Особенности синергетического взаимодействия скелетных мышц нижних конечностей под воздействием электрической стимуляции спинного мозга
- Авторы: Моисеев С.А.1, Городничев Р.М.1
-
Учреждения:
- ФГБОУ ВО Великолукская государственная академия физической культуры и спорта
- Выпуск: Том 49, № 1 (2023)
- Страницы: 91-103
- Раздел: Статьи
- URL: https://ogarev-online.ru/0131-1646/article/view/139813
- DOI: https://doi.org/10.31857/S0131164622100319
- EDN: https://elibrary.ru/APYWXT
- ID: 139813
Цитировать
Полный текст
Аннотация
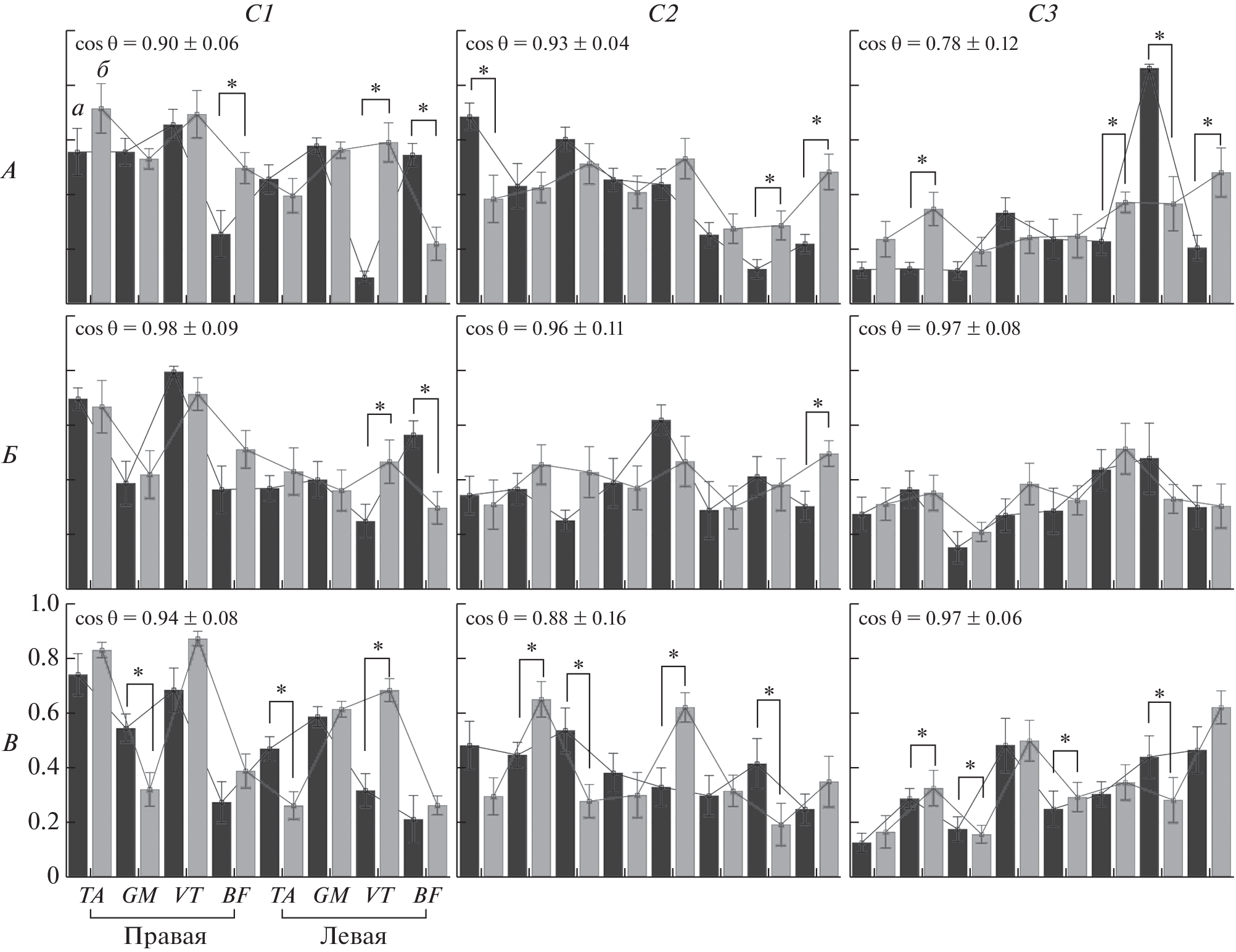
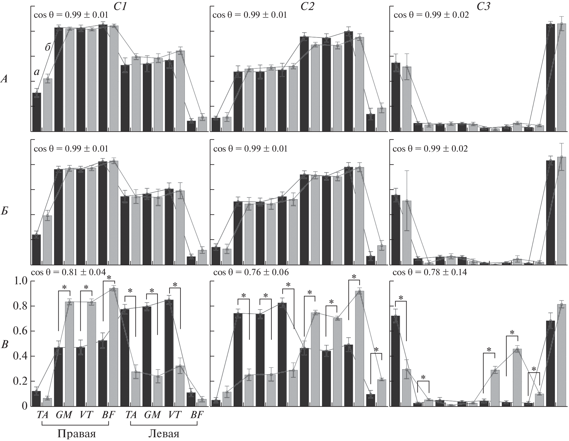
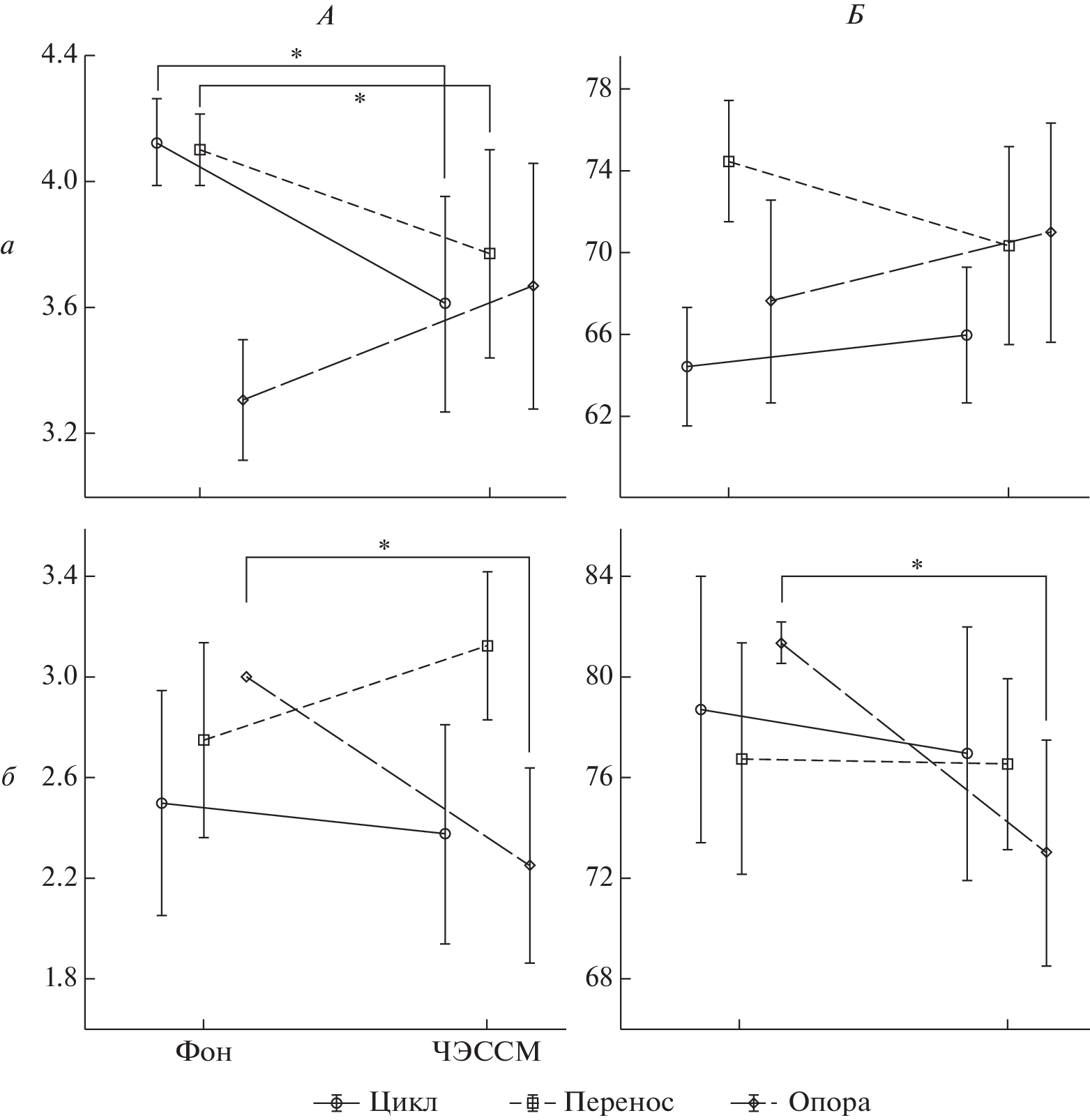
Целью работы явилось изучение нейронной основы синергетического взаимодействия скелетных мышц нижних конечностей в процессе локомоторной активности. Предполагалось определить взаимосвязь параметров моторного выхода локомоторных нейрональных сетей и центров, регулирующих пространственно-временны́е режимы взаимодействия мышц в структуре цикла шага и его периодов. Испытуемые шагали по тредбану в обычных условиях и при чрескожной электрической стимуляции спинного мозга на уровне Т11–Т12 и L1–L2 позвонков, наносимой в определенные периоды шагательного цикла. В таких условиях анализировали параметры синергий, извлекаемых с помощью метода главных компонент. Под влиянием стимуляции установлено существенное снижение количества извлекаемых “амплитудных” синергий в структуре цикла шага и периоде переноса, а также снижение количества “частотных” синергий в периоде опоры. Отмечена четкая дифференциация синергетической активности мышц обеих ног в первых двух синергиях, а при стимуляционном воздействии наблюдалась смена вклада активности икроножной, передней большеберцовой и латеральной широкой мышц в первые две синергии, преимущественно, в периоде переноса. Структура синергий демонстрировала комбинированные временны́е профили с несколькими пиками активности, а при стимуляции было отмечено формирование базового профиля с четким очертанием основных колебаний. Пространственно-временнáя структура паттернов мышечных синергий при нахождении стопы на опоре оказывалась более стабильной, что может быть связано с увеличением афферентации от опорных зон стопы, создающей оптимальные условия для инициации работы центральных генераторов локомоторных паттернов.
Об авторах
С. А. Моисеев
ФГБОУ ВО Великолукская государственная академия физической культуры и спорта
Автор, ответственный за переписку.
Email: sergey_moiseev@vlgafc.ru
Россия,
Великие Луки
Р. М. Городничев
ФГБОУ ВО Великолукская государственная академия физической культуры и спорта
Email: sergey_moiseev@vlgafc.ru
Россия,
Великие Луки
Список литературы
- Бернштейн Н.А. Очерки по физиологии движений и физиологии активности. М.: Медицина, 1966. 349 с.
- Гельфанд И., Цетлин М. О некоторых способах управления сложными системами // УМН. 1962. Т. 17. № 1(103). С. 3. Gel’fand I.M., Tsetlin M.L. Some methods of control for complex systems // Uspekhi Mat. Nauk. 1962. V. 17. № 1(103). P. 3.
- Cheung V., Cheung B., Zhang J. et al. Plasticity of muscle synergies through fractionation and merging during development and training of human runners // Nat. Commun. 2020. V. 11. № 1. P. 4356.
- Latash M. One more time about motor (and non-motor) synergies // Exp. Brain Res. 2021. V. 239. № 10. P. 2951.
- Laine C., Martinez-Valdes E., Falla D. et al. Motor neuron pools of synergistic thigh Muscles share most of their synaptic input // J. Neurosci. 2015. V. 35. № 35. P. 12207.
- Фельдман А. Центральные и рефлекторные механизмы управления движениями. М.: Наука, 1979. 183 с.
- Feldman A., Mindy F., Garofolini L. et al. Central pattern generator and human locomotion in the context of referent control of motor actions // Clin. Neurophysiol. 2021. V. 132. № 11. P. 2870.
- Madarshahian S., Latash M. Reciprocal and coactivation commands at the level of individual motor units in an extrinsic finger flexor–extensor muscle pair // Exp. Brain Res. 2022. V. 240. № 1. P. 321.
- Sayenko D., Atkinson D., Dy C. et al. Spinal segment-specific transcutaneous stimulation differentially shapes activation pattern among motor pools in humans // J. Appl. Physiol. 2015. V. 118. № 11. P. 1364.
- Городничев Р., Пухов А., Моисеев С. Регуляция фаз шагательного цикла при неинвазивной электрической стимуляции спинного мозга // Физиология человека. 2021. Т. 47. № 1. С. 73. Gorodnichev R., Pukhov A., Moiseev S. Regulation of gait cycle phases during noninvasive electrical stimulation of the spinal cord // Human Physiology. 2021. V. 47. № 1. P. 60.
- Altenburger K., Bumke O., Foerster O. Allgemeine neurologie. Handbuch der Neurologie. Berlin: Verlag von Julius Springer, 1937. S. 747.
- Moiseev S., Pukhov A., Mikhailova E. et al. Methodological and computational aspects of extracting extensive muscle synergies in moderate-intensity locomotions // J. Evol. Biochem. Phys. 2022. V. 58. P. 88.
- Моисеев С., Иванов С., Городничев Р. Особенности организации двигательных синергий на разных уровнях управления сложнокоординационным движением человека // Рос. физиол. журн. им. И.М. Сеченова. 2022. Т. 108. № 4. С. 1.
- Персон Р. Электромиография в исследованиях человека. М.: Наука, 1969. 231 с.
- Moshonkina T., Grishin A., Bogacheva I. et al. Novel non-invasive strategy for spinal neuromodulation to control human locomotion // Front. Hum. Neurosci. 2021. V. 14. P. 622533.
- Grishin A., Bobrova E., Reshetnikova V. et al. A system for detecting stepping cycle phases and spinal cord stimulation as a tool for controlling human locomotion // Biomed. Eng. 2021. V. 54. № 5. P. 312.
- Rybak I.A., Shevtsova N.A., Lafreniere-Roula M., McCrea D.A. Modelling spinal circuitry involved in locomotor pattern generation: insights from deletions during fictive locomotion // J. Physiol. 2006. V. 577. Pt. 2. P. 617.
- Rybak I.A., Stecina K., Shevtsova N.A., McCrea D.A. Modelling spinal circuitry involved in locomotor pattern generation: insights from the effects of afferent stimulation // J. Physiol. 2006. V. 577. Pt. 2. P. 641.
- Churchland M., Cunningham J., Kaufman M. et al. Neural population dynamics during reaching // Nature. 2012. V. 487. № 7405. P. 51.
- Hogan N., Sternad D. On rhythmic and discrete movements: reflections, definitions and implications for motor control // Exp. Brain Res. 2007. V. 181. № 1. P. 13.
- Frère J., Göpfert B., Slawinski J. et al. Shoulder muscles recruitment during a power backward giant swing on high bar: a wavelet-EMG-analysis // Hum. Mov. Sci. 2012. V. 31. № 2. P. 472.
- Frère J. Spectral properties of multiple myoelectric signals: New insights into the neural origin of muscle synergies // Neuroscience. 2017. V. 355. P. 22.
- Laine C., Valero-Cuevas F. Intermuscular coherence reflects functional coordination // J. Neurophysiol. 2017. V. 118. № 3. P. 1775.
- Madarshahian S., Letizi J., Latash M. Synergic control of a single muscle: The example of flexor digitorum superficialis // J. Physiol. 2021. V. 599. № 4. P. 1261.
- Ivanenko Y., Poppele R., Lacquaniti F. Motor control programs and walking // Neuroscientist. 2006. V. 12. № 4. P. 339.
- Janshen L., Santuz A., Arampatzis A. Muscle synergies in patients with multiple sclerosis reveal demand-specific alterations in the modular organization of locomotion // Front. Hum. Neurosci. 2021. V. 14. P. 593365.
- Mileti I., Zampogna A., Santuz A. et al. Muscle synergies in parkinson’s disease // Sensors (Basel). 2020. V. 20. № 11. P. 3209.
- Janshen L., Santuz A., Ekizos A., Arampatzis A. Fuzziness of muscle synergies in patients with multiple sclerosis indicates increased robustness of motor control during walking // Sci. Rep. 2020. V. 10. № 1. P. 7249.
- Van Criekinge T., Vermeulen J., Wagemans K. et al. Lower limb muscle synergies during walking after stroke: a systematic review // Disabil. Rehabil. 2020. V. 42. № 20. P. 2836.
- Cheung V., Cheung B., Zhang J. et al. Plasticity of muscle synergies through fractionation and merging during development and training of human runners // Nat. Commun. 2020. V. 11. № 1. P. 4356.
- Yokoyama H., Kato T., Kaneko N. et al. Basic locomotor muscle synergies used in land walking are finely tuned during underwater walking // Sci. Rep. 2021. V. 11. № 1. P. 18480.
- Mileti I., Serra A., Wolf N. et al. Muscle activation patterns are more constrained and regular in treadmill than in overground human locomotion // Front. Bioeng. Biotechnol. 2020. V. 8. P. 581619.
- Mehryar P., Shourijeh M., Rezaeian T. et al. Differences in muscle synergies between healthy subjects and transfemoral amputees during normal transient-state walking speed // Gait Posture. 2020. V. 76. P. 98.
- Santuz A., Ekizos A., Eckardt N. Challenging human locomotion: stability and modular organisation in unsteady conditions // Sci. Rep. 2018. V. 8. № 1. P. 2740.
- Saito H., Yokoyama H., Sasaki A. et al. Flexible recruitments of fundamental muscle synergies in the trunk and lower limbs for highly variable movements and postures // Sensors (Basel). 2021. V. 21. № 18. P. 6186.
- Santuz A., Akay T., Mayer W. et al. Modular organization of murine locomotor pattern in the presence and absence of sensory feedback from muscle spindles // J. Physiol. 2019. V. 597. № 12. P. 3147.
- Григорьев А., Козловская И., Шенкман Б. Роль опорной афферентации в организации тонической мышечной системы // Рос. физиол. журн. им. И.М. Сеченова. 2004. Т. 90. № 5. С. 508.
- Томиловская Е.С., Мошонкина Т.Р., Городничев Р.М. и др. Механическая стимуляция опорных зон стоп: неинвазивный способ активации генераторов шагательных движений у человека // Физиология человека. 2013. Т. 39. № 5. С. 34. Tomilovskaya E., Moshonkina T., Gorodnichev R. et al. Mechanical stimulation of the support zones of soles: the method of noninvasive activation of the stepping movement generators in humans // Human Physiology. 2013. V. 39. № 5. P. 480.
Дополнительные файлы






