Анализ воспроизводимости показателей жировой и безжировой массы тела, полученных с применением биоимпедансометрии и ультразвукового сканирования в группе молодых людей
- Авторы: Бондарева Э.А.1, Парфентьева О.И.1,2, Васильева А.А.1,2, Кулемин Н.А.1, Попова Е.В.3, Гаджиахмедова А.Н.1,4, Ковалева О.Н.4, Хромов-Борисов Н.Н.5
-
Учреждения:
- ФГБУ Федеральный научно-клинический центр физико-химической медицины имени академика Ю.М. Лопухина ФМБА
- ФГБОУ ВО Московский государственный университет имени М.В. Ломоносова, НИИ и Музей антропологии
- ФГБОУ ВО Горно-Алтайский государственный университет
- ФГАОУ ВО Первый Московский государственный медицинский университет имени И.М. Сеченова Минздрава РФ (Сеченовский университет)
- ФГБУ Национальный медицинский исследовательский центр имени В.А. Алмазова
- Выпуск: Том 49, № 4 (2023)
- Страницы: 90-100
- Раздел: Статьи
- URL: https://ogarev-online.ru/0131-1646/article/view/139849
- DOI: https://doi.org/10.31857/S0131164622601002
- EDN: https://elibrary.ru/XBHLIW
- ID: 139849
Цитировать
Полный текст
Аннотация
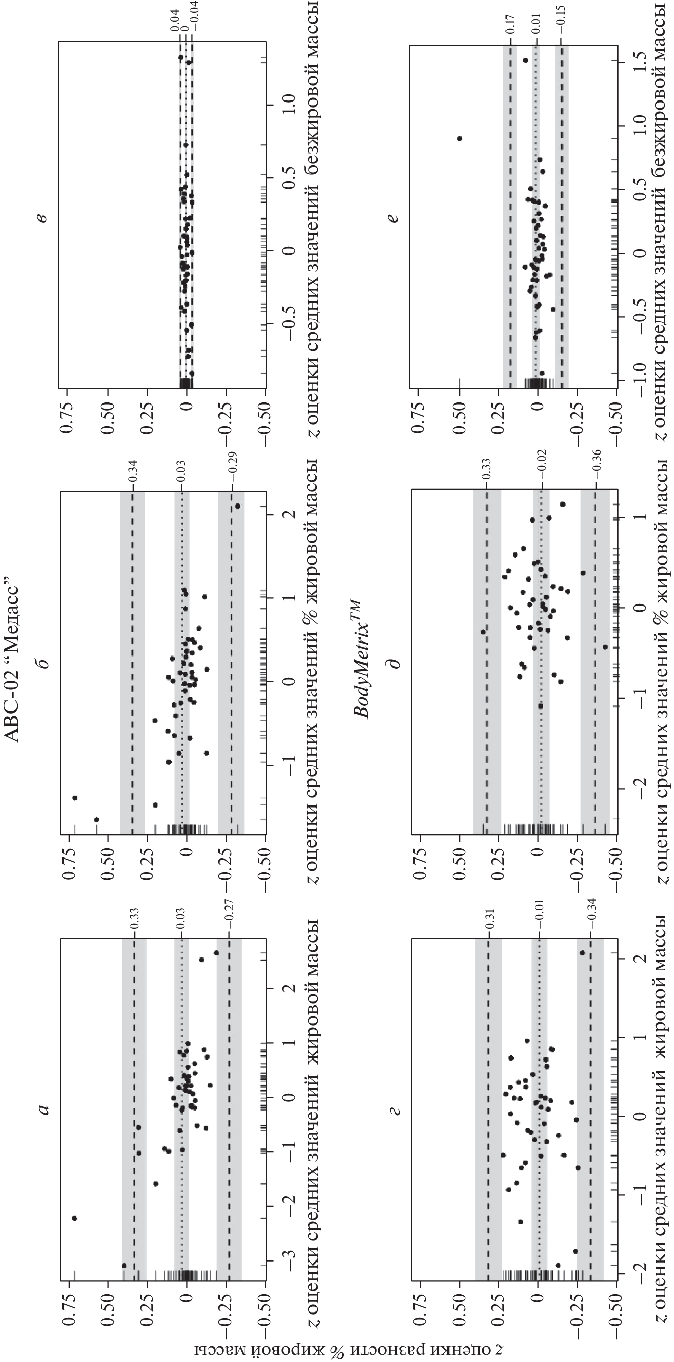
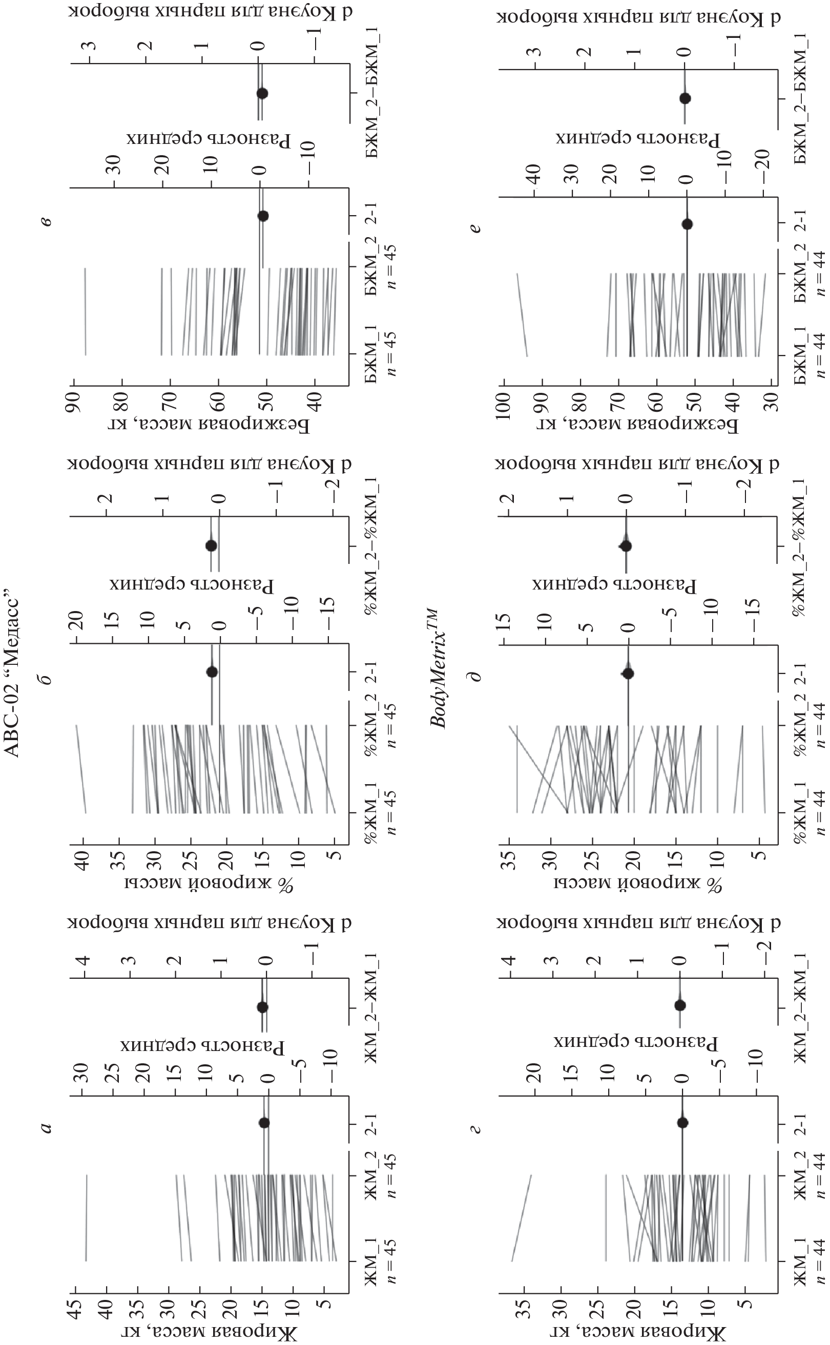
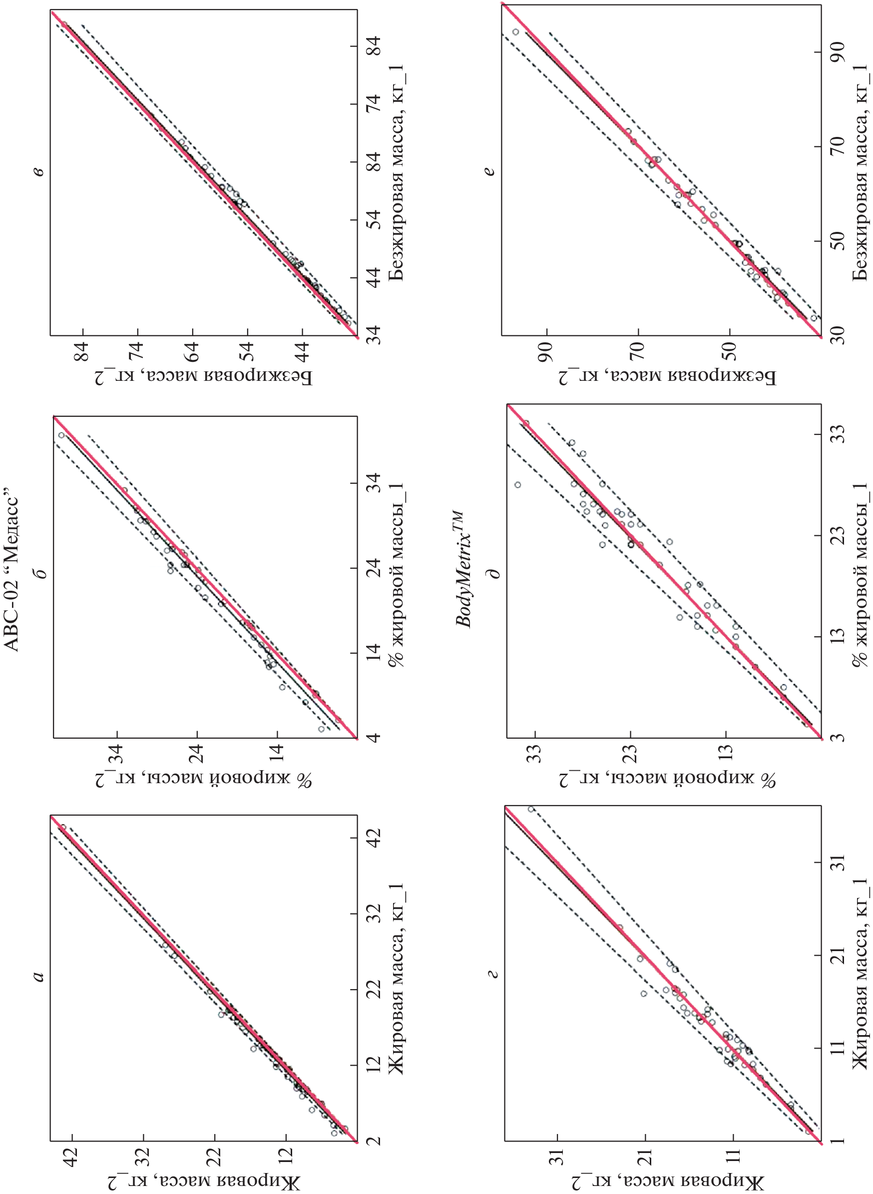
Проведен анализ воспроизводимости оценок абсолютных значений жировой (ЖМ) и безжировой массы (БЖМ) тела, а также доли ЖМ (%ЖМ), полученных с применением двух различных косвенных методов: биоимпедансометрии и ультразвукового сканирования в группе молодых взрослых. Для оценки воспроизводимости результатов определения состава тела, получаемых с применением биоимпедансного анализатора АВС-02 “Медасс” и ультразвукового сканера BodyMetrixTM были проведены повторные измерения каждым прибором в группе взрослых мужчин и женщин. Проведенный анализ свидетельствует о надежности получаемых оценок как на групповом, так и на индивидуальном уровнях и высокой воспроизводимости для методов ультразвукового исследования и биоимпедансного анализа, реализованных в данных приборах. Были выявлены сильные статистически значимые положительные корреляционные связи между оценками состава тела, полученными с применением АВС-02 “Медасс” и BodyMetrixTM, а также между повторными измерениями каждым из приборов. Проведенный анализ для приборов АВС-02 “Медасс” и BodyMetrixTM свидетельствует о хорошей воспроизводимости результатов измерения ЖМ и БЖМ у молодых мужчин и женщин. Особенно хорошо воспроизводятся результаты измерения БЖМ.
Ключевые слова
Об авторах
Э. А. Бондарева
ФГБУ Федеральный научно-клинический центр физико-химической медициныимени академика Ю.М. Лопухина ФМБА
Автор, ответственный за переписку.
Email: Bondareva.E@gmail.com
Россия, Москва
О. И. Парфентьева
ФГБУ Федеральный научно-клинический центр физико-химической медициныимени академика Ю.М. Лопухина ФМБА; ФГБОУ ВО Московский государственный университет имени М.В. Ломоносова,
НИИ и Музей антропологии
Email: Bondareva.E@gmail.com
Россия, Москва; Россия, Москва
А. А. Васильева
ФГБУ Федеральный научно-клинический центр физико-химической медициныимени академика Ю.М. Лопухина ФМБА; ФГБОУ ВО Московский государственный университет имени М.В. Ломоносова,
НИИ и Музей антропологии
Email: Bondareva.E@gmail.com
Россия, Москва; Россия, Москва
Н. А. Кулемин
ФГБУ Федеральный научно-клинический центр физико-химической медициныимени академика Ю.М. Лопухина ФМБА
Email: Bondareva.E@gmail.com
Россия, Москва
Е. В. Попова
ФГБОУ ВО Горно-Алтайский государственный университет
Email: Bondareva.E@gmail.com
Россия, Горно-Алтайск
А. Н. Гаджиахмедова
ФГБУ Федеральный научно-клинический центр физико-химической медициныимени академика Ю.М. Лопухина ФМБА; ФГАОУ ВО Первый Московский государственный медицинский университет
имени И.М. Сеченова Минздрава РФ (Сеченовский университет)
Email: Bondareva.E@gmail.com
Россия, Москва; Россия, Москва
О. Н. Ковалева
ФГАОУ ВО Первый Московский государственный медицинский университетимени И.М. Сеченова Минздрава РФ (Сеченовский университет)
Email: Bondareva.E@gmail.com
Россия, Москва
Н. Н. Хромов-Борисов
ФГБУ Национальный медицинский исследовательский центримени В.А. Алмазова
Email: Bondareva.E@gmail.com
Россия, Санкт-Петербург
Список литературы
- Price K.L., Earthman C.P. Update on body composition tools in clinical settings: computed tomography, ultrasound, and bioimpedance applications for assessment and monitoring // Eur. J. Clin. Nutr. 2019. V. 73. № 2. P. 187.
- Соболева Н.П., Руднев С.Г., Николаев Д.В. и др. Биоимпедансный скрининг населения России в центрах здоровья: распространенность избыточной массы тела и ожирения // Российский медицинский журн. 2014. № 4. С. 4.
- Wagner D.R. Ultrasound as a tool to assess body fat // J. Obes. 2013. V. 2013. P. 280713.
- Bielemann R.M, Gonzalez M.C., Barbosa-Silva T.G. et al. Estimation of body fat in adults using a portable A-mode ultrasound // UNSCN Nutr. 2015. V. 32. № 4. P. 441.
- Бондарева Э.А., Парфентьева О.И. Анализ согласованности показателей состава тела, полученных с использованием методов биоимпедансометрии и ультразвукового сканирования // Экология человека. 2021. Т. 28. № 10. С. 57.
- Bai M., Susic D., O’Sullivan A.J., Henry A. Reproducibility of Bioelectrical Impedance Analysis in Pregnancy and the Association of Body Composition with the Risk of Gestational Diabetes: A Substudy of MUMS Cohort // J. Obes. 2020. V. 2020. P. 3128767.
- Ballesteros-Pomar M.D., González-Arnáiz E., Pintor-de-la Maza B. et al. Bioelectrical impedance analysis as an alternative to dual-energy x-ray absorptiometry in the assessment of fat mass and appendicular lean mass in patients with obesity // Nutrition. 2022. V. 93. P. 111442.
- Rudnev S., Burns J.S., Williams P.L. et al. Comparison of bioimpedance body composition in young adults in the Russian Children’s Study // Clin. Nutr. ESPEN. 2020. V. 35. P. 153.
- Jackson A.S., Pollock M.L. Generalized equations for predicting body density of men // Br. J. Nutr. 1978. V. 40. № 3. P. 497.
- Jackson A.S., Pollock M.L., Ward A. Generalized equations for predicting body density of women // Med. Sci. Sports Exerc. 1980. V. 12. № 3. P. 175.
- Николаев Д.В., Смирнов А.В., Бобринская И.Г., Руднев С.Г. Биоимпедансный анализ состава тела человека. M.: Наука, 2009. 392 с.
- Liu X.S., Pompey K.T. Bootstrap estimate of bias for intraclass correlation // J. Appl. Meas. 2020. V. 21. № 1. P. 101.
- Ho J., Tumkaya T., Aryal S. et al. Moving beyond P values: data analysis with estimation graphics // Nat. Methods. 2019. V. 16. № 7. P. 565.
- Kottner J., Audigé L., Brorson S. et al. Guidelines for reporting reliability and agreement studies (GRRAS) were proposed // J. Clin. Epidemiol. 2011. V. 64. № 1. P. 96.
- Martins W.P., Nastri C.O. Interpreting reproducibility results for ultrasound measurements // Ultrasound Obstet. Gynecol. 2014. V. 43. № 4. P. 479.
- Bland J., Altman D. Statistical methods for assessing agreement between two methods of clinical measurement // Lancet. 1986. V. 1. № 8476. P. 307.
- Nickerson B.S., McLester C.N., McLester J.R., Kliszczewicz B.M. Agreement Between 2 Segmental Bioimpedance Devices, BOD POD, and DXA in Obese Adults // J. Clin. Densitom. 2020. V. 23. № 1. P. 138.
- Yang S.W., Kim T.H., Choi H.M. The reproducibility and validity verification for body composition measuring devices using bioelectrical impedance analysis in Korean adults // J. Exerc. Rehabil. 2018. V. 14. № 4. P. 621.
- Hamilton-James K., Collet T.H., Pichard C. et al. Precision and accuracy of bioelectrical impedance analysis devices in supine versus standing position with or without retractable handle in Caucasian subjects // Clin. Nutr. ESPEN. 2021. V. 45. P. 267.
- Parker H., Hunt E.T., Brazendale K. et al. Accuracy and Precision of Opportunistic Measures of Body Composition from the Tanita DC-430U // Child. Obes. 2022. https://doi.org/10.1089/chi.2022.0084
- Miclos-Balica M., Muntean P., Schick F. et al. Reliability of body composition assessment using A-mode ultrasound in a heterogeneous sample // Eur. J. Clin. Nutr. 2021. V. 75. № 3. P. 438.
- Elsey A.M., Lowe A.K., Cornell A.N. et al. Comparison of the Three-Site and Seven-Site Measurements in Female Collegiate Athletes Using BodyMetrix™ // Int. J. Exerc. Sci. 2021. V. 14. № 4. P. 230.
- Ribeiro G., de Aguiar R.A., Penteado R. et al. A-Mode Ultrasound Reliability in Fat and Muscle Thickness Measurement // J. Strength Cond. Res. 2022. V. 36. № 6. P. 1610.
- Totosy de Zepetnek J.O., Lee J.J., Boateng T. et al. Test-retest reliability and validity of body composition methods in adults // Clin. Physiol. Funct. Imaging. 2021. V. 41. № 5. P. 417.
- Hendrickson N., Davison J., Schiller L., Willey M. Reliability and Validity of A-Mode Ultrasound to Quantify Body Composition // J. Orthop. Trauma. 2019. V. 33. № 9. P. 472.
- Wagner D.R., Teramoto M. Interrater reliability of novice examiners using A-mode ultrasound and skinfolds to measure subcutaneous body fat // PloS One. 2020. V. 15. № 12. P. e0244019.
Дополнительные файлы




