||||
1 | 2 | 3 | 4 | 5 | 6 | 7 | |
ЭСТ (30 мин) | 33.0 ± 6.3 | 44.4 ± 6.6 | 44.8 ± 6.6 | 50.6 ± 5.3 | 56.3 ± 9.0 | 63.0 ±.12.0 | 64.5 ±.10.1 |
ЭСТ (60 мин) | 34.4 ± 3.7 | 39.7± 3.1 | 43.3 ± 3.5 | 48.6 ± 1.7 | 49.6 ± 1.7 | 54.4 ±.3.0 | 53.9 ±.7.1 |
Табл. 3 представляет средние индивидуальные амплитуды тока испытуемых 1 и 2 группы во время продолжительной (7 нед.) “электрической” тренировки. Анализ результатов показывает, во-первых, что все испытуемые переносили хорошо максимальный выходной ток электростимулятора, и, во-вторых, каждый испытуемый 1 группы применял более высокие величины амплитуды стимуляционного тока, чем испытуемые 2 группы и при этом отдельные испытуемые достигали максимальной амплитуды тока в течение первых тренировок.
Таблица 3. Изменение средней индивидуальной амплитуды тока (В) во время продолжительной ЭСТ-тренировки
Группы | Испытуемые | ||||
1 | 2 | 3 | 4 | 5 | |
ЭСТ (30 мин) | 53.1 ± 1.9 | 64.2 ± 5,4 | 36.7 ± 4.0 | 65.0 ± 8.3 | 32.9 ± 2.3 |
ЭСТ (60 мин) | 38.8 ± 0.8 | 46.3 ± 3.2 | 47.5 ± 2.4 | 58.2 ± 4.2 | 40.6 ± 3.1 |
Изменение мышечной архитектуры. Архитектура МИМ изменилась после 7 нед. ЭСТ-тренировки. Так, толщина МИМ у испытуемых между группами, как в условиях покоя (~ 15 и 12 мм соответственно), так и после “электрической” тренировки (~ 15 и 13 мм, соответственно) существенно не изменялась.
Θв МИМ после “электрической” тренировки при нейтральном положении голеностопного сустава в 1 группе увеличился от ~19° до 41° и во 2 группе — от ~20° до 36°, а Lв в обеих группах сопровождалась уменьшением на ~8% (40.7 ± 4.6 до 37.3 ± 2.8 мм) и ~6% (38.1 ± 0.8 до 36.0 ± 1.1 мм) соответственно (рис. 5).
Рис. 5. Архитектура трехглавой мышцы голени. Динамика изменения длины (Lв) и угла (Θв) наклона волокон медиальной икроножной мышцы (МИМ) под влиянием 7-недельной «электрической» тренировки для 1 группы (30 мин ЭСТ) и 2 группы (60 мин ЭСТ) испытуемых.
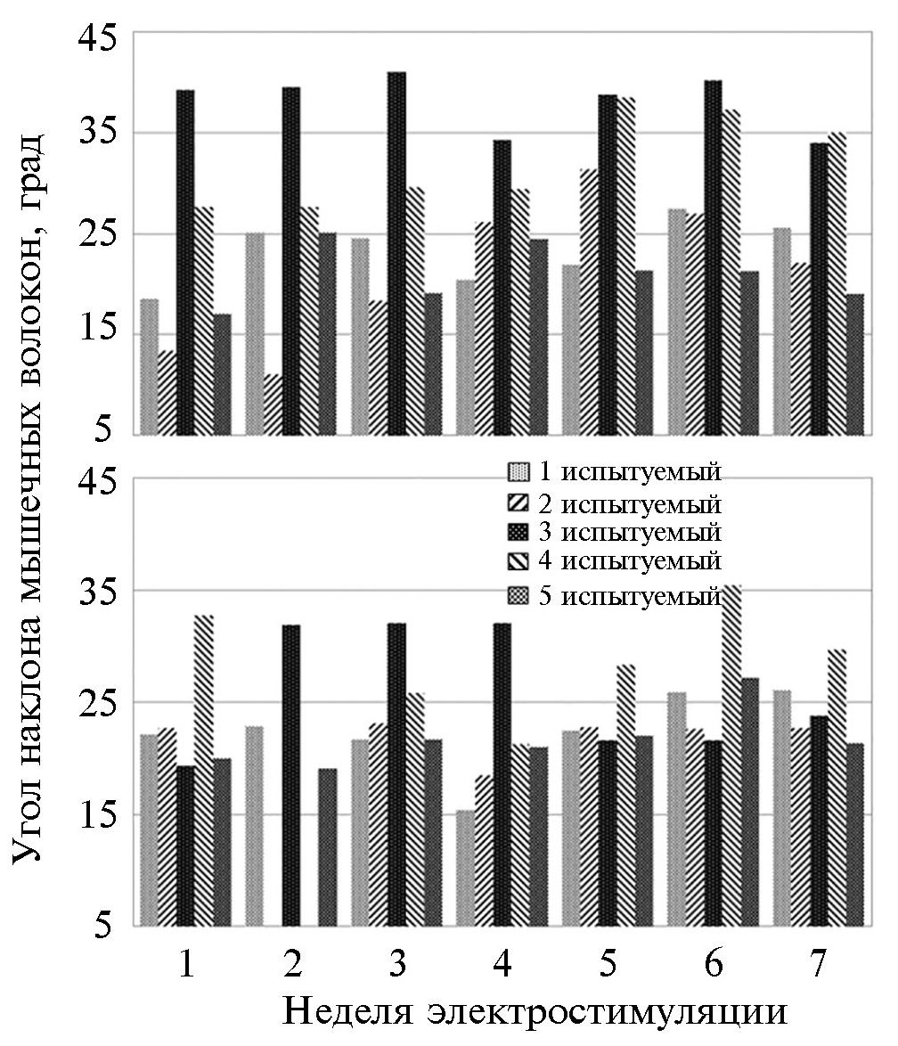
В 1 группе испытуемых Θв МИМ значительно увеличился между 2 и 4 нед. (рис. 6, верхняя панель) по отношению к исходному уровню, тогда как у испытуемых 2 группы тенденция к увеличению наблюдалась между 6 и 7 нед. (рис. 6, нижняя панель), а Lв МИМ в 1 группе значительно увеличилась между 2 и 3 нед., а во 2 группе тенденция к увеличению наблюдалась между 5 и 7 нед. “электрической” тренировки.
Рис. 6. Изменение угла наклона волокон медиальной икроножной мышцы (МИМ) при электростимуляции (ЭСТ) тренировки.
Представлены индивидуальные данные испытуемых на протяжении 7-недельной немодулированной относительно низкочастотной ЭСТ-тренировки для 1 группы (30 мин, верхняя панель) и 2 группы (60 мин, нижняя панель) испытуемых.
Изменение индекса ФППС после “электрической” тренировки по отношению к условиям покоя увеличился в 1 группе почти в два раза (от 0.37 ± 0.09 до 0.60 ± 0.04), а во 2 группе практически не изменился (от 0.40 ± 0.06 до 0.50 ± 0.06).
ОБСУЖДЕНИЕ РЕЗУЛЬТАТОВ
Все десять испытуемых двух групп полностью завершили исследование, и не было никакой разницы между двумя группами по антропометрическим данным, но показатели функций и внутренней архитектуры отличались как от исходного уровня, так и между группами.
Несмотря на использование немодулированной низкочастотной ЭСТ в разных областях исследований, остается неясным вопрос о наиболее эффективной продолжительности тренировочного периода для сохранения функций мышц. В этом исследовании мы изучали влияние немодулированной относительно низкочастотной ЭСТ разной продолжительности (30 и 60 мин/день) на протяжении 7 нед. на функции (силовые и скоростно-силовые свойства) ТМГ и архитектуру (длину и угол наклона волокон) МИМ.
Сравнительный анализ средней амплитуды тока показал, что обе группы во время ЭСТ-тренировки получали примерно одинаковую амплитуду тока в единицу времени (рис. 3). Это указывало на то, что обе группы одинаково адаптировались к электрическому току. Кроме того, этой амплитуды стимуляции было достаточно для создания силы сокращения, которая в большинстве случаев составляла не менее 60% от МПС (табл. 2).
Кроме того, прирост мышечной силы в этом исследовании имеет положительную линейную зависимость от интенсивности ЭСТ-тренировок, что соответствует предыдущим результатам [21, 46]. Следовательно, вполне вероятно, что величина прироста силы, вызванного ЭСТ-тренировкой, коррелирует с интенсивностью тренировки. Действительно, МПС в бóльшей степени увеличилась в 1 группе испытуемых, которые выполняли каждую “электрическую” тренировку с более высоких амплитуд ЭСТ, что отражает интенсивность сокращения мышцы (табл. 2). Возможное объяснение снижения силы сокращения мышцы заключалось в том, что испытуемые 2 группы испытывали большую усталость, чем испытуемые 1 группы. В настоящем исследовании сила, вызванная ЭСТ, сильно различалась среди испытуемых (рис. 3), несмотря на тщательную настройку использовать максимально переносимую силу тока. В наших экспериментальных условиях отсутствовала регистрация развиваемой силы сокращения мышц во время “электрической” тренировки, что является недостатком настоящей работы. Однако визуальный контроль за уровнем сокращения мышц во время “электрической” тренировки позволяет спекулировать, что использовалась интенсивность порядка 60%, а у некоторых испытуемых и 70–80% МПС. Интересно, что D.P. Currier и R. Mann [29] в своих исследованиях сообщили, что ЭСТ-тренировка 3 раза в неделю в течение 5 нед. с интенсивностью 67% от МПС сопровождалась увеличением МПС мышц бедра в среднем на 14%. После аналогичного по продолжительности тренировочного периода D.M. Selkowitz [34] сообщил об увеличении МПС мышц бедра на 44% после 3-х ЭСТ-тренировок в неделю в течение 5 нед. и с интенсивностью тренировки 91% от МПС. Бóльшее увеличение МПС может быть объяснено уровнем применяемой интенсивности ЭСТ, использованной в исследовании [34]. Таким образом, при изучении влияния частоты ЭСТ-тренировок в неделю на увеличение мышечной силы важно учитывать интенсивность тренировок, поскольку прирост силы после ЭСТ-тренировки зависит от величины вызванного электрического тока во время “электрической” тренировки [53].
Концепция ослабленной мышцы во время продолжительной ЭСТ была представлена L. Snyder-Mackler et al. [42] и предполагает, что ослабленная мышца имеет избирательную атрофию волокон типа IIb, которая уменьшает снижение силы во время мышечной работы. M.G. Parker et al. [43] наблюдали аналогичное снижение силы сокращения мышц с уменьшением волокон типа II сразу после увеличения количества ЭСТ-тренировок. Таким образом, волокна типа IIb в мышце испытуемых 2 группы, возможно, были избирательно утомлены длительным тренировочным циклом в неделю, что может объяснить снижение силы. Таким образом, из-за большего объема ЭСТ в неделю испытуемые 2 группы могли начинать каждый сеанс ЭСТ с большей утомляемостью, что могло привести к наблюдаемому снижению силы во время каждого сеанса ЭСТ. Резкое истощение анаэробного субстрата после ЭСТ, наблюдаемое E. Eriksson et al. [30], и предыдущие наблюдения L. Snyder-Mackler et al. [42] и M.G. Parker et al. [43], подтверждают возможность большей усталости мышечных волокон типа IIb в мышце испытуемых 2 группы в ходе текущего исследования.
При сравнительном анализе влияния частоты ЭСТ-тренировок в неделю в нашем исследовании было обнаружено, что программа тренировок 5 раз в неделю привела к значительно бóльшему увеличению силы сокращения ТМГ в 1 группе испытуемых (~40%), по сравнению с испытуемыми 2 группы (~30%). Разница в среднем приросте силы сокращения мышцы между группами отмечалась практически после 1-й недели “электрической” тренировки и к концу 2-й недели эта разница составляла 6%. К концу тренировочного периода разница составила 14%. Таким образом, результаты настоящего исследования показали, что “электрическая” тренировка с частотой 5 раз в неделю в течение 30 мин/день может вызвать изменения в МПС мышц-разгибателей стопы. Однако при изучении влияния частоты ЭСТ-тренировок в неделю на увеличение мышечной силы важно учитывать не только интенсивность тренировок, но также и количество тренировок в неделю.
Другим возможным объяснением большего увеличения МПС у испытуемых 1 группы может быть различие в интенсивности ЭСТ-тренировок. Действительно, уже к концу 2-й недели ЭСТ-тренировки испытуемые 1 группы тренировались с относительно бóльшей интенсивностью (10.6%), чем испытуемые 2 группы (рис. 3). Хотя и предпринималась попытка сохранить постоянную интенсивность ЭСТ-тренировок между группами, тем не менее испытуемые 1 группы тренировались с бóльшей интенсивностью и к 6 нед. эта разница составила 13.7%, а к концу 7 нед. достигала 16.4%.
Еще одним параметром, который следует учитывать, является архитектура мышцы, поскольку уменьшение угла наклона и/или увеличение длины мышечных волокон может вызвать изменение функций. Ультразвуковая визуализация в B-режиме обеспечивает достаточно высокое качество изображения, позволяющее очертить отдельные мышцы [54], и в настоящем исследовании отдельно измеряли МИМ, составляющую сложную ТМГ. Настоящее исследование продемонстрировало значительное увеличение угла наклона и уменьшение длины волокон МИМ в обеих группах. Индекс ФППС МИМ увеличился в группе с ЭСТ-тренировкой 30 мин/день по сравнению с 60 мин/день в течение 7 нед. Абсолютные значения угла наклона МИМ, указанные перед тренировкой, соответствуют значениям, полученным ранее [55–57]. Наше исследование является первым, в котором сообщается, что немодулированная относительно низкочастотная ЭСТ-тренировка в течение 7 нед. привела к заметному увеличению угла наклона МИМ. Таким образом, увеличение угла наклона позволило сконцентрировать большое количество сократительных элементов вдоль сухожилия [58]. Кроме того, более крутой угол наклона мышечных волокон может в значительной степени способствовать увеличению индекса ФППС мышцы и, таким образом, играть важную роль в приросте силы сокращения мышцы, наблюдаемой в конце ЭСТ-тренировочной программы. Таким образом, увеличение индекса ФППС, наблюдаемое при ЭСТ-тренировке в течение 30 мин/день, может быть приписано, по крайней мере, частично, изменениям на мышечном уровне, что согласуется с наблюдениями C.S. Bickel et al. [59]. Действительно, эти авторы недавно показали, что ЭСТ-нагрузка у здоровых людей в виде двух подходов по 30 мин стимулировала ответ на молекулярном уровне (увеличение общего содержания РНК, что дает представление о трансляционной способности ткани), что указывало на увеличение процесса гипертрофии в мышце. Таким образом, во время ЭСТ-тренировок ТМГ выполнила большой объем работы (сокращений), что могло привести к возможной гипертрофии. Результаты текущего исследования показали, что как нервная, так и мышечная адаптация, происходящая в мышце, предполагает, что такая мышечная гипертрофия может зависеть от усиления нервного вклада к мышце в результате ЭСТ.
Насколько нам известно, никогда не сообщалось о влиянии ЭСТ на изменение длины волокна. Сообщались крайне противоречивые результаты влияния ЭСТ-тренировки. Хотя было показано увеличение или отсутствие изменения, как угла наклона, так и длины мышечных волокон. Так, сообщалось, что ЭСТ-тренировка в течение 8 нед., по результатам одних авторов [60], сопровождалась значительным увеличением (+14%) угла наклона волокон, а по данным других авторов [60, 61] не обнаруживалось изменений угла наклона. Было показано увеличение (+22%) длины волокон через 8–12 нед. по сравнению с 4-недельной тренировкой [58, 59] и суставного момента мышц-разгибателя колена на +8% [60].
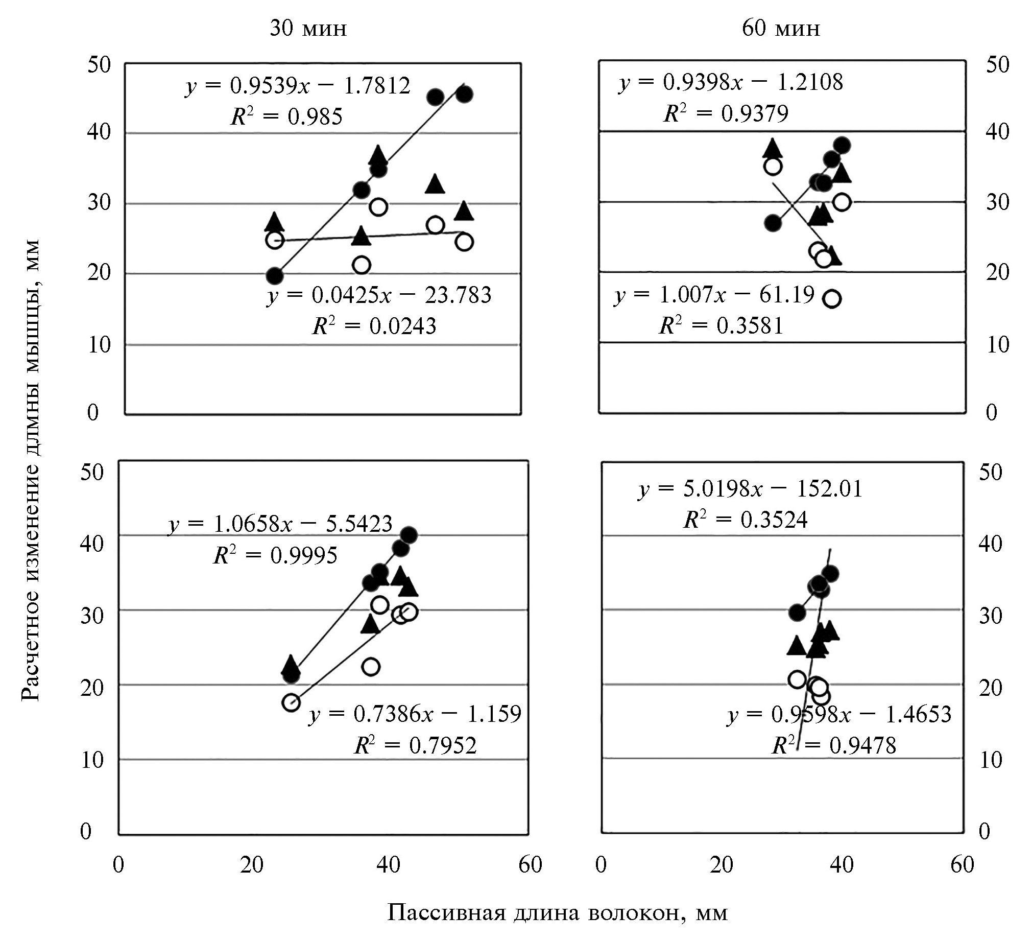
Рис. 7 показывает связь между длиной волокна МИМ при пассивном состоянии и ∆Lмышцы для групп, использующих разную продолжительность “электрической” тренировки. Показатель ∆Lмышцы соответствует движению сухожилия мышцы, которое следовало бы из удлинения сухожильных тканей во время изометрического сокращения [61]. Удлинение сухожилия является линейной функцией силы сухожилия [62], но поскольку ∆Lмышцы была больше, когда длина волокон была бóльшей, то можно предположить, что сила, генерированная мышцей будет больше при более длинных волокнах. Таким образом, как следует из сравнительного анализа результатов представленных на рис. 7, можно грубо представить отношение длина-сила мышцы для групп, использующих разную длительность ЭСТ-тренировок. Однако количественно оценить силу сокращения мышцы по ∆Lмышцы невозможно, поскольку ∆Lмышцы зависит от податливости сухожилия [63, 64], общая длина которой неизвестна в настоящем исследовании. Более того, нужно учитывать, что связь сила-длина сухожилия не линейна с большим изменением ее длины при более низкой силе [55]. Однако, поскольку тенденция снижения ∆Lмышцы в 1 группе наших испытуемых была меньше по сравнению с испытуемыми 2 группы, то это может указывать на то, что сила мышцы была больше, когда Lв более длинная.
Рис. 7. Внутреннее укорочение мышечных волокон во время сокращения.
Взаимосвязь между длиной волокон в пассивном состоянии и предполагаемым изменением длины мышц для МИМ (нейтральное положение голеностопного сустава) до и после 7-недельной немодулированной низкочастотной электростимуляционной “тренировки” для 1 группы (30 мин) и 2 группы (60 мин) испытуемых.
Необходимо подчеркнуть, что используемый в настоящем исследовании метод ЭСТ разработан не для тренировки или хотя бы для сохранения функций скелетных мышц, а для трансплантации мышц в клинике, с помощью дифференцированной реконструкции двигательных мышечных волокон, перепрограммируя функциональные свойства лоскута скелетной мышцы (в частности latissmus dorsi muscle), для последующей трансплантации в сердечную мышцу человека. С этой целью и используется относительно низкая частота 25 имп/с, которая не является частотой, при которой развивается полный тетанус, короткая длительность импульса и сила тока 45 В. Следует отметить, а это напрямую влияет на эффективность ЭСТ, поскольку самой эффективной частотой ритмической стимуляции является частота от 50 до 150 имп/с, при которой развивается максимальная сила сокращения мышцы [9, 65, 66], бóльшая сила тока [67–69] и более продолжительная длительность импульса и рабочий цикл импульсов при ЭСТ [13, 70, 71].
Поверхностная ЭСТ с использованием прямоугольной формы электрических импульсов активирует не только мышечные волокна, но и болевые афференты [72], что ограничивает возможность повышения амплитуды электрического тока. Более того, электрический ток, примененный внеклеточно к нервным окончаниям, активирует мышечные волокна больших двигательных единиц, расположенных более поверхностно в мышце [73, 74] и с более низким входным аксональным сопротивлением, т.е. самым низким порогом активации [75–77] по сравнению с малыми мышечными волокнами, расположенными в глубоких слоях мышцы. При ЭСТ, когда стимул применен снаружи клетки, электрический ток должен сначала поступить через мембрану прежде, чем это деполяризует клетку. Однако внеклеточная среда шунтирует ток и малые двигательные единицы (мышечные волокна) не будут активированы во время применения субмаксимального тока из-за их более высокого входного аксонального сопротивления, и поэтому малые (тонические) мышечные волокна глубокого расположения в мышце не тренируются во время использования субмаксимальной силы тока ЭСТ [78].
Отсутствие контрольной группы в этом исследовании можно рассматривать как возможное ограничение, поскольку нельзя исключать, по крайней мере частично, что это может повлиять на результаты эксперимента. Однако как ранее сообщалось, метод изокинетической динамометрии обладает высокой механической надежностью и достоверностью получаемых результатов при оценке сократительных свойств мышц у человека [79, 80]. В связи с этим, результаты настоящего исследования, полученные с использованием идентичного динамометра, действительно отражают реальные изменения функций мышц. Дополнительно, чтобы избежать влияния времени суток на исследуемые параметры, пре- и посттесты выполнялись в одно и то же время суток. Таким образом маловероятно, что в настоящем исследовании продемонстрирован какой-либо значительный эффект вмешательства примененных методов. Основываясь на надежности процедуры тестирования и на том факте, что время дня было одинаковым для каждого испытуемого до и после ЭСТ-тренировочного периода, можно считать, что изменения, о которых сообщалось в этом исследовании, связаны только с влияниями ЭСТ.
ЗАКЛЮЧЕНИЕ
Это первое исследование, показывающее, что немодулированная ЭСТ относительно низкой интенсивности может вызывать изменения сократительных свойств мышц. Было показано, что немодулированная относительно низкочастотная ЭСТ низкой интенсивности может увеличить мышечную силу и максимальную произвольную “взрывную” силу мышцы у человека после 7-недельной тренировки с частотой 5 раз/день на протяжении 30 мин/день. Используемые в исследовании тренировочные параметры немодулированной ЭСТ относительно низкой интенсивности 30 мин/день в режиме 1 с вкл — 2 с выкл, основываясь на текущих результатах и предыдущих исследованиях, можно предположить, что более низкие тренировочные объемы также могут оказывать заметное влияние на мышечную силу и скорость развития мышечной силы. Предыдущие исследования и текущий эксперимент показали, что использование ЭСТ с интенсивностью тока ~70% МПС в течение 30 мин/день, безопасное и эффективное средство для увеличения скорости производства “взрывной” силы при быстрых произвольных изометрических сокращениях. Увеличение произвольного градиента, по-видимому, в первую очередь связано с усилением нервной активности мышц-агонистов движения в результате “электрической” тренировки. Это может указывать на то, что сильное по интенсивности электрическое раздражение мышц во время ЭСТ вызывает мощный поток афферентных импульсов от мышц/сухожилий, который приводит к реорганизации внутренних свойств мотонейронов человека, сопровождающееся длительным увеличением корковой возбудимости. Таким образом, постоянные внутренние токи ведут к поддержанию некоторого уровня деполяризации, т.е. “удлинению” плато потенциалов, обеспечивая таким образом устойчивую нисходящую двигательную активность, которая может сохраняться в течение продолжительного времени в отсутствие синаптического возбуждения. Активация “плато” потенциалов может являться важным вкладом в деполяризацию мотонейронов во время нормальных сокращений, дополнительно усиливая их реакцию на синаптические входы. Это функционально важно, поскольку представляет собой дополнительный механизм, с помощью которого усиленная двигательная активность может регулироваться в широком диапазоне при произвольном движении и может быть неотъемлемой частью контроля за движениями человека. Отсюда становится совершенно ясно, что “удлинение” плато потенциалов играет важную роль в регулировании частоты импульсации в нормальных условиях, т.к. оптимизация центрального вклада крайне выгодна для увеличенной силы при произвольном сокращении мышцы.
Этические нормы. Все исследования проведены в соответствии с принципами биомедицинской этики, сформулированными в Хельсинкской декларации 1964 г. и ее последующих обновлениях, и одобрены биоэтическим комитетом Института медико-биологических проблем РАН (Москва), протокол № 598 от 30.09.2021 г.
Информированное согласие. Каждый участник исследования представил добровольное письменное информированное согласие, подписанное им после разъяснения ему потенциальных рисков и преимуществ, а также характера предстоящего исследования.
Финансирование работы. Работа финансировалась Министерством образования и науки России (грант № 075-15-2022-298).
Благодарности. Автор выражает благодарность всем добровольцам за их активное участие в этом исследовании, без которых невозможно было получить фактический материал, а также медицинскому и инженерному персоналу за вклад в организацию исследования. Автор также выражает благодарность Р. Прочему, Н. Кнутовой и И. Пономареву за техническую помощь на различных этапах исследования во время сбора данных. Особую благодарность - Натальи Кнутовой и Ринату Прочему за проведение электростимуляционных тренировок.
Конфликт интересов. Автор декларирует отсутствие явных и потенциальных конфликтов интересов, связанных с публикацией данной статьи.
Об авторах
Ю. А. Коряк
ФГБУН ГНЦ РФ – Институт медико-биологических проблем РАН
Автор, ответственный за переписку.
Email: yurikoryak@mail.ru
Россия, Москва
Список литературы
- Leterme D., Falempin М. Contractile properties of rat soleus motor units following 14 days of hindlimb unloading // Pflüg. Arch. 1996. V. 432. № 2. P. 313.
- Gazenko O.G., Grigoriev A.I., Kozlovskaya I.B. Mechanisms of acute and chronic effects of microgravity // Physiologist. 1987. V. 30. Suppl. 1. P. S1.
- Stump C.S., Overton J.М., Tipton С.М. Influence of single hindlimb support during simulated weightlessness in the rat // J. Аррl. Physiol. 1990. V. 68. № 2. P. 627.
- Эрнандес Корво Р., Козловская И.Б., Крейдич Ю.В. и др. Влияние 7-суточного космического полета на структуру и функцию опорно-двигательного аппарата человека // Косм. биол. и авиакосм. мед. 1983. Т. 17. № 2. C. 37.
- Степанцов В.И., Тихонов М. А., Еремин А.В. Физическая тренировка как метод предупреждения гиподинамического синдрома // Косм. биол. и авиакосм. мед. 1972. Т. 6. № 4. С. 64.
- Akima H., Kubo K., Imai M. et al. Inactivity and muscle: effect of resistance training during bed rest on muscle size in the lower limb // Acta Physiol. Scand. 2001. V. 172. № 4. P. 269.
- Kawakami Y., Akima H., Kubo K. et al. Changes in muscle size, architecture and neural activation after 20 days of bed rest with and without countermeasures // Eur. J. Appl. Physiol. 2001. V. 84. № 1–2. P. 7.
- Коряк Ю.А. Нервно-мышечная адаптация к кратковременным и продолжительным космическим полетам / Международная космическая станция. Российский сегмент. М.: ИМБП РАН, 2011. Т. 2. C. 93.
- Коряк Ю.А. Адаптация скелетных мышц человека. М.: Изд. дом Академии естествознания, 2012. 318 с.
- Моруков Б.В., Ларина И.М., Григорьев А.И. Изменения обмена кальция и его регуляция у человека во время длительного космического полета // Физиология человека. 1998. Т. 24. № 2. C. 102.
- Оганов В.С., Богомолов В.В. Костная система человека в условиях невесомости. Обзор результатов исследований, гипотезы и возможность прогноза состояния в длительных межпланетных экспедициях // Авиакосм. и эколог. мед. 2009. Т. 43. № 1. С. 3.
- Vico L., Collet P., Guignandon A. et al. Effects of long-term microgravity exposure on cancellous and cortical weight-bearing bones of cosmonauts // Lancet. 2000. V. 355. № 9215. P. 1607.
- Ward A.R., Robertson V.J., Ioannou H. The effect of duty cycle and frequency on muscle torque production using kilohertz frequency range alternating current // Med. Eng. Phys. 2004. V. 26. № 7. P. 569.
- Maffiuletti N.A., Herrero A.J., Jubeau M. et al. Differences in electrical stimulation thresholds between men and woman // Ann. Neurol. 2008. V. 63. № 4. P. 507.
- Petrofsky J. The effect of the subcutaneous fat on the transfer of current through skin and into muscle // Med. Eng. Phys. 2008. V. 30. № 9. P. 1168.
- Dantas L.O., Vieira A., Junior A.L.S. et al. Comparison between the effects of 4 different electrical stimulation current waveforms on isometric knee extension torque and perceived discomfort in healthy women // Muscle Nerve. 2015. V. 51. № 1. P. 76.
- Doheny E.P., Caulfield B.M., Minogue C.M., Lowery M.M. Effect of subcutaneous fat thickness and surface electrode configuration during neuromuscular electrical stimulation // Med. Eng. Phys. 2010. V. 32. № 5. P. 468.
- Коц Я.М. Тренировка мышечной силы методом электростимуляции. Сообщение I. Теоретические предпосылки // Теор. и практ. физ. культ. 1970. № 3. С. 64.
- Коц Я.М. Использование метода электростимуляции в спорте / Ком. по физ. культуре и спорту при Совете Министров СССР. Всесоюз. проблемный науч. совет. М.: Метод. кабинет ГЦОЛИФКа, 1971. 49 с.
- Salvini T.F., Durigan J.L., Peviani S.M., Russo Th.L. Effects of electrical stimulation and stretching on the adaptation of denervated skeletal muscle: implications for physical therapy // Rev. Bras. Fisioter. 2012. V. 16. № 3. P. 175.
- Thomas A.C., Stevens-Lapsley J.E. Importance of attenuating quadriceps activation deficits after total knee arthroplasty // Exerc. Sport Sci. Rev. 2012. V. 40. № 2. P. 95.
- Baroni B.M., Geremia J.M., Rodrigues R. et al. Functional and morphological adaptations to aging in knee extensor muscles of physically active men // J. Appl. Biomech. 2013. V. 29. № 5. P. 535.
- Vaz M.A.I., Baroni B.M., Geremia J.M. et al. Neuromuscular Electrical Stimulation [NMES] Reduces Structural and Functional Losses of Quadriceps Muscle and Improves Health Status in Patients with Knee Osteoarthritis // J. Orthop. Res. 2013. V. 31. № 4. P. 511.
- Gondin J., Patrick J., Cozzone P.J., Bendahan D. Is high-frequency neuromuscular electrical stimulation a suitable tool for muscle performance improvement in both healthy humans and athletes? // Eur. J. Appl. Physiol. 2011. V. 111. № 10. P. 2473.
- Sheffler L.R., Chae J. Neuromuscular electrical stimulation in neurorehabilitation // Muscle Nerve. 2007. V. 35. № 5. P. 562.
- Bax L., Filip S., Verhagen A. Does neuromuscular electrical stimulation strengthen the quadriceps femoris? A systematic review of randomized controlled trials // Sports Med. 2005. V. 35. № 3. P. 191.
- Vanderthommen M., Jacques D. Electrical stimulation as a modality to improve performance of neuromuscular system // Exerc. Sports Sci. Rev. 2007. V. 35. № 4. P. 180.
- Maffiuletti N.A. Physiological and methodological considerations for the use of neuromuscular electrical stimulation // Eur. J. Appl. Physiol. 2010. V. 110. № 2. P. 223.
- Currier D.P., Mann R. Muscular strength development byelectrical stimulation in healthy individuals // Phys. Ther. 1983. V. 63. № 6. P. 915.
- Eriksson E., Haggmark T., Kiessling K.H., Karlsson J. Effect of electrical stimulation on human skeletal muscle // Int. J. Sports Med. 1981. V. 2. № 1. P. 18.
- Kubiak R.J., Whitman K.M., Johnston R.M. Changes in quadriceps femoris muscle strength using isometric exercise versus electrical stimulation // J. Orthop. Sports Phys. Ther. 1987. V. 8. № 11. P. 537.
- Derr J., Goldsmith L.J. How to report non significant results: planning to make the best use of statistical power calculations // J. Orthop. Sports Phys. Ther. 2003. V. 33. № 6. P. 303.
- Eriksson E., Haggmark T. Comparison of isometic muscle training and electrical stimulation supplementing isometric muscle training in the recovery after major knee ligament surgery. A preliminary report // Amer. J. Sports Med. 1979. V. 7. № 3. P. 169.
- Selkowitz D.M. Improvement in isometric strength of the quadriceps femoris muscle after training with electricalstimulation // Phys. Ther. 1985. V. 65. № 2. P. 186.
- Snyder-Mackler L., Delitto A., Stralka S.W., Bailey S.L. Use of electrical stimulation to enhance recovery of quadriceps femoris muscle force production in patients following anterior cruciate ligament reconstruction // Phys. Ther. 1994. V. 74. № 10. P. 901.
- Lai H.S., De Domenico G., Strauss G.R. The effects of different electro-motor stimulation training instensitieson strength improvement // Aust. J. Physiother. 1988. V. 34. № 3. P. 151.
- Laughman R.K., Youdas J.W., Garrett T.R., Chao E.Y. Strength changes in the normal quadriceps femoris muscle as a result of electrical stimulation // Phys. Ther. 1983. V. 63. № 4. P. 494.
- Mohr T., Carlson B., Sulentic C., Landry R. Comparison of isometric exercise and high volt galvanic stimulation on quadriceps femoris muscle strength // Phys. Ther. 1985. V. 65. № 5. P. 606.
- Grosset J.-F., Canon F., Pérot Ch., Lambertz D. Changes in contractile and elastic properties of the triceps surae muscle induced by neuromuscular electrical stimulation training Introduction // Eur. J. Appl. Physiol. 2014. V. 114. № 7. P. 1403.
- Gondin J., Guette M., Ballay Y., Martin A. Neural and muscular changes to detraining after electrostimulation training // Eur. J. Appl. Physiol. 2006. V. 97. № 2. P. 165.
- Gondin J., Brocca L., Bellinzona E. et al. Neuromuscular electrical stimulation training induces atypical adaptations of the human skeletal muscle phenotype: a functional and proteomic analysis // J. Appl. Physiol. 2011. V. 110. № 2. P. 433.
- Snyder-Mackler L., Binder-Macleod S.A., Williams P.R. Fatigability of human quadriceps femoris muscle following anterior cruciate ligament reconstruction // Med. Sci. Sports Exerc. 1993. V. 25. № 7. P. 783.
- Parker M.G., Berhold M., Brown R. et al. Fatigue response in human quadriceps femoris muscle during high frequency electrical stimulation // J. Orthop. Sports Phys. Ther. 1986. V. 7. № 4. P. 145.
- Maffiuletti N.A., Pensini M., Martin A. Activation of human plantar flexor muscles increases after electromyostimulation training // J. Appl. Physiol. 2002. V. 92. № 4. P. 1383.
- Коц Я.М., Хвилон В.А. Тренировка мышечной силы методом электростимуляции. Сообщение 2. Тренировка методом электрического тетанического раздражения мышцы прямоугольными импульсами // Теория и практ. физич. культ. 1971. № 4. C. 66.
- Коряк Ю.А. Тренировочный эффект высокочастотной электрической стимуляции на переднюю большеберцовую мышцу у человека. I. Влияние на мышечную силу и площадь поперечного сечения // Физиология человека. 1993. Т. 19. № 1. C. 19.
- Коряк Ю.А. Тренировочный эффект высокочастотной электрической стимуляции на переднюю большеберцовую мышцу у человека. II. Влияние на скоростно-силовые свойства и работоспособность // Физиология человека. 1993. Т. 19. № 3. C. 125.
- Brown L.E., Weir J.P. ASEP procedures recommendation I: Accurate assessment of muscular strength and power // J. Exerc. Physiol. Online. 2001. V. 4. № 3. P. 1.
- Kawakami Y., Ichinose Y., Fukunaga T. Architectural and functional features of human triceps surae muscles during contraction // J. Appl. Physiol. 1998. V. 85. № 2. P. 398.
- Berg H.E., Tedner B., Tesch P.A. Changes in lower limb muscle cross-sectional area and tissue fluid volume after transition from standing to supine // Acta Physiol. Scand. 1993. V. 148. № 4. P. 379.
- Blaber A.P., Goswami N., Bondar R.L., Kassam M.S. Impairment of cerebral blood flow regulation in astronauts with orthostatic intolerance after flight // Stroke. 2011. V. 42. № 7. P. 1844.
- Blazevich A.J., Gil N.D., Zhou Sh. Intra- and intermuscular variation in human quadriceps femoris architecture assessed in vivo // J. Anat. 2006. V. 209. № 3. P. 289.
- Gondin J., Cozzone P.J., Bendahan D. Is high-frequency neuromuscular electrical stimulation a suitable tool for muscle performance improvement in both healthy humans and athletes? // Eur. J. Appl. Physiol. 2011. V. 111. № 10. P. 2473.
- Reeves N.D., Maganaris C.N., Narici M.V. Ultrasonographic assessment of human skeletal muscle size // Eur. J. Appl. Physiol. 2004. V. 91. № 1. P. 116.
- Fukunaga T., Ichinose Y., Ito M. et al. Determination of fascicle length and pennation in a contracting human muscle in vivo // J. Appl. Physiol. 1997. V. 82. № 1. P. 354.
- Koryak Yu.A. Architectural and functional specifics of the human triceps surae muscle in vivo and its adaptation to microgravity // J. Appl. Physiol. 2019. V. 126. № 4. P. 880.
- Koryak Yu.A. Changes in human skeletal muscle architecture and function induced by extended spaceflight // J. Biomechanics. 2019. V. 97. P. 109408.
- Kawakami Y., Abe T., Kuno S.Y., Fukunaga T. Training induced changes in muscle architecture and specific tension // Eur. J. Appl. Physiol. 1995. V. 72. № 1–2. P. 37.
- Bickel C.S., Slade J.M., Haddad F. et al. Acute molecular responses of skeletal muscle to resistance exercise in able-bodied and spinal cord-injured subjects // J. Appl. Physiol. 2003. V. 94. № 6. P. 2255.
- Gondin J., Guette M., Ballay Y., Martin A. Electromyostimulation Training Effects on Neural Drive and Muscle Architecture // Med. Sci. Sports Exerc. 2005. V. 37. № 8. P. 1291.
- Vaz M.A., Aragão F.A., Boschi E.S. et al. Effects of Russian current and low-frequency pulsed current on discomfort level and current amplitude at 10% maximal knee extensor torque // Physiother. Theory Pract. 2012. V. 28. № 8. P. 617.
- Suetta C., Andersen J.L., Dalgas U. et al. Resistance training induces qualitative changes in muscle morphology, muscle architecture, and muscle function in elderly postoperative patients // J. Appl. Physiol. 2008. V. 105. № 1. P. 180.
- Fukasblro S., Itoh M., Ichinose Y. et al. Ultгаsоnоgrарhу gives directly but noninvasively elastic characteristics of human tendon in vivo // Еur. J. Appl. Physiol. 1995. V. 71. № 6. P. 555.
- Тrestik С.L., Lieber R.L. Relationship between Achilles tendon mechanical properties and gastrocnemius muscle function // J. Bioтech. Eng. 1993. V. 115. № 3. P. 225.
- Miller R.G., Mirka A., Maxfield M. Rate of tension development in isometric contractions of a human hand muscle // Exp. Neurol. 1981. V. 73. № 1. P. 267.
- Bigland-Ritchie B., Johansson R., Lippold O.C.J., Woods J.J. Contractile speed and EMG changes during fatigue of sustained maximal voluntary contractions // J. Neurophysiol. 1983. V. 50. № 1. P. 313.
- Deley G., Cometti C., Fatnassi A. et al. Effects of combined electromyostimulation and gymnastics training in prepubertal girls // J. Strength Cond. Res. 2011. V. 25. № 2. P. 520.
- Wegrzyk J., Fouré A., Vilmen Ch. et al. Extra Forces induced by wide-pulse, high-frequency electrical stimulation: Occurrence, magnitude, variability and underlying mechanisms // Clin. Neurophysiol. 2015. V. 126. № 7. P. 1400.
- Gonnelli F., Rejc E., Giovanelli N. et al. Effects of NMES pulse width and intensity on muscle mechanical output and oxygen extraction in able-bodied and paraplegic individuals // Eur. J. Appl. Physiol. 2021. V. 121. № 6. P. 1653.
- Dantas L.O., Vieira A., Siqueira A.L., Jr. et al. Comparison between the effects of 4 different electrical stimulation current waveforms on isometric knee extension torque and perceived discomfort in healthy women // Muscle Nerve. 2015. V. 51. № 1. P. 76.
- Medeiros D.M., Lima C.S. Influence of chronic stretching on muscle performance: Systematic review // Hum. Mov. Sci. 2017. V. 54. P. 220.
- Hymes A.C., Raab D.E., Yonchird E.G. Acute pain control by electrostimulation: a preliminary report // Adv. Neurol. 1974. V. 4. P. 761.
- Lexell J., Henriksson-Larsen K., Sjostrom M. Distribution of different fibre types in human skeletal muscles. 2. A study of cross-sections of whole m. vastus lateralis // Acta Physiol. Scand. 1983. V. 117. № 1. P. 115.
- Knight C.A., Kamen G. Superficial motor units are larger than deeper motor units in human vastus lateralis muscle // Muscle Nerve. 2005. V. 31. № 4. P. 475.
- Blair E., Erlanger J. A comparison of the characteristics of axons through their individual electrical responses // Am. J. Physiol. 1933. V. 106. P. 524.
- Solomonow M. External control of the neuromuscular system // IEEE Trans. Biomed. Eng. 1984. V. 31. № 12. P. 752.
- Enoka R.M. Activation order of motor axons in electrically evoked contractions // Muscle Nerve. 2000. V. 25. № 6. P. 763.
- Almekinders L.C. Transcutaneous muscle stimulation for rehabilitation // Phys. Sportsmed. 1984. V. 12. P. 118.
- Drouin J.M., Valovich-McLeod T.C., Shultz S.J. et al. Reliability and validity of the Biodex system 3 pro isokinetic dynamometer velocity, torque and position measurements // Eur. J. Appl. Physiol. 2004. V. 91. № 1. P. 22.
- Van Driessche S., Van Roie E., Vanwanseele B., Delecluse Ch. Test-retest reliability of knee extensor rate of velocity and power development in older adults using the isotonic mode on a Biodex System 3 dynamomete // PLoS One. 2018. V. 13. № 5. P. e0196838.
Дополнительные файлы








