The Influence of Balance Training on Regulation of Postural Balance in Physically Active Girls
- Authors: Melnikov A.A.1, Smirnova P.A.2, Fedorov A.M.3, Malahov M.V.4
-
Affiliations:
- Russian University of Sport “GTSOLIFK”,
- Yaroslavl State Pedagogical University named after K.D. Ushinsky
- Cherepovets State University
- Yaroslavl State Medical University
- Issue: Vol 49, No 5 (2023)
- Pages: 74-86
- Section: Articles
- URL: https://ogarev-online.ru/0131-1646/article/view/139844
- DOI: https://doi.org/10.31857/S0131164623700340
- EDN: https://elibrary.ru/XGXCSP
- ID: 139844
Cite item
Full Text
Abstract
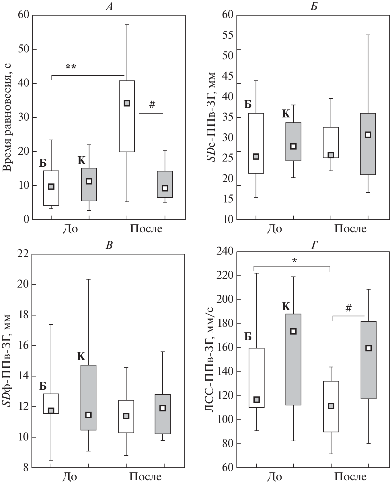
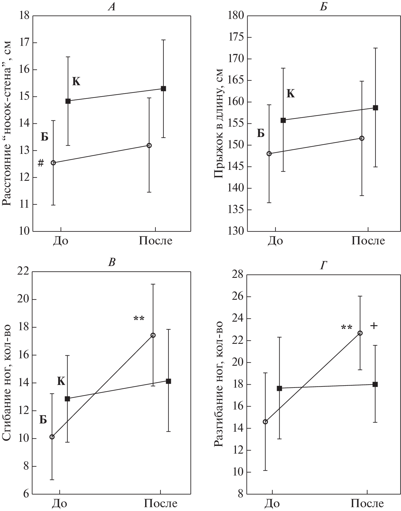
The aim of the work was to study the influence of balance training on the regulation of the balance of the monosupport posture of young physically active girls (n = 26, 17–21 years old). For 10 weeks (3 times a week), 13 girls trained according to the program of training the ability to maintain balance in postures on unstable (balance-simulators) and supports limited in area, and 13 girls made up the “Control”. The stability of the monosupport posture was analyzed by the speed and area of fluctuations in the common center of pressure (COP) in static (in a stance on a fixed stabiloplatform with open (OE) and closed (CE) eyes) and semi-dynamic conditions (in a stance at low h = 12 cm with OE and CE and high h = 30 cm see-saw with CE). Strength abilities of the thigh muscles and extensibility of the calf muscles were recorded using functional tests. Proprioceptive sensitivity was defined as an reproduction error of the tilt of the straight body in the ankle joint. Compared with the “Control” group, the trained girls showed an significant increase in the strength endurance of the hip extensors and flexors, the accuracy of reproduction of the inclination of the vertical body, as well as the stability of the monosupport posture in static and semi-dynamic positions only with closed eyes. Effect size of the balance-training was greatest in improving the postural stability on the see-saw with CE. The suggested mechanisms for improving postural stability are an increase in the strength abilities of the leg muscles and the specific proprioceptive sensitivity of the postural system.
About the authors
A. A. Melnikov
Russian University of Sport “GTSOLIFK”,
Author for correspondence.
Email: meln1974@yandex.ru
Russia, Moscow
P. A. Smirnova
Yaroslavl State Pedagogical University named after K.D. Ushinsky
Email: meln1974@yandex.ru
Russia, Yaroslavl
A. M. Fedorov
Cherepovets State University
Email: meln1974@yandex.ru
Russia, Cherepovets
M. V. Malahov
Yaroslavl State Medical University
Email: meln1974@yandex.ru
Russia, Yaroslavl
References
- Brachman A., Kamieniarz A., Michalska J. et al. Balance Training Programs in Athletes – a Systematic Review // J. Hum. Kinet. 2017. V. 58. P. 45.
- Gebel A., Lesinski M., Behm D.G., Granacher U. Effects and Dose-Response Relationship of Balance Training on Balance Performance in Youth: A Systematic Review and Meta-Analysis // Sports Med. 2018. V. 48. № 9. P. 2067.
- Khalid K., Anwar N., Saqulain G., Afzal M.F. Neuromuscular Training following Anterior Cruciate Ligament reconstruction – Pain, Function, Strength, Power & Quality of Life Perspective: A Randomized Control Trial. // Pak. J. Med. Sci. 2022. V. 38. № 8. P. 2175.
- Zech A., Hübscher M., Vogt L. et al. Balance training for neuromuscular control and performance enhancement: a systematic review // J. Athl. Train. 2010. V. 45. № 4. P. 392.
- Duque G., Boersma D., Loza-Diaz G. et al. Effects of balance training using a virtual-reality system in older fallers // Clin. Interv. Aging. 2013. V. 8. P. 257.
- Zhou L., Gong W., Wang S. et al. Combined balance and plyometric training enhances knee function, but not proprioception of elite male badminton players: A pilot randomized controlled study // Front. Psychol. 2022. V. 13. P. 947877.
- Rivera M.J., Winkelmann Z.K., Powden C.J., Games K.E. Proprioceptive Training for the Prevention of Ankle Sprains: An Evidence-Based Review // J. Athl. Train. 2017. V. 52. № 11. P. 1065.
- Yaggie J.A., Campbell B.M. Effects of balance training on selected skills // J. Strength. Cond. Res. 2006. V. 20. № 2. P. 422.
- Mahmoud M.H. Balance exercises as the basis for developing the level of physical and skill performance in basketball young players // World J. Sport Sci. 2011. V. 4. № 2. P. 172.
- Marotta N., Moggio L., Calafiore D. et al. Efficacy of Proprioceptive Training on Plantar Pressure and Jump Performance in Volleyball Players: A Proof-of-Principle Study // Sensors (Basel). 2023. V. 23. № 4. P. 1906.
- Behrens M., Mau-Moeller A., Wassermann F. et al. Effect of balance training on neuromuscular function at rest and during isometric maximum voluntary contraction // Eur. J. Appl. Physiol. 2015. V. 115. № 5. P. 1075.
- Giboin L.S., Gruber M., Kramer A. Task-specificity of balance training // Hum. Mov. Sci. 2015. V. 44. P. 22.
- Henry M., Baudry S. Age-related changes in leg proprioception: implications for postural control // J. Neurophysiol. 2019. V. 122. № 2. P. 525.
- Мельников А.А., Смирнова П.А., Федоров А.М., Малахов М.В. Влияние силовой тренировки нижних конечностей на постуральную устойчивость физически активных девушек // Физиология человека. 2022. Т. 48. № 6. С. 76. Melnikov A.A., Smirnova P.A., Fedorov A.M., Malahov M.V. The influence of lower limbs strength training on the postural stability of physically active girls // Human Physiology. 2022. V. 48. № 6. P. 696.
- Hoch M.C., Staton G.S., McKeon P.O. Dorsiflexion range of motion significantly influences dynamic balance // J. Sci. Med. Sport. 2011. V. 14. № 1. P. 90.
- Cohen J. Statistical power analysis for the behavioral sciences. N.Y.: Lawrence Earlbaum Associates, 1988. P. 568.
- Saunders N.W., Hanson N.J., Koutakis P. et al. Figure skater level moderates balance training // Int. J. Sports Med. 2013. V. 34. № 4. P. 345.
- Riemann B.L., Tray N.C., Lephart S.M. Unilateral multiaxial coordination training and ankle kinesthesia, muscle strength, and postural control // J. Sport Rehabil. 2003. V. 12. № 1. P. 13.
- Kümmel J., Kramer A., Giboin L.S., Gruber M. Specificity of Balance Training in Healthy Individuals: A Systematic Review and Meta-Analysis // Sports Med. 2016. V. 46. № 9. P. 1261.
- Sheth P., Yu B., Laskowski E.R., An K.-N. Ankle disk training influences reaction times of selected muscles in a simulated ankle sprain // Am. J. Sports Med. 1997. V. 25. № 4. P. 538.
- Xiao S., Wang B., Zhang X. et al. Effects of 4 Weeks of High-Definition Transcranial Direct Stimulation and Foot Core Exercise on Foot Sensorimotor Function and Postural Control // Front. Bioeng. Biotechnol. 2022. V. 10. P. 894131.
- Song C.H., Petrofsky J.S., Lee S.W. et al. Effects of an exercise program on balance and trunk proprioception in older adults with diabetic neuropathies // Diabetes Technol. Ther. 2011. V. 13. № 8. P. 803.
Supplementary files




