Измерение вязкости расплава серы методом протонной микроскопии
- Авторы: Хурчиев А.О.1, Гаврилин Р.О.1, Скобляков А.В.1, Канцырев А.В.1, Голубев А.А.1, Минцев В.Б.2, Николаев Д.Н.2, Шилкин Н.С.2, Беликов Р.С.3
-
Учреждения:
- НИЦ «Курчатовский институт»
- ФИЦ проблем химической физики и медицинской химии РАН
- Goethe University Frankfurt
- Выпуск: № 10 (2024)
- Страницы: 28-35
- Раздел: Радиационные методы
- URL: https://ogarev-online.ru/0130-3082/article/view/266822
- DOI: https://doi.org/10.31857/S0130308224100035
- ID: 266822
Цитировать
Полный текст
Аннотация
Сера — вещество с аномальной зависимостью вязкости от температуры. Была создана экспериментальная установка для исследования вязкости серы при давлениях до 100 бар и температурах до 500 °С. Для визуализации процесса падения шарика из карбида вольфрама, расположенного в расплаве серы, использовался метод протонной радиографии. Эксперимент проводился на протонном микроскопе PRIOR-II (Институт тяжелоионных исследований, GSI, Дармштадт, Германия). В данном эксперименте для протонной радиографии впервые применялся режим работы ускорителя SIS-18 с медленным выводом пучка. Была измерена вязкость расплава серы при давлении 90 бар и температурах 190—320 °С. Показано, что на вязкость серы имеют большое влияние примеси, в том числе сероводород, который появляется в расплаве серы при высоких температурах.
Ключевые слова
Полный текст
ВВЕДЕНИЕ
Сера — вещество, которое имеет аномальную зависимость вязкости от температуры. Сера при атмосферном давлении плавится при температуре 113 °С, достигая минимального значения вязкости 7∙10–3 Па∙с при температуре 160 °С (точка λ-перехода). При дальнейшем нагреве серы происходит ее полимеризация, что ведет к резкому увеличению вязкости серы на несколько порядков: максимальное значение вязкости достигает 93,3 Па∙с при температуре 187 °С. Дальнейшее увеличение температуры ведет к постепенному уменьшению вязкости расплава серы до 0,1 Па∙с при температуре кипения [1]. При этом температурная зависимость уменьшения вязкости после максимума имеет отличный характер от поведения до точки λ-перехода.
Сера широко изучалась во второй половине прошлого столетия из-за ее необычных свойств в жидком состоянии. Однако большинство работ проводилось при атмосферном давлении [2]. Первые исследования влияния давления на вязкость серы были сделаны в работе [3] с помощью вискозиметрии. В данной работе установка для определения скорости движения шара по наклонной плоскости полностью погружалась в расплав жидкой серы. Измерения проводились в диапазоне давлений от 1 до 100 бар и при температурах от 165 до 305 °С, полученные результаты показали высокую корреляцию с существующими на тот период времени моделями [4]. Развитие математической модели для описания вязкости серы было продолжено в работах [5—7], основанных на описании полимерных цепочек серы. В [8] была получена экспериментальная кривая вязкости серы в зависимости от температуры. В [9] измерялось изменение вязкости серы в зависимости от температуры при давлении 9,7 ГПа. Полученные экспериментальные результаты показали хорошее согласие с расчетами, проведенными в [10]. Работа [11] была посвящена измерению вязкости серы при давлении 4,5 ГПа и температурах 727 и 1100 °С. Изучение свойств серы также интересно с точки зрения процессов, протекающих на других планетах. Так, например, атмосфера Венеры, состоящая в основном из углекислого газа и азота, содержит небольшое количество серы, которая участвует в цикле окисления. Кроме того, предполагается наличие расплавленной серы на поверхности Венеры, которая может образовывать реки и каналы. Определяя в лабораторных условиях размер цепочек серы по измерениям ее вязкости, можно делать косвенные выводы о процессах, происходящих на поверхности планеты. В данной работе представлены результаты измерения вязкости серы при давлении 90 бар и температуре в диапазоне от 190 до 320 °С.
ЭКСПЕРИМЕНТАЛЬНАЯ УСТАНОВКА
Один из наиболее распространенных методов измерения вязкости жидкости — метод Стокса, основанный на измерении скорости падения тестового сферического объекта в жидкости. Для обеспечения давления 90 бар в процессе эксперимента при нагреве серы до температуры 320 °С использовалась титановая трубка диаметром 12,7 мм, толщиной стенки 1,24 мм и длиной 106 мм. При подготовке сборки к облучению вольфрамовая трубка заполнялась порошковой серой. Чистота изначального материала составляла 99,992 %. Затем в трубку помещался тестовый объект в виде шара, изготовленного из карбида вольфрама, диаметром 2 мм. Затем происходил нагрев сборки до температуры плавления серы. Итерационно сборка заполнялась расплавом серы до заполнения внутренних полостей и достижения необходимого уровня расплава в трубке. Нагрев и отпуск производились при атмосферных условиях.
Конструкция экспериментальной установки позволяла дистанционно переворачивать трубку вокруг горизонтальной оси, запуская процесс падения шара из карбида вольфрама. Нагрев трубки осуществлялся с помощью двух резистивных электронагревательных элементов. Для контроля температуры использовались два термопарных датчика фирмы Omega типа K с погрешностью измерений ±2,5 °С. Первый из датчиков был непосредственно вмонтирован в латунный держатель нагревателя, второй был установлен в торце титановой трубки. Управление нагревом, а также считывание сигналов с термопарных датчиков осуществлялось с помощью регулятора UR4848xA Universal Controller фирмы Wachendorf. Для создания повышенного давления в титановой трубке используется буферный газ—аргон с заявленной чистотой по содержанию примесей 99,998 % (20 ppm). Давление газа регулировалось с помощью предохранительного пружинного клапана фирмы Swagelok 177-R3A-K1-C, рассчитанного на рабочее давление от 51,7 до 103 бар. В проведенных экспериментах предохранительный клапан был настроен на давление 90 бар с ошибкой установки давления до 20 %.
Поскольку расплав серы и шарик из карбида вольфрама расположены в титановой трубке с толстой стенкой, для визуализации процесса падения шарика применяли метод высокоэнергетической протонной микроскопии [12]. Высокоэнергетическая протонная микроскопия при энергии протонов >1 ГэВ обеспечивает лучшее пространственное разрешение и проникающую способность по сравнению с методом рентгеновской радиографии. Эксперимент по измерению вязкости серы проводился на протонном микроскопе PRIOR II ускорителя SIS-18 (Общество тяжелоионных исследований GSI (Германия, Дармштадт)) при энергии протонов 2,5 ГэВ. Установка PRIOR II является усовершенствованной версией ранее созданного протонного микроскопа PRIOR [13] с применением высокостабильных электромагнитных квадрупольных линз в системе формирования изображений взамен квадрупольных линз на постоянных магнитах. Схема расположения квадрупольных линз и настройка их токов обеспечивают формирование изображения в плоскости регистрации. Протонно-радиографические изображения исследуемого объекта получены с увеличением 3,49. Также установка обеспечивает возможность регулировки контраста изображений. Предельное полученное пространственное разрешение данной установки для исследуемого объекта составило ~40 мкм при размерах исследуемой области 40×40 мм2. В данном эксперименте для протонной радиографии впервые применялся режим работы ускорителя SIS-18 с медленным выводом пучка. Длительность прохождения пучка протонов сквозь образец составляла 2 с. Высокая плотность исследуемого материала и высокий средний Z материала шарика позволили получить изображения с хорошим контрастом.
ЭКСПЕРИМЕНТАЛЬНЫЕ РЕЗУЛЬТАТЫ
Протонно-радиографическое изображение формировалось на сцинтилляционном детекторе CsI:Tl в виде пластины 120×120 мм2 и толщиной 6 мм и регистрировалось с помощью цифровой камеры PCO DIMAX. Режим работы цифровой камеры позволял получить серию из 45 кадров с экспозицией 40 мс каждого кадра и временем задержки между кадрами 5 мс. При обработке экспериментальные данные брались из одного цикла нагрева. На рис. 3 показано несколько протонно-радиографических изображений, полученных в различные моменты времени от начала падения шарика в расплаве серы. Как видно из графика, приведенного на рис. 4, движение шарика носит равномерный характер.
Рис. 1. Схема мишенной части установки для исследования вязкости расплава серы методом протонной микроскопии
Рис. 2. Установка для измерения вязкости серы. Слева — фотография поворотного узла с титановой трубкой, заполняемой серой при снятом термокожухе. Справа — общий вид установки на фоне квадрупольных электромагнитных линз (желтого цвета) системы формирования протонно-радиографических изображений протонного микроскопа PRIOR-II
Рис. 3. Протонно-радиографические изображения шарика в расплаве серы в различные моменты времени. Температура расплава серы 286 °С и давление 90 бар
Рис. 4. Положение шарика из карбида вольфрама в расплаве серы в различные моменты времени. Температура расплава серы 286 °С и давление 90 бар
После обработки полученных изображений была построена зависимость скорости падения шарика от температуры расплава серы (рис. 5).
Рис. 5. Скорость падения шарика в зависимости от температуры расплава серы при давлении 90 бар
При измерении вязкости серы методом Стокса будем использовать зависимость из работы [11]:
, (1)
где rs — радиус шарика; rс — радиус трубки; h — высота трубки; ρs — плотность шара; ρl — плотность расплава; v — скорость движения шара.
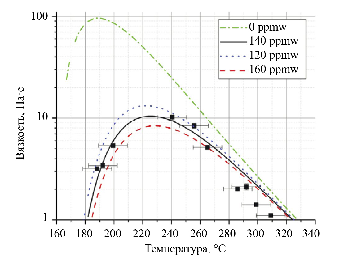
Поскольку при измерениях методом Стокса вязкость серы определяется через разность плотностей шарика (ρs = 15,77 г/см3) и расплава (ρl = 1,6 – 1,9 г/см3), то изменение плотности расплава серы вносит ошибку на уровне 1—1,5 %. На рис. 6 представлены полученные значения вязкости серы при давлении 90 бар в сравнении с экспериментальными данными из работы [3] при давлении 100 атм. и расчетом по аналитической модели, предложенной в работе [14].
Рис. 6. Вязкость расплава серы в зависимости от температуры. Черные квадраты — экспериментальные данные, полученные в данной работе при давлении 90 бар; черные треугольники — экспериментальные данные из работы [3] при давлении 100 атм.; штрихпунктирная кривая — расчет по аналитической модели из работы [14]
Из рис. 6 видно, что значения полученных экспериментальных данных находятся ниже расчетных значений вязкости серы. Кроме того, полученное максимальное значение вязкости смещено в сторону более высоких температур по сравнению с расчетным значением. Известно [14—16], что на вязкость серы большое влияние имеют различные примеси. Примеси в расплавленной сере могут быть как продуктом элементов загрязнения стенок сосуда, так и сероводором. Последний является продуктом дегидрирования углеводородов, когда дирадикалы серы вступают в химическую реакцию с углеводородами из стандартного остатка. Реакция серы с алифатическими углеводородами происходит при температурах выше 160 °С. На рис. 7 представлено два протонно-радиографических изображения расплава серы с шариком из карбида вольфрама в различные моменты времени. На изображениях можно заметить границу, предположительно пузыря сероводорода или аргона, движение которого направлено противоположно направлению движения шарика.
Рис. 7. Протонно-радиографические изображения расплава серы в различные моменты времени. Стрелками обозначены граница пузыря
В работе [15] была предложена модифицированная аналитическая модель из работы [14] для расчета вязкости серы, которая учитывает концентрацию примеси сероводорода в расплаве:
, (2)
где a2 = –47,49 и a3 = 22827 — коэффициенты, используемые для представления константы трения при движении Рауза и константы скорости первого порядка разрыва связей S—S; R — газовая постоянная; T — температура расплава; N — средний коэффициент полимеризации:
; (3)
; (4)
, (5)
где φ — объемная доля длинных полимерных цепочек серы; f(TCDF) — функция распределения Вейбулла.
; (6)
, (7)
где p1 = 0,709; p2 = 117; p3 = 2,51; q1 = 101,2; q2 = 142,56; q3 = 496,9; WH2S — концентрация сероводорода. Точные значения коэффициентов получены в работе [15].
Экспериментальные значения вязкости серы в сравнении с аналитической моделью [15] представлены на рис. 8.
Рис. 8. Вязкость расплава серы в зависимости от температуры при давлении 90 бар. Черные точки — экспериментальные данные. Линии соответствуют теоретическим расчетам [14]: сплошная — массовой доле сероводорода 140 ppmw; пунктирная — 120 ppmw; штриховая — 160 ppmw; штрихпунктирная — вязкости серы без примесей
Расчеты, проведенные с помощью вышеприведенной аналитической модели, показали, что наилучшее согласие с полученными экспериментальными данными достигается при массовой доле сероводорода WH2S = 140 ppmw. Расхождение экспериментальных данных с расчетной кривой при температурах выше 280 °С можно объяснить тем, что существует градиент температуры между термопарой, титановой трубкой и самой серой. Максимальная вязкость, измеренная в проведенных экспериментах, составила ηmax = (10,2 ± 0,6) Па∙с.
ЗАКЛЮЧЕНИЕ
В данной работе представлены результаты измерения вязкости расплава серы в диапазоне температур 190—320 °С и давлении 90 бар методом Стокса. Измерения проводились на установке по протонной радиографии с использованием медленного вывода пучка протонов с длительностью импульса 2 с при энергии протонов 2,5 ГэВ с синхротрона SIS-18. Полученная экспериментальная зависимость вязкости серы от температуры согласуется с расчетными значениями при массовой доле сероводорода в расплаве в количестве 140 ppmw. Максимальное значение вязкости серы составило ηmax = (10,2 ± 0,6) Па∙с при давлении 90 бар и при температуре расплава серы 240 °С. Проведенный эксперимент показывает перспективность методики протонной микроскопии при изучении медленных динамических процессов.
Работа проведена в рамках выполнении государственного задания НИЦ «Курчатовский институт» и ФИЦ ПХФиМХ (регистрационный номер 124020600049-8).
Об авторах
А. О. Хурчиев
НИЦ «Курчатовский институт»
Автор, ответственный за переписку.
Email: ayuxa@inbox.ru
Россия, Москва
Р. О. Гаврилин
НИЦ «Курчатовский институт»
Email: ayuxa@inbox.ru
Россия, Москва
А. В. Скобляков
НИЦ «Курчатовский институт»
Email: ayuxa@inbox.ru
Россия, Москва
А. В. Канцырев
НИЦ «Курчатовский институт»
Email: ayuxa@inbox.ru
Россия, Москва
А. А. Голубев
НИЦ «Курчатовский институт»
Email: ayuxa@inbox.ru
Россия, Москва
В. Б. Минцев
ФИЦ проблем химической физики и медицинской химии РАН
Email: ayuxa@inbox.ru
Россия, Черноголовка
Д. Н. Николаев
ФИЦ проблем химической физики и медицинской химии РАН
Email: ayuxa@inbox.ru
Россия, Черноголовка
Н. С. Шилкин
ФИЦ проблем химической физики и медицинской химии РАН
Email: ayuxa@inbox.ru
Россия, Черноголовка
Р. С. Беликов
Goethe University Frankfurt
Email: ayuxa@inbox.ru
Германия, Frankfurt am Main
Список литературы
- Sofekun G.O. Rheometric Properties of Pure Liquid Elemental Sulfur. Master’s thesis. Calgary, Canada: University of Calgary, 2017.
- Steudel R. Liquid sulfur // Top. Curr. Chem. 2003. No. 230. P. 81—116.
- Doi T. Physico-chemical properties of sulfur. 1. Pressure effects on viscosity of liquid // Rev. Phys. Chem. Jap. 1963. No. 33. P. 41—52.
- Tobolsky A.V., Eisenberg A. Equilibrium Polymerization of Sulfur // J. Am. Chem. Soc. 1959. V. 81. P. 780—782.
- Touro F.J., Wiewiorowski T.K. Viscosity-chain length relationship in molten sulfur system // J. Phys. Chem. 1966. V. 70. P. 239—241.
- Eisenberg A. The viscosity of liquid sulfur: A mechanistic reinterpretation // Macromolecules. 1968. No. 2. P. 44—48.
- Cates M.E. Theory of the viscosity of polymeric liquid sulfur // Europhys. Lett. 1987. No. 4. P. 497—502.
- Bacon R., Fanelli R. The viscosity of sulfur // J. Am. Chem. Soc. 1943. V. 65. P. 639—648.
- Terasaki H., Kato T., Funakoshi K., Suzuki A., Urakawa S. Viscosity of sulfur under high pressure // J. Phys., Condens. Matt. 2004. V. 16. P. 1707—1714.
- Powell E., Eyring H. The properties of liquid sulfur // J. Am. Chem. Soc. 1943. V. 65. P. 648–654.
- Sukara Reynold E., Secco Richard A. Viscosity of liquid sulfur at 4.5 GPa in the L and L’ regions // High Pressure Research: An International Journal. 2012. No. 32:4. P. 451—456.
- Kantsyrev A.V., Golubev A.A., Bogdanov A.V., Demidov V.S., Demidova E.V., Ladygina E.M., Markov N.V., Skachkov V.S., Smirnov G.N., Rudskoy I.V., Kuznetsov A.P., Khudomyasov A.V., Sharkov B.Yu., Dudin S.V., Kolesnikov S.A., Mintsev V.B., Nikolaev D.N., Ternovoi V.Ya., Utkin A.V., Yuriev D.S., Shilkin N.S., Fortov V.E., Turtikov V.I., Burtsev V.V., Zhernokletov M.V., Zavialov N.V., Kartanov S.A., Mikhailov A.L., Rudnev A.V., Tatsenko M.V., Varentsov D.V., Shestov L.M. TWAC-ITEP Proton Microscopy Facility // Instruments and Experimental Techniques. 2014. V. 57. No. 1. P. 1—10.
- Varentsov D., Antonov O., Bakhmutova A., Barnes C.W., Bogdanov A., Danly C.R., Efimov S., Endres M., Fertman A., Golubev A.A., Hoffmann D.H.H., Ionita B., Kantsyrev A., Krasik Ya.E., Lang P.M., Lomonosov I., Mariam F.G., Markov N., Merrill F.E., Mintsev V.B., Nikolaev D., Panyushkin V., Rodionova M., Schanz M., Schoenberg K., Semennikov A., Shestov L., Skachkov V.S., Turtikov V., Udrea S., Vasylyev O., Weyrich K., Wilde C., Zubareva A. Commissioning of the PRIOR proton microscope // Review of Scientific Instruments. 2016. V. 87. Is. 2. P. 023303/1—023303/8.
- Sofekun G.O., Evoy E., Lesage K.L., Chou N., Marriot R.A. The rheology of liquid elemental sulfur across the λ-transition // Journal of Rheology. 2018. V. 62. P. 469—476.
- Stashick M.J., Sofekun G.O., Marriott R.A. Modifying effects of hydrogen sulfide on the rheometric properties of liquid elemental sulfur // AIChE J. 2020. V. 66. Is. 6.
- Тимрот Д.Л., Середницкая М.А., Медведицков А.Н. Экспериментальное исследование вязкости бинарной системы сера — йод в диапазоне температур 360—900 К // Теплофизика высоких температур. 1985. Т. 23. № 5. C. 882—889.
Дополнительные файлы










