Pigmentation polymorphism of Dikerogammarus villosus (Amphipoda, Crustacea) from the Kuban River, Caucasus
- Authors: Skafar D.N.1, Givlyud N.N.2
-
Affiliations:
- Azov-Black Sea Branch, Russian Federal Research Institute of Fisheries and Oceanography
- Kuban State University
- Issue: Vol 103, No 7 (2024)
- Pages: 23-32
- Section: ARTICLES
- URL: https://ogarev-online.ru/0044-5134/article/view/272392
- DOI: https://doi.org/10.31857/S0044513424070034
- EDN: https://elibrary.ru/ugejjp
- ID: 272392
Cite item
Full Text
Abstract
The purpose of this work was to determine the number of morphs and their ratio in the population of Dikerogammarus villosus from the Kuban River, as well as to establish color indicators and the total number of hemocytes in each morph. Amphipods were caught for study in the vicinity of the city of Krasnodar at the confluence of Lake Staraya Kuban with the Kuban River in 2023 and 2024. The analysis of color indicators was carried out using Adobe Photoshop (CIELab) and GIMP software. The total number of hemocytes was determined after the acclimation of individuals to laboratory conditions, which was performed for three days. In the Kuban River, D. villosus was found to be characterized by 4 types of pigment distribution: spotted or patterned (S), homogeneous pigmentation – melanin (M), with dorsal stripes (B) and amber (A). Based on this, we identified four morphs. At the same time, in the morphs with dorsal stripes, we identified two sub–morphs: B1 with wide pigment stripes along the entire pereon, and B2 with thin pigment stripes. The ratio (%) of morphs was as follows: B – 72.1, S – 16.0, M – 7.7, A – 3.3, and T – 0.9. There were no differences in color indices between the morphs, but statistically significant differences were found between morph M and the other morphs in color brightness, the melanin morph was 1.5 times darker as compared to morphs B and S (p < 0.005). The total number of D. villosus hemocytes widely ranged from 2480 to 9020 pcs/ml, averaging 4858 ± 1684 pcs/ml. No correlations between the size of individuals and the number of hemocytes were established (p > 0.05). There were also no differences in the number of hemocytes between males and females (p > 0.05). Hematological variations between the five morphs were not statistically significant either (p = 0.36). Thus, for the first time, the ratio of amphipod morphs of the species D. villosus from the plain part of the lower reaches of Kuban River was determined. Data on the color indices of morphs and the total number of hemocytes of this species are presented.
Keywords
Full Text
Цвет и цветовые узоры являются важными признаками для многих групп организмов, они используются для взаимодействия с особями внутри одного вида, в том числе и с потенциальными половыми партнерами, а также с хищниками или добычей, помимо этого, они применяются для терморегуляции (Watt, 1968; Endler, Mappes, 2017). Наблюдаемое разнообразие цветов обусловлено структурной окраской и пигментами (Cuthill et al., 2017). Основным фактором, определяющим морфологическую окраску тела ракообразных, являются каротиноидные пигменты, в частности астаксантин и его производные (Drozdova et al., 2020).
Окраска ракообразных относительно хорошо изучена, установлены механизмы окраски тела, а также факторы, влияющие на нее. Известно, что на окраску тела ракообразных влияют следующие факторы: уровень освещенности, рацион, цвет окружающих субстратов и генотипическая изменчивость (Борисов, Печенкин, 2018; Nokelainen, 2018; Saranchina et al., 2021; Borisov et al., 2022; Zheng et al., 2023; Мадьярова и др., 2023).
Разнообразные полиморфизмы окраски и пигментации зачастую встречаются в естественных популяциях ракообразных. Эволюционное значение внутривидового полиморфизма пигментации и его детерминизм были одной из наиболее актуальных тем исследований в экологической генетике (Endler, Mappes, 2017). Адаптивный полиморфизм окраски может быть результатом естественного отбора, благоприятствующего местной адаптации (Endler, 1978), как, например, при выборе добычи хищниками на основе особенностей окраски жертвы в гетерогенной среде обитания (Allen, 1988). Таким образом хищничество, неоднородность среды обитания и выбор полового партнера являются основными факторами поддержания полиморфизма пигментации у беспозвоночных (Devin et al., 2004).
Однако пигментационный полиморфизм и различные варианты окраски у амфипод не так хорошо изучены ввиду большого количества видов и их широкого распространения (Arfianti et al., 2018; Wattier et al., 2020). Амфиподы занимают чрезвычайно разнообразные экологические ниши, они обитают практически во всех водных экосистемах (Spicer et al., 1987; Villacorta et al., 2008; Wildish et al., 2012; FiŠer et al., 2017; Brix et al., 2018; Гринцов, Щуров, 2021), что может являться причиной имеющегося у них разнообразия окрасок и узоров.
Одним из видов, изучение пигментационных морф которого имеет интерес, является Dikerogammarus villosus (Sowinsky 1894), широко распространенный в Понто-Каспийском бассейне и за его пределами. Вид населяет эстуарии большинства крупных рек Черного, Азовского и Каспийского морей, а также лиманы. Встречается чаще всего в прибрежной полосе на каменистом грунте, ракушечнике и среди макрофитов. Длина взрослых особей 8–21 мм (Определитель фауны Черного и Азовского морей, 1969). D. villosus является хищником и охотится на амфипод других видов, однако по данным трофической экологии, представители этого рода относятся к детритофагам, а на ранних стадиях развития – к активным фильтраторам, таким образом, этому виду могут быть свойственны эврифагия и высокая пищевая пластичность (Lipinskaya, Makarenko, 2019). Нативным ареалом является Понто-Каспийский бассейн, однако этот вид распространился широко за границами этого бассейна, став инвазивным в различных регионах Европы и за ее пределами (Dick, Platvoet, 2000; Devin et al., 2004; Koester, Gergs, 2014; Gusev et al., 2017; Lipinskaya, Makarenko, 2019; Paganelli et al., 2022; Soto et al., 2023). Эврифагия и эвригалинность D. villosus позволили ему быстро расширить ареал обитания и стать основным компонентом макробентосных сообществ в новых экосистемах.
Установлено, что этот вид имеет ряд морф, соотношение которых в той или иной популяции может быть различным (Nesemann et al., 1995; Devin et al., 2003). Однако морфы популяций из нативного ареала обитания остаются не изученными. Кроме того, вызывает интерес наличие физиологических различий между морфами одной популяции D. villosus, поскольку амфипод можно рассматривать в качестве объектов биоиндикации и экологического мониторинга, а также тест-объектов для токсикологических исследований (Ingersoll et al., 1998; Alonso et al., 2010; Davolos et al., 2015; Jia et al., 2020; Wu et al., 2021). Это требует однородности по физиологическому состоянию особей, однако известно, что различные цветовые морфы могут иметь различия по некоторым физиологическим показателям. Так, установлено, что две цветовые морфы Carcinus maenas по-разному справляются с гипоксией, различными уровнями солености воды и экспозицией на воздухе. Это выражается как в поведенческих особенностях каждой морфы, так и в различиях по выживаемости и осморегуляции (Reid et al., 1997). Кроме того, существуют различия по репродуктивному и гонадо-соматическому индексам (Styrishave et al., 2004), содержанию нейропептидов (Zhang et al., 2015) и регуляции линьки у морф этого вида (Abuhagr et al., 2014). Различия по некоторым физиологическим показателям также наблюдаются у цветовых морф других групп животных (Bai et al., 2015, 2018; Dijkstra et al., 2016; Amer et al., 2023).
Целью настоящей работы было определение количества морф и их соотношения в популяции Dikerogammarus villosus из реки Кубань, а также установление цветовых показателей и общего числа гемоцитов у каждой морфы.
МАТЕРИАЛЫ И МЕТОДЫ
Объектом исследования являлся вид амфипод Dikerogammarus villosus из реки Кубань.
Отбор проб
Амфипод для изучения отлавливали в окрестностях города Краснодар на месте впадения озера Старая Кубань в реку Кубань (N44°98′54.82′′, E39°04′34.38′′). Животных отлавливали на участке с каменистым грунтом на глубине 0.1–0.5 м гидробиологическим сачком или снимали вместе субстратом (раковины двухстворчатых моллюсков) на камнях. Отлов производили в октябре и ноябре 2023 г. и в марте 2024 г. при температуре воды 21.0– 24.2 °C и pH 8.2–8.4. Животных перевозили в лабораторию в изолированных пластиковых сосудах, наполненных водой с места лова.
Анализ морфологии амфипод
Определение морф проводили в соответствии с классификацией, разработанной Devin et al. (2001, 2003, 2004), с нашими дополнениями.
Анализу подвергали только живых особей. Для обездвиживания и анестезии использовали раствор гвоздичного масла. Далее с тела рачков удаляли воду фильтровальной бумагой. Особей длиной менее 5 мм, идентификация морф которых была затруднительна, не учитывали. Анализ проводили на микроскопе МБС-10. Фотографии изготовлены с помощью фотокамеры Canon EDS1100D.
Анализ полученных изображений выполняли в программе Adobe Photoshop CS6 по методике Борисова с соавторами (Borisov et al., 2022). Для всех изображений осуществлялась коррекция цвета по эталонному участку фона фотографии, после чего в цветовом пространстве CIELab (CIE L*a*b*) измеряли показатели, характеризующие окраску особи. В цветовом пространстве CIELab яркостная составляющая – яркость, или светлота (изменяется от 0 до 100, т. е. от самого темного до самого светлого тона) задана координатой L, а хроматическая составляющая – двумя декартовыми координатами a и b. a обозначает положение цвета в диапазоне от зеленого до красного, b – от синего до желтого.
Для получения индекса R/B фотографии анализировали в программе GIMP v. 2.10.36. Уровень черного был установлен на черном фоне с помощью инструмента “Уровни”, как это было выполнено Дроздовой с соавторами (Drozdova et al., 2020). Для получения всех индексов анализировали 6-й сегмент переона с дорсальной стороны, участок без пигмента обозначен стрелкой на рис. 1.
Рис. 1. Пигментационный полиморфизм D. villosus из реки Кубань: B1 – дорсальная с широкими полосами, B2 – дорсальная с тонкими полосами, S – пятнистая, M – меланиновая, A – янтарная
Подсчет общего числа гемоцитов
Отловленных амфипод акклимировали к лабораторным условиям в аэрируемых пластиковых емкостях объемом 5 л, наполненных водой с места вылова, при температуре 23 °C в течение трех суток. В качестве укрытий для ракообразных в емкости помещали камни с места отбора проб. Для анализа использовали особей длиной более 1 см.
После акклимации у рачков для анализа отбирали гемолимфу между шестой и седьмой мезосомами (Zolotovskaya et al., 2021). Подсчет общего числа гемоцитов (ОЧГ) проводили в камере Горяева с помощью микроскопа Микмед-1 (ЛОМО, Россия). Для подсчета ОЧГ использовали следующую формулу: ОЧГ в 1 мкл = N × 10, где N – число всех гемоцитов в 25 больших квадратах на сетке камеры.
Статистическая обработка
Расчеты и графическое оформление полученных данных проводили с помощью программ Statistica v. 14 (TIBCO Software Inc.) и Origin v. 2022 (OriginLab Corporation). Для проверки статистической достоверности различий в группах использовали U-критерий Манна–Уитни и критерий Краскела–Уоллиса. Различия считали статистически достоверными при p < 0.05. Результаты представлены как среднее ± стандартное отклонение (на бокс-плотах использованы медианные значения).
РЕЗУЛЬТАТЫ
Выделенные морфы и их соотношение
В результате работы было установлено, что в реке Кубань для D. villosus характерны 4 типа распределения пигмента (рис. 1): пятнистая или узорная (S), однородная пигментация – меланиновая (M), с дорсальными полосами (B) и янтарная (A). На основании этого мы выделили четыре морфы. При этом у морфы с дорсальными полосами мы выделили две подморфы. У подморфы B1 наблюдаются две широкие пигментные полосы вдоль всего переона, подморфа B2 также имеет две пигментные полосы, однако они более тонкие, чем у B1. Можно было бы предположить, что у морфы B наличие тонких пигментных полос свойственно молодым особям, а более толстые полосы характерны для старших особей, однако это не так, две подморфы встречаются в популяции вне зависимости от возраста и размера. Также мы наблюдали особей с поперечными регулярными полосами (Т), однако они, ввиду низкой встречаемости (рис. 2), не подвергались дальнейшему анализу и фотофиксации.
Рис. 2. Соотношение морф D. villosus из реки Кубань (n = 1011): B1 – дорсальная с широкими полосами, B2 – дорсальная с тонкими полосами, S – пятнистая, M – меланиновая, A – янтарная, T – морфа с поперечными полосами
Соотношение (%) морф в пробах представлено на рис. 2: дорсальная (B) 72.1, пятнистая (S) – 16.0, меланиновая (M) – 7.7, янтарная (A) – 3.3, форма с поперечными полосами (T) 0.9.
В марте 2024 г. был проведен анализ размеров тела и соотношения полов амфипод, в зависимости от принадлежности их к той или иной морфе, результаты анализа приведены в табл. 1. В популяции D. villosus доминировали самки, их доля составила 59.2%, в то время как доля самцов – 40.8%, самки доминировали почти во всех морфах, кроме морфы B2, в ней доля самцов оказалась выше, и самой малочисленной морфы A, в которой было лишь несколько самцов.
Таблица 1. Распределение (%) в популяции D. villosus из р. Кубань в марте 2024 г. по морфам и полу
Морфа | Всего в популяции, % | В том числе, % | Длина, см | |
самцы | самки | |||
B1 | 50.9 | 40.9 | 59.1 | 1.5 (1.0–2.1) |
B2 | 23.3 | 60.7 | 39.3 | 1.6 (1.1–2.1) |
S | 18.3 | 22.7 | 77.3 | 1.5 (1.2–2.5) |
M | 6.7 | 12.5 | 87.5 | 1.3 (1.0–1.7) |
A | 0.8 | 100 | – | (1.9–2.0) |
Примечания. n = 240. Для длины указаны среднее, в скобках – пределы.
Половой диморфизм проявлялся в размерах тела особей, самцы были статистически достоверно (p < 0.001) в 1.2 раза крупнее самок. Так, средний размер самцов 1.7 ± 0.3, самок 1.4 ± 0.2 см.
Цветовые индексы окраски амфипод
Индекс a обозначает положение цвета в диапазоне от зеленого до красного, индекс b – положение цвета от синего до желтого, диапазон значений для этих двух индексов в программе Photoshop может составлять от –128 до 127. При этом различий между морфами по индексам a и b не обнаружено (p > 0.05) (рис. 3А), попарные сравнения также не показали статистически достоверных различий. Среднее значение индекса a в среднем по всем морфам в совокупности составило 2.2 ± 5.9, причем значения находились в промежутке от –9 до 16. Наибольшее среднее значение имела морфа M (3.9 ± 7.8), а наименьшее – морфа B1 (0.9 ± 5.3). Индекс b в среднем по всем морфам составил 35.1 ± 10.9 и находился в диапазоне от 14 до 71. Наибольшее значение было у морфы S (38 ± 11.5), наименьшее – у морфы B1 (32.9 ± 6.2).
Рис. 3. Цветовые индексы морф D. villosus из реки Кубань (n = 4–15): А – показатели хроматической составляющей (координаты a и b в цветовом пространстве CIELab), Б – R/B-индекс, В – показатели яркости цвета (координата L в цветовом пространстве CIELab)
Индекс L в цветовом пространстве CIELab характеризует яркость особей. Различия в яркости статистически достоверны между морфами по критерию Краскела–Уоллиса (p < 0.0001) (рис. 3В). Попарные сравнения групп по яркости показали, что различия в яркости морфы M были статистически достоверно ниже по сравнению с различиями этого показателя у других морф (p < 0.005). Так, меланиновая морфа была в 1.5 раз темнее морф B и S. Янтарная морфа (A) была тоже темнее, чем морфы B и S, однако статистически недостоверно (p > 0.05).
Различия между морфами по R/B индексу не были статистически достоверны (рис. 3Б) (p > 0.05). Попарные сравнения морф также не позволили обнаружить статистически достоверных различий. Среднее значение R/B индекса у всех морф в сумме составляло 2.2 ± 0.6, наибольший диапазон значений был у морфы S, он составил от 1.4 до 4.4.
Была обнаружена корреляция между индексами a и b (рис. 4) по критерию Спирмена. Коэффициент корреляции индексов во всех группах составил 0.51 (p < 0.001), что было интерпретировано нами как умеренная корреляция, в морфе B2 r = 0.64, в морфе A r = 0.65 (p < 0.05), что также интерпретировалось нами как умеренная корреляция, только в морфе М отмечалась значительная корреляция r = 0.81 (p < 0.05) (Schober et al., 2018). У остальных морф корреляция была статистически недостоверной (p > 0.05).
Рис. 4. Корреляционные связи между индексами a и b цветового пространства CIELab у различных морф D. villosus из реки Кубань
Общее число гемоцитов
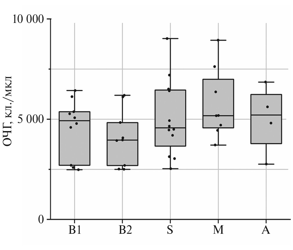
ОЧГ D. villosus находилось в широком диапазоне от 2480 до 9020 шт./мкл, среднее количество гемоцитов составило 4858 ± 1684 шт./мкл. Корреляционных связей между размером особей и числом гемоцитов установлено не было (p > 0.05). Также не было установлено различий по ОЧГ между самцами и самками (p > 0.05). Различия между пятью морфами были статистически недостоверны (p = 0.36) (рис. 5). Статистически достоверные различия при попарном сравнении между морфами не наблюдались (p > 0.05), однако у морфы M ОЧГ было в 1.4 раза выше по сравнению с B2 (p = 0.054).
Рис. 5. Общее число гемоцитов у пяти морф D. villosus из реки Кубань (n = 4–12)
ОБСУЖДЕНИЕ
В настоящем исследовании доминирующими в популяции были особи, принадлежащие к морфе с дорсальными полосами (B), реже всего встречались особи морфы с поперечными регулярными полосами (T). Nesemann и соавторы выявили в Дунае 3 морфы D. villosus: пятнистая (S), меланиновая (M) и морфа с дорсальными полосами (B); доминирующими были морфы S и B (Nesemann et al., 1995). Dean и соавторы наблюдали в разные годы на различных участках реки Мозель от трех до пяти морф D. villosus. Так, в 1999 и 2000 годах на французском участке реки Мозель отмечено наличие трех морф S, M, A в соотношении (%) 55: 41.6: 3.4, соответственно (Devin et al., 2003). В 2000 и 2001 годах на участках этой же реки вблизи города Мец были обнаружены четыре морфы в следующем соотношении (%): T 21.9, S33.6, M 21.5 и B23 (Devin et al., 2003). В то же время на другом участке реки вблизи города Мец были обнаружены пять морф, их соотношение претерпевало изменения в течение года, средние значения были следующими (%): T 17.9, S32.3, M 25.3, B21.1. A 3.4. Данные из этих работ по соотношению морф были несопоставимы с нашими данными, поскольку в приведенных работах доминировали морфы S и M, по результатам наших исследований, доминирующей морфой была B.
Авторы приведенных выше работ связывают наблюдаемую неоднородность соотношения морф из различных участков одного водоема с субстратом, на котором находится бокоплав. По данным Devin и соавторов (2003), двустворчатый моллюск Dreissena polymorpha, возможно, представлял собой место обитания для гаммаруса. Аналогичное явление мы наблюдали на исследованном нами участке реки Кубань, дрейссена занимала около половины поверхности каменистого дна. Известно, что Dreissena polymorpha имеет множество морф, различающихся по рисункам и узорам (Pavlova, Izyumov, 2014). В ходе исследования мы обнаружили все известные морфы, однако преобладающими были AC, A, C (Pavlova, Izyumov, 2014). Мы можем предположить, что морфа с дорсальными полосами была менее заметна на фоне речной дрейссены, поэтому именно эта морфа была доминирующей в изученной нами популяции. Остается неясным, для чего такая окраска амфипод необходима в первую очередь: для того, чтобы быть незаметными во время охоты или чтобы быть незаметными для хищников?
Таким образом, количество морф и их соотношение могут быть различными в разных водоемах и на разных субстратах в этих водоемах. Учитывая, что протяженность реки Кубань составляет 870 км, а также то, что река проходит через различные ландшафты и имеет множество притоков, вполне вероятно, приведенные данные по соотношению морф могут быть характерны только для указанного в настоящей работе участка реки.
Соотношение полов является важной характеристикой, преобладание самок в популяциях свидетельствует о стабильности развития и воспроизводства. Результаты наших исследований позволили подтвердить данные о доминировании самок в популяции этого вида, полученные ранее (Devin et al., 2001, 2004; Kley, Maier, 2003), однако соотношение полов может изменяться в зависимости от сезона года (Макаренко, 2019). Мы отметили, что в исследуемой нами популяции D. villosus самцы были крупнее самок, это согласуется с результатами других исследователей (Devin et al., 2004; Kley, Maier, 2003).
Результаты анализа цветовых индексов могут указывать на различное качественно-количественное соотношение пигментов у изучаемых морф (Saranchina et al., 2021). Полученные нами данные могут послужить основой для дальнейшего изучения пигментов у данного вида амфипод. В нашем исследовании различий по R/B индексу между особями, принадлежащими к разным морфам, не обнаружено, это подтверждает изложенное Drozdovoy et al. (2020) предположение, что R/B индекс подходит для сравнения особей, имеющих наиболее явные различия в цветах. Не было обнаружено достоверных различий по цветовым индексам a и b между морфами. При этом меланиновая морфа оказалась в полтора раза темнее, чем другие морфы. Наличие корреляционных связей между индексами a и b было впервые обнаружено нами, однако предположения о практическом применении этих связей у нас нет.
Одним из показателей, отражающим физиологическое состояние амфипод, является общее число гемоцитов (Labaude et al., 2017; Dos Santos et al., 2022, 2023). Гемоциты – клетки гемолимфы ракообразных. У амфипод, так же как и у других ракообразных, гемоциты играют важную роль в иммунной защите организма (Labaude et al., 2017; Zolotovskaya et al., 2021; Dos Santos et al., 2023). Эти клетки не только проявляют фагоцитарную активность, но также способны выделять различные соединения, участвующие в иммунной защите (Zolotovskaya et al., 2021). Нами не были установлены различия между морфами по ОЧГ, однако ОЧГ у меланиновой морфы по сравнению с морфой B2 в 1.4 раза больше (статистически не достоверно). Для получения более полных данных о гематологических показателях этого вида необходимо увеличить выборки, а также учитывать размер и пол особей, поскольку известно, что у некоторых видов имеются различия по гематологии в зависимости от пола (Dos Santos et al., 2023).
ЗАКЛЮЧЕНИЕ
Таким образом, впервые было установлено соотношение морф амфипод вида D. villosus из равнинной части нижнего течения реки Кубань. Приведены данные по цветовым индексам морф и общему числу гемоцитов этого вида.
СОБЛЮДЕНИЕ ЭТИЧЕСКИХ СТАНДАРТОВ
При проведении исследования были соблюдены все применимые международные принципы использования лабораторных животных. Ввиду проведения работ с беспозвоночными, этические стандарты, указанные во всемирной декларации прав животных, не были нарушены.
КОНФЛИКТ ИНТЕРЕСОВ
Авторы заявляют об отсутствии явных и потенциальных конфликтов интересов, связанных с публикацией этой работы.
About the authors
D. N. Skafar
Azov-Black Sea Branch, Russian Federal Research Institute of Fisheries and Oceanography
Author for correspondence.
Email: skafden@mail.ru
Russian Federation, Rostov-on-Don
N. N. Givlyud
Kuban State University
Email: skafden@mail.ru
Russian Federation, Krasnodar
References
- Борисов Р. Р., Печенкин Д. С., 2018. Влияние интенсивности освещения на окраску личинок камчатского (Paralithodes camtschaticus (Tilesius)) и синего (Paralithodes platypus (Brandt)) крабов (Decapoda, Lithodidae) // Зоологический журнал. T. 97. № 10. С. 1231–1237.
- Гринцов В. А., Щуров С. В., 2021. Амфиподы морских ферм прибрежья Севастополя (Черное море) // Водные биоресурсы и среда обитания. Т. 4. № 4. С. 27– 35.
- Мадьярова Е. В., Широкова Ю. А., Мутин А. Д., Ржечицкий Я. А., Гурков А. Н., и др., 2023. Морфологическое разнообразие и генетическая однородность двух близкородственных видов байкальских эндемичных амфипод рода Ommatogammarus на разных глубинах озера Байкал // Развитие жизни в процессе абиотических изменений на Земле. № 4. С. 74–76.
- Макаренко А. И., 2019. Особенности процесса размножения чужеродных видов амфипод (Crustacea, Amphipoda) в условиях водотоков Беларуси // Вес. Нац. aкад. навук Беларусі. Сер. біял. навук. Т. 64. № 1. С. 72–81.
- https://doi.org/10.29235/1029-8940-2019-64-1-72-81
- Определитель фауны Черного и Азовского морей: Свободноживущие беспозвоночные ракообразные, 1969. Т. 2. Под общим руководством Ф. Д. Мордухай-Болтовского. Киев: Наукова думка. 536 c.
- Abuhagr A. M., Blindert J. L., Nimitkul S., Zander I. A., LaBere S.M., et al., 2014. Molt regulation in green and red color morphs of the crab Carcinus maenas: Gene expression of molt-inhibiting hormone signaling components // Journal of Experimental Biology. V. 217. № 100. P. 796–808.
- Allen J. A., 1988. Frequency-dependent selection by predators // Philosophical Transactions of the Royal Society of London B. V. 319. № 1196. P. 485–503.
- Alonso Á., De Lange H. J., Peeters E. T.H.M., 2010. Contrasting sensitivities to toxicants of the freshwater amphipods Gammarus pulex and G. fossarum // Ecotoxicology. V. 19. № 1. P. 133–140.
- Amer A., Spears S., Vaughn P. L., Colwell C., Livingston E. H., et al., 2023. Physiological phenotypes differ among color morphs in introduced common wall lizards (Podarcis muralis) // Integrative Zoology. V. 19. № 3. P. 12775.
- Arfianti T., Wilson S., Costello M. J., 2018. Progress in the discovery of amphipod crustaceans // Peer J. P. 6: e5187.
- Bai Y., Chen Y., Pan Y., Zhang L., Liu S., et al., 2018. Effect of Temperature on Growth, Energy Budget, and Physiological Performance of Green, White, and Purple Color Morphs of Sea Cucumber, Apostichopus japonicas // Journal of the World Aquaculture Society. V. 49. № 3. P. 625–637.
- Bai Y., Zhang L., Liu S., Ru X., Xing L., Cao X., Zhang T., Yang H., 2015. The effect of salinity on the growth, energy budget and physiological performance of green, white and purple color morphs of sea cucumber, Apostichopus japonicas // Aquaculture. № 437. P. 297–303.
- Borisov R. R., Nikonova I. N., Parshin-Chudin A.V., Kovacheva N. P., 2022. Effect of Background Color on the Coloration of Juvenile Giant Freshwater Prawn Macrobrachium rosenbergii // Russian Journal of Ecology. V. 53. № 1. P. 40–47.
- Brix S., Lörz A.-N., Jazdzewska A., Hughes L., Tandberg A. H., et al., 2018. Amphipod family distributions around Iceland // ZooKeys. V. 731. P. 41–53.
- Cuthill I. C., Allen W. L., Arbuckle K., Caspers B., Chaplin G., Hauber M. E., et al., 2017. The biology of color // Science. V. 357. № 6350. P. eaan0221.
- Davolos D., Chimenti C., Ronci L., Setini A., Iannilli V., et al., 2015. An integrated study on Gammarus elvirae (Crustacea, Amphipoda): Perspectives for toxicology of arsenic-contaminated freshwater // Environmental Science and Pollution Research. V. 22. № 20. P. 15563–15570.
- Devin S., Beisel J. N., Bachmann V., Moreteau J. C., 2001. Dikerogammarus villosus (Amphipoda: Gammaridae): another invasive species newly established in the Moselle river and French hydrosystems // Annales de Limnologie – International Journal of Limnology. V. 37. № 1. P. 21–27.
- Devin S., Piscart C., Beisel J.-N., 2003. Ecological traits of the amphipod invader Dikerogammarus villosus on a mesohabitat scale // Archiv Für Hydrobiologie. V. 158. № 1. P. 43–56.
- Devin S., Bollache L., Beisel J. N., Moreteau J. C., Perrot Minnot M. J., 2004. Pigmentation polymorphism in the invasive amphipod Dikerogammarus villosus: Some insights into its maintenance // Journal of Zoology. V. 264. № 4. P. 391–397.
- Devin S., Piscart C., Beisel J., Moreteau J., 2004а. Life History Traits of the Invader Dikerogammarus villosus (Crustacea: Amphipoda) in the Moselle River, France // International Review of Hydrobiology. V. 89. № 1. P. 21–34.
- Dick J. T.A., Platvoet D., 2000. Invading predatory crustacean Dikerogammarus villosus eliminates both native and exotic species // Proceedings of the Royal Society of London. Series B: Biological Sciences. V. 267. № 1447. P. 977–983.
- Dijkstra P. D., Pierotti M. E.R., Seehausen O., Metcalfe N. B., 2016. Metabolism, oxidative stress and territorial behaviour in a female colour polymorphic cichlid fish // Behavioral Ecology and Sociobiology. V. 70. № 1. P. 99– 109.
- Dos Santos A., Botelho M. T., Joviano W. R., Gomes V., Da Silva J. R.M.C., et al., 2023. Characterization of hemocytes from the marine amphipod Parhyale hawaiensis (Dana 1853): Setting the basis for immunotoxicological studies // Invertebrate Biology. V. 142. № 1. P. e12394.
- Dos Santos A., Botelho M. T., Vannuci-Silva M., Artal M. C., Vacchi F. I., et al., 2022. The amphipod Parhyale hawaiensis as a promising model in ecotoxicology // Chemosphere. V. 307. P. 135959.
- Drozdova P., Saranchina A., Morgunova M., Kizenko A., Lubyaga Y., et al., 2020. The level of putative carotenoid-binding proteins determines the body color in two species of endemic Lake Baikal amphipods // Peer J. P. e9387.
- Endler J. A., 1978. A Predator’s View of Animal Color Patterns // Evolutionary Biology. Springer US. Р. 319–364.
- Endler J. A., Mappes J., 2017. The current and future state of animal coloration research // Philosophical Transactions of the Royal Society B: Biological Sciences. V. 372. № 1724. P. 20160352.
- FiŠer C., Konec M., Alther R., Švara V., Altermatt F., 2017. Taxonomic, phylogenetic and ecological diversity of Niphargus (Amphipoda: Crustacea) in the Hölloch cave system (Switzerland) // Systematics and Biodiversity. V. 15. № 3. P. 218–237.
- Gusev A. A., Guseva D. O., Sudnik S. A., 2017. New record of the Ponto-Caspian gammarid Dikerogammarus villosus (Sowinsky, 1894) in the southeastern part of the Baltic Sea (Kaliningrad oblast, Russia) // Russian Journal of Biological Invasions. V. 8. № 3. P. 218–225.
- Ingersoll C. G., Brunson E. L., Dwyer F. J., Hardesty D. K., Kemble N. E., 1998. Use of sublethal endpoints in sediment toxicity tests with the amphipod Hyalella azteca // Environmental Toxicology and Chemistry. V. 17. № 8. P. 1508–1523.
- Jia D., Shaodan X., Qingwei Z., Huanxuan L., Li F., et al., 2020. A review of microplastics in the aquatic environmental: Distribution, transport, ecotoxicology, and toxicological mechanisms // Environmental Science and Pollution Research. V. 27. № 11. P. 11494–11505.
- Koester M., Gergs R., 2014. No evidence for intraguild predation of Dikerogammarus villosus (Sowinsky, 1894) at an invasion front in the Untere Lorze, Switzerland // Aquatic Invasions. V. 9. № 4. P. 489–497.
- Kley A., Maier G., 2003. Life history characteristics of the invasive freshwater gammarids Dikerogammarus villosus and Echinogammarus ischnus in the river Main and the Main-Donau canal // Archiv Fur Hydrobiologie. V. 156. № 4. P. 457–470.
- Labaude S., Moret Y., Cézilly F., Reuland C., Rigaud T., 2017. Variation in the immune state of Gammarus pulex (Crustacea, Amphipoda) according to temperature: Are extreme temperatures a stress? // Developmental & Comparative Immunology. V. 217. P. 25–33.
- Lipinskaya T. P., Makarenko A. I., 2019. Comparative Analysis of Predatory Behavior of Invasive Alien Dikerogammarus villosus (Sowinsky, 1894) and Native Gammarus varsoviensis (Jazdzewski, 1975) Amphipods // Russian Journal of Biological Invasions. V. 10. № 4. P. 349–357.
- Nesemann H., Pöckl M., Wittmann K. J., 1995. Distribution of epigean Malacostraca in the middle and upper Danube (Hungary, Austria, Germany) // Miscellanea Zoologica Hungarica. V. 10. P. 49–68.
- Nokelainen O., 2018. Colour polymorphism in the coconut crab (Birgus latro) // Evol. Ecol. V. 32. P. 75–88.
- Paganelli D., Cianci M. A., Marchini A., 2022. Risk Screening and Distribution of the Invasive Amphipod Dikerogammarus villosus (Sowinsky, 1894) in the River Adda (Northern Italy) // Diversity. V. 14. № 10. P. 838.
- Pavlova V., Izyumov Y., 2014. Morfological variability of Dreissena polymorpha and Dreissena rostiformis bugensis (Mollusca: Bivalvia) // In book: Quagga and Zebra Mussels. Biology, Impacts and Control (T. Nalepa & D. Schloesser, eds). Edition: Second edition Publisher: CRC Press, Boca Raton. P. 287–314.
- Reid D. G., Abelló P., Kaiser M. J., Warman C. G., 1997. Carapace Colour, Inter-moult Duration and the Behavioural and Physiological Ecology of the Shore Crab Carcinus maenas // Estuarine, Coastal and Shelf Science. V. 44. № 2. P. 203–211.
- Saranchina A., Drozdova P., Mutin A., Timofeyev M., 2021. Diet affects body color and energy metabolism in the Baikal endemic amphipod Eulimnogammarus cyaneus maintained in laboratory conditions // Biological Communications. V. 66. № 3. P. 245–255.
- Schober P., Boer C., Schwarte L. A., 2018. Correlation Coefficients: Appropriate Use and Interpretation // Anesthesia & Analgesia. V. 126. № 5. P. 1763–1768.
- Soto I., Cuthbert R. N., Ahmed D. A., Kouba A., Domisch S., et al. 2023. Tracking a killer shrimp: Dikerogammarus villosus invasion dynamics across Europe // Diversity and Distributions. V. 29. № 1. P. 157–172.
- Spicer J. I., Moore P. G., Taylor A. C., 1987. The physiological ecology of land invasion by the Talitridae (Crustacea: Amphipoda) // Proceedings of the Royal Society of London. Series B. Biological Sciences. V. 232. № 1266. P. 95–124.
- Styrishave B., Rewitz K., Andersen O., 2004. Frequency of moulting by shore crabs Carcinus maenas (L.) changes their colour and their success in mating and physiological performance // Journal of Experimental Marine Biology and Ecology. V. 313. № 2. V. 317–336.
- Villacorta C., Jaume D., Oromí P., Juan C., 2008. Under the volcano: Phylogeography and evolution of the cave-dwelling Palmorchestia hypogaea (Amphipoda, Crustacea) at La Palma (Canary Islands) // BMC Biology. V. 6. № 1. P. 7.
- Watt W. B., 1968. Adaptive Significance of Pigment Polymorphisms in Colias Butterflies. I. Variation of Melanin Pigment in Relation to Thermoregulation // Evolution. V. 22. № 3. P. 437.
- Wattier R., Mamos T., Copilaş-Ciocianu D., Jelić M., Ollivier A., 2020. Continental-scale patterns of hyper-cryptic diversity within the freshwater model taxon Gammarus fossarum (Crustacea, Amphipoda) // Scientific Reports. V. 10. № 1. P. 16536.
- Wildish D. J., Pavesi L., Ketmaier V., 2012. Talitrid amphipods (Crustacea: Amphipoda: Talitridae) and the driftwood ecological niche: a morphological and molecular study // Journal of Natural History. V. 46. № 43–44. P. 2677–2700.
- Wu M.-C., Dahms H.-U., Liu C.-H., Hsieh C.-Y., Wang C.-C., et al., 2021. Estuarine sediment toxicity testing with an indigenous subtropical amphipod // Marine Pollution Bulletin. V. 162. P. 111797.
- Zhang Y., Buchberger A., Muthuvel G., Li L., 2015. Expression and distribution of neuropeptides in the nervous system of the crab Carcinus maenas and their roles in environmental stress // Proteomics. V. 15. № 23–24. P. 3969– 3979.
- Zheng X., Liao X., Zhang M., Mao J., Chen Y., et al., 2023. The effect of aquarium color background on the survival, growth performance, body coloration, and enzymatic activity of laboratory cultured Cherax quadricarinatus juveniles // Aquaculture Reports. V. 32. P. 101699.
- Zolotovskaya E., Nazarova A., Saranchina A., Mutin A., Drozdova P., et al., 2021. Hemocyte proteome of the Lake Baikal endemic Eulimnogammarus verrucosus (Crustacea: Amphipoda) sheds light on immune-related proteins // Biological Communications. V. 66. № 4. P. 290–301.
Supplementary files







