Application of CF and DMAS Technology to Improve the Quality of Reflector Images Reconstructed from Echoes Measured by an Antenna Array
- Authors: Bazulin E.G.1
-
Affiliations:
- ECHO+ Research and Production Center LLC
- Issue: No 12 (2024)
- Pages: 14-29
- Section: Acoustic methods
- URL: https://ogarev-online.ru/0130-3082/article/view/273541
- DOI: https://doi.org/10.31857/S0130308224120029
- ID: 273541
Cite item
Full Text
Abstract
Reliability and sensitivity of ultrasonic control is determined by the noise level of the reflector image and its resolution. Application of CF- or DMAS-technology in various combinations is promising, as these technologies are simple enough, practically do not require additional computational resources, are applied to echo signals measured by conventional flaw detectors working with antenna arrays. In numerical and model experiments it is demonstrated that the application of these methods allows to increase the resolution of reflector images more than twice and to reduce the noise level by more than 20 dB. In the numerical experiment it is shown that phase distortions due to complex refractive and reflection coefficients lead to the fact that even with precisely known parameters of the experiment when working on a direct beam on a transverse wave the indication of the crack tip can shift from its true position by about a wavelength. For the solution of defectometry tasks this is a very large error. But, if phase correction is performed when reconstructing the reflector image, the crack tip indication coincides with its real position. CF- and DMAS-technologies have shown their workability also when working with noisy echoes.
Full Text
ВВЕДЕНИЕ
В настоящее время при проведении ультразвукового контроля с применением пьезоэлектрических антенных решеток широко используются две технологии восстановления изображения отражателей: технология фокусировки антенной решеткой (ФАР) [1] и технология цифровой фокусировки апертуры (ЦФА) [2]. В работе [3] обе технологии сравниваются, и делается вывод о том, что ЦФА-технология более перспективна в плане применения разнообразных алгоритмов восстановления изображения отражателей. Метод ЦФА позволяет восстановить изображения отражателей со сплошной фокусировкой во всех точках области восстановления изображения (ОВИ). На первом этапе регистрируются эхосигналы для всех комбинаций излучатель—приемник элементов антенной решетки (режим Full Matrix Capture [4]). Набор эхосигналов при излучении одним элементом антенной решетки и регистрацией всеми элементами называется выстрелом. Набор эхосигналов, состоящий из всех выстрелов, будем называть залпом. На втором этапе по измеренным эхосигналам методом комбинационного SAFT (C-SAFT) [5, 6] восстанавливается изображение отражателей с учетом эффекта трансформации типа волны при многократном отражении импульсов от границ объекта контроля. Метод C-SAFT в англоязычной литературе, посвященной ультразвуковому контролю, называется Total Focusing Method (TFM) [7]. Строго говоря, метод C-SAFT и TFM — это разные методы, позволяющие получить изображения с использованием разной техники расчетов, но дающие очень близкие по качеству изображения отражателей [8].
При восстановлении изображений отражателей по ФАР-технологии обычно используется фиксированный фокус при излучении и динамический фокус при приеме, что позволяет получать изображения с частотой кадров в десятки Герц [9]. Одним из самых ранних способов формирования луча является задержка эхосигнала каждого элемента антенной решетки и их суммирование (Delay and Sum beamforming (DAS)). Возможности метода DAS по улучшению разрешения изображения и подавлению помех ограничены. В работе [10] был предложен метод Delay Multiply and Sum beamforming (DMAS), основанный на корреляции измеренных эхосигналов. В отличие от DAS, метод DMAS является нелинейным, в котором эхосигналы сдвигаются во времени и умножаются перед суммированием, т.е. для разных пар эхосигналов выполняется операция корреляции. Поскольку DMAS умножает эхосигналы, в выходном спектре появляются составляющие второй гармоники, для удаления которой можно добавить полосовой фильтр. Метод DMAS с добавлением фильтрации обозначается как F-DMAS. По сравнению с методом DAS, DMAS лучше подавляет шум за счет операции корреляции, а увеличение числа сигналов при суммировании должно повысить фронтальную разрешающую способность, так как повышается точность оценки степени когерентности выборки. Метод DMAS можно применять и при формировании изображения по технологии ЦФА.
Еще одно из направлений повышения качества изображения отражателей, т.е. уменьшения уровня шума и повышения разрешающей способности, основано на расчете когерентного фактора (Coherence Factor (CF)) [11, 12], который определяется как отношение между когерентной энергией принятого сигнала и его полной энергией (некогерентной). Используя CF для взвешивания результатов формирования луча, можно подавить «боковые лепестки» и уменьшить ширину «основного лепестка». Когерентный фактор и его разные модификации [13—16] используются и в ФАР-, и ЦФА-технологиях. Методы DMAS и CF, предназначенные для повышения качества определения когерентности набора чисел, с вычислительной точки зрения являются достаточно простыми методами.
Отметим, что существуют и более тяжелые с вычислительной точки зрения методы повышения качества изображения: метод Кейпона [17], метод максимальной энтропии [18], метод распознавания со сжатием (Compressive Sensing (CS)) [19, 20] и другие. В связи с развитием нейронных сетей появились публикации, посвященные их применению для повышения качества изображения отражателей [21, 22]. Применение этих методов позволяет получать изображения со сверхразрешением и значительно уменьшить уровень шума, в частности уровень «боковых лепестков», но эти методы применяются при постобработке эхосигналов.
Целью данного исследования являлось изучение возможности повышения разрешающей способности и уменьшения уровня шума изображения отражателей с использованием методов DMAS и CF, которые не требуют значительных вычислительных ресурсов, при проведении ультразвукового неразрушающего контроля.
ПОВЫШЕНИЕ КАЧЕСТВА ИЗОБРАЖЕНИЯ
2.1. Метод ЦФА
При использовании антенной решетки из Ne элементов эхосигналы, измеренные в режиме FMC, обозначим как pm,n(t; rw), где m — номер излучающего элемента; n — номер приемного элемента антенной решетки; rw — координаты передней грани призмы, так как для формирования изображения можно использовать эхосигналы, измеренные в разных положениях решетки. Изображение отражателей, восстановленное методом TFM, можно записать как
, (1)
где tmax — время нарастания импульса; tm,n(ri; as) — время пробега импульса от излучателя до точки ri и к приемнику для заданной акустической схемы as. Под акустической схемой будем подразумевать описание лучевой траектории распространения импульса от излучателя до отражателя и до приемника при отражении импульса от неровных границ объекта контроля. Акустическая схема будет определяться последовательностью букв L (продольная волна), T (вертикально поляризованная поперечная волна) и буквы d (отражение от несплошности). Например, запись TTdTT означает работу с поперечной волной с одним отражением от дна при излучении и приеме, а запись TdTL — работу в режиме «самотандем» [23]. Расчет времени задержки tm,n(ri; as) для случая однородной изотропной среды является тривиальной задачей, которую можно решить с использованием принципа Ферма или с помощью трассировки лучей.
Смысл формулы (1) заключается в том, из эхосигналов залпа делается выборка длиной Ne × Ne. Сумма всех элементов выборки {p} — это простейший способ определить степень ее когерентности, что и отражено в формуле (1). Если в точке ri есть отражатель, то все элементы выборки {p} имеют значительную амплитуду и примерно одинаковую фазу и поэтому значение изображения I(ri; as, rw) согласно (1) будет большим. Если отражатель расположен рядом с точкой ri, то выборка будет состоять из чисел меньшей амплитуды и не в фазе, что приведет к уменьшению суммы. Если же отражателя в окрестности точки ri нет, то в случае белого шума сумма выборки {p} будет стремится к нулю при увеличении Ne. Нижний индекс S для переменной IS(ri; as, rw) означает, что выборка {p} суммируется. Применение более эффективного критерия когерентности выборки {p} должна позволить повысить качество изображения.
Сформировать изображение отражателей можно и альтернативным способом. Обозначим через выборку длиной Ne значений эхосигналов, выбранных из выстрела номер m по задержкам, рассчитанных для точки изображения ri по выбранной акустической схеме as. Их сумма
(2)
позволит получить изображение методом TFM для точки i по эхосигналам выстрела m. Тогда обычное ЦФА-изображение можно получить, попиксельно сложив когерентно все изображения по выстрелам:
. (3)
Изображения, полученные по формулам (1) и (3), будут одинаковы, т.е. , но расчет этих изображений проводится разным образом и это позволяет применить разные способы оценки когерентности последовательности. В формуле (3) оценивается когерентность выборки для каждой точки ri:
. (4)
При сканировании антенной решетки по Np положениям итоговое изображение отражателей можно получить как сумму Np изображений IS(ri; as, rw,p), восстановленных для каждого положения p антенной решетки или матрицы по формуле:
, (5)
когда оценивается когерентность выборки длиной Np. Если призма перемещается вдоль оси x, то изображение IS,S,S(ri, as) будем называть ЦФА-X-изображением.
Таким образом, формирование изображения можно рассматривать как процесс определения степени когерентности набора чисел, по которому определяется наличие отражателей в заданной точке ОВИ. Выбор размеров выборки или выборок и варианты их определения достаточно разнообразен (табл. 1). С одной стороны, можно оценивать когерентность выборки максимально большой длины Ne × Ne × Np. Для антенной решетки с Ne = 32 для 10 положений измерений эхосигналов Np длина выборки равна 10240. С другой стороны, можно восстановить повыстрельные изображения по короткой выборке длиной Ne, а затем по выборке длиной Ne восстановить изображение для одного положения решетки и, наконец, сформировать итоговое изображение IS,S,S(ri; as) по выборке длиной Np. Возможен один из промежуточных вариантов, когда итоговое изображение IS,S,S(ri; as) формируется не по изображениям IS,S(ri; as, rw), а по выборке длиной Ne × Np. Если для оценки когерентности используется линейная операция сумма, то итоговое изображение не зависит от способа формирования выборки или нескольких выборок для оценки их когерентности. Самый простой способ восстановить изображение отражателей — это воспользоваться формулой (5).
Таблица 1
Выборка | Длина выборки | |
1. | {pm} = {pm,n(ri; as, rw)}n=1Ne, используется для расчета повыстрельных изображений ImS(ri; as, rw) | Ne |
2. | {Im} = {ImS(ri; as, rw)}m=1Ne, используется для расчета изображения IS,S(ri; as, rw,p) в одном положении решетки | Ne |
3. | {Ip} = {IS(ri; as, rw,p)}p=1Np, используется для расчета итогового изображения IS,S,S(ri; as) | Np |
4. | {{Im}p} = {IS(ri; as, rw,p)}p=1Np= {{ImS(ri; as, rw)}m=1Ne}p=1Np, используется для расчета итогового изображения IS,S,S(ri; as) | Ne × Np |
2.2. Когерентный фактор
В работе [24] когерентный фактор (Coherence factor (CF)) использовался как количественная метрика для оценки качества изображения. В частности, CF для выборки длиной {s} N рассчитывается как отношение суммы когерентных сигналов к сумме некогерентных сигналов:
. (6)
Некогерентная сумма в знаменателе не подвержена фазовым искажениям, так как модуль сигнала возводится в квадрат и суммируется. В работе [25] предложен вариант когерентного фактора в виде:
. (7)
Значение и CF принадлежат интервалу [0, 1]. Важнейшее свойство CF при анализе выборок {p} эхосигналов в том, что там, где расположен отражатель, он равен 1 независимо от силы отражателя. Но такая ситуация возможна только в том случае, если шум выборки нулевой и эхосигналы не пересекаются. Это свойство CF позволяет формировать изображение как произведение ЦФА-изображения на CF-изображения.
Еще используется знаковый когерентный фактор (Sign coherence factor (SCF)) выборки {s} длиной N, который рассчитывается подобно формуле (7):
, (8)
где sign — стандартная функция выделения знака числа. Значение SCF также принадлежит интервалу [0, 1]. Существуют еще варианты расчета когерентности: в работах [26, 27] рассматриваются фазовой когерентный фактор (Phase coherence factor (PCF)), векторный когерентный фактор (Vector coherence factor (VCF)) и круговой фактор когерентности (Circular coherence factor (CCF)).
Рассчитывать когерентный фактор CF можно на разных этапах формирования изображения, как описано в разделе 2.1. Расчет CF лучше проводить не выборки {p}, а выборки согласно (4), когда уровень шума меньше и индикации отражателей меньше пересекаются друг с другом.
2.3. Технология DMAS
Метод DMAS был разработан для повышения качества ФАР-изображений и заключался в следующем. Если имеется набор чисел , то можно его увеличить следующим образом. На диагональ квадратной матрицы Ne × Ne помещается набор чисел :
. (9)
Элементы нижнего треугольника для чисел реального формата формируются по формуле:
. (10)
Для комплексных чисел формула (10) обобщается в среднее геометрическое двух чисел:
. (11)
Из нижнего треугольника матрицы MDMAS составляется список {pDMAS}. Операцию формирования нового набора обозначим как DMAS, т.е. {pDMAS} = DMAS{p}. Такой подход приводит к тому, что вместо набора чисел длиной для суммирования Ne можно работать со списком {pDMAS} длиной NDMAS = Ne (Ne +1)/2. Существенно большая длина выборки позволяет эффективнее оценивать ее когерентность либо простой суммой, либо с использование когерентного фактора или иными способами.
2.4. Метод ЦФА с учетом DMAS и CF
В данной работе для формирования изображения отражателей будут рассматриваться выборки, приведенные в табл. 1.
Несколько типов выборок и операций создает определенные трудности для описания алгоритма восстановления изображения отражателей в рамках оценки когерентности выборок разного типа. Описание алгоритма получения изображения будет представлять собой список способов определения когерентности выборок, определенных в табл. 1. При оценке когерентности выборки с помощью операции сумма S по формуле (5) последовательность операций можно записать следующим образом:
. (12)
Если при формировании повыстрельных изображений будет использоваться операция DMAS и суммирование S, то итоговое изображение можно будет получить таким образом:
. (13)
Итоговое изображение можно вычислить так:
(14)
или по формуле:
. (15)
Изображение самого низкого качества можно получить по формуле (12), а самого высокого — по формуле (15). Отметим, что в общем случае справедливо неравенство:
,
причем левая часть неравенства обеспечивает лучший результат оценки когерентности, так как длина выборки перед операцией DMAS будет равна Ne × Np.
Еcли операцию CF применить к множеству парциальных изображений , то можно получить CF-изображение отражателей для одного положения антенной решетки. Каждый пиксел будет рассчитывается по формуле (7), а его значение будет лежать в интервале [0, 1]:
. (16)
Результат умножения ЦФА-изображения на CF-изображение можно рассматривать как результат восстановления изображения отражателей:
, (17)
обладающий более высокой разрешающей способностью и меньшим уровнем шума [15]. Понятно, что CF можно находить не только по исходной выборке, но и по выборке, полученной с помощи операции DMAS.
Итоговое CF-изображение отражателей для Np положений антенной решетки можно получить так:
. (18)
Если операцию DMAS применить к выборке {{Im}p}, итоговое CF-изображение отражателей для Np положений антенной решетки можно расчитать по формуле:
. (19)
Таким образом, применение операции DMAS и операции CF по формуле (7) в различных сочетаниях должно позволить получить изображение более высокого качества для анализа.
В статье [28] предлагается подобный подход, использующий комбинации обработок DMAS и CF, но для медицинской диагностики. Существует метод фазово-когерентной визуализации (Phase coherence imaging (PCI)) [29], основанный на расчете SCF реальной и мнимой частей выборок и расчете ее модуля как нормы L∞.
ЧИСЛЕННЫЕ ЭКСПЕРИМЕНТЫ
Для проведения численных экспериментов использовались эхосигналы, рассчитанные с помощью теории лучевых трубок в программе CIVA [30].
3.1. Модель придонной трещины высотой 5 мм
Объект контроля представлял собой параллелепипед толщиной 20 мм из однородного изотропного материала со свойствами стали. Придонная трещина высотой 5 мм была расположена в точке x = 0 мм. Эхосигналы рассчитывались в приближении Кирхгофа и теории геометрической дифракции для случая одного отражения от границ объекта контроля с учетом трансформации типа волны. Антенная решетка с частотой 5 МГц состояла из 32 элементов размерами 0,75×5 мм с зазором 0,25 мм и размещалась на рексолитовой призме с углом наклона 35 град. По оси x антенная решетка перемещалась Np =15 раз с шагом 5 мм, начиная с положения с –50 мм. В данном разделе восстанавливались изображения с обработкой всех эхосигналов по всем 15 положениям (метод X-ЦФА).
На рис. 1а показано обычное изображение IS,S,S, восстановленное по акустической схеме TdT по формуле (12). Хорошо видна индикация вершины трещины, но индикация ее корня имеет сложную структуру, так как она сформирована многими отраженными от корня трещины импульсами по разным акустическим схемам. Оценить высоту трещины по такому изображению достаточно сложно. На рис. 1б показано изображение IS, DMAS–DMAS, восстановленное по формуле (14). Запись DMAS—DMAS означает, что начальная выборка (см. табл. 1, строка 4) длиной NeNp = 480 после операции DMAS увеличила свою длину до 114 960. Это привело к уменьшению уровня шума примерно на 12 дБ. На рис. 1в показано IS,S–S × ICF -изображение. Запись S—S означает, что рассчитывался когерентный фактор массива длиной NeNp = 640. Изображения на рис. 1б, в в целом похожи друга на друга и на обоих виден эффект смещения индикации вершины трещины вверх примерно на 0,5 мм, а это около длины волны на поперечной волне. Этот эффект связан с тем, что при восстановлении изображения на поперечной волне не учитывается изменение фазы импульса при преломлении на границе призма—образец за первым критическим углом и при отражении за третьим критическим от дна. Как известно [31], фаза преломленной поперечной волны и отраженной поперечной волны не меняется только при угле 45 град, но до 45 и после 45 град фаза меняется сложным образом в зависимости от угла преломления или отражения. При работе с антенными решетками, каждый элемент которой имеет широкую диаграмму направленности, ЦФА-изображение в точке ri будет формироваться лучами в широком диапазоне преломленных лучей. Так как фаза импульса зависит от угла преломления, то это приведет к смещению индикации, которое будет зависеть от скорости измерения фазы от угла преломления. При работе с лучами в области 45±5 град этот эффект будет практически незаметен, но для случая работы в диапазоне 52±20 град, характерном для данного численного эксперимента, индикация отражателя на ЦФА-изображении будет смещаться. Таким образом, даже при точно известных параметрах численного эксперимента высота трещины оказалась завышенной примерно на 0,5 мм. При решении задач дефектометрии это недопустимо очень большая ошибка.
Рис. 1. Изображения придонной трещины, восстановленные по акустической схеме TdT: IS,S–S (а); IS,DMAS–DMAS (б); IS,S–S × ICF (в)
На рис. 2 показаны изображения, подобные рис. 1, только с той разницей, что при формировании повыстрельных изображений длина выборки pm с 32 при помощью операции DMAS, согласно формуле (13), была увеличена более чем в десять раз — до 496. Это привело примерно к двукратному повышению фронтальной разрешающей способности, благодаря чему смещения индикации вершины трещины стало очевидным.
Рис. 2. Изображения придонной трещины, восстановленные по акустической схеме TdT: IDMAS, S–S (а); IDMAS,DMAS–DMAS (б); IDMAS,S–S × ICF (в)
Изображения, аналогичные тем, что представлены на рис. 1, но восстановленные по акустической схеме LdL, показаны на рис. 3. Так как фазовые искажения из-за преломления на границе призма—образец отсутствуют, то индикация вершины трещины точнее соответствует своему истинному положению. Индикация корня трещины из-за того, что она сформирована импульсами в основном по схеме LdL, позволяет точнее, чем на рис. 2, определить координату корня трещины. Поэтому по рис. 3в высота трещины определяется с меньшей ошибкой. По сравнению с обычным IS,S–S-изображением на рис. 3а, фронтальная разрешающая способность IS,DMAS–DMAS-изображения на рис. 3б возросла примерно в полтора раза, а уровень «боковых лепестков» индикаций уменьшился. Фронтальная разрешающая способность IS,DMAS–DMAS × ICF-изображения на рис. 3в возросла еще больше — примерно в два раза. Кроме того, на рис. 3в стала заметна индикация, природа которой, возможно, связана с особенностью работы программы CIVA при расчете эхосигналов в приближении Кирхгофа.
Рис. 3. Изображения придонной трещины, восстановленные по акустической схеме LdL: IS, S–S (а); IS, DMAS–DMAS (б); IS,DMAS–DMAS × ICF (в)
На рис. 4 показаны изображения, подобные тем, что приведены на рис. 1, но с коррекцией фазовых искажений, согласно статье [32]. Принципиальная разница между этими двумя изображениями в том, что индикация вершины трещины стала соответствовать ее реальному положению, как было при восстановлении изображений на продольной волне (см. рис. 3). Таким образом для повышения точности решения задачи определения высоты трещины при работе на поперечных волнах (TdT) необходимо корректировать фазовые искажения. При работе с одним и более отражениями от границ образца коррекция фазовых искажений становится необходимой для того, чтобы индикации точно соответствовали реальным положениям границы отражателя.
Рис. 4. Изображения придонной трещины, восстановленные по акустической схеме TdT с коррекцией фазовых искажений: IS, S–S (а); IS,DMAS–DMAS (б); IS,S–S × ICF (в)
МОДЕЛЬНЫЕ ЭКСПЕРИМЕНТЫ
Модельные эксперименты проводились с использованием дефектоскопа «АВГУР АРТ», разработанного и изготовляемого в «Научно-производственном центре «ЭХО+» [33].
4.1. Модель висячей трещины высотой 3 мм
Для создания модели вертикальной висячей трещины высотой около 3 мм в стальном блоке было просверлено сквозное отверстие, блок нагревался до 1000 град и сжимался до полного схлопывания отверстия. Трещина была расположена в точке x = 0 мм. Эхосигналы регистрировались антенной решеткой с частотой 5 МГц из 32 элементов размерами 0,75×10 мм с зазором 0,05 мм, установленной на рексолитовую призму с углом наклона 35 град, передняя грань которой имела координаты x = –4 мм.
На рис. 5а показано ЦФА-изображение трещины по акустической схеме TdT (в принятых обозначениях IS,S-изображение, согласно (3)). Две буквы в обозначении изображения отражают тот факт, что измерения эхосигналов проводились в одной точке, согласно формуле (3). Видны индикации краев трещины на фоне шума достаточно высокого уровня. На рис. 5б показано IS,DMAS-изображение, на котором уровень шума уменьшился примерно на 10 дБ.
Рис. 5. Изображения висячей трещины, восстановленные по акустической схеме TdT: IS, S (а); IS,DMAS (б)
На рис. 6а показано IDMAS,S-изображение трещины по акустической схеме TdT, а на рис. 6б показано IDMAS, DMAS-изображение, на котором уровень шума по сравнению с ЦФА-изображением на рис. 5а уменьшился примерно на 20 дБ, а фронтальная разрешающая способность возросла примерно в два раза.
Рис. 6. Изображения висячей трещины, восстановленные по акустической схеме TdT: IDMAS, S (а); IDMAS, DMAS (б)
4.2. Два БЦО диаметром 2 мм
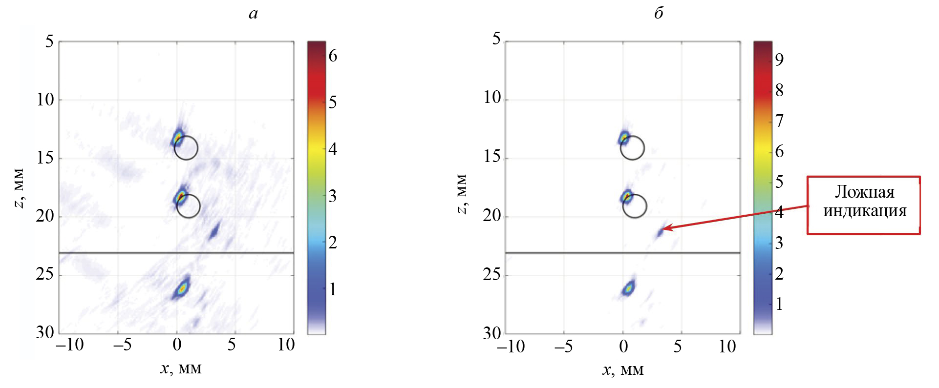
В стальном образце были просверлены два БЦО диаметром 2 мм на глубинах 14 и 18 мм. Центры БЦО расположены в точке x = 1,5 мм. Эхосигналы регистрировались антенной решеткой с частотой 5 МГц из 32 элементов размерами 0,75×10 мм с зазором 0,25 мм, установленной на рексолитовую призму с углом наклона 35 град, передняя грань которой имела координаты x = –5 мм.
На рис. 7а показано IS,S-изображение двух БЦО по акустической схеме TdT. Контуры образца показаны на рисунке линиями черного цвета. Хорошо видны индикации границ БЦО на прямом и отраженном луче, а также ложные индикации, сформированные рэлеевским импульсом обегания—соскальзывания. На рис. 7б показано IS, DMAS-изображение, на котором уровень шума уменьшился примерно на 9 дБ.
Рис. 7. Изображения двух БЦО, восстановленные по акустической схеме TdT: IS, S (а); IS, DMAS (б)
На рис. 8а показано IDMAS,S-изображение трещины, а на рис. 8б показано IDMAS, DMAS-изображение, на котором уровень шума по сравнению с ЦФА-изображением на рис. 7а уменьшился примерно на 20 дБ, а фронтальная разрешающая способность возросла примерно в два раза. Отметим, что амплитуда ложной индикации уменьшилась более чем на 9 дБ.
Рис. 8. Изображения двух БЦО, восстановленные по акустической схеме TdT: IDMAS, S (а); IDMAS, DMAS (б)
4.3. Образец СО-1
Для проверки эффективности работы алгоритма DMAS и метода CF в условиях повышенного уровня шума в плексигласовом стандартном образце СО-1 восстанавливались изображения границ БЦО диаметром 2 мм на глубинах 50, 55 и 60 мм. Для искусственного увеличения уровня шума амплитуда зондирующего импульса была уменьшена до 10 В. Эхосигналы регистрировались антенной решеткой с частотой 5 МГц из 64 элементов размерами 0,55×10 мм с зазором 0,05 мм, установленной непосредственно на образец СО-1.
На рис. 9а показано IS, S-изображение трех БЦО по акустической схеме LdL. Контуры образца показаны на рис. 9б тонкими линиями черного цвета. Видны индикации границ БЦО и индикация дна образца с тенью от самого глубокого отверстия. На рис. 9б показано IS, DMAS-изображение, на котором уровень шума уменьшился примерно на 15 дБ. На рис. 9в показано IS, DMAS × ICF-изображение, на котором уровень шума в сравнении с изображением на рис. 9а уменьшился примерно на 25 дБ.
Рис. 9. Изображения трех БЦО, восстановленные по акустической схеме LdL: IS,S (а); IS,DMAS (б); IS,DMAS × ICF (в)
На рис. 10а показано IDMAS, S-изображение трех БЦО по акустической схеме LdL. Процедура DMAS применялась на первом этапе при формировании повыстрельных изображений (см. табл. 1, строка 1). Контуры образца показаны на рис. 10б тонкими линиями черного цвета. Хорошо видны индикации границ БЦО и индикация дна образца с тенью от самого глубокого отверстия. На рис. 10б показано IDMAS, DMAS-изображение, на котором уровень шума уменьшился примерно на 15 дБ. На рис. 10в показано IDMAS, DMAS × ICF-изображение, на котором уровень шума в сравнении с изображением на рис. 10а уменьшился примерно на 21 дБ.
Рис. 10. Изображения трех БЦО, восстановленные по акустической схеме LdL: IDMAS, S (а); IDMAS, DMAS (б); IDMAS, DMAS × ICF (в)
Если сравнивать исходное IS, S-изображение трех БЦО на рис. 9а с IDMAS, DMAS × ICF-изображением на рис. 10в, то можно утверждать, что на последнем изображении уровень шума уменьшился более чем на 20 дБ, а фронтальная и лучевая разрешающие способности возросли примерно в два раза.
ВЫВОДЫ
Таким образом, по результатам исследований, изложенных в данной статье, можно сделать следующие выводы:
- Применение CF- или DMAS-технологий в различных сочетаниях перспективно, так как эти технологии достаточно простые и практически не требуют дополнительных ресурсов, но при этом повышают разрешающую способность более чем в два раза и могут уменьшить уровень шума более чем на 20 дБ.
- Как было показано в численном эксперименте (см. раздел 3.1), что даже при точно известных параметрах опыта фазовые искажения из-за комплексных коэффициентов преломления и отражения приводят к тому, что при работе по акустической схеме TdT индикация вершины трещины может сместится от своего истинного положения вверх примерно на длину волны (см. рис. 2). Для решения задач дефектометрии это очень большая ошибка. Но если при восстановлении изображения отражателей проводить коррекцию фазы, то индикация вершины трещины совпадает со реальным положением вершины модели трещины (см. рис. 4).
CF- или DMAS-технологии показали свою работоспособность и при работе с зашумленными эхосигналами (раздел 4.3).
About the authors
E. G. Bazulin
ECHO+ Research and Production Center LLC
Author for correspondence.
Email: bazulin@echoplus.ru
Russian Federation, Moscow
References
- Danilov V.N., Voronkova L.D. Just about converters with phased arrays in ultrasonic control. Monograph. M. : Spectrum, 2019. 135 p. : ill. Bibliogr. at the end of the article. ISBN 978-5-4442-0144-2.
- Voronkov V.A., Voronkov I.V., Kozlov V.N., Samokrutov A.A., Shevaldykin V.G. On the applicability of antenna array technology in solving problems of ultrasonic control of hazardous production facilities // In the world of non-destructive testing. 2011. No. 1. P. 64—70.
- Bazulin E.G. Comparison of systems for ultrasonic non-destructive testing using antenna arrays or phased array antennas // Flaw detection. 2013. No. 7. P. 51—75.
- ISO 23865:2021. Non-destructive testing — Ultrasonic testing — General use of full matrix capture/total focusing technique (FMC/TFM) and related technologies. URL: https://www.iso.org/standard/78034.html (date of application: 07/28/2024).
- Kovalev A.V., Kozlov V.N., Samokrutov A.A., Shevaldykin V.G., Yakovlev N.N. Pulse echo method for concrete control. Interference and spatial selection // Flaw detection. 1990. No. 2. P. 29—41.
- Neronsky L.B., Mikhailov V.F., Bragin I.V. Microwave equipment for remote sensing of the Earth’s surface and atmosphere. Radars with synthesized antenna aperture / Textbook. Part 2. SPb.: SPbSUAP, 1999. 220 p.: ill.
- Holmes C., Drinkwater B.W., Wilcox P.D. Post-processing of the full matrix of ultrasonic transmit-receive array data for non-destructive evaluation // NDT&E International. 2005. V. 38. P. 701—711.
- Bazulin E.G. About terminology in the field of CFA/TFM application, taking into account the published ISO 23865:2021 and ISO 23864:2021 standards. URL: https://echoplus.ru/publication/prochee/o-terminologi-v-oblasti-primeneniya-tsfa-tfm-s-uchyetom-vyshedshikh-standartov-iso-23865-2021-i-is / (accessed 05.09.2024).
- Wells P.N.T. Ultrasonics in medicine and biology // Phys. Med.Biol. Jul. 1977. V. 22. No. 4. P. 629—669. doi: 10.1088/0031-9155/22/4/001
- Matrone G., Savoia A.S., Caliano G., Magenes G. The delay multiply and sum beamforming algorithm in ultrasound B-mode medical imaging // IEEE Trans. Med. Imag. Apr. 2015. V. 34. No. 4. P. 940—949. doi: 10.1109/TMI.2014.2371235
- Hollman K.W., Rigby K.W., O’Donnell M. Coherence factor of speckle from a multi-row probe // Proc. IEEE Ultrason. 440 Symp. 1999. P. 1257—1260. doi: 10.1109/ULTSYM.1999.849225
- Nilsen C.-I., Holm S. Wiener beamforming and the coherence factor in ultrasound imaging // IEEE Trans. Ultrason. Ferro-442 electr. Freq. Control. 2010. V. 57. No. 6. P. 1329—1346. doi: 10.1109/TUFFC.2010.1553
- Kang S., Lee J., Chang J.H. Effectiveness of synthetic aperture focusing and coherence factor weighting for intravascular ultrasound imaging // Ultrasonics. 2021. V. 113. P. 106364. doi: 10.1016/j.ultras.2021.106364
- Gauthier Baptiste, Painchaud Guillaume, Le Duff Alain, Belanger Pierre. Lightweight and Amplitude-Free Ultrasonic Imaging Using Single-Bit Digitization and Instantaneous Phase Coherence // IEEE Transactions on Ultrasonics, Ferroelectrics, and Frequency Control. 2022. P. 1—1. ISSN 1525-8955. doi: 10.1109/TUFFC.2022.3163621
- Bazulin E.G. Using the coherence coefficient to improve the image quality of reflectors during ultrasonic testing // Flaw detection. 2017. No. 6. P. 5—17.
- Camacho Jorge, Fritsch Carlos, Fernandez-Cruza Jorge, Parrilla Montserrat. Phase Coherence Imaging: Principles, applications and current developments // Proceedings of Meetings on Acoustics. September 2019. V. 38 (1). P. 055012. doi: 10.1121/2.0001201. URL: https://asa.scitation.org/doi/abs/10.1121/2.0001201 (accessed: 07/28/2024).
- Okumura S., Taki H., Sato T. Stabilization techniques for high resolution ultrasound imaging using beamspace Capon method / 2015 IEEE International Conference on Acoustics, Speech and Signal Processing (ICASSP). South Brisbane, QLD. 2015. P. 892—896.
- Bazulin E. The maximum entropy method in ultrasonic non-destructive testing – increasing the resolution, image noise reduction and echo acquisition rate // Entropy. 2018. V. 20 (8). P. 621. DOI: https://doi.org/10.3390/e20080621
- Guarneri G.A., Pipa D.R., Junior F.N., Ramos de Arruda L.V., Zibetti M.V.W. A Sparse Reconstruction Algorithm for Ultrasonic Images in Nondestructive Testing // Sensors. 2015. V. 15. P. 9324—9343. doi: 10.3390/s150409324
- Bazulin E.G., Sokolov D.A. Restoration of ultrasonic images of reflectors based on incomplete data by the recognition method with compression // Acoustic. Journal. 2019. No. 4. P. 520—532.
- Song H., Yang Y. Super-resolution visualization of subwavelength defects via deep learning-enhanced ultrasonic beamforming: A proof-of-principle study // NDT & E International. 2020. P. 102344. doi: 10.1016/j.ndteint.2020.102344
- Zhang F., Luo L., Li J., Peng J., Zhang Y., Gao X. Ultrasonic adaptive plane wave high-resolution imaging based on convolutional neural network // NDT & E International. June 2023. V. 138. P. 102891. doi: 10.1016/j.ndteint.2023.102891
- Ermolov I.N., Lange Yu.V. Ultrasonic control. In the book: Non-destructive testing. Guide. Under the general editorship of V. V. Klyuev. V. 3. M.: Mechanical engineering, 2004. 864 p.
- Hollman K.W., Rigby K.W., O’Donnell M. Coherence factor of speckle from a multi-row probe // IEEE Ultrasonics Symp Proc Int Symp. 1999. V. 2. P. 1257—1260.
- Camacho J., Parrilla M., Fritsch C. Phase coherent image // EEE transactions on ultrasonics, ferroelectrics, and frequency control. 2009. V. 56. No. 5. P. 958—974.
- Cruza J.F., Camacho J., Fritsch C. Plane-wave phase-coherence imaging for NDE // NDT & E International. 2017. V. 87. P. 31—37. doi: 10.1016/j.ndteint.2017.01.005 URL: https://sci-hub.ru/https://doi.org/10.1016/j.ndteint.2017.01.005 (date of application: 09/15/2024).
- https://sci-hub.ru/10.1109/TUFFC.2011.1901 (date of application: 09/15/2024).
- Ke Song, Duo Chen. Comparison of coherence factor and sign coherence factor applied to a nonlinear beamforme / Special Issue: A Special Selection on Recent Advances in Biomechanical Engineering — Part II. Guest Editors: Esteban Peña Pitarch and Eddie Y. K. Ng. doi: 10.1142/S0219519423401012. URL: https://worldscientific.com/doi/epdf/10.1142/S0219519423401012 (date addresses: 09/15/2024).
- Le Duff Alain, Painchaud-April Guillaume. Phase Coherence Imaging for Flaw Detection: URL: https://www.ndt.net/article/ndtnet/papers/Phase_Coherence_Imaging_for_Flaw_Detection.pdf (date of application: 09/15/2024).
- EXTENDE company: ofic. website URL: https://www.extende.com/ndt (date of reference: 05/11/2024).
- Bazulin E.G. Coherent reconstruction of defect images taking into account the effect of specular reflection of ultrasonic pulses from the boundaries of the control object // Flaw detection. 2010. No. 7 (46). P. 18—29.
- Bazulin E.G. Using the inverse C-SAFT method to equalize the spatial sensitivity of the image of reflectors // Flaw detection. 2015. No. 1. P. 58—71.
- Scientific and production center “ECHO+”. Оfic. website URL: https://echoplus.ru / (date of access: 09/11/2024).
Supplementary files











