Эффекты различных режимов интервальных гипоксических тренировок в экспериментальных моделях тревожно-депрессивных состояний на грызунах
- Авторы: Зенько М.Ю.1, Баранова К.А.1, Кукина М.В.1, Рыбникова Е.А.1
-
Учреждения:
- Федеральное государственное бюджетное учреждение науки Институт физиологии им. И.П. Павлова РАН
- Выпуск: Том 73, № 6 (2023)
- Страницы: 845-856
- Раздел: ЭКСПЕРИМЕНТАЛЬНАЯ ПАТОЛОГИЯ ВЫСШЕЙ НЕРВНОЙ ДЕЯТЕЛЬНОСТИ
- URL: https://ogarev-online.ru/0044-4677/article/view/233022
- DOI: https://doi.org/10.31857/S004446772306014X
- EDN: https://elibrary.ru/XLISSQ
- ID: 233022
Цитировать
Полный текст
Аннотация
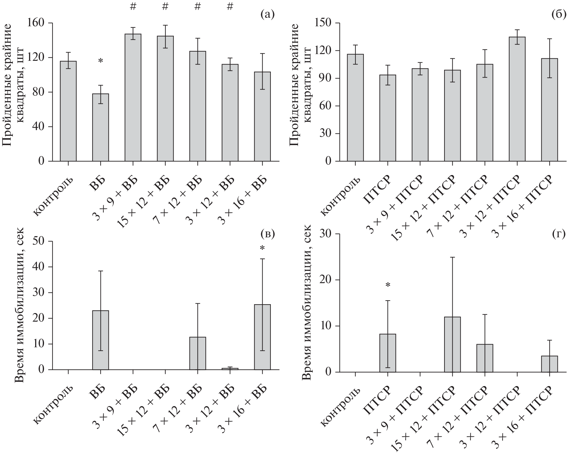
Разработка немедикаментозных способов коррекции стресс-индуцированных расстройств и улучшения адаптации к стрессорным воздействиям остается актуальной задачей физиологии, имеющей большой трансляционный потенциал. Ранее нами были предложены эффективные в данном отношении способы гипоксического гипобарического прекондиционирования и дистантного ишемического кондиционирования. Цель настоящей работы состояла в переносе принципов прекондиционирования на подходы нормобарической интервальной гипоксической тренировки (ИГТ). Исследованы эффекты пяти новых режимов ИГТ (3 пятиминутных сеанса гипоксии по 16% О2 в день, 3 сеанса по 12% О2, 7 сеансов по 12% О2, 15 сеансов по 12% О2, 3 сеанса по 9% О2) в экспериментальных моделях депрессии и посттравматического стрессового расстройства у крыс. Прекондиционирующий режим высокой интенсивности 3 × 9%О2 оказал наиболее выраженный антидепрессивный и анксиолитический эффект в моделях обеих патологий. При снижении уровня гипоксии до 12% О2 частично сохраняли эффективность режимы ИГТ с увеличением количества сеансов. Тренировочный режим наибольшей длительности – 15 × 12%О2, обладал эффективностью в отношении коррекции формирования экспериментальной депрессии. Переходный режим – 7 × 12%О2 – оказывал анксиолитический эффект, тогда как прекондиционирующий режим средней интенсивности – 3 × 12%О2 – продемонстрировал и антидепрессивный, и анксиолитический эффект. Результаты свидетельствуют, что наибольшее влияние на эффективность оказывала интенсивность гипоксического воздействия. При этом снижение интенсивности до 16% О2 приводило к ослаблению или потере стресс-протективных свойств. В отношении режима 3 × 9%О2 как наиболее перспективного целесообразно провести дальнейшие исследования по выявлению молекулярных механизмов, реализующих его стресс-протективное и анксиолитическое действие.
Об авторах
М. Ю. Зенько
Федеральное государственное бюджетное учреждение науки Институт физиологии им. И.П. Павлова РАН
Email: rybnikovaea@infran.ru
Россия, Санкт-Петербург
К. А. Баранова
Федеральное государственное бюджетное учреждение науки Институт физиологии им. И.П. Павлова РАН
Email: rybnikovaea@infran.ru
Россия, Санкт-Петербург
М. В. Кукина
Федеральное государственное бюджетное учреждение науки Институт физиологии им. И.П. Павлова РАН
Email: rybnikovaea@infran.ru
Россия, Санкт-Петербург
Е. А. Рыбникова
Федеральное государственное бюджетное учреждение науки Институт физиологии им. И.П. Павлова РАН
Автор, ответственный за переписку.
Email: rybnikovaea@infran.ru
Россия, Санкт-Петербург
Список литературы
- Баранова К.А., Зенько М.Ю. Анксиолитический эффект дистантного ишемического пре- и посткондиционирования в модели посттравматического стрессового расстройства. Журн. высш. нерв. деят. им. И.П. Павлова. 2018. 68 (5): 663–672.
- Зенько М.Ю., Рыбникова Е.А. Роль глюкокортикоидных гормонов в стресс-протективных эффектах гипоксического посткондиционирования в моделях депрессии и посттравматического стрессового расстройства у крыс. Журн. высш. нервн. деят. им. И.П. Павлова. 2020. 70 (6): 825–836.
- Рыбникова Е.А., Миронова В.И., Пивина С.Г., Ордян Н.Э., Тюлькова Е.И., Самойлов М.О. Гормональные механизмы гипоксического прекондиционирования у крыс. Докл. РАН. 2008. 421 (5): 713–715.
- Balestra C., Lambrechts K., Mrakic-Sposta S., Vezzoli A., Levenez M., Germonpré P., Virgili F., Bosco G., Lafère P. Hypoxic and hyperoxic breathing as a complement to low-intensity physical exercise programs: a proof-of-principle study. Int. J. Mol. Sci. 2021. 22: 9600.
- Bowers M.E., Yehuda R. Neuroendocrinology of posttraumatic stress disorder: Focus on the HPA Axis. Stress: Neuroendocrinology and neurobiology, handbook of stress. 2017. 2: 165–172.
- Cai M.C., Huang Q.Y., Liao W.G., Wu Z., Liu F.Y., Gao Y.Q. Hypoxic training increases metabolic enzyme activity and composition of α-myosin heavy chain isoform in rat ventricular myocardium. Eur. J. Appl. Physiol. 2010. 108: 105–111.
- Cao K.Y., Zwillich C.W., Berthon-Jones M., Sallivan C.E. Increased normoxic ventilation induced by repetitive hypoxia in conscious dogs. J. Appl. Physiol. 1992. 73: 2083–2088.
- Carpiniello B. The mental health costs of armed conflicts — a review of systematic reviews conducted on refugees, asylum-seekers and people living in war zones. Int. J. Environ. Res. Public Health. 2023. 20: 2840.
- Conkin J., Wessel J.H. Critique of the equivalent air altitude model. Aviation, space, and environmental medicine. 2008. 79 (10): 975–982.
- Cooke J.E., Eirich R., Racine N., Madigan S. Prevalence of posttraumatic and general psychological stress during COVID-19: A rapid review and meta-analysis. Psychiatry Research. 2020. 292: 113 347.
- Daskalakis N.P., McGill M.A., Lehrner A., Yehuda R. Endocrine aspects of PTSD: Hypothalamic-pituitary-adrenal (HPA) axis and beyond. Comprehensive Guide to Post-Traumatic Stress Disorders. 2016. 245–260.
- De Kloet C., Vermetten E., Geuze E., Kavelaars A., Heijnen C., Westenberg H. Assessment of HPA-axis function in posttraumatic stress disorder: pharmacological and non-pharmacological challenge tests, a review. J. Psychiatr. Res. 2006. 40 (6): 550–567.
- Hall C.S. Emotional behavior in the rat. III. The relationship between emotionality and ambulatory activity. J. Comp. Psychol. 1936. 22 (3): 345.
- Henkel V., Bussfeld P., Möller H.J., Hegerl U. Cognitive-behavioural theories of helplessness/hopelessness: valid models of depression? European archives of psychiatry and clinical neuroscience. 2002. 252: 240–249.
- Iversen A.C., Fear N.T., Ehlers A., Hughes J.H., Hull L., Earnshaw M., Greenberg N., Rona R., Wessely S., Hotopf M. Risk factors for post-traumatic stress disorder among UK Armed Forces personnel. Psychol. Med. 2008. 38: 511–522.
- Jakupcak M., Luterek J., Hunt S., Conybeare D., McFall M. Posttraumatic stress and its relationship to physical health functioning in a sample of Iraq and Afghanistan war veterans seeking postdeployment VA Health Care. J. Nerv. Ment. Dis. 2008. 196: 425–428.
- Knaupp W., Khilnani S., Sherwood J., Scharf S., Steinberg H. Erythropoietin response to acute normobaric hypoxia in humans. J. Appl. Physiol. 1992. 73: 837–840.
- Lehrner A., Daskalakis N., Yehuda R. Cortisol and the hypothalamic-pituitary-adrenal axis in PTSD. Posttraumatic Stress Disorder. 2016. 265–290.
- Liberzon I., Krstov M., Young E.A. Stress-restress: effects on ACTH and fast feedback. Psychoneuroendocrinology. 1997. 22 (6): 443–453.
- Loeppky J.A., Roach R.C., Maes D., Hinghofer-Szalkay H., Roessler A., Gates L., Fletcher E.R., Icenogle M.V. Role of hypobaria in fluid balance response to hypoxia. High Alt. Med. Biol. 2005. 6: 60–71.
- Mahmud S., Mohsin M., Dewan M.N., Muyeed A. The global prevalence of depression, anxiety, stress, and insomnia among general population during COVID-19 pandemic: a systematic review and meta-analysis. Trends in Psychol. 2023. 31: 143–170.
- Mazza M.G., De Lorenzo R., Conte C., Poletti S., Vai B., Bollettini I., Melloni E.M.T., Furlan R., Ciceri F., Rovere-Querini P., Benedetti F. Anxiety and depression in COVID-19 survivors: role of inflammatory and clinical predictors. Brain, Behavior, and Immunity. 2020. 89: 594–600.
- Millet G.P., Faiss R., Pialoux V. Point: Counterpoint: Hypobaric hypoxia induces/does not induce different responses from normobaric hypoxia. Journal of applied physiology. 2012. 112 (10): 1783–1784.
- Navarrete-Opazo A., Mitchell G.S. Therapeutic potential of intermittent hypoxia: a matter of dose. Am. J. Physiol. Regul. Integr. Comp. Physiol. 2014. 307: R1181–R1197.
- Obuobi-Donkor G., Oluwasina F., Nkire N., Agyapong V.I.O. A scoping review on the prevalence and determinants of post-traumatic stress disorder among military personnel and firefighters: Implications for public policy and practice. International Journal of Environmental Research and Public Health. 2022. 19 (3): 1565.
- Park H.Y., Jung W.S., Kim S.W., Lim K. Effects of interval training under hypoxia on the autonomic nervous system and arterial and hemorheological function in healthy women. Int. J. Womens Health. 2022. 14: 79–90.
- Pellow S., Chopin P., File S.E., Briley M. Validation of open: closed arm entries in an elevated plus-maze as a measure of anxiety in the rat. J. Neurosci. Methods. 1985. 14 (3): 149–167.
- Rodriguez F.A., Casas H., Casas M., Pagés T., Rama R., Ricart A., Ventura J.L., Ibáñez J., Viscor G. Intermittent hypobaric hypoxia stimulates erythropoiesis and improves aerobic capacity. Med. Sci. Sports Exerc. 1999. 31: 264–268.
- Rybnikova E.A., Baranova K.A., Zenko M.Yu., Churilova A.V., Stupin K.N. Comparative analysis of various modes of preconditioning to increase high altitude tolerance. Integrative Physiology. 2022. 3 (3): 348–358.
- Rybnikova E.A., Nalivaeva N.N., Zenko M.Y., Baranova K.A. Intermittent hypoxic training as an effective tool for increasing the adaptive potential, endurance and working capacity of the brain. Front. Neurosci. 2022. 16: 941740.
- Seligman M.E., Beagley G. Learned helplessness in the rat. J. Comp. Physiol. Psychol. 1975. 88 (2): 534.
- Seligman M.E., Maier S.F. Failure to escape traumatic shock. Journal of experimental psychology. 1967. 74 (1): 1.
- Walf A.A., Frye C.A. The use of the elevated plus maze as an assay of anxiety-related behavior in rodents. Nat. Protoc. 2007. 2 (2): 322–328.
- Wang S., Zhang Y., Ding W., Meng Y., Hu H., Liu Z., Zeng X., Wang M. Psychological distress and sleep problems when people are under interpersonal isolation during an epidemic: A nationwide multicenter cross-sectional study. European Psychiatry. 2020. 63 (1): e77.
- Willner P. Validation criteria for animal models of human mental disorders: learned helplessness as a paradigm case. Prog. Neuro-Psychopharmacol. Biol. Psychiatry. 1986. 10 (6): 677–690.
- Yehuda R. Neuroendocrine aspects of PTSD. Anxiety Anxiolytic Drugs. 2005. 371–403.
- Zembron-Lacny A., Tylutka A., Wacka E., Wawrzyniak-Gramacka E., Hiczkiewicz D., Kasperska A., Czuba M. Intermittent hypoxic exposure reduces endothelial dysfunction. Biomed Res. Int. 2020. 2020: 6479630.
- Zenko M.Y., Rybnikova E.A. Cross-Adaptation: from F.Z. Meerson to the Present. Part 2. Mechanisms of Cross-Adaptation. Neurosci Behav Physi. 2023. 53: 409–415.





