FROM POPULATIONAL OBSERVATIONS TO AN ASSESSMENT OF THEIR STATE: EXPERIENCE FROM A COMPREHENSIVE STUDY ON THE DEMOGRAPHIC PARAMETERS OF THE WESTERN SIBERIAN POPULATION OF THE EUROPEAN PIED FLYCATCHER, FICEDULA HYPOLEUCA (MUSCICAPIDAE, PASSERIFORMES)
- Авторлар: Grinkov V.G.1,2, Sternberg H.3
-
Мекемелер:
- Faculty of Biology, Lomonosov Moscow State University
- Biology Institute, Tomsk State University
- Ornithologische Arbeitsgemeinschaft für Populationsforschung Braunschweig
- Шығарылым: Том 102, № 8 (2023)
- Беттер: 890-913
- Бөлім: ARTICLES
- URL: https://ogarev-online.ru/0044-5134/article/view/136821
- DOI: https://doi.org/10.31857/S0044513423080056
- EDN: https://elibrary.ru/VIYIQD
- ID: 136821
Дәйексөз келтіру
Толық мәтін
Аннотация
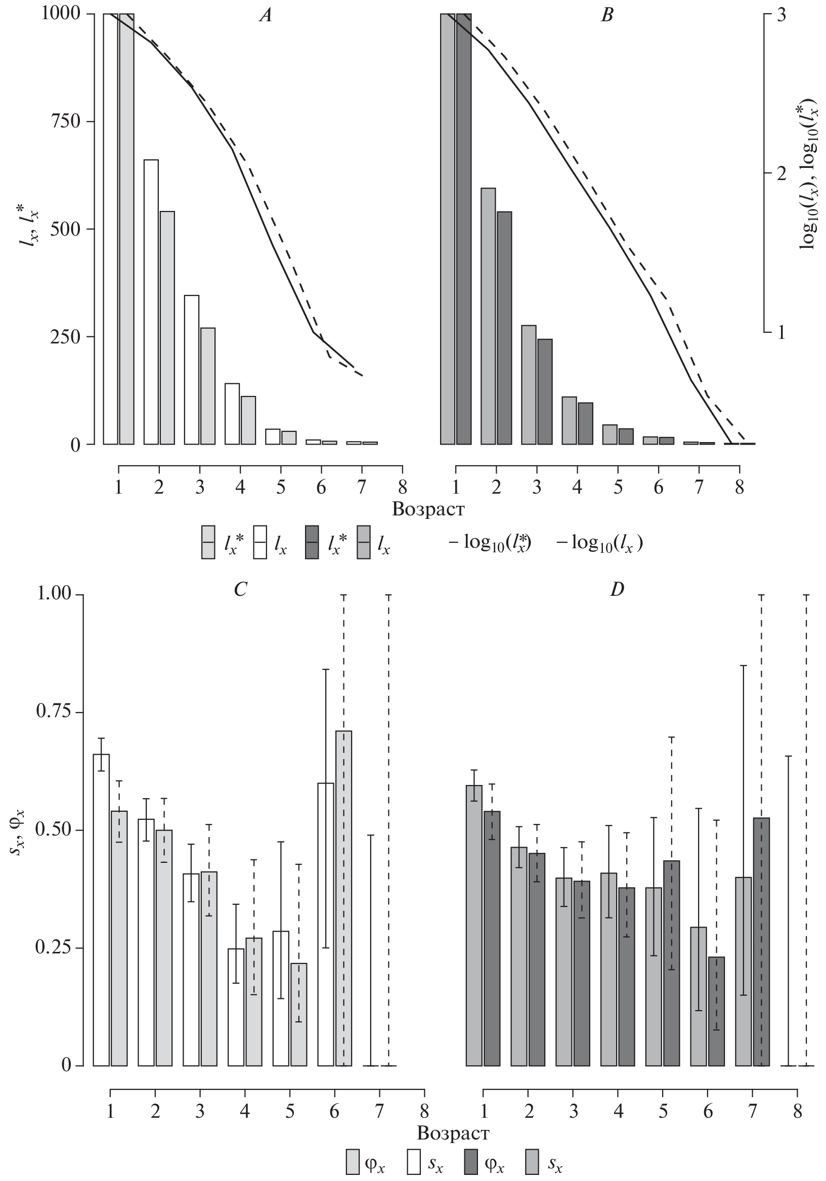
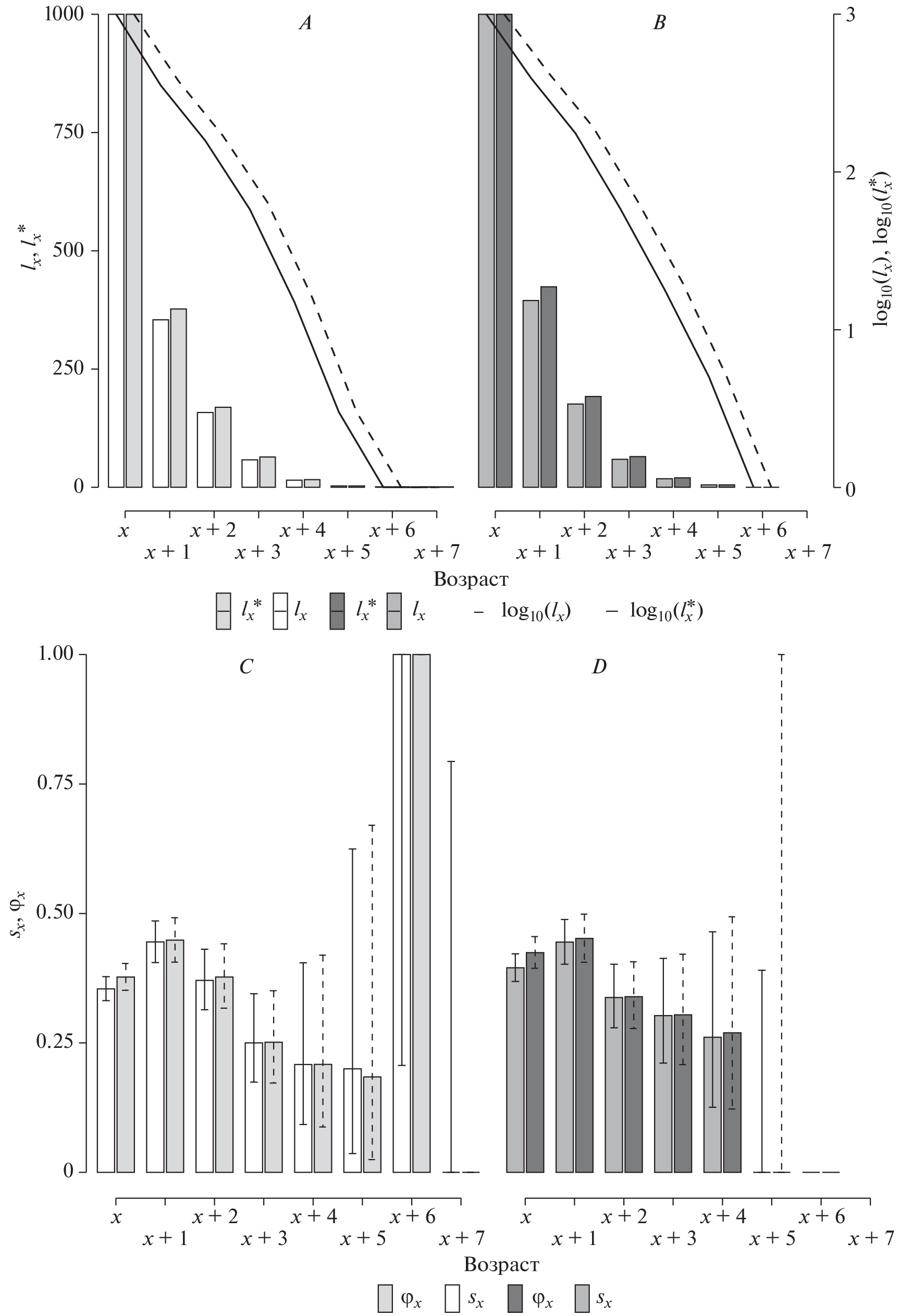
Key demographic parameters were calculated using the European pied flycatcher (Ficedula hypoleuca) as a model species for the study of bird population ecology. In the Tomsk Region, southeastern part of western Siberia, birds nesting in nest boxes situated in natural forests for 22 years were continuously studied. Where possible, life tables, probability models (CJS), and population matrix models were employed in the calculation of demographics. A comprehensive study of population characteristics made it possible to compare them with the results of other research and to demonstrate the degree of divergence in the estimation of demographic parameters obtained using different methods. On average, nestlings successfully left their nests in 87.6% of breeding attempts. The percentage of immigrants, residents, and autochthons in the static age distribution of females amounted to 41.7, 25.3, and 33.0%, respectively, vs 30.8, 25.3, and 43.9% in males, The maximum age for female autochthons was 7 years, compared to 8 years for male autochthons. Male residents lived to be x + 5 years old, while female residents lived to be x + 7 years old. Autochthonous males and females showed about the same local survival rates. These were the highest in yearlings (0.54) and gradually decreased with the age of individuals. The local survival rate of males of unknown origins is comparable to that of autochthonous males. Females of unknown origins had the lowest local survival rates. Birds could start nesting as young as one year old and as old as six years. Ringing revealed that 68.9% of males started breeding in their first year of life, compared to 59.9% of females that started in their first year. Only 39.2% of females and 46.3% of males among the birds that survived and returned to our control sites started breeding as yearlings, vs 66.9% of two-year-old females and 71.1% of males. The proportion of the birds that returned to their birth place amounted to 11.1%. Females produced 9.1 fledglings on average per lifetime, vs 9.6 fledglings for males. The minimum life expectancy for fledglings was 1.2–1.49 and 1.2–1.62 years, vs the maximum life expectancy for individuals that survived for one year, which was 1.94 and 1.96 years for males and females, respectively. For males and females, the generation time was 3.13–3.32 and 3.18–3.39 years, respectively. The sensitivity and elasticity analysis of the population growth rate based on the constructed projection matrix revealed that it was the survival rate of juvenile and sexually mature individuals between one and two years of age that primarily drove the population growth rate. Using the demographic data obtained for the species’ population in natural habitats in the Southeast of western Siberia and the population matrix model constructed on its basis, we believe it is possible to compare the state of populations inhabiting ecosystems, both unspoiled and disturbed (transformed), in various areas across the distribution range of the European pied flycatcher.
Авторлар туралы
V. Grinkov
Faculty of Biology, Lomonosov Moscow State University; Biology Institute, Tomsk State University
Хат алмасуға жауапты Автор.
Email: v.grinkov@gmail.com
Russia, 119234, Moscow, Leninskie Gory, 1, p. 12; Russia, 634050, Tomsk, Leninsky prospekt, 36
H. Sternberg
Ornithologische Arbeitsgemeinschaft für Populationsforschung Braunschweig
Хат алмасуға жауапты Автор.
Email: helmut.sternberg@t-online.de
Germany, 38104, Braunschweig
Әдебиет тізімі
- Артемьев А.В., 2008. Популяционная экология мухоловки-пеструшки в северной зоне ареала / под ред. В.Б. Зимина. М.: Наука. 266 с.
- Высоцкий В.Г., 2000. Структура локальной популяции у птиц на примере мухоловки-пеструшки (Ficedula hypoleuca). Автореф. дис. … канд. биол. наук. СПб. 27 с.
- Гашков С.И., 2003. Динамика миграционного процесса и характеристика индивидуальных сроков прилета в популяции мухоловки-пеструшки (Ficedula hypoleuca Pall.) на восточной периферии ареала // Популяционная экология животных. Материалы Международной конференции “Проблемы популяционной экологии животных”, посвященной памяти академика И.А. Шилова / редкол.: Н.С. Москвитина (глав. ред.) и др. Томск: ТГУ. С. 219–222.
- Гашков С.И., 2003а. Связь с территорией рождения и размножения мухоловки-пеструшки (Ficedula hypoleuca Pall.) на восточной периферии ареала // Биолого-почвенный факультет: прошлое, настоящее и будущее. Материалы научной конференции, посвященной 125-летию основания ТГУ и 70-летию биолого-почвенного факультета, 23–24 апреля 2003 г. / редкол.: В.И. Гриднева (науч. ред.) и др. / под ред. С.П. Кулижского (науч. ред.) Томск: ТГУ. С. 34–39. (Вестн. Том. гос. ун-та. Серия “Биологические науки”. Приложение № 8. Материалы научных конференций, симпозиумов, школ, проводимых в ТГУ).
- Гашков С.И., Бланк Е.В., 2003. Политерриториальность и полигиния мухоловки-пеструшки (Ficedula hypoleuca Pall.) восточной периферии ареала // Современные проблемы орнитологии Сибири и Центральной Азии: Материалы 2 Междунар. орнитол. конф., (Россия, Улан-Удэ, 16-19 мая 2003 г.) : [в 2 ч. / редкол.: Ц.З. Доржиев (отв. ред.) и др.] Ч. 1. Улан-Удэ: Бурят. гос. ун-т. С. 161–166.
- Зимин В.Б., 1988. Экология воробьиных птиц Северо-Запада СССР / под ред. Э. В. Ивантера. Л.: Наука. 184 с.
- Куранов Б.Д., 2017. Сохраняемость мухоловки-пеструшки Ficedula hypoleuca у восточной границы распространения // Русский орнитологический журнал. Т. 26. № 1425. С. 1291–1300.
- Куранов Б.Д., 2018. Гнездовая биология мухоловки-пеструшки (Ficedula hypoleuca, Passeriformes, Muscicapidae) в юго-восточной части ареала // Зоологический журнал. Т. 97. № 3. С. 321–336. https://doi.org/10.7868/S0044513418030066
- Лихачёв Г.Н., 1955. Мухоловка-пеструшка (Muscicapa hypoleuca Pall.) и её связь с гнездовой территорией // Труды Бюро кольцевания. Вып. 8. М.: Министерство сельского хозяйства СССР. С. 123–156.
- Логофет Д.О., Уланова Н.Г., 2021. От мониторинга популяции к математической модели: новая парадигма популяционного исследования // Журнал общей биологии. Т. 82. № 4. С. 243–269. https://doi.org/10.31857/s0044459621040035
- Натыканец В.В., 2019. Встречи мухоловки-пеструшки Ficedula hypoleuca и чернозобого дрозда Turdus atrogularis в окрестностях г. Братска (Иркутской обл.) в мае 2019 г. // Байкальский зоологический журнал. Т. 25. № 2. С. 123–124.
- Натыканец В.В., 2022. Дополненный список видов птиц в г. Братске (Иркутская обл.) и его окрестностях, встреченных в конце мая–первой половине июня (2019, 2021 и 2022 гг.) // Байкальский зоологический журнал. Т. 32. № 2. С. 51–57.
- Паевский В.А., 1985. Демография птиц. Т. 125 / под ред. О.А. Скарлато. Л.: Наука. 285 с. (Труды Зоол. ин-та АН СССР).
- Паевский В.А., 2020. Половая структура и поло-специфическая выживаемость в популяциях птиц (обзор) // Журнал общей биологии. Т. 81. № 4. С. 272–284.
- Соколов Л.В., 1991. Филопатрия и дисперсия птиц. Т. 230 / под ред. В.А. Паевского. Л.: Наука. 233 с. (Труды Зоол. ин-та АН СССР).
- Чаун М.Г., 1958. Состав и динамика местных популяций мухоловки-пеструшки в искусственных гнездовьях // Привлечение полезных птиц-дуплогнездников в лесах Латвийской ССР. Рига: АН ЛатвССР. С. 73–99.
- Anderson D.R., Burnham K.P., 1976. Population ecology of the mallard: VI. The effect of exploitation on survival: Report / U.S. Fish; Wildlife Service. 66 p. № 128.
- Berndt R., Sternberg H., 1969. Alters- und Geschlechtsunterschiede in der Dispersion des Trauerschnäppers (Ficedula hypoleuca) // Journal für Ornithologie. V. 110. № 1. P. 22–26. https://doi.org/10.1007/BF01671133
- Bird J.P., Martin R., Akçakaya H.R., Gilroy J., Burfield I.J., Garnett S.T., Symes A., Taylor J., Şekercioğlu Ç.H., Butchart S.H.M., 2020. Generation lengths of the world’s birds and their implications for extinction risk // Conservation Biology. V. 34. № 5. P. 1252–1261. https://doi.org/10.1111/cobi.13486
- Both C., Burger C., Ouwehand J., Samplonius J.M., Ubels R., Bijlsma R.G., 2017. Delayed age at first breeding and experimental removals show large non-breeding surplus in Pied Flycatchers // Ardea. V. 105. № 1. P. 43–60. https://doi.org/10.5253/arde.v105i1.a2
- Bowers E. K., Munclinger P., Bureš S., Kučerová L., Nádvorník P., Krist M., 2013. Cross-fostering eggs reveals that female collared flycatchers adjust clutch sex ratios according to parental ability to invest in offspring // Molecular Ecology. V. 22. № 1. P. 215–228. https://doi.org/https://doi.org/10.1111/mec.12106
- Caswell H., 2001. Matrix population models: construction, analysis, and interpretation. Second edition. Sinauer Associates, Inc. 722 p.
- Chernetsov N., Kishkinev D., Gashkov S., Kosarev V., Bolshakov C.V., 2008. Migratory programme of juvenile pied flycatchers, Ficedula hypoleuca, from Siberia implies a detour around Central Asia // Animal Behaviour. V. 75. № 2. P. 539–545. https://doi.org/. 05.019https://doi.org/10.1016/j.anbehav.2007
- Chernetsov N., Sokolov L.V., Kosarev V., 2009. Local survival rates of Pied Flycatchers Ficedula hypoleuca depend on their immigration status // Avian Ecology & Behaviour. V. 16. P. 11–20.
- Cormack R.M., 1964. Estimates of survival from the sighting of marked animals // Biometrika. V. 51. № 3/4. P. 429–438. https://doi.org/10.1093/biomet/51.3-4.429
- Dennis B., Munholland P.L., Scott J.M., 1991. Estimation of growth and extinction parameters for endangered species // Ecological Monographs. June. V. 61. № 2. P. 115–143. https://doi.org/10.2307/1943004
- Goodman L.A., 1969. The analysis of population growth when the birth and death rates depend upon several factors // Biometrics. V. 25. № 4. P. 659–681. https://doi.org/10.2307/2528566
- Grant P.R., Grant B.R., 1992. Demography and the genetically effective sizes of two populations of Darwin’s finches // Ecology. V. 73. № 3. P. 766–784. https://doi.org/10.2307/1940156
- Grinkov V.G., Bauer A., Gashkov S.I., Sternberg H., Wink M., 2018. Diversity of social-genetic relationships in the socially monogamous pied flycatcher (Ficedula hypoleuca) breeding in Western Siberia // PeerJ. V. 6. № 8. e6059. https://doi.org/10.7717/peerj.6059
- Grinkov V.G., Bauer A., Sternberg H., Wink M., 2020. Heritability of the extra-pair mating behaviour of the pied flycatcher in Western Siberia // PeerJ. V. 8. e9571. https://doi.org/10.7717/peerj.9571
- Grinkov V.G., Bauer A., Sternberg H., Wink M., 2022. Understanding extra-pair mating behaviour: a case study of socially monogamous European Pied Flycatcher (Ficedula hypoleuca) in Western Siberia // Diversity. V. 14. № 4. P. 283. https://doi.org/10.3390/d14040283
- Grinkov V.G., Sternberg H., 2018. Delayed start of first-time breeding and non-breeders surplus in the Western Siberian population of the European Pied Flycatcher // bioRxiv. https://doi.org/10.1101/387829
- Hjernquist M.B., Thuman Hjernquist K.A., Forsman J.T., Gustafsson L., 2009. Sex allocation in response to local resource competition over breeding territories // Behavioral Ecology. V. 20. № 2. P. 335–339. https://doi.org/10.1093/beheco/arp002
- Järvinen A., 1989. Clutch-size variation in the Pied Flycatcher Ficedula hypoleuca // Ibis. V. 131, no. 4. P. 572–577. https://doi.org/https://doi.org/10.1111/j.1474-919X. 1989.tb04792.x
- Jolly G.M., 1965. Explicit estimates from capture-recapture data with both death and immigration stochastic model // Biometrika. June. V. 52. № 1/2. P. 225–248. https://doi.org/10. 1093/ biomet/52.1-2.225
- Jones O.R., Barks P., Stott I., James T.D., Levin S., Petry W.K., Capdevila P., Che-Castaldo J., Jackson J., Römer G., Schuette C., Thomas C.C., Salguero-Gómez R., 2022. Rcompadre and Rage – Two R packages to facilitate the use of the COMPADRE and COMADRE databases and calculation of life-history traits from matrix population models // Methods in Ecology and Evolution. V. 13. № 4. P. 770–781. https://doi.org/10.1111/2041-210X.13792
- Laake J.L., 2013. RMark: An R interface for analysis of capture-recapture data with MARK: AFSC Processed Rep. / Alaska Fish. Sci. Cent., NOAA, Natl. Mar. Fish. Serv. Seattle, WA. 25 p. № 2013-01.
- Lebreton J.-D., Burnham K.P., Clobert J., Anderson D.R., 1992. Modeling survival and testing biological hypotheses using marked animals: a unified approach with case studies // Ecological Monographs. V. 62. № 1. P. 67–118. https://doi.org/10.2307/2937171
- Lifetime Reproduction in Birds, 1989. / Ed. by I. Newton. London: Academic Press Ltd. 480 p.
- Lundberg A., Alatalo R.V., 1992. The pied flycatcher. London: T & AD Poyser ltd. 267 p.
- Morris W., Doak D., Groom M., Kareiva P., Fieberg J., Gerber L., Murphy P., Thomson D., 1999. A practical handbook for population viability analysis. The Nature Conservancy. 80 p.
- Nater C.R., Burgess M.D., Coffey P., Harris B., Lander F., Price D., Reed M., Robinson R.A., 2023. Spatial consistency in drivers of population dynamics of a declining migratory bird // Journal of Animal Ecology. V. 92. № 1. P. 97–111. https://doi.org/10.1111/1365-2656.13834
- Noon B.R., Sauer J.R., 1992. Population models for passerine birds: structure, parameterization, and analysis // Wildlife 2001: Populations. Springer Netherlands. P. 441–464. https://doi.org/10. 1007/978-94-011-2868-1_34
- Program MARK: A gentle introduction, 2019. / Ed. by E.G. Cooch, G.C. White. 1201 p.
- R Core Team, 2021. R: A Language and Environment for Statistical Computing / R Foundation for Statistical Computing. Vienna: Austria.
- RStudio Team, 2022. RStudio: Integrated Development Environment for R / RStudio, PBC. Boston, MA.
- Salewski V., Bairlein F., Leisler B., 2000. Recurrence of some palaearctic migrant passerine species in West Africa // Ringing & Migration. V. 20. № 1. P. 29–30. https://doi.org/10.1080/03078698.2000.9674224
- Sanz J.J., 1997. Geographic variation in breeding parameters of the Pied Flycatcher Ficedula hypoleuca // Ibis. V. 139, # 1. P. 107–114. https://doi.org/https://doi.org/10.1111/j.1474-919X. 1997.tb04509.x
- Sanz J.J., 2001. Latitudinal variation in female local return rate in the philopatric pied flycatcher (Ficedula hypoleuca) // The Auk. V. 118. № 2. P. 539–543. https://doi.org/10.1093/ auk/118.2.539
- Seber G.A.F., 1965. A note on the multiple-recapture census // Biometrika. V. 52. № 1/2. P. 249–260. https://doi.org/10.1093/biomet/52.1-2.249
- Signorell A., et al., 2022. DescTools: Tools for descriptive statistics. R package version 0.99.47.
- Slagsvold T., Roskaft E., Engen S., 1986. Sex ratio, differential cost of rearing young, and differential mortality between the sexes during the period of parental care: Fisher’s theory applied to birds // Ornis Scandinavica. V. 17. № 2. P. 117–125. https://doi.org/10.2307/3676860
- Sternberg H., 1989. Pied flycatcher // Lifetime reproduction in birds / ed. by I. Newton. London: Academic Press Ltd. Chap. Pied flycatcher. P. 55–74.
- Sternberg H., Grinkov V.G., Ivankina E.V., Ilyina T.A., Kerimov A.B., Schwarz A., 2002. Evaluation of the size and composition of nonbreeding surplus in a pied flycatcher Ficedula hypoleuca population: removal experiments in Germany and Russia // Ardea. V. 90. № 3. P. 461–470.
- Stubben C., Milligan B., 2007. Estimating and analyzing demographic models using the popbio package in R // Journal of Statistical Software. V. 22. № 11. P. 1–23. https://doi.org/10.18637/jss. v022.i11
- Therneau T.M., 2022. A package for survival analysis in R. R package version 3.4-0.
- Wagenmakers E.-J., Farrell S., 2004. AIC model selection using Akaike weights // Psychonomic bulletin & review. V. 11. № 1. P. 192–196. https://doi.org/10.3758/bf03206482
- White G.C., Burnham K.P., 1999. Program MARK: survival estimation from populations of marked animals // Bird Study. V. 46, supp1. S120–S139. https://doi.org/10.1080/00063659909477239
- Wickham H., 2009. ggplot2: Elegant graphics for data analysis. First edition. New York: Springer New York. 213 p. https://doi.org/10.1007/978-0-387-98141-3
Қосымша файлдар







