Динамика численности анатид (Anseriformes, Anatidae, Aves) на модельных участках в Дагестане
- Авторы: Вилков Е.В.1
-
Учреждения:
- Прикаспийский институт биологических ресурсов Дагестанского федерального исследовательского центра РАН
- Выпуск: Том 102, № 12 (2023)
- Страницы: 1398-1420
- Раздел: Статьи
- URL: https://ogarev-online.ru/0044-5134/article/view/231779
- DOI: https://doi.org/10.31857/S0044513423120140
- EDN: https://elibrary.ru/GRUHST
- ID: 231779
Цитировать
Полный текст
Аннотация
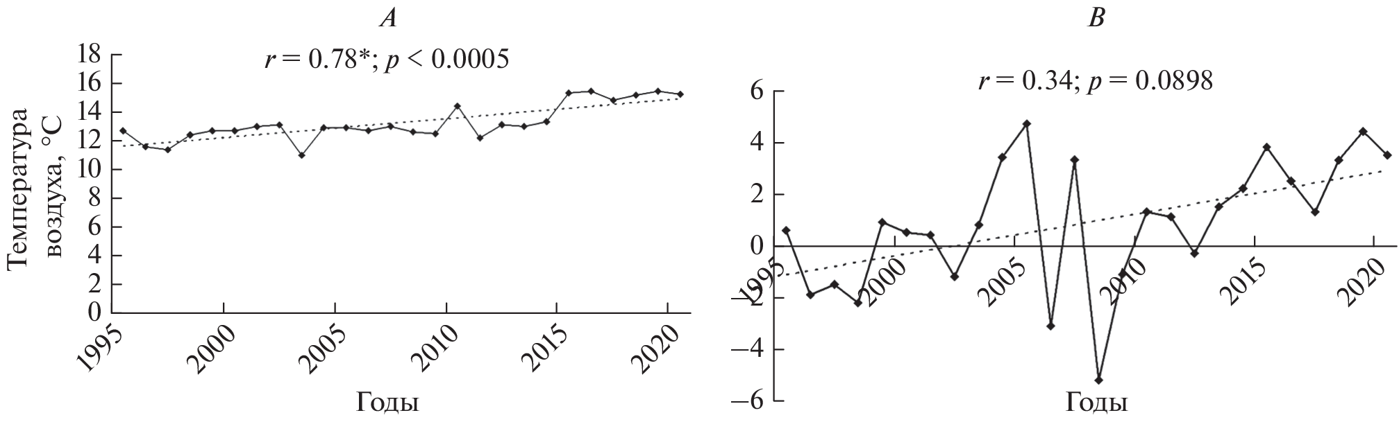
Снижение численности водоплавающих и околоводных птиц в глобальном масштабе во многом связано с сокращением площадей водно-болотных угодий в эпоху потепления климата. На примере трансграничных популяций гусеобразных (Anseriformes, Anatidae) отражены данные многолетнего мониторинга, полученные в 1995–2020 гг. на двух Ключевых орнитологических территориях России международного значения – в Сулакской и Туралинской лагунах (Республика Дагестан). Модельные лагуны расположены на одном из крупнейших в России западно-каспийском пролетном пути, устроенном по типу “бутылочного горлышка”, где пересекаются пути пролета европейских и азиатских мигрантов. Модельную группу Anseriformes, включающую 18 преимущественно фоновых видов, выбрали на основе регулярности их встреч на пролете. По сведениям о возвратах колец, полученным из Научно-информационного центра кольцевания птиц ИПЭЭ РАН, определили условный контур обобщенного ареала гусеобразных, фауногенетическую основу которых составляют широкораспространенные, арктические и сибирские представители типов фаун. По данным кольцевания и сведениям литературных источников определили географическое местоположение популяций анатид, регулярно мигрирующих через район исследований. Установлено, что из 18 тестируемых видов у 12 численность достоверно понизилась, у 2 – возросла, у 4 – осталась стабильной. Полученные тренды численности синхронизировали с данными литературных источников по тем же видам Anseriformes, но в местах их гнездования. Совпадение вышеуказанных трендов с трендами численности тех же видов в местах их гнездования подтверждает корректность оценки численности географически дистанцированных популяций гусеобразных, полученных на путях их пролета в модельных лагунах. Выявлена корреляционная связь между среднемесячными температурами воздуха в осенне-зимний период на Приморской низменности Дагестана с флуктуацией численности для 12 модельных видов. Доказано, что в холодные годы численность мигрирующих популяций анатид и интенсивность их пролета в районе исследований возрастают, а в теплые – снижаются в результате задержки мигрантов на путях пролета и изменения мест их зимовок. Корреляционный анализ показал достоверную связь между ростом численности зимующих на Каспии гусеобразных с регрессией уровня моря, при которой обмелевшие участки морской акватории улучшили доступ анатид к кормовым ресурсам (бентосу). Обсуждаются три ключевых фактора, определяющих динамику численности популяций Anseriformes: гидроклиматические циклы, антропогенное влияние и кормодобывание. Рекомендуется введение врéменнoго запрета на охотничье изъятие 8 уязвимых видов (серого гуся, чирка-свистунка, чирка-трескунка, серой утки, свиязи, шилохвости, широконоски и красноголового нырка) в Западной Сибири, Казахстане, Уральском федеральном округе, Предуралье, Поволжье, Южном и Северо-Кавказском федеральных округах до устойчивого восстановления их популяций.
Ключевые слова
Об авторах
Е. В. Вилков
Прикаспийский институт биологических ресурсовДагестанского федерального исследовательского центра РАН
Автор, ответственный за переписку.
Email: evberkut@mail.ru
Дагестан, 367000, Махачкала
Список литературы
- Авилова К.В., 2009. Интродуцированные виды водоплавающих птиц в городах Европы: тенденции и перспективы // Сохранение разнообразия животных и охотничье хозяйство России: Материалы 3-й Международной науч.-практич. конференции. М. РГАУ – МЦХ им. К.А. Тимирязева. С. 513–515.
- Аладдин Н.В., Плотников И.С., 2000. Угроза крупномасштабной экологической катастрофы на Каспийском море (Сравнительный анализ причин и последствий экологических кризисов на Арале и Каспии) // Вестник Каспия. № 4. С. 112–126.
- Антипов А.М., 2010. Водоплавающие птицы Ханты-Мансийского автономного округа – Югры и сопредельных территорий: закономерности размещения, численность, миграции, охота, меры охраны. Ханты-Мансийск. “Библиографика”. Сургут. 250 с.
- Будыко М.И., 1980. Климат в прошлом и будущем. Л. 350 с.
- Букреев С.А., Джамирзоев Г.С., 2006. Республика Дагестан // Водно-болотные угодья России. Водно-болотные угодья Северного Кавказа. М. Wetlands International. С. 16–18.
- Букреев С.А., Джамирзоев Г.С., Перевозов А.Г., 2013. Интересные орнитологические наблюдения в Дагестане в 2012 году. Неворобьиные (non-Passeriformes) // Птицы Кавказа: история изучения, жизнь в урбанизированной среде. Ставрополь. С. 5–2.
- Вилков Е.В., 2008. Динамика численности и специфика миграций Anseriformes в районе лагун западного побережья Среднего Каспия // Сибирский экологический журнал. № 1. С. 171–186. ISSN 0869-8619.
- Вилков Е.В., 2009. ДС-9 Сулакская лагуна. ДС-10 Туралинская лагуна // Ключевые орнитологические территории России. Т. 3. Ключевые орнитологические территории международного значения в Кавказском экорегионе. Под ред. С.А. Букреева, Г.С. Джамирзоева. М.: Союз охраны птиц России. С. 197–199.
- Вилков Е.В., 2013. Популяционные тренды регулярных мигрантов – основа прогностической модели сохранения птиц Евразии // Экология. № 2. С. 124–139. https://doi.org/10.7868/S0367059713010137
- Вилков Е.В., 2014. Генезис и эволюция прикаспийских лагун, как важных резерватов фауны птиц на западном Каспии // Проблемы региональной экологии. М.: “Камертон”. № 2. С. 191–197.
- Вилков Е.В., 2014а. Экспресс-методика компьютерной реконструкции крупномасштабных картосхем по ограниченным географическим параметрам // Проблемы региональной экологии. М.: “Камертон”. № 2. С. 138–140.
- Вилков Е.В., 2017. Орнитологическая значимость особо охраняемой природной территории “Сулакская лагуна” // Устойчивое развитие особо охраняемых территорий. Т. 4: Сборник статей IV Всероссийской науч.-практич. конференции (1–3 ноября 2017 г., Сочи). Сочи: ГКУ КК “Природный орнитологический парк в Имеретинской низменности”. Дониздат. С. 67–79.
- Вилков Е.В., 2019. Социально-экологический проект природного парка “Орнитопарк – Туралинская лагуна” // Устойчивое развитие особо охраняемых природных территорий. Т. 6: Сборник статей VI Всероссийской научно-практической конференции (2–4 октября 2019, Сочи). Сочи: ГКУ КК “Природный орнитологический парк в Имеретинской низменности”. Донской издательский центр. С. 111–122.
- Воришек П., 2018. Общеевропейская программа мониторинга обычных видов птиц: методы, достижения и перспективы расширения в восточной Европе // Первый Всероссийский орнитологический конгресс (г. Тверь, Россия, 29 января–4 февраля 2018 г.). Тезисы докладов. Тверь. С. 63.
- Востоков С.В., Гаджиев А.А., Востокова А.С., Рабазанов Н.И., 2020. Гребневик Beroe cf. ovata в Каспийском море. Начало нового этапа в эволюции экосистемы Каспия? Юг России: экология, развитие. Т. 15. № 4. С. 21–35. https://doi.org/10.18470/1992-1098-2020-4-21-35
- Гаврилов Н.Н., 2019. Зависимость геоклиматических показателей от смены местообитаний в дельте Волги в процессе внутривековой изменчивости климата // Природные экосистемы Прикаспия: прошлое, настоящее, будущее: Материалы Всероссийской научной конференции с международным участием, посвященной 100-летию Астраханского государственного заповедника. Астрахань. МИР. С. 16–17.
- Головатин М.Г., Пасхальный С.П., 2015. Современное состояние ресурсов гусеобразных поймы Нижней Оби и их пространственное распределение // Международная конференция “Гусеобразные Северной Евразии: изучение, сохранение и рациональное использование”. Салехард. С. 23–24.
- Джамирзоев Г.С., Букреев С.А., 2013. Редкие позвоночные животные заповедника “Дагестанский” // Труды заповедника “Дагестанский”. Вып. 6. Махачкала. С. 145–149.
- Ерохов С.Н., Березовиков Н.Н., Тимошенко А.Ю., Кошкин А.В., 2011. Современное состояние гнездящейся популяции серого гуся (Cygnus cygnus) // Тезисы докладов Международной конференции “Гусеобразные Северной Евразии: география, динамика и управление популяциями”: Элиста. С. 28.
- Завьялов Е.В., Матросов А.Н., Табачишин В.Г., Кутырев И.В., Попов Н.В., и др., 2008. Роль сезонных миграций лимнофильных видов птиц в возможности заноса вируса гриппа А (H5N1) на территорию севера Нижнего Поволжья // Поволжский экологический журнал. № 1. С. 3–19.
- Карри-Линдал К., 1984. Птицы над сушей и морем: Глобальный обзор миграций птиц. М.: Мысль. 204 с.
- Коблик Е.А., 2001. Разнообразие птиц (по материалам экспозиции Зоологического музея МГУ). Ч. 1. М.: МГУ. 384 с.
- Коробицын И.Г., Тютеньков О.Ю., Москвитин С.С., 2018. Соотношение полов птиц как индикатор состояния популяций водоплавающих птиц // Динамика популяций охотничьих животных Северной Европы: Тезисы докладов. VII Международный симпозиум. 24–28 сентября 2018 г, г. Петрозаводск, Республика Карелия, Россия. Петрозаводск: КарНЦ РАН. С. 61–62.
- Кошелев А.И., Данник О.Ю., 2001. Местные кормовые перелеты зимующих гусей в Северном Приазовье // Проблемы изучения и охраны птиц Восточной Европы и Северной Азии. М. С. 72–73.
- Красная книга Республики Дагестан, 2009. Махачкала. 552 с.
- Красная книга Республики Дагестан, 2020. Махачкала: Типография A4 (ИП Джамалудинов). 796 с.
- Красная книга Российской Федерации, 2001. Животные. М.: АСТ-Астрель. 862 с.
- Кривенко В.Г., Виноградов В.Г., 2008. Птицы водной среды и ритмы климата Северной Евразии. М.: Наука. 588 с.
- Кривенко В.Г., 2021. Глобальное потепление климата с позиций космогенной теории динамики ареалов и численности животных Северного полушария // Общественно-научный журнал “Вестник” РАЕН. Т. 3. С. 96–106. https://doi.org/10.52531/1682-1696-2021-21-3-96-106
- Лебедева Н.В., Ломадзе Н.Х., 2016. Популяция серого гуся (Anser anser) на Западном Маныче в начале XXI века // Наука Юга России. Т. 12. № 2. С. 68–81.
- Лебедева Н.В., Ломадзе Н.Х., Коломейцев С.Г., 2018. Миграция гусеобразных (Anseriformes) на Западном Маныче в 2016 г. // Наука Юга России. Т. 14. № 1. С. 97–115. https://doi.org/10.23885/2500-0640-2018-14-1-97-115
- Мельников Ю.И., 2004. Экстремальные засухи и их влияние на динамику гнездовых ареалов куликов Прибайкалья // Кулики Восточной Европы и Северной Азии: изучение и охрана: Материалы VI совещания по вопросам изучения и охраны куликов. Екатеринбург: Уральский университет. С. 138–145.
- Мельников Ю.И., 2015. Серая утка в Восточной Сибири: динамика ареала и современное состояние численности // Международная конференция “Гусеобразные Северной Евразии: изучение, сохранение и рациональное использование”. Салехард. С. 52–53.
- Михеев А.В., 1997. Видимый дневной пролет водных и околоводных птиц по западному побережью Каспийского моря. Ставрополь. 160 с.
- Мищенко А.Л., Харитонов С.П., 2018. Современное состояние популяций красноголового нырка в России и Европе: причины сокращения численности // Первый Всероссийский орнитологический конгресс (г. Тверь, Россия, 29 января – 4 февраля 2018 г.). Тезисы докладов. Тверь. С. 226–227.
- Нанкинов Д.Н., 2017. Птицы России и сопредельных стран: чирок-трескунок Anas querquedula Linnaeus, 1758 // Русский орнитологический журнал. Т. 26. Экспресс-выпуск № 1460. С. 2505-2553. ISSN 0869-4362
- Оценка численности и ее динамики для птиц европейской части России (результаты проекта “European Red List of Birds”), 2017. Под ред. А.Л. Мищенко. М.: Русское общество сохранения и изучения птиц. 63 с.
- Пиминов В.Н., Синицын А.А., Сышев И.М., 2012. Гусеобразные (Anseriformes) бассейна р. Пур и воздействие промышленного освоения территории на их популяции // Современные проблемы природопользования, охотоведения и звероводства. № 1. С. 225–226.
- Поливанова Н.Н., 1990. Предисловие // Миграции и зимовки птиц Северного Кавказа. Ставрополь. Кн. изд-во. Вып. 11. С. 5–6.
- Равкин Ю.С., 1967. К методике учета птиц лесных ландшафтов // Природа очагов клещевого энцефалита на Алтае. Новосибирск. С. 66–75.
- Равкин Ю.С., 2008. Факторная зоогеография: принципы, методы и теоретические представления / Ю.С. Равкин, С.Г. Ливанов. Новосибирск: Наука. 205 с.
- Розенфельд С.Б., 2015. Перспективы сохранения популяций серого гуся методом искусственного разведения // Международная конференция “Гусеобразные Северной Евразии: изучение, сохранение и рациональное использование”. Салехард. С. 73–74.
- Розенфельд С.Б., Герасимов Ю.Н., Мищенко А.Л., Белик В.П., Морозов В.В., 2018. Сокращение численности ряда таксонов охотничьих видов гусеобразных: о необходимости включения их в Красную книгу России // Первый Всероссийский орнитологический конгресс. 29 января–4 февраля 2018 г. г. Тверь, Россия. Тезисы докладов. Тверь.: ТГУ. С. 279–280.
- Русанов Г.М., 2001. Численность водоплавающих птиц в дельте Волги в условиях нестабильного водного режима (1968–1999 гг.) // Бюллетень Рабочей группы по гусям Восточной Европы и Северной Азии. Вып. 7. С. 365–383.
- Русанов Г.М., 2006. Изменения птичьего населения дельты Волги во второй половине XX столетия // Развитие современной орнитологии в Северной Евразии: Труды XII Международной орнитологической конференции Северной Евразии. Ставрополь: СГУ. С. 210–228.
- Русанов Г.М., 2015. Динамика популяций водоплавающих птиц в дельте Волги в ХХ столетии // Русский орнитологический журнал. Т. 24. Экспресс-выпуск 1171. С. 2674–2694.
- Свиточ А.А., 1998. Геоэкологическая катастрофа в приморских городах Дагестана // Природа. Т. 5. № 993. С. 16–17.
- Соколов Л.В., 1991. Филопатрия и дисперсия птиц (Тр. Зоол. ин-та). Ленинград. Т. 230. 233 с.
- Соколов Л.В., 2010. Климат в жизни растений и животных. СПб.: “ТЕССА”, 344 с.
- Султанов Э.Г., 2001. Статус пискульки (Anser erythropus) в Азербайджане // Фокус на Каспии. Региональная программа по охране пискульки в Прикаспийском регионе. Региональное агентство окружающей среды Хяме. Финляндия. С. 1–5.
- Тарасов В.В., 2015. Современное состояние ресурсов гусеобразных птиц в Тоболо-Ишимской лесостепи // Международная конференция “Гусеобразные Северной Евразии: изучение, сохранение и рациональное использование”. Салехард. С. 89–90.
- Тютеньков О.Ю., Коробицын И.Г., Панин А.С., Гашков С.И., Москвитин С.С., 2015. Сокращение численности водоплавающих птиц таежной зоны Западной Сибири в начале XXI в. // XIV Международная орнитологическая конференция Северной Евразии. I. Тезисы. Алматы. С. 492–493.
- Федосов В.Н., 2015. Результаты изучения ареалов водоплавающих птиц по материалам проекта создания атласа гнездящихся птиц европейской России // Международная конференция “Гусеобразные Северной Евразии: изучение, сохранение и рациональное использование”. Салехард. С. 92–93.
- Харитонов С.П., 2019. О рациональном (неистощительном) использовании ресурсов водоплавающих птиц: демографическое благополучие популяции и нормы изъятия // Зоологический журнал. Т. 98. № 8. С. 903–914. https://doi.org/10.1134/S0044513419080063
- Штегман Б.К., 1938. Основы орнитогеографического деления Палеарктики. Фауна СССР. Птицы. М.–Л. Т. 1. № 2. 165 с.
- Akbari M., Baubekova A., Roozbahani A., Gafurov A., Shiklomanov A. et al., 2020. Vulnerability of the Caspian Sea shoreline to changes in hydrology and climate // Environmental Research Letters. V. 15. № 11. https://doi.org/10.1088/1748-9326/abaad8
- Andres B.A., Smith P.A., Morrison R.I.G., Gratto-Trevor C.L., Brown S.C. et al., 2012. Population estimates of North American shorebirds // Wader Study Group Bull. V. 119. № 3. P. 178–194.
- BirdLife International (2017), 2019. European birds of conservation concern: populations, trends and national responsibilities. Cambridge, UK: BirdLife International; Frost T., Graham A., Hearn R., McAvoy S., Robinson A., Stroud D. et al. Population estimates of wintering waterbirds in Great Britain // British Birds. V. 112. P. 130–145.
- BirdLife International, 2021. European Red List of Birds. Luxembourg: Publications Office of the European Union.
- Boere G.C., Stroud D.A., 2006. The flyway concept: what it is and what it isn’t // Waterbirds around the world. Eds G.C. Boere, C.A. Galbraith & D.A. Stroud. The Stationery Office, Edinburgh, UK. P. 40–47. ISBN 0 11 497333 4
- Camp J., 2018. On the possibility of assessing trends in the number of birds for the territory of Russia according to local monitoring // First All-Russian Ornithological Congress (Tver, Russia, January 29–February 4, 2018). Abstracts of reports. Tver. P. 142.
- Clements J.F., Schulenberg T.S., Iliff M.J., Fredericks T.A., Gerbracht J.A. et al., 2022. The eBird/Clements checklist of Birds of the World: v2022. Downloaded from https://www.birds.cornell.edu/clementschecklist/download/
- European Environment Agency, 2020. State of nature in the EU // Results from reporting under the nature directives 2013–2018. EEA. 142 p. https://www.eea.europa.eu/ publications/state-of-nature-in-the-eu-2020
- Fox A.D., Leafloor J.O. (eds), 2018. A Global audit of the status and trends of Arctic and Northern Hemisphere goose population. Conservation of Arctic Flora and Fauna International Secretariat, Akureyri, Iceland. 31 p.
- Frost T., Graham A., Hearn R., McAvoy S., Robinson A., et al., 2019. Population estimates of wintering waterbirds in Great Britain // British Birds. V. 112. P. 130–145.
- Guillemain M., Poysa H., Fox A.D., Arzel C., Dessborn L. et al., 2013. Effects of climate change on European ducks: what we know and what do we need to know? // Wild Biol. V. 19. P. 404–419.
- Howard C., Stephens P.A., Tobias J.A., Sheard C., Butchart S.H. et al., 2018. Flight range, fuel load and the impact of climate change on the journeys of migrant birds // Proceedings of the Royal Society B: Biological Sciences. V. 285 (1873): 20172329. https://doi.org/10.1098/rspb.2017.2329
- IPBES, 2019. Global assessment report on biodiversity and ecosystem services of the Intergovernmental Science-Policy Platform on Biodiversity and Ecosystem Services. E. S. Brondizio, J. Settele, S. Diaz, and H. T. Ngo (ed). Bonn, Germany: IPBES secretariat 1148. https://doi.org/10.5281/zenodo.3831673
- Isakov Y.A., 1967. Proceedings of the Second European Meeting on Wildfowl Conservation, Noordwijk aan Zee, The Netherlands, 9–14 May 1966. P. 125–138.
- Lehikoinen A., Jaatinen K., 2012. Delayed autumn migration in northern European waterfowl // J. Ornithology. V. 153. № 2. P. 563–570. https://doi.org/10.1007/s10336-011-0777-z
- Mason L.R, Green R.E, Howard C., Stephens P.A., Willis S.G., Aunins A. et al., 2019. Population responses of bird populations to climate change on two continents vary with species’ ecological traits but not with direction of changeinclimatesuitability // ClimChan. V. 157. 3(1). P. 337–354.
- Rahmana Q., Nadeema M.S., Altafb M., Khanc S.H., Saeedb A., Naseerb J., Hamedd M.H., Kayania A.R., Raise M., 2021. Assessment of anthropogenic-causing-agents act on waterbirds-diversity in the vicinity of Tarbela Dam, Indus River, Pakistan. Brazilian // Journal of Biology. 2024. V. 84. e251197. https://doi.org/10.1590/1519-6984.251197
- Roach J.K., Griffith B., 2015. Climate-induced lake drying causes heterogeneous reductions in waterfowl species richness // Landscape Ecology. V. 30. № 6. P. 1005–1022. https://doi.org/10.1007/s10980-015-0207-3
- Robinson R.A., Crick H.Q.P., Learmonth J.A., Maclean I.M.D., Thomas Ch.D., et al., 2009. Travelling through a warming world: climate change and migratory species // Endangered species research. V. 7. № 2. P. 87–99. https://doi.org/10.3354/esr00095
- Schmaljohann H., Both C., 2017. The limits of modifying migration speed to adjust to climate change // Nature Climate Change. V. 7. № 8. P. 573–576. https://doi.org/10.1038/nclimate3336
- Schricke V., 2001. Elements for a Garganey (Anas querquedula) management plan // Game and Wildlife Sci. V. 18. № 1. P. 9–41.
- Thorup K., Tottrup A.P., Willemoes M., Klaassen R.H.G., Strandberg R. et al., 2017. Resource tracking within and across continents in long-distance bird migrants // Science Advances. V. 3. № 1. e1601360. https://doi.org/10.1126/sciadv.1601360
- Van Eerden M.R., Drent R.H., Stahl J., Bakker J.P., 2005. Connecting seas: western Palaearctic continental flyway for water birds in the perspective of changing land use and climate // Global Change Biology. V. 11. № 6. P. 894–908. https://doi.org/10.1111/j.1365-2486.2005.00940.x
- Veen J., Yurlov A.K., Delany S.N., Mihantiev A.I., Selivanova M.A., 2005. An atlas of movements of Southwest Siberian waterbirds. Wetlands International, Wageningen, The Netherlands. 60 p.
- Verkuil Y.I. et al., 2012. Losing a staging area: eastward redistribution of Afro-Eurasian ruffs is associated with deteriorating fuelling conditions along the western flyway / Verkuil Y.I., Karlionova N., Rakhimberdiev E.N., Jukema J., Wijmenga J.J., Hooijmeijer JCEW, Pinchuk P., Wymenga E., Baker A.J., Piersma T. // Biol. Conserv. V. 149. P. 51–59.
- Vilkov E.V., 2006. Evolution of freshwater lagoons in Daghestan and their importance for waterbirds on the west Caspian coast // Waterbirds around the world. Eds G.C. Boere, C.A. Galbraith & D.A. Stroud. The Stationery Office, Edinburgh, UK. P. 372. ISBN 0 11 497333 4
- Vilkov Ye.V., 2013. Abundance dynamics of gamebirds (Anseriformes, Charadriiformes) in the region of lagoons of the western coast of the middle Caspian Sea // 2nd International Symposium on Hunting “Modern Aspects of Sustainable Management of Game Population” Novi Sad, Serbia, 17–20 October. P. 114–122. ISBN: 978-86-75-20-279-0
Дополнительные файлы











