Влияние визуальной оценки расстояния до слушателя на частоту основного тона голоса диктора в условиях шума
- Авторы: Луничкин А.М.1, Гвоздева А.П.1, Андреева И.Г.1
-
Учреждения:
- ФГБУН Институт эволюционной физиологии и биохимии имени И.М. Сеченова РАН
- Выпуск: Том 49, № 3 (2023)
- Страницы: 87-95
- Раздел: Статьи
- URL: https://ogarev-online.ru/0131-1646/article/view/139819
- DOI: https://doi.org/10.31857/S0131164622600987
- EDN: https://elibrary.ru/GBDNUW
- ID: 139819
Цитировать
Полный текст
Аннотация
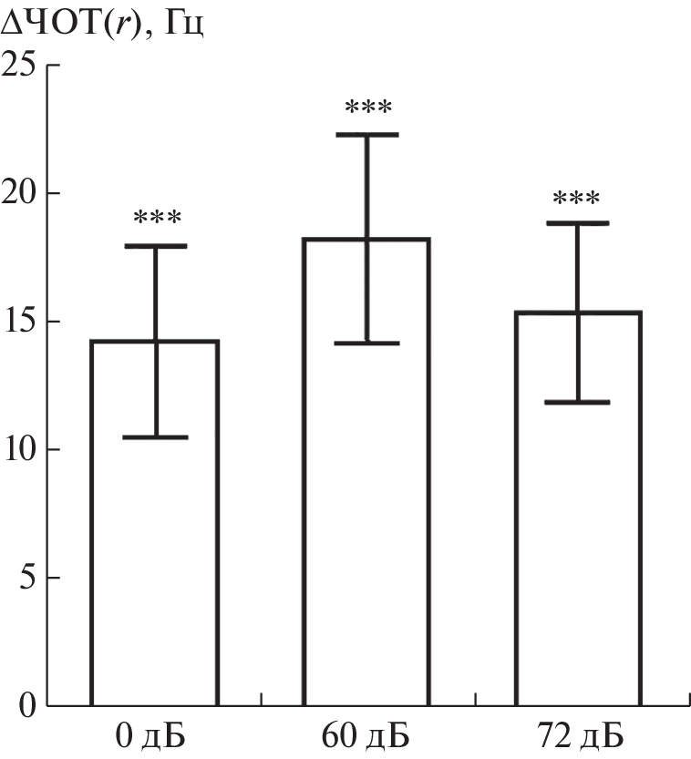
Ломбардная речь представляет собой непроизвольные адаптивные изменения голосообразования под влиянием шума. В данной работе была проверена гипотеза о взаимодействии непроизвольного слухоречевого контроля, характерного для нее, и произвольного контроля фонации, который возникает в результате визуальной оценки расстояния до слушателя. Оценивали частоту основного тона голоса (ЧОТ) при визуальной оценке расстояния между диктором и слушателем (1 и 4 м) в условиях шума многоголосия (60 и 72 дБ) и при фронтальном расположении последнего. В работе принимали участие 9 русскоязычных дикторов – женщин 20–35 лет с нормальным слухом. Получили повышение значений ЧОТ дикторов при усложнении коммуникативной ситуации как в случае усиления уровня фонового шума, так и при увеличении расстояния между диктором и слушателем. В тишине и при двух уровнях шума после увеличения расстояния до слушателя прирост значений ЧОТ (△ЧОТ) составил 14, 18 и 15 Гц, соответственно, и достоверно не различался (p > 0.05, n = 288). При сохранении коммуникативной дистанции шум многоголосия уровнем 60 и 72 дБ приводил к достоверно различающимся значениям △ЧОТ: при 1 м – 14 и 32 Гц (p < 0.001, n = 288), а при 4 м – 18 и 33 Гц (p < 0.001, n = 288), соответственно. Полученные данные свидетельствуют о независимом и аддитивном влиянии факторов шума и коммуникативного расстояния на фонацию.
Об авторах
А. М. Луничкин
ФГБУН Институт эволюционной физиологии и биохимииимени И.М. Сеченова РАН
Автор, ответственный за переписку.
Email: BolverkDC@mail.ru
Россия, Санкт-Петербург
А. П. Гвоздева
ФГБУН Институт эволюционной физиологии и биохимииимени И.М. Сеченова РАН
Email: BolverkDC@mail.ru
Россия, Санкт-Петербург
И. Г. Андреева
ФГБУН Институт эволюционной физиологии и биохимииимени И.М. Сеченова РАН
Email: BolverkDC@mail.ru
Россия, Санкт-Петербург
Список литературы
- Hage S.R., Nieder A. Dual neural network model for the evolution of speech and language // Trends Neurosci. 2016. V. 39. № 12. P. 813.
- Brumm H., Zollinger S.A. The evolution of the Lombard effect: 100 years of psychoacoustic research // Behaviour. 2011. V. 148. № 11–13. P. 1173.
- Luo J., Hage S.R., Moss C.F. The Lombard effect: from acoustics to neural mechanisms // Trends Neurosci. 2018. V. 41. № 12. P. 938.
- Liénard J.S., Di Benedetto M.G. Effect of vocal effort on spectral properties of vowels // J. Acoust. Soc. Am. 1999. V. 106. № 1. P. 411.
- Traunmüller H., Eriksson A. Acoustic effects of variation in vocal effort by men, women, and children // J. Acoust. Soc. Am. 2000. V. 107. № 6. P. 3438.
- Koenig L.L., Fuchs S. Vowel formants in normal and loud speech // J. Speech Lang. Hear. Res. 2019. V. 62. № 5. P. 1278.
- Nonaka S., Takahashi R., Enomoto K. et al. Lombard reflex during PAG-induced vocalization in decerebrate cats // Neurosci. Res. 1997. V. 29. № 4. P. 283.
- Hage S.R., Jürgens U., Ehret G. Audio–vocal interaction in the pontine brainstem during self-initiated vocalization in the squirrel monkey // Eur. J. Neurosci. 2006. V. 23. № 12. P. 3297.
- Garnier M., Henrich N., Dubois D. Influence of Sound Immersion and Communicative Interaction on the Lombard Effect // J. Speech Lang. Hear. Res. 2010. V. 53. № 3. P. 588.
- Pick H.L., Jr., Siegel G.M., Fox P.W. et al. Inhibiting the Lombard effect // J. Acoust. Soc. Am. 1989. V. 85. № 2. P. 894.
- Therrien A.S., Lyons J., Balasubramaniam R. Sensory attenuation of self-produced feedback: the Lombard effect revisited // PLoS One. 2012. V. 7. № 11. P. e49370.
- Tonkinson S. The Lombard effect in choral singing // J. Voice. 1994. V. 8. № 1. P. 24.
- Bottalico P., Graetzer S., Hunter E.J. Effect of training and level of external auditory feedback on the singing voice: volume and quality // J. Voice. 2016. V. 30. № 4. P. 434.
- Weisser A., Miles K., Richardson M.J., Buchholz J.M. Conversational distance adaptation in noise and its effect on signal-to-noise ratio in realistic listening environments // J. Acoust. Soc. Am. 2021. V. 149. № 4. P. 2896.
- Fux T., Feng G., Zimpfer V. Talker-to-listener distance effects on the variations of the intensity and the fundamental frequency of speech / 2011 IEEE International Conference on Acoustics, Speech and Signal Processing (ICASSP), May 22–27, 2011. P. 4964.
- Hage S.R., Jürgens U. On the role of the pontine brainstem in vocal pattern generation: a telemetric single-unit recording study in the squirrel monkey // J. Neurosci. 2006. V. 26. № 26. P. 7105.
- Pieper F., Jürgens U. Neuronal activity in the inferior colliculus and bordering structures during vocalization in the squirrel monkey // Brain Res. 2003. V. 979. № 1–2. P. 153.
- Pelegrín-García D., Smits B., Brunskog J., Jeong C.H. Vocal effort with changing talker-to-listener distance in different acoustic environments // J. Acoust. Soc. Am. 2011. V. 129. № 4. P. 1981.
- Keith R.W. Development and standardization of SCAN-C Test for Auditory Processing Disorders in Children // J. Acoust. Soc. Am. 2000. V. 11. № 8. P. 438.
- Andreeva I.G., Dymnikowa M., Gvozdeva A.P. et al. Spatial separation benefit for speech detection in multi-talker babble-noise with different egocentric distances // Acta. Acust. United Acust . 2019. V. 105. № 3. P. 484.
- Marks L.E. Binaural summation of loudness: Noise and two-tone complexes // Percept. Psychophys. 1980. V. 27. № 6. P. 489.
- Coleman P.D. An analysis of cues to auditory depth perception in free space // Psychol. Bull. 1963. V. 60. № 3. P. 302.
- Shih C., Lu H.Y.D. Effects of talker-to-listener distance on tone // J. Phon. 2015. V. 51. P. 6.
- Cheyne H.A., Kalgaonkar K., Clements M., Zurek P. Talker-to-listener distance effects on speech production and perception // J. Acoust. Soc. Am. 2009. V. 126. № 4. P. 2052.
- Meekings S., Evans S., Lavan N. et al. Distinct neural systems recruited when speech production is modulated by different masking sounds // J. Acoust. Soc. Am. 2016. V. 140. № 1. P. 8.
- Meekings S., Scott S.K. Error in the Superior Temporal Gyrus? A Systematic Review and Activation Likelihood Estimation Meta-Analysis of Speech Production Studies // J. Cogn. Neurosci. 2021. V. 33. № 3. P. 422.
Дополнительные файлы





