Cвязь нейронных осцилляций субталамического ядра в бета-диапазоне с клиническими симптомами болезни Паркинсона
- Авторы: Сайфулина К.Э.1, Филюшкина В.И.1, Гамалея А.А.2, Томский А.А.2, Седов А.С.1, Белова Е.М.1
-
Учреждения:
- ФГБУН Федеральный исследовательский центр химической физики имени Н.Н. Семёнова РАН
- ФГАУ “НМИЦ нейрохирургии имени академика Н.Н. Бурденко” МЗ РФ
- Выпуск: Том 49, № 5 (2023)
- Страницы: 43-52
- Раздел: Статьи
- URL: https://ogarev-online.ru/0131-1646/article/view/139838
- DOI: https://doi.org/10.31857/S0131164623700364
- EDN: https://elibrary.ru/XCUXMI
- ID: 139838
Цитировать
Полный текст
Аннотация
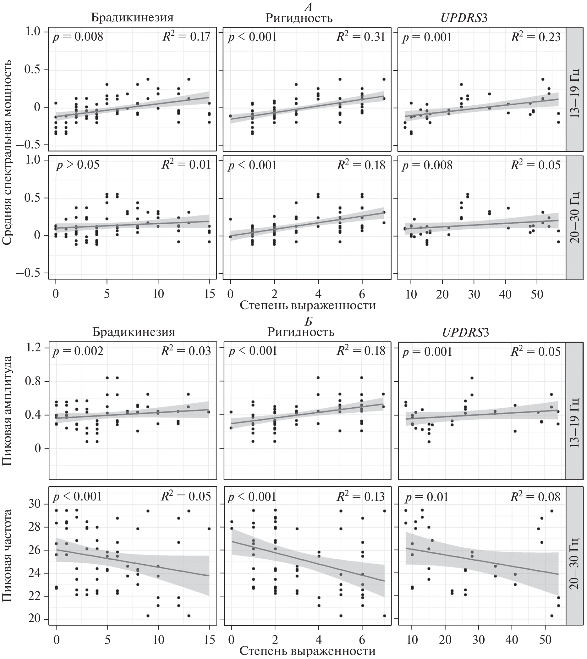
Патологическое усиление β-осцилляций в субталамическом ядре (СТЯ) считается одним из основных нейрофизиологических биомаркеров болезни Паркинсона. Ряд данных указывает на возможные функциональные различия между низкочастотным (13–19 Гц) и высокочастотным (20–30 Гц) β-поддиапазонами, но полного понимания их специализации все еще нет. В исследование было включено 6 пациентов с болезнью Паркинсона (БП), которым вживляли в СТЯ электроды для глубинной стимуляции мозга (DBS). После операции электроды с помощью удлинителей временно выводили наружу, регистрацию локальных потенциалов СТЯ осуществляли до и после приема леводопы в постоперационный период. Была изучена связь между параметрами низкочастотной (13–19 Гц) и высокочастотной (20–30 Гц) β-активности и двигательными симптомами. Выраженность β-осцилляций оценивали по средней спектральной мощности в интересующем диапазоне и ряду других параметров. Средняя спектральная мощность в обоих поддиапазонах уменьшалась после приема препаратов леводопы. В низкочастотном β-поддиапазоне средняя спектральная мощность коррелировала с оценками по трем шкалам двигательных симптомов (UPDRS3, ригидность и гипокинезия), в то время как в высокочастотном β-поддиапазоне значение этого параметра коррелировало только с ригидностью. Помимо средней спектральной мощности анализировали количество и параметры пиков осцилляций, выявленных на спектрах в указанных диапазонах. Большинство обнаруженных пиков осцилляций было сосредоточено в высокочастотном β-поддиапазоне. После приема препаратов леводопы их число значимо сокращалось, тогда, как немногочисленные низкочастотные β-пики почти полностью исчезали, поэтому параметры этих осцилляций при переходе из периода выключения в период включения не анализировались. Частота и амплитуда высокочастотных β-пиков изменялись при переходе из периода выключения к периоду включения и коррелировали только с оценкой ригидности. Результаты показывают, что, хотя и низкочастотный, и высокочастотный β-диапазоны реагируют на изменения медикаментозного состояния пациентов, между ними существуют функциональные различия: низкочастотный β-диапазон неспецифически отражает двигательные симптомы, в то время как высокочастотный β-диапазон более специализирован и отражает преимущественно выраженность ригидности у пациентов с болезнью Паркинсона.
Ключевые слова
Об авторах
К. Э. Сайфулина
ФГБУН Федеральный исследовательский центр химической физикиимени Н.Н. Семёнова РАН
Автор, ответственный за переписку.
Email: kseniasayfulina@gmail.com
Россия, Москва
В. И. Филюшкина
ФГБУН Федеральный исследовательский центр химической физикиимени Н.Н. Семёнова РАН
Email: kseniasayfulina@gmail.com
Россия, Москва
А. А. Гамалея
ФГАУ “НМИЦ нейрохирургии имени академика Н.Н. Бурденко” МЗ РФ
Email: kseniasayfulina@gmail.com
Россия, Москва
А. А. Томский
ФГАУ “НМИЦ нейрохирургии имени академика Н.Н. Бурденко” МЗ РФ
Email: kseniasayfulina@gmail.com
Россия, Москва
А. С. Седов
ФГБУН Федеральный исследовательский центр химической физикиимени Н.Н. Семёнова РАН
Email: kseniasayfulina@gmail.com
Россия, Москва
Е. М. Белова
ФГБУН Федеральный исследовательский центр химической физикиимени Н.Н. Семёнова РАН
Email: kseniasayfulina@gmail.com
Россия, Москва
Список литературы
- Бриль Е.В., Белова Е.М., Седов А.С. и др. Современные представления о механизмах нейростимуляции при болезни Паркинсона // Анналы клинической и экспериментальной неврологии. 2022. Т. 16. № 2. С. 89. Bril E.V., Belova E.M., Sedov A.S. et al. Current understanding of neurostimulation for Parkinson’s disease // Ann. Clin. Exp. Neurol. 2022. V. 16. № 2. P. 89.
- Armstrong M.J., Okun M.S. Diagnosis and Treatment of Parkinson Disease: A Review // JAMA. 2020. V. 323. № 6. P. 548.
- Chung C.L., Mak M.K., Hallett M. Transcranial Magnetic Stimulation Promotes Gait Training in Parkinson Disease // Ann. Neurol. 2020. V. 88. № 5. P. 933.
- Zhang W., Deng B., Xie F. et al. Efficacy of repetitive transcranial magnetic stimulation in Parkinson’s disease: A systematic review and meta-analysis of randomised controlled trials // eClinicalMedicine. 2022. V. 52. P. 101589.
- Deng Z.-D., Lisanby S.H., Peterchev A.V. Coil design considerations for deep transcranial magnetic stimulation // Clin. Neurophysiol. 2014. V. 125. № 6. P. 1202.
- Levy R., Ashby P., Hutchison W.D. et al. Dependence of subthalamic nucleus oscillations on movement and dopamine in Parkinson’s disease // Brain. 2002. V. 125. Pt. 6. P. 1196.
- Little S., Brown P. The functional role of beta oscillations in Parkinson’s disease // Parkinsonism Relat. Disord. 2014. V. 20. Suppl 1. P. S44.
- Wang D.D., de Hemptinne C., Miocinovic S. et al. Subthalamic local field potentials in Parkinson’s disease and isolated dystonia: An evaluation of potential biomarkers // Neurobiol. Dis. 2016. V. 89. P. 213.
- Geraedts V.J., Boon L.I., Marinus J. et al. Clinical correlates of quantitative EEG in Parkinson disease: A systematic review // Neurology. 2018. V. 91. № 19. P. 871.
- Melgari J.-M., Curcio G., Mastrolilli F. et al. Alpha and beta EEG power reflects L-dopa acute administration in parkinsonian patients // Front. Aging Neurosci. 2014. V. 6. P. 302.
- He X., Zhang Y., Chen J. et al. The patterns of EEG changes in early-onset Parkinson’s disease patients // Int. J. Neurosci. 2017. V. 127. № 11. P. 1028.
- Stanzione P., Marciani M.G., Maschio M. et al. Quantitative EEG changes in non-demented Parkinson’s disease patients before and during L-dopa therapy // Eur. J. Neurol. 1996. V. 3. № 4. P. 354.
- Marceglia S., Foffani G., Bianchi A.M. et al. Dopamine-dependent non-linear correlation between subthalamic rhythms in Parkinson’s disease: Dopamine-dependent segregation between STN rhythms // J. Physiol. 2006. V. 571. Pt. 3. P. 579.
- Oswal A., Beudel M., Zrinzo L. et al. Deep brain stimulation modulates synchrony within spatially and spectrally distinct resting state networks in Parkinson’s disease // Brain. 2016. V. 139. Pt. 5. P. 1482.
- Gramfort A., Luessi M., Larson E. et al. MEG and EEG data analysis with MNE-Python // Front. Neurosci. 2013. V. 7. P. 267.
- Donoghue T., Haller M., Peterson E.J. et al. Parameterizing neural power spectra into periodic and aperiodic components // Nat. Neurosci. 2020. V. 23. № 12. P. 1655.
- Linear Mixed-Effects Models: Basic Concepts and Examples / Mixed-Effects Models in S and S-PLUS: Statistics and Computing. N.Y.: Springer-Verlag, 2000. P. 3.
- Bates D., Mächler M., Bolker B., Walker S. Fitting Linear Mixed-Effects Models Using lme4 // J. Stat. Softw. 2015. V. 67. № 1. P. 1.
- Kuznetsova A., Brockhoff P.B., Christensen R.H.B. lmerTest Package: Tests in Linear Mixed Effects Models // J. Stat. Softw. 2017. V. 82. № 13. P. 1.
- Halekoh U., Højsgaard S. A Kenward-Roger Approximation and Parametric Bootstrap Methods for Tests in Linear Mixed Models – The R Package pbkrtest // J. Stat. Softw. 2014. V. 59. № 9. P. 1.
- van Wijk B.C.M., de Bie R.M.A., Beudel M. A systematic review of local field potential physiomarkers in Parkinson’s disease: from clinical correlations to adaptive deep brain stimulation algorithms // J. Neurol. 2022. V. 270. № 2. P. 1162.
- Kilavik B.E., Ponce-Alvarez A., Trachel R. et al. Context-Related Frequency Modulations of Macaque Motor Cortical LFP Beta Oscillations // Cereb. Cortex. 2012. V. 22. № 9. P. 2148.
- Canessa A., Palmisano C., Isaias I.U., Mazzoni A. Gait-related frequency modulation of beta oscillatory activity in the subthalamic nucleus of parkinsonian patients // Brain Stimul. 2020. V. 13. № 6. P. 1743.
- Foffani G., Bianchi A.M., Baselli G., Priori A. Movement-related frequency modulation of beta oscillatory activity in the human subthalamic nucleus: Movement-related FM in the human STN // J. Physiol. 2005. V. 568. Pt. 2. P. 699.
- Feldmann L.K., Lofredi R., Neumann W.-J. et al. Toward therapeutic electrophysiology: beta-band suppression as a biomarker in chronic local field potential recordings // NPJ Parkinsons Dis. 2022. V. 8. № 1. P. 44.
- Iskhakova L., Rappel P., Deffains M. et al. Modulation of dopamine tone induces frequency shifts in cortico-basal ganglia beta oscillations // Nat. Commun. 2021. V. 12. № 1. P. 7026.
- Johnson M.D., Zhang J., Ghosh D. et al. Neural targets for relieving parkinsonian rigidity and bradykinesia with pallidal deep brain stimulation // J. Neurophysiol. 2012. V. 108. № 2. P. 567.
Дополнительные файлы





