Особенности нейрофункциональной организации рабочей памяти для базовых характеристик зрительного пространства у мужчин и женщин
- Авторы: Михайлова Е.С.1, Кушнир А.Б.1, Мошникова Н.Ю.1
-
Учреждения:
- ФГБУН Институт высшей нервной деятельности и нейрофизиологии РАН
- Выпуск: Том 49, № 1 (2023)
- Страницы: 28-41
- Раздел: Статьи
- URL: https://ogarev-online.ru/0131-1646/article/view/139795
- DOI: https://doi.org/10.31857/S0131164622600379
- EDN: https://elibrary.ru/APBDJU
- ID: 139795
Цитировать
Полный текст
Аннотация
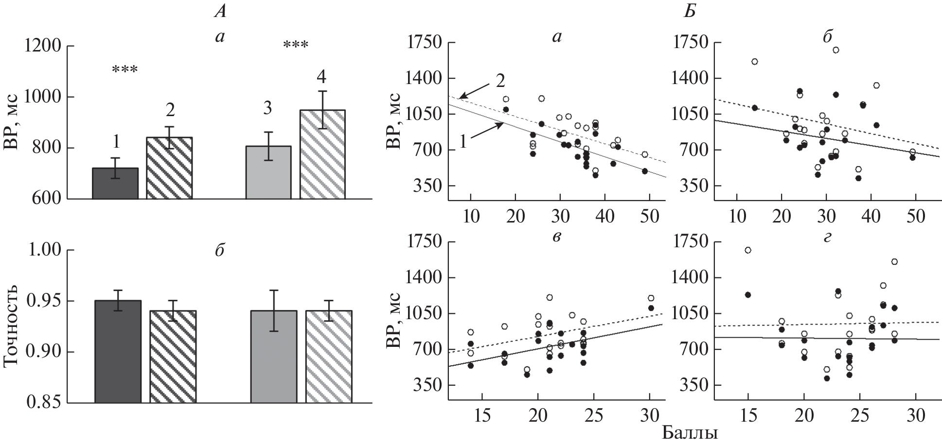
В группе 38 испытуемых (19 женщин) в задаче рабочей памяти (РП) обнаружены половые различия нейронных механизмов сопоставления ориентационных характеристик зрительного пространства. У мужчин бо̀льшая по сравнению с женщинами чувствительность амплитуды ранней затылочно-височной негативности N150 к совпадению/несовпадению текущей и удерживаемой в памяти ориентаций говорит об эффективном раннем детектировании изменений ориентаций. Более высокая амплитуда компонента Р200 затылочно-височных связанных с событием потенциалов и центральной позитивности 400–500 мс у мужчин по сравнению с женщинами рассматривается как показатель более высокого уровня селективного внимания к ориентациям и потенциальной возможности удержания в памяти бо̀льшего объема информации о пространственных характеристиках среды. В работе установлена статистически значимая связь времени реакции выполнения задачи РП и оценок стратегий навигационного поведения по данным опросников. Предполагается, что эффективная зрительно-пространственная РП на ориентации является одним из важных биологических факторов, лежащих в основе более успешной навигационной стратегии, учитывающей глобальные пространственные ориентиры.
Об авторах
Е. С. Михайлова
ФГБУН Институт высшей нервной деятельности и нейрофизиологии РАН
Автор, ответственный за переписку.
Email: esmikhailova@mail.ru
Россия, Москва
А. Б. Кушнир
ФГБУН Институт высшей нервной деятельности и нейрофизиологии РАН
Email: esmikhailova@mail.ru
Россия, Москва
Н. Ю. Мошникова
ФГБУН Институт высшей нервной деятельности и нейрофизиологии РАН
Email: esmikhailova@mail.ru
Россия, Москва
Список литературы
- Cahill L. Why sex matters for neuroscience // Nat. Rev. Neurosci. 2006. V. 7. № 6. P. 477.
- Voyer D., Voyer S.D., Saint-Aubin J. Sex differences in visual-spatial working memory: A meta-analysis // Psychon. Bull. Rev. 2017. V. 24. № 2. P. 307.
- Shaqiri A., Roinishvili M., Grzeczkowski L. et al. Sex-related differences in vision are heterogeneous // Sci. Rep. 2018. V. 8. № 1. P. 7521.
- Voyer D., Voyer S., Bryden M.P. Magnitude of sex differences in spatial abilities: A meta-analysis and consideration of critical variables // Psychol. Bull. 1995. V. 117. № 2. P. 250.
- Galea L.A., Kimura D. Sex differences in route-learning // Pers. Individ. Dif. 1993. V. 14. № 1. P. 53.
- Moffat S.D., Hampson E., Hatzipantelis M. Navigation in a virtual maze: sex differences and correlation with psychometric measures of spatial ability in humans // Evol. Hum. Behav. 1998. V. 19. P. 73.
- Christie G.J., Cook C.M., Ward B.J. et al. Mental rotational ability is correlated with spatial but not verbal working memory performance and P300 amplitude in males // PLoS One. 2013. V. 8. № 2. P. e57390.
- Крылова М.А., Изъюров И.В., Герасименко Н.Ю. и др. Моделирование источников компонентов зрительных вызванных потенциалов человека в задаче определения ориентации отрезков линий // Журн. высш. нерв. деят. им. И.П. Павлова. 2015. Т. 65. № 6. С. 685. Krylova M.A., Izyurov I.V., Gerasimenko N.Yu. et al. [The Modeling of Human Visual ERPs Sources in the Task of Line Orientation Identification] // Zh. Vyssh. Nerv. Deiat. im. I.P. Pavlova. 2015. V. 65. № 6. P. 685.
- Михайлова Е.С., Герасименко Н.Ю., Крылова М.А. и др. Механизмы ориентационной чувствительности зрительной системы человека. Сообщение II. Корковые механизмы ранних этапов переработки информации об ориентации линий // Физиология человека. 2015. Т. 41. № 3. С. 5. Mikhailova E.S., Gerasimenko N.Yu., Krylova M.A. et al. Mechanisms of orientation sensitivity of human visual system: Part II. Neural patterns of early processing of information about line orientation // Human Physiology. 2015. V. 41. № 3. P. 229.
- Михайлова Е.С., Герасименко Н.Ю., Кушнир А.Б. Психофизические и нейрофизиологические характеристики оценки наклонных ориентаций у мужчин и женщин // Сенсорные системы. 2020. Т. 34. № 4. С. 283. Mikhailova E.S., Gerasimenko N.Yu., Kushnir A.B. Psychophysical and neurophysiological characteristics of the assessment of tilted orientations in men and women // Neurosci. Behav. Physiol. 2021. V. 51. № 6. P. 820.
- Barkley C.L., Jacobs L.F. Sex and species differences in spatial memory in food-storing kangaroo rats // Anim. Behav. 2007. V. 73. № 2. P. 321.
- Gaulin S.J.C., Fitzgerald R.W. Sex-differences in spatial ability – an evolutionary hypothesis and test // Am. Nat. 1986. V. 127. P. 74.
- Langley C.M. Spatial memory in the desert kangaroo rat (Dipodomys deserti) // J. Comp. Psychol. 1994. V. 108. № 1. P. 3.
- Williams C.L., Barnett A.M., Meck W.H. Organizational effects of early gonadal secretions on sexual differentiation in spatial memory // Behav. Neurosci. 1990. V. 104. № 1. P. 84.
- Sandstrom N.J., Kaufman J., Huettel S.A. Males and females use different distal cues in a virtual environment navigation task // Brain Res. Cogn. Brain Res. 1998. V. 6. № 4. P. 351.
- Jones C.M., Healy S.D. Differences in cue use and spatial memory in men and women // Proc. R. Soc. B Biol. Sci. 2006. V. 273. № 1598. P. 2241.
- Kelly D.M., Bischof W.F. Reorienting in images of a three-dimensional environment // J. Exp. Psychol. Hum. Percept. Perform. 2005. V. 31. № 6. P. 1391.
- Jacobs L.F., Schenk F. Unpacking the cognitive map: the parallel map theory of hippocampal function // Psychol. Rev. 2003. V. 110. № 2. P. 285.
- Kemp A., Manahan-Vaughan D. The hippocampal CA1 region and dentate gyrus differentiate between environmental and spatial feature encoding through long-term depression // Cereb. Cortex. 2008. V. 18. № 4. P. 968.
- Chai X.J., Jacobs L.F. Sex differences in directional cue use in a virtual landscape // Behav. Neurosci. 2009. V. 123. № 2. P. 276.
- Lejbak L., Crossley M., Vrbancic M. A male advantage for spatial and object but not verbal working memory using the n-back task // Brain Cogn. 2011. V. 76. № 1. P. 191.
- Lawton C.A., Kallai J. Gender differences in wayfinding strategies and anxiety about wayfinding: A cross-cultural comparison // Sex Roles. 2002. V. 47. № 9–10. P. 389.
- Chen C.-C., Kuo J.-C., Wang W.-J. Distinguishing the visual working memory training and practice effects by the effective connectivity during n-back tasks: A DCM of ERP study // Front. Behav. Neurosci. 2019. V. 13. P. 84.
- Pasternak T., Greenlee M.W. Working memory in primate sensory systems // Nat. Rev. Neurosci. 2005. V. 6. № 2. P. 97.
- Postle B.R. Working memory as an emergent property of the mind and brain // Neuroscience. 2006. V. 139. № 1. P. 23.
- Agam Y., Sekuler R. Interactions between working memory and visual perception: an ERP/EEG study // Neuroimage. 2007. V. 36. № 3. P. 933.
- Михайлова Е.С., Герасименко Н.Ю., Славуцкая А.В. Сенсорные механизмы ранней дискриминации ориентаций в модели зрительной рабочей памяти // Журн. высш. нерв. деят. им. И.П. Павлова. 2019. Т. 69. № 5. С. 577. Mikhailova E.S., Gerasimenko N.Yu., Slavutskaya A.V. Sensory mechanisms in early orientation discrimination in a model of visual working memory // Neurosci. Behav. Physiol. 2020. V. 50. № 6. P. 700.
- Gur R.C., Alsop D., Glahn D. et al. An fMRI study of sex differences in regional activation to a verbal and a spatial task // Brain Lang. 2000. V. 74. № 2. P. 157.
- Lefebvre C.D., Marchand Y., Eskes G.A. et al. Assessment of working memory abilities using an event-related brain potential (ERP)-compatible digit span backward task // Clin. Neurophysiol. Off. J. Int. Fed. Clin. Neurophysiol. 2005. V. 116. № 7. P. 1665.
- Wang A.L., Mouraux A., Liang M. et al. The enhancement of the N1 wave elicited by sensory stimuli presented at very short inter-stimulus intervals is a general feature across sensory systems // PLoS One. 2008. V. 3. № 12. P. e3929.
- Lenartowicz A., Escobedo-Quiroz R., Cohen J.D. Updating of context in working memory: an event-related potential study // Cogn. Affect. Behav. Neurosci. 2010. V. 10. № 2. P. 298.
- Phillips S., Takeda Y. An EEG/ERP study of efficient versus inefficient visual search / Proceedings of the Annual Meeting of the Cognitive Science Society. 2009. P. 383.
- Coenen A. Modelling of auditory evoked potentials of human sleep-wake states // Int. J. Psychophysiol. Off. J. Int. Organ. Psychophysiol. 2012. V. 85. № 1. P. 37.
- Zhang X., Yang S., Jiang M. Rapid implicit extraction of abstract orthographic patterns of Chinese characters during reading // PLoS One. 2020. V. 15. № 2. P. e0229590.
- Freunberger R., Klimesch W., Doppelmayr M. et al. Visual P2 component is related to theta phase-locking // Neurosci. Lett. 2007. V. 426. № 3. P. 181.
- Cepeda-Freyre H.A., Garcia-Aguilar G., Eguibar J.R. et al. Brain processing of complex geometric forms in a visual memory task increases P2 Amplitude // Brain Sci. 2020. V. 10. № 2. P. 114.
- Föcker J., Mortazavi M., Khoe W. et al. Neural correlates of enhanced visual attentional control in action video game players: An event-related potential study // J. Cogn. Neurosci. 2019. V. 31. № 3. P. 377.
- Linnert S., Reid V., Westermann G. ERP correlates of two separate top-down mechanisms in visual categorization // Int. J. Psychophysiol. 2016. V. 108. P. 83.
- Vogel E.K., Machizawa M.G. Neural activity predicts individual differences in visual working memory capacity // Nature. 2004. V. 428. № 6984. P. 748.
- Bianco V., Berchicci M., Quinzi F. et al. Females are more proactive, males are more reactive: neural basis of the gender-related speed/accuracy trade-off in visuo-motor tasks // Brain Struct. Funct. 2020. V. 225. № 1. P. 187.
- Picton T.W. The P300 wave of the human event-related potential // J. Clin. Neurophysiol. Off. Publ. Am. Electroencephalogr. Soc. 1992. V. 9. № 4. P. 456.
- Bledowski C., Cohen Kadosh K., Wibral M. et al. Mental chronometry of working memory retrieval: a combined functional magnetic resonance imaging and event-related potentials approach // J. Neurosci. Off. J. Soc. Neurosci. 2006. V. 26. № 3. P. 821.
- Rawdon C., Murphy J., Blanchard M.M. et al. Reduced P300 amplitude during retrieval on a spatial working memory task in a community sample of adolescents who report psychotic symptoms // BMC Psychiatry. 2013. V. 13. № 1. P. 125.
- Maciejewska K., Drzazga Z. Differences in spatio‑temporal distribution of the visual P3b event-related potential between young men and women // Acta Neurobiol. Exp. (Wars). 2019. V. 79. P. 25.
- Vaquero E., Cardoso M.J., Vázquez M. et al. Gender differences in event-related potentials during visual-spatial attention // Int. J. Neurosci. 2004. V. 114. № 4. P. 541.
- Deldin P.J., Duncan C.C., Miller G.A. Season, gender, and P300 // Biol. Psychol. 1994. V. 39. № 1. P. 15.
- Steffensen S.C., Ohran A.J., Shipp D.N. et al. Gender-selective effects of the P300 and N400 components of the visual evoked potential // Vision Res. 2008. V. 48. № 7. P. 917.
- Morrison R.G., Reber P.J., Bharani KL. et al. Dissociation of category-learning systems via brain potentials // Front. Hum. Neurosci. 2015. V. 9. P. 389.
- Rabi R., Joanisse M.F., Zhu T. et al. Cognitive changes in conjunctive rule-based category learning: An ERP approach // Cogn. Affect. Behav. Neurosci. 2018. V. 18. № 5. P. 1034.
- Gevins A., Smith M.E. Neurophysiological measures of working memory and individual differences in cognitive ability and cognitive style // Cereb. Cortex. 2000. V. 10. № 9. P. 829.
- Nittono H., Nageishi Y., Nakajima Y. et al. Event-related potential correlates of individual differences in working memory capacity // Psychophysiology. 1999. V. 36. № 6. P. 745.
- Hill A.C., Laird A.R., Robinson J.L. Gender differences in working memory networks: a BrainMap meta-analysis // Biol. Psychol. 2014. V. 102. P. 18.
- Alarcón G., Cservenka A., Fair D.A. et al. Sex differences in the neural substrates of spatial working memory during adolescence are not mediated by endogenous testosterone // Brain Res. 2014. V. 1593. P. 40.
- Zilles D., Lewandowski M., Vieker H. et al. Gender differences in verbal and visuospatial working memory performance and networks // Neuropsychobiology. 2016. V. 73. № 1. P. 52.
- Yin J., Gao Z., Jin X. et al. Tracking the mismatch information in visual short term memory: an event-related potential study // Neurosci. Lett. 2011. V. 491. № 1. P. 26.
- Михайлова Е.С., Герасименко Н.Ю., Славуцкая А.В. и др. Временны́е и топографические характеристики вызванных потенциалов в ситуации конфликта двух последовательных зрительных стимулов в задаче на зрительную память // Физиология человека. 2017. Т. 43. № 3. С. 13. Mikhailova E.S., Gerasimenko N.Yu., Slavutskaya A.V. et al. Temporal and topographic characteristics of evoked potentials in the conflict of two consecutive visual stimuli in a working memory task // Human Physiology. 2017. V. 43. № 3. P. 248.
- Coluccia E., Louse G. Gender differences in spatial orientation: A review // J. Environ. Psychol. 2004. V. 24. № 3. P. 329.
- Lawton C.A. Strategies for indoor way-finding:the role of orientation // J. Environ. Psychol. 1996. V. 16. P. 137.
- Saucier D.M., Green S.M., Leason J. et al. Are sex differences in navigation caused by sexually dimorphic strategies or by differences in the ability to use the strategies? // Behav. Neurosci. 2002. V. 116. № 3. P. 403.
- Garden S., Cornoldi C., Logie R.H. Visuo-spatial working memory in navigation // Appl. Cogn. Psychol. 2002. V. 16. № 1. P. 35.
- Pazzaglia F., Cornoldi C. The role of distinct components of visual-spatial working memory in the processing of texts // Memory. 1999. V. 7. № 1. P. 19.
- Bosco A., Longoni A.M., Vecchi T. Gender effects in spatial orientation: Cognitive profiles and mental strategies // Appl. Cogn. Psychol. 2004. V. 18. № 5. P. 519.
Дополнительные файлы





