Диагностика скрытой воды в сотовых панелях стеклопластик—Nomex при изменяющейся в пространстве ориентации панелей
- Авторы: Magoda C.M.1, Ngonda T.N.1, Вавилов В.П.2, Кладов Д.Ю.2
-
Учреждения:
- Mechanical Engineering Department, Cape Peninsula University of Technology
- Национальный исследовательский Томский политехнический университет
- Выпуск: № 7 (2024)
- Страницы: 28-41
- Раздел: Тепловые методы
- URL: https://ogarev-online.ru/0130-3082/article/view/262216
- DOI: https://doi.org/10.31857/S0130308224070038
- ID: 262216
Цитировать
Полный текст
Аннотация
Представлены результаты экспериментального и численного анализа процедуры обнаружения воды в авиационных сотовых конструкциях. Проникновение атмосферной влаги в соты авиационных панелей может приводить как к незначительным, так и существенным повреждениям элементов самолетов, в которых использованы сотовые конструкции. Процент заполнения сот водой или льдом является важным фактором, влияющим на возможные повреждения сотовой панели. В настоящем исследовании акцент сделан на анализ следующих параметров: 1) ориентация панели в пространстве (горизонтальная, вертикальная или под наклоном 30, 45 и 60°), что влияет на эффективность обнаружения воды, в особенности в незаполненных сотах; 2) оптимальные способы нагрева в режиме активного теплового контроля; 3) влияние фазового перехода лед/вода на эффективность выявления воды. Численный анализ проводили с использованием программы ThermoCalc-3D, что позволило оценить качество диагностики воды в самолетных панелях различной ориентации. Испытания контрольных образцов, содержавших в сотах воду и лед, были выполнены с использованием ряда алгоритмов обработки термограмм, реализованных в программе ThermoFit, что позволило повысить отношение сигнал/шум при диагностике изменяющейся массы воды в панелях с различной пространственной ориентацией, в том числе при наличии фазового перехода лед/вода.
Полный текст
1. ВВЕДЕНИЕ
Сотовые панели являются ключевым элементом авиационных конструкций в современных самолетах. В течение многих лет такие панели используются при производстве фюзеляжей, крыльев, рулей высоты и направления, т.е. тех компонентов, где требуется высокая прочность при малой массе. Отдельные сотовые изделия соединяются в готовые конструкции, эксплуатируемые длительное время в неблагоприятных атмосферных условиях. В процессе эксплуатации возможно проникновение влаги через неплотные соединения сотовых конструкций вследствие дождя, конденсации и т.п. На крейсерской высоте скрытая вода замерзает и расширяется, что может приводить как к незначительному, так и существенному разрушению сотовых панелей с фатальными последствиями. Весьма опасными с точки зрения эксплуатационной надежности самолетов являются циклы замерзания/таяния воды, скрытой в сотах, при чередующихся взлетах и посадках самолетов.
Известен ряд методов неразрушающего контроля (НК), пригодных с той или иной степенью эффективности для обнаружения и оценки массы воды в авиационных сотовых панелях. Ультразвуковой НК может рассматриваться в качестве одного из основных методов, однако его недостатками являются необходимость контакта с объектом контроля, низкая производительность и трудности испытаний тонких конструкций [1—3]. К другим методам диагностики скрытой воды относится техника магнитного резонанса, которая доказала свою высокую чувствительность при обнаружении скрытой воды. Этот метод используют для локализации воды в ячейках сотовых панелей при одностороннем доступе к объекту контроля [4]. Был разработан органокерамический композит, содержащий электропроводный компаунд, внедренный в гидрофильную матрицу [5]. При взаимодействии воды и композита электропроводность существенно изменяется вследствие поглощения и расширения материала матрицы. Микроволновой НК также используют в ближней зоне для обнаружения, идентификации и количественной оценки воды [6]. На основе того факта, что амплитуда отраженных микроволн, измеряемая коаксиальным датчиком, пропорциональна массе воды, предложен так называемый метод характеристического пика (characteristic peak method — CPM), основанный на линейном сканировании объекта контроля и позволяющий оценить размеры зоны влагосодержания. Однако вышеописанные методы также являются контактными и пригодны для одноразового контроля зон малой площади. На фоне недостатков многих известных методов НК применительно к контролю воды в сотах перспективным является пассивный и активный тепловой контроль (ТК) или метод инфракрасной (ИК) термографии. Данный метод характеризуется дистанционным характером, иллюстративностью и высокой производительностью испытаний [7—17].
Для иллюстрации применения ТК для проверки воды в эксплуатируемых самолетах на рис. 1 показаны результаты, ранее полученные в Томском политехническом университете в пассивной и активной процедурах испытаний.
Обследование проводили утром с 9-00 до 12-00 (посадка самолета была произведена в 8-20). Согласно предложенной в Томском политехническом университете методике, обнаружение воды с массой, представляющей практический интерес, возможно непосредственно после посадки самолета (рис. 1а). Тем не менее, зоны с низким влагосодержанием могут быть подчеркнуты, применяя внешнюю тепловую стимуляцию (рис. 1б).
Рис. 1. Диагностика воды в фюзеляже самолета (с разрешения Д.А. Нестерука, ТПУ): а — после посадки; б — после посадки (термограмма вверху) и через 3 ч в режиме обдува горячим воздухом.
Хроническим недостатком ранее предложенных методик, в том числе используемых в корпорациях Boeing и Airbus, является качественный характер испытаний. Ряд подходов к количественной оценке воды в сотах были рассмотрены в [9, 10, 14, 17]. Фактически, предлагалось определять площадь температурной аномалии и умножать ее на высоту сот в предположении, что вода заполняет 100 % объема сот. На практике это не всегда так, и наличие воздушных зазоров между скрытой водой и обшивкой сот может существенно влиять на оценки массы воды.
Ранее было проанализировано влияние воздушного зазора на параметры обнаружения воды в горизонтально-ориентированных панелях, в результате чего были продемонстрированы возможности искусственной нейронной сети для оценки массы воды [11]. В настоящей работе теоретически и экспериментально исследовано, как частичное заполнение сот водой влияет на поверхностное температурное распределение при горизонтальном, вертикальном и наклонном положении сотовой панели, включая анализ фазового перехода лед/вода.
2. ЧИСЛЕННОЕ МОДЕЛИРОВАНИЕ
2.1. Тестовые сценарии
Моделирование сотовых панелей представляет определенные трудности вследствие их сравнительно сложной структуры, особенно при необходимости моделировать дефекты сот. Предложен ряд моделей обнаружения и оценки массы воды [9, 11, 14]. Фактически, моделирование задач ТК началось с разработки одномерных моделей, в которых передача тепла происходит по одной координате. В таких моделях дифференциальные температурные сигналы на поверхности зависят от глубины структурных неоднородностей, изменяясь во времени. Одномерные модели эффективны в случае однородных объектов контроля, и их аналитические решения становятся громоздкими для многослойных объектов. Следующим шагом при моделировании задач ТК было использование решений уравнения теплопроводности в цилиндрической двухмерной геометрии, в частности, при анализе дискообразных дефектов в изделии типа диска (программа ThermoCalc-2D, Томский политехнический университет).
В настоящее время развитое моделирование в ТК осуществляют путем анализа трехмерной теплопроводности в слоистых структурах с дефектами конечных размеров. Например, программа ThermoCalс-3D (Томский политехнический университет) позволяет моделировать до 36 анизотропных слоев различных материалов, в которых можно размещать до 40 дефектов в форме параллелепипеда. Обе программы ThermoCalc-2D и ThermoCalc-3D используют неявную разностную схему, причем количество узлов численной сетки может достигать нескольких миллионов.
В настоящей работе рассмотрены различные сценарии, описывающие положение воды в сотах. Анализируемая модель включает сотовую структуру, состоящую из ячеек, выполненных из бумаги типа Nomex, и стеклопластиковой обшивки. Поскольку в эксплуатируемых самолетах сотовые панели, используемые в фюзеляже, крыльях, рулях высоты и направления, ориентированы в пространстве различным образом, исследовались ситуации горизонтального, вертикального и наклонного положения объектов контроля в пространстве.
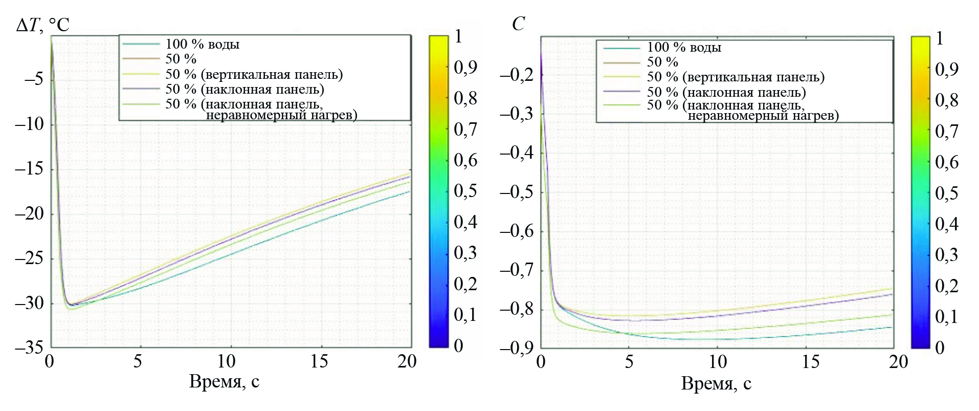
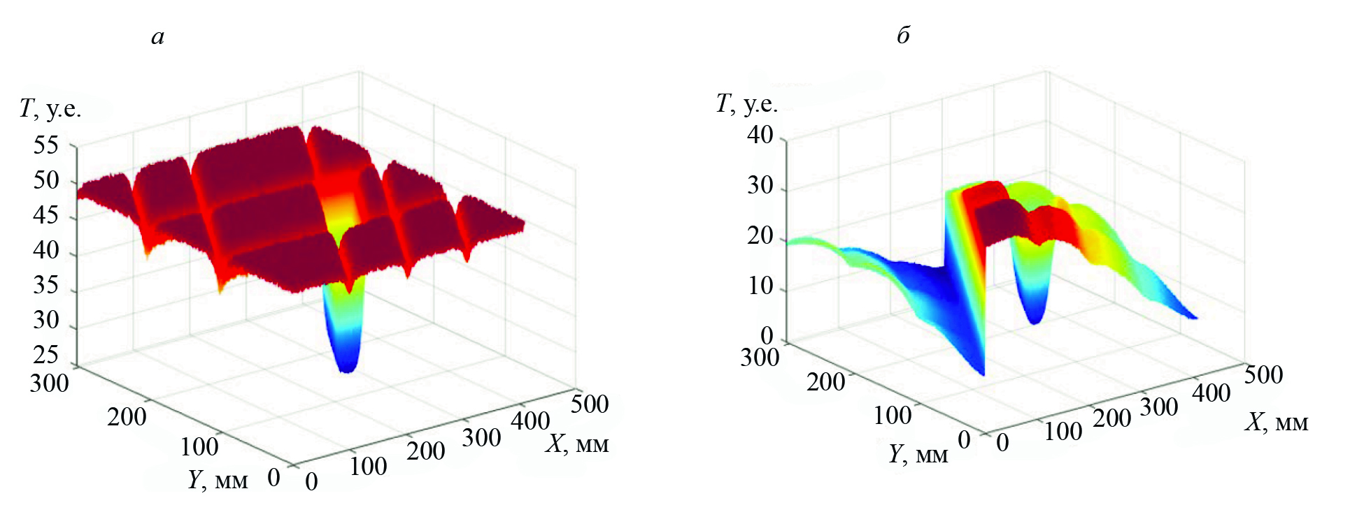
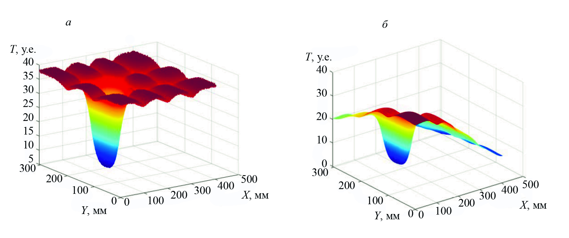
Ячейки сот могут быть полностью (рис. 2а) или частично (рис. 2б—д) заполнены водой (см. рис. 2а). На рис. 2 показаны ситуации, в которых ячейки сот заполнены водой на 50 и 100 %. В работе [11] было показано, что воду можно эффективно обнаруживать в ситуациях, когда она находится в контакте с обшивкой, и диагностика становится затруднительной, если между обшивкой и водой имеется воздушный промежуток. Следует заметить, что вода может в определенных положениях панели ускорять деградацию бумаги Nomex. В наклонном положении (см. рис. 2д, е) часть обшивки и часть ячейки находятся в контакте с водой под действием сил гравитации. Это приводит к тому, что температурные параметры обнаружения воды, такие как дифференциальный температурный сигнал ΔT, текущий контраст C = ΔT/Tnd (Tnd — избыточная температура объекта контроля в бездефектной области), а также оптимальные времена их наблюдения (tm (ΔT) и tm(C)), будут отличаться от случая горизонтальной панели с 50 %-м заполнением ячеек водой. Рассмотренные ниже модели включают ситуации НК воды в горизонтальном (см. рис. 2а—в), вертикальном (см. рис. 2г) и наклонном (см. рис. 2д, е) положениях сотовой панели.
Рис. 2. 3D-численные модели воды в сотах (программа ThermoCalc 3D): а — 100 % воды; б — 50 %; в — 50 %, контроль сбоку; г — 100 %, вертикальная панель; д — 50 %, наклонная панель контроль снизу; е — 50 %, наклонная панель, контроль сверху.
Основные параметры модели во всех сценариях были следующие: толщина стеклопластиковой обшивки 0,5 мм, материал ячеек — бумага Nomex, высота ячеек — 10 мм, мощность нагрева — 50 кВт · м–2, время нагрева — 0,5 с, шаг расчета 0,1 с. Следует заметить, что выбранные параметры нагрева эквивалентны практическому случаю импульсного нагрева в течение 25 мс оптическим излучением мощностью 1 МВт · м–2, и изменение этих параметров обусловлено необходимостью выбора временного шага сетки по времени для исследования теплового процесса в течение длительного времени. Теплофизические свойства материалов приведены в табл. 1. При моделировании был введен аддитивный шум амплитудой 100 мК («трехсигмовый» предел при шуме ИК детектора со стандартным отклонением около 30 мК) и мультипликативный шум с амплитудой 1—5 % (соответствует поверхностным шумам неметаллов). В ряде случаев моделировали также неравномерный (гауссовский) по пространству нагрев. Примеры изменения температурных сигналов ΔT и контрастов C во времени представлены на рис. 3 для всех сценариев: горизонтального (100 и 50 % воды), вертикального (50 %), наклонного (50 %), а также для случая неравномерного нагрева. Заметим, что, как и во многих предыдущих исследованиях, сигнал ΔT определен как разность температур в дефектной (Td) и бездефектной (Tnd) точках. Во всех сценариях эти точки выбирали в центре соответствующих зон, для наклонной панели — в точках центроида (см. рис. 2а, г, д). Оптимальные (максимальные) величины вышеупомянутых параметров контроля приведены ниже в табл. 2 для различных тестовых сценариев.
Таблица 1
Теплофизические свойства материалов
Материал | Теплопроводность, Вт. · м–1 · К–1 | Плотность, кг · м–3 | Теплоемкость, Дж · кг–1 · К–1 | Температуропроводность, м2 · с–1 | Тепловая инерция, Вт.м1/2 · м–2 · К–1 |
Стеклопластик | 1,1 | 1300 | 1775 | 1,30×10–7 | 832 |
Вода | 0,61 | 1000 | 1005 | 1,41×10–7 | 1573 |
Бумага Nomex | 0,17 | 128 | 830 | 1,82×10–7 | 769 |
Воздух (в тонких прослойках) | 0,07 | 27,3 | 928 | 5,8×10–5 | 9,192 |
2.2. Результаты моделирования и анализ
Анализировали изменение во времени избыточной температуры панели в области ячеек, занятых водой. Результаты зависят от ориентации панели, массы воды и поверхности, которая нагревается внешним тепловым потоком. Очевидно, что при контакте скрытой воды с обшивкой сот, изменение поверхностной температуры незначительно по сравнению с нагревом «сухих» участков, а также сот, в которых вода отделена от обшивки воздушным промежутком. Это обусловлено высоким тепловым сопротивлением воздушных промежутков, а также высокой теплоемкостью воды, что препятствует как ее быстрому нагреву, так и охлаждению. Ячейки сот, заполненные водой на 100 % (вода в контакте с обшивкой на обеих поверхностях), характеризуются бóльшими максимальными сигналами ∆Tm(Cm) и более короткими временами их появления tm. Такая же ситуация имеет место при вертикальном положении панели, где вода заполняет ячейки на 50 %, но по-прежнему находится в контакте с обшивкой с двух сторон панели. Ранее сообщалось, что время оптимального наблюдения сокращается для меньших масс воды; кроме того, присутствие воздушного промежутка делает величины Cm и tm существенно зависимыми от массы воды. В то же время, если имеет место контакт воды с обшивкой, то влияние толщины слоя воды, т.е. массы воды, сравнительно невелико [11].
Рис. 3 показывает изменение ΔT и C во времени для всех сценариев, а рис. 4 и 5 представляют 3D-распределения поверхностной температуры для ряда сценариев (наклонная и вертикальная панели). Следует заметить, что в силу определения параметров контроля величины дифференциальных сигналов и контрастов являются отрицательными, т.е. температура над ячейками с водой ниже температуры бездефектных зон; ниже знак «минус» будет опущен.
Рис. 3. Изменение ΔT и C во времени.
Рис. 4. 3D-распределения температуры в момент максимального сигнала ∆Tm (50 % воды в наклонной панели): а — равномерный нагрев; б — неравномерный нагрев.
Рис. 5. 3D-распределения температуры в момент максимального сигнала ∆Tm (50 % воды в вертикальной панели): а — равномерный нагрев; б — неравномерный нагрев.
Представленные результаты моделирования отражают идеальные случаи ТК благодаря хорошо определенным входным данным. Они также хорошо иллюстрируют физический принцип обнаружения воды в сотах, состоящий в том, что участки с водой при нагреве и в начальный период охлаждения панели характеризуются более низкой температурой по сравнению с бездефектными участками. Разница температур этих участков ΔTm достигает экстремума в определенный момент времени tm. Максимальные сигналы ΔTm появляются раньше, чем соответствующие максимальные контрасты Cm, причем обе величины выше для сот с бóльшей массой воды. Следует отметить, что во всех сценариях, если вода контактирует с обшивкой, ΔT сигналы появляются и достигают максимума раньше, чем при наличии воздушного промежутка между водой и обшивкой. Как и ожидалось, в случае вертикальной панели время оптимального наблюдения близко к случаю горизонтальной панели (5,1 с). Наличие воздушного промежутка снижает сигналы ΔT и затягивает время оптимального обнаружения. В целом, моделирование предсказывает, что воду в сотах можно обнаружить и при наличии воздушного промежутка. Тем не менее, чем толще слой воздуха, тем выше его тепловое сопротивление, и тем хуже условия обнаружения воды.
В табл. 2 приведены результаты моделирования для всех критических параметров, связанных с обнаружением воды в сотах при импульсном нагреве (0,1 с). При 100 %-заполнении сот водой на нагреваемой поверхности имеют место максимальные величины дифференциального сигнала (30,3 °С) и температурного контраста (88 %). Этот случай характеризуется самым коротким временем наблюдения (1,2 с) и таким образом обеспечивает наилучшие условия обнаружения воды. Самые низкие величины сигнала (3 °С) и контраста (14 %) возникают на поверхности горизонтальной панели с 50 %-м заполнением водой при контроле через воздушный промежуток.
Таблица 2
Оптимальные параметры ТК воды (стеклопластиковые соты, результаты моделирования, th = 0,5 c, Q = 50 кВ · м–2)
Scenario | ΔTm, °C | tm(ΔTm), c | Cm | tm(Cm), c |
Ячейка в горизонтальной панели (100 % воды) | 30,3* | 1,2 | 0,88 | 9,3 |
Воздушный промежуток | ||||
Ячейка в горизонтальной панели (50 % воды) | 3,0 | 13,5 | 0,14 | 20 |
Ячейка в вертикальной панели (50 % воды) | 30,0 | 1,4 | 0,82 | 5,1 |
Ячейка в наклонной панели (50 % воды) | 30,1 | 1,8 | 0,83 | 5,5 |
Ячейка в наклонной панели (50 % воды) при неравномерном нагреве | 28,1 | 1,5 | 0,86 | 5,8 |
Вода в контакте с обшивкой | ||||
Ячейка в горизонтальной панели (50 % воды) | 2,9 | 20 | 1 | 1,3 |
Ячейка в вертикальной панели (50 % воды) | 30,0 | 1,4 | 0,82 | 5,1 |
Ячейка в наклонной панели (50 % воды) | 2,8 | 20 | 1,0 | 1,3 |
Ячейка в наклонной панели (50 % воды) при неравномерном нагреве | 1,4 | 20 | 1,0 | 1,4 |
* Знак «минус» опущен для ΔTm и Cm.
Заметим, что в случае наклонной и вертикальной панели с 50 % воды в сотах время достижения максимального контраста короче (5,1 и 5,5 с соответственно) по сравнению со 100 %-заполнением ячеек водой (9,3 с).
В целом, если вода контактирует с обшивкой, температурные контрасты достигают максимальных величин (до 1, т.е. 100 %) при коротких временах контроля, иными словами, ячейки со 100 % воды требуют меньшего времени контроля по сравнению с незаполненными ячейками. Еще раз подчеркнем, что существенные температурные контрасты возникают благодаря высокой теплоемкости воды. Для нагрева воды в ячейках требуется длительное время, и вода сохраняет свою температуру также в течение значительного времени.
3. ЭКСПЕРИМЕНТАЛЬНЫЕ РЕЗУЛЬТАТЫ
3.1. Контрольные образцы и аппаратура
Как и при моделировании, эксперименты проводили на четырех контрольных образцах, состоявших из бумажных (Nomex) гексагональных сот с поперечным размером 10 мм и стеклопластиковой обшивки (см. теплофизические свойства материалов в табл. 1). Четыре слоя стеклопластика были уложены в обшивке по схеме 0о /90о. Испытания образцов с частичным заполнением водой и изменением их ориентации было нетривиальной задачей. Три сессии экспериментов были выполнены на 70 ячейках, заполненных водой на 100, 50 и 25 %. Двадцать ячеек в одном из образцов были открыты и заполнены водой также на 100, 50 и 25%, чтобы проанализировать влияние капиллярных сил на внутренних поверхностях ячеек при изменении наклона образцов. Следует заметить, что бумага ячеек частично абсорбировала воду, поэтому эксперименты проводили непосредственно после инжекции воды (рис. 6). Блестящий стеклопластик обладает сравнительно низким коэффициентом излучения (0,6), будучи слегка прозрачным как для ИК-излучения, так и для видимого света. Для повышения коэффициента излучения на поверхность образцов наносили самоклеющуюся ПВХ пленку с коэффициентом излучения 0,96.
Для тепловой стимуляции применяли три вида источников нагрева: 1) импульсную ксеноновую лампу (энергия 1,5 кДж в импульсе длительностью 5 мс); 2) галогенную лампу (мощность 0,5 кВт, длительность нагрева 5 с); 3) воздушный фен (мощность 3 кВт). Следует заметить, что корпорация Airbus использует для нагрева панелей самолетов контактное «тепловое одеяло» [14].
Температурное поле образцов регистрировали с помощью тепловизионного модуля Optris PI 450i (формат изображения 382 × 288, температурная чувствительность 40 мК, спектральный диапазон 7,5—13 мкм, см. рис. 6). Последовательности из 1000 ИК термограмм записывали с частотой 1 Гц, после чего обрабатывали с помощью программы ThermoFit (ТПУ).
Рис. 6. Ячейки сот с водой (а) и экспериментальная установка (б).
3.2. Выбор оптимального вида нагрева
Первая экспериментальная сессия была выполнена с целью определить оптимальный источник нагрева. В качестве критерия сравнения вариантов ТК было выбрано отношение сигнал/шум (SNR), определенное стандартным образом как отношение разности усредненных температур в дефектной и бездефектной зонах к стандартному отклонению температуры в бездефектной зоне. Обе зоны выбирал оператор, сохраняя их конфигурацию для всех сравниваемых вариантов ТК (см. ниже). Основываясь на данных табл. 3, видно, что максимальную величину SNR=39,6 при температурном сигнале 4,38 °С обеспечила галогенная лампа (такие лампы часто применяют в тепловых дефектоскопах). При этом тепловой контраст (69 %) был ниже, чем в случае импульсного оптического и мощного кратковременного воздушного нагрева. Это подтверждает известный вывод в теории ТК о том, что максимальные контрасты создаются импульсной стимуляцией, но при этом поглощенная энергия может быть сравнительно низкой. В дальнейшем был использован галогенный источник, как создававший максимальные температурные сигналы.
Таблица 3
Параметры ТК воды при использовании различных источников нагрева
Источник нагрева | SNR | ΔTm, °C | Cm |
Галогенная лампа | 39,6 | 4,38 | 0,69 |
Импульсная ксеноновая лампа | 21,7 | 1,34 | 0,81 |
Воздушный фен | 22,5 | 1,26 | 0,87 |
Вторая сессия экспериментов была посвящена определению максимальных величин ΔT, C и времен их наблюдения путем анализа различных сценариев и ориентаций образца в горизонтальном, вертикальном и наклонном (30, 45 и 60°) положении. С использованием той же аппаратуры был исследован случай фазового перехода, т.е. таяния льда. В этом случае применяли как активную, так и пассивную ИК-термографию.
3.3. Экспериментальные результаты и дискуссия
В большинстве экспериментов применяли одну галогеновую лампу мощностью 0,5 кВт в качестве источника нагрева в течение 5 с. Как отмечено выше, импульсная ксеноновая лампа и фен создавали более низкие температурные сигналы, особенно на сотах с 25 % воды, при существенной неравномерности нагрева.
Табл. 4 содержит экспериментальные результаты в случае ячеек с различным содержанием воды.
Таблица 4
Оптимальные параметры ТК (эксперимент, горизонтальная панель с воздушными зазорами)
Дефект | ΔTm, °C | tm(ΔTm), c | Cm | tm(Cm), c |
25 % (D1) | 2,7 | 11,6 | 0,45 | 27,4 |
50 % (D2) | 3,4 | 15,6 | 0,55 | 9,8 |
100 % (D3) | 3,5 | 8,8 | 0,64 | 24,8 |
При контроле сот с заполнением водой 50 % (D2) и 25 % (D1) нагрев осуществляли на поверхности обшивки, отделенной от воды воздушным промежутком. Пример исходной термограммы показан на рис. 7а, а изменение поверхностной температуры во времени для трех характерных точек приведено на рис. 7б (очевидно, что в случае 100 % воды воздушный промежуток отсутствовал). Максимальная избыточная температура в конце нагрева составила 8,7 °C. С целью подавить однопиксельный шум все термограммы были сглажены маской 5×5.
Рис. 7. Исходная ИК-термограмма и изменение поверхностной температуры во времени (горизонтальная панель с воздушными зазорами).
В начале теплового процесса избыточная температура образцов близка к нулю, и чтобы избежать деления на ноль при вычислении контраста несколько первых изображений были исключены из обработки данных.
Экспериментальные результаты в табл. 4 в значительной степени совпадают с теоретическими данными для тех же самых положений образца (180° с воздушным промежутком). Очевидно, что соты со 100 % воды характеризуются максимальным температурным сигналом ΔT (3,54 °C) при минимальном времени наблюдения (8,8 с), а также максимальным контрастом C (64,1 %) при более длительном времени наблюдения (24,8 с). Как и ожидалось, температурные сигналы над ячейками, заполненных на 100 % водой, возникают раньше, чем в случае воздушных промежутков. По-иному ведет себя температурный контраст, достигая максимума при более поздних временах.
На рис. 8а приведены исходные графики температуры в характерных точках поверхности. Те же самые профили на рис. 8б были получены после нормализации термограмм в последовательности на термограмму, соответствующую окончанию нагрева (5 с); величина Tотн выражена в относительных единицах. Видно, что нормализация, являющаяся известным приемом улучшения результатов ТК, подчеркивает дифференциальные сигналы ΔT, которые сохраняются в течение длительного времени.
Рис. 8. Графики изменения температуры в характерных точках (D1, D2, D3): а — исходные данные; б — после нормализации на момент окончания нагрева.
С целью улучшить индикации от ячеек, наполненных водой, последовательность исходных термограмм была обработана с помощью ряда алгоритмов, включенных в программу ThermoFit Pro, причем критерием сравнения также служило отношение SNR. Результаты обработки термограмм приведены в табл. 5.
Таблица 5
Результаты обработки термограмм (горизонтальная панель)
Изображение | SNR (оптимальное время наблюдения) | ||
D1 (25 %) | D2 (50 %) | D3 (100 %) | |
Исходное | 9,8 (4,6 с) | 10,1 (4,9 с) | 10,4 (5,3 с) |
Фазограмма Фурье | 69,9 (4я гармоника) | 88,1 (4я гармоника) | 77,1 (4я гармоника) |
МАГК* | 9,7 (1я компонента) | 9,2 (1я компонента) | 9,7 (1я компонента) |
Коррелограмма | 24,9 | 16,2 | 18,7 |
* МАГК – метод анализа главных компонент.
Аналогичным образом образец размещали в наклонном положении (30 и 60°). При наклоне 30° температура в бездефектных зонах в конце нагрева достигала 10 °C. Результаты ниже представлены для длительности нагрева 5 с. Исходные термограммы в последовательности были усреднены по четырем последовательным термограммам с целью снизить высокочастотные шумы и сократить количество изображений в исходной последовательности. Оптимальные параметры контроля приведены в табл. 6, а табл. 7 и 8 содержат результаты для угла наклона 60° и вертикальной ориентации соответственно.
Таблица 6
Результаты обработки термограмм (наклон 30о, воздушный промежуток)
Изображение | SNR | ||
D1 | D2 | D3 | |
Исходное | 5,0 (29,5 с) | 6,5 (29,3 с) | 8,3 (29,5 с) |
Фазограмма Фурье | 9,0 (3я гармоника) | 13,3 (3я гармоника) | 48,5 (3я гармоника) |
МАГК | 4,5 (1я компонента) | 5,2 (1я компонента)) | 5,9 (1я компонента) |
Коррелограмма | 4,8 | 5,6 | 6,3 |
Таблица 7
Результаты обработки термограмм (наклон 60о, воздушный промежуток)
Изображение | SNR | ||
D1 | D2 | D3 | |
Исходное | 7,4 (31,3 с) | 6,5 (31,3 с) | 7,4 (31,3 с) |
Фазограмма Фурье | 16,8 (5я гармоника) | 21,9 (5я гармоника) | 26,2 (5я гармоника) |
МАГК | 5,5 (1я компонента) | 5,4 (1я компонента) | 5,8 (1я компонента) |
Коррелограмма | 5,0 | 5,0 | 5,4 |
Таблица 8
Результаты обработки термограмм (вертикальная панель, воздушный промежуток)
Изображение | SNR | ||
D1 | D2 | D3 | |
Исходное | 5,2 (31,3 c) | 6,3 (31,3 c) | 7,4 (31,3 c) |
Фазограмма Фурье | 17,5 (5я гармоника) | 20,2 (5я гармоника) | 50,3 (5я гармоника) |
МАГК | 4,2 (1я компонента) | 4,9 (1я компонента) | 5,3 (1я компонента) |
Коррелограмма | 3,9 | 4,5 | 5,0 |
В табл. 9 приведены для сравнения величины SNR для различных ориентаций образца. В целом, наилучшая «видность» зон с водой была достигнута при горизонтальной ориентации для всех алгоритмов обработки данных. Образцы с наклоном 30 и 60° характеризовались сравнительно низкими SNR, что может быть объяснено протечками воды через стенки бумажных ячеек при повороте образца. Соответственно, вертикально-ориентированный образец также создавал низкую величину SNR при худшем визуальным восприятии дефектных зон. Также следует отметить, что не существует одного алгоритма анализа термограмм, который обеспечивал бы наилучшие результаты для всех сценариев ТК.
Таблица 9
Эффективность алгоритмов обработки термограмм при различных ориентациях образца в пространстве
Ориентация образца | SNR (заполнение водой 50 %) | |||
Исходная термограмма | Фазограмма Фурье | МАГК | Коррелограмма | |
Горизонтальная | 10,1 | 88,1 | 9,2 | 16,2 |
30° | 6,5 | 13,3 | 5,2 | 5,6 |
60° | 6,5 | 21,9 | 5,4 | 5,0 |
Вертикальная | 6,3 | 20,2 | 4,9 | 4,5 |
На термограммах рис. 9а, б видно, что при ориентации образца под углом 60° «отпечатки» воды в зоне дефектов D1 и D2 имеют иную конфигурацию по сравнению с вертикальной ориентацией. Как отмечено выше, по-видимому это происходит из-за протечек воды через стенки сот в зоне склейки сот с обшивкой. Поэтому дефектные зоны D1 и D2 с частичным заполнением ячеек водой приобретают искаженную форму что приводит к более низким величинам SNR (см. табл. 5—7).
Рис. 9. Термограммы образца в различной ориентации: а — горизонтальная (180°); б — наклонная (60°).
3.4. Фазовый переход лед/вода
Как отмечено выше, вода в сотовых панелях самолетов на высоте крейсерского полета замерзает и расширяется в объеме. В процессе и после посадки происходит нагрев самолета и таяние льда при температуре окружающего воздуха выше 0 оС. Процесс фазового перехода является критическим, сопровождаясь постоянной температурой поверхности в течение некоторого периода времени, когда часть поступающей энергии расходуется на фазовый переход. При этом возникают высокие величины ΔT и C при коротких временах наблюдения tm. В настоящем исследовании как активная, так и пассивная процедуры ТК были применены для анализа фазового перехода лед/вода.
Экспериментальная процедура заключалась в замораживании воды в сотовых панелях при температуре –20 °С в течение двух суток при заполнении ячеек водой на 100, 50 и 25 %. Затем образец размещали в зону теплового контроля с температурой окружающей среды 22 °С и регистрировали динамику изменения поверхностной температуры во времени с помощью тепловизора Optris PI 450.
Следующий эксперимент проводили на аналогичном образце (25, 50 и 100 % воды), который нагревали галогенной лампой мощностью 0,5 кВт в течение 2 мин, после чего исследовали процесс охлаждения в течение 30 мин. Результаты, представленные в табл. 10, показывают, что максимальные величины SNR наблюдались в зонах со 100 % воды в случаях как пассивного, так и активного ТК, табл. 11 содержит оптимальные параметры ТК (ΔTm и Cm) для обеих процедур, иллюстрируя преимущество активного ТК. Рис. 10а показывает соответствующую термограмму, а графики изменения температурного сигнала и контраста во времени приведены на рис. 10б—г.
Таблица 10
Эффективность алгоритмов обработки результатов активного и пассивного ТК воды в случае фазового перехода лед/вода
Процедура ТК | Алгоритм обработки | SNR | ||
25 % | 50 % | 100 % | ||
Пассивная | Корреляция | 30,2 | 37,4 | 50,2 |
Производная по времени | 4,8 | 5,3 | 5,8 | |
Фурье-анализ | 27 | 28,2 | 75,8 | |
МАГК | 108,8 | 114,4 | 143,1 | |
Активная | Корреляция | 1,46 | 1,74 | 9,5 |
Производная по времени | 3,54 | 5,83 | 10,9 | |
Полиномиальная аппроксимация | 3,71 | 5,9 | 38,3 | |
Фурье-анализ | 3,47 | 5,52 | 28,9 | |
МАГК | 5,39 | 7,94 | 44,82 | |
Таблица 11
Оптимальные температурные параметры обнаружения воды в сотах при активном и пассивном ТК в случае фазового перехода лед/вода
Процедура ТК | ΔTm, °C | Cm | ||||
25 % | 50 % | 100 % | 25 % | 50 % | 100 % | |
Активная | 17,53 | 21,43 | 26,52 | 0,37 | 0,48 | 0,53 |
Пассивная | 10,14 | 10,65 | 10,72 | 0,47 | 0,47 | 0,47 |
Рис. 10. Активный ТК воды в сотах в случае фазового перехода лед/вода (D1: 25 %; D2: 50 %; D3: 100 %; ND — бездефектная зона): а — исходная термограмма; б — температура; в — температурный сигнал; г — температурный контраст.
4. ЗАКЛЮЧЕНИЕ
Своевременное обнаружение воды в авиационных сотовых панелях является типичной и важной задачей диагностики эксплуатируемых самолетов. Трехмерное моделирование соответствующих задач ТК воды в сотах является эффективным методом количественной оценки процедур неразрушающих испытаний. В настоящем исследовании выполнено сравнительная оценка критериев обнаружения воды, а именно, отношения сигнал/шум, дифференциальных температурных сигналов и контрастов, а также их времен наблюдения, для различных сценариев ТК, включающих горизонтальное, вертикальное и наклонное положения контролируемых панелей. Сделаны следующие выводы.
– Экспериментально установлено, что ориентация панели несущественно влияет на величину SNR. Иными словами, эффективность обнаружения воды слабо зависит от ориентации самолетной панели в процессе диагностики самолета.
– Нет единого алгоритма обработки результатов ТК, обеспечивающего оптимальные результаты во всех процедурах испытаний.
– Результаты настоящего исследования находятся в хорошем согласии с данными более ранних работ, показывающими, что наиболее эффективно диагностируются лед/вода, находящиеся в контакте с контролируемой обшивкой сотовой панели.
– Применение надлежащей техники тепловой стимуляции сотовых панелей является критическим для обеспечения оптимальных условий ТК.
– Феномен увеличения объема воды в сотах при замерзании, что может вызвать разрушение ячеек, требует дальнейших исследований.
Настоящее исследование было поддержано грантом Российского научного фонда (РНФ) № 22-19-00103.
Об авторах
C. M. Magoda
Mechanical Engineering Department, Cape Peninsula University of Technology
Автор, ответственный за переписку.
Email: vavilov@tpu.ru
ЮАР, P.O. Box 1906, Bellville, 7535 Cape Town
T. N. Ngonda
Mechanical Engineering Department, Cape Peninsula University of Technology
Email: vavilov@tpu.ru
ЮАР, P.O. Box 1906, Bellville, 7535 Cape Town
В. П. Вавилов
Национальный исследовательский Томский политехнический университет
Email: vavilov@tpu.ru
Россия, 634050 Томск, пр-т Ленина, 30
Д. Ю. Кладов
Национальный исследовательский Томский политехнический университет
Email: vavilov@tpu.ru
Россия, 634050 Томск, пр-т Ленина, 30
Список литературы
- Maldague X. Theory and practice of infrared technology for nondestructive testing, Wiley Series in Microwave and Optical Engineering. USA: John Wiley & Sons, New York, 2001. 682 p.
- Non-destructive Testing Handbook: Infrared and Thermal Testing (3rd ed.). USA: ASNT, 2001. 718 p.
- Kaplan H. Practical Applications of Infrared Thermal Sensing and Imaging Equipment. Tutorial Texts in Optical Engineering. SPIE Press. V. TT34. 1999. USA. 164 p.
- LaPlante G., Marble A.E., MacMillan B., Lee-Sullivan P., Colpitts B.G., Balcom B.J. Detection of water ingress in composite sandwich structures: a magnetic resonance approach // NDT & E International. 2005. V. 38. Is. 6. P. 501—507. doi: 10.1016/j.ndteint.2005.01.006
- Pfeiffer H., Heer P., Ioannis Pitropakis Pyka G., Greet Kerckhofs Patitsa M., Wevers M. Liquid detection in confined aircraft structures based on lyotropic percolation thresholds // Sensors and actuators. B. Chemical. 2012. V. 161. Is. 1. P. 791—798. doi: 10.1016/j.snb.2011.11.034
- Wang P., Pei Y., Zhou L. Near-field microwave identification and quantitative evaluation of liquid ingress in honeycomb sandwich structures // NDT & E international. 2016. V. 83. P. 32—37. doi: 10.1016/j.ndteint.2016.06.002
- Ibarra-Castanedo C., Genest M., Servais P., Maldague X.P.V., Bendada A. Qualitative and quantitative assessment of aerospace structures by pulsed thermography // Nondestructive Testing and Evaluation. 2007. V. 22 (2—3). P. 199—215. doi: 10.1080/10589750701448548
- Katunin A., Dragan K., Dziendzikowski M. Damage identification in aircraft composite structures: A case study using various non-destructive testing techniques // Composite Structures. 2015. V. 127. P. 1—9. doi: 10.1016/j.compstruct.2015.02.080
- Vavilov V., Marinetti S., Pan Y., Chulkov A. Detecting water ingress in aviation honeycomb panels: Qualitative and quantitative aspects // Polymer Testing. 2016. V. 54. P. 270—280. doi: 10.1016/j.polymertesting.2016.07.023
- Chulkov A.O., Shagdirov B.I., Vavilov V.P., Kladov D.Yu., Stasevskii V.I. Detecting and evaluating water ingress in horizontally-oriented aviation honeycomb panels by using automated thermal nondestructive testing // Rus. J. NDT. 2023. V. 59. No. 12. P. 1272—1279. doi: 10.1134/S1061830923600946
- Ibarra-Castanedo C., Brault L., Genest M., Farley V., Maldague X.P.V. Detection and characterization of water ingress in honeycomb structures by passive and active infrared thermography using a high resolution camera / Proc. 11th Int. Conf. Quant. InfraRed Thermogr, Naples, 2012. doi: 10.21611/qirt.2012.278
- Нестерук Д.А. Тепловой неразрушающий контроль воды в авиационных сотовых панелях эксплуатируемых самолетов / Канд. дисс. Томск: Томский политехнический университет, 2005.
- Пань Янян. Количественна оценка влагосодержания в композиционных сотовых панелях эксплуатируемых самолетов с помощью инфракрасной термографии / Канд. дисс. Томск: Томский политехнический университет, 2018.
- Airbus develops infra-red water detector. Flight Global, 1995. https://www.flightglobal.com/airbus-develops-infra-red-water-detector/16622.article
- Airbus Adopts Infrared Thermography for In-service Inspection // Insight. October 1994. V. 36. No. 10.
- Vavilov V., Klimov A. Advanced Modeling of Thermal NDT Problems From Buried Landmines to Defects in Composites // Proc. of SPIE «Thermosense XXIV». 2002. V. 4710. P. 507—521.
- Shrestha R., Choi M., Kim W. Thermographic inspection of water ingress in composite honeycomb sandwich structure: a quantitative comparison among Lock-in thermography algorithms // Quant. InfraRed Thermography J. 2019. V. 18. No. 2. P. 1—16.
Дополнительные файлы












