BASIC AND SUPERORDINATE IMAGE CATEGORIZATION. INFLUENCE OF THE CONGRUENCE DEGREE AND TEMPORAL PARAMETERS OF PREVIOUS STIMULUS PRESENTATION
- Authors: Gerasimenko N.Y.1, Kushnir A.B.1, Mikhailova E.S.1
-
Affiliations:
- Institute of Higher Nervous Activity and Neurophysiology, Russian Academy of Sciences
- Issue: Vol 73, No 5 (2023)
- Pages: 606-621
- Section: ФИЗИОЛОГИЯ ВЫСШЕЙ НЕРВНОЙ (КОГНИТИВНОЙ) ДЕЯТЕЛЬНОСТИ ЧЕЛОВЕКА
- URL: https://ogarev-online.ru/0044-4677/article/view/140274
- DOI: https://doi.org/10.31857/S0044467723050040
- EDN: https://elibrary.ru/EUQNIW
- ID: 140274
Cite item
Full Text
Abstract
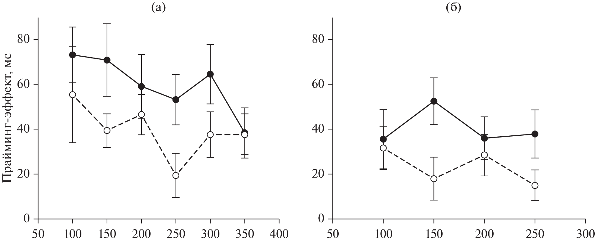
The influence of temporal characteristics of mask presentation on performance in basic and superordinate image categorization tasks was investigated in young healthy subjects using a forward masking model. The masks could be congruent, noncongruent, or semantically neutral to the stimulus images. In the first series of experiments, the influence of stimulus onset asynchrony (SOA, the time interval between the onset of the mask and the onset of the stimulus) was studied. SOA varied from 100 to 350 ms in steps of 50 ms, whereas mask duration remained unchanged and equaled 100 ms. In the second series, the influence of mask duration was investigated. It varied from 100 to 250 ms in steps of 50 ms, while SOA remained constant at 250 ms. It was found that superordinate categorization was performed faster. This could be due to the fact that superordinate categorization involves a low-frequency information of stimulus description that is rapidly transmitted through the magnocellular visual pathway. The basic categorization was more sensitive to the temporal properties of the mask and its category. Changes in SOA had a stronger effect than those in mask duration. Assuming that SOA changes affect the early perceptual phase of stimulus processing, the sensitivity of this phase to irrelevant information seems to be reflected in the stronger influence of SOA changes on basic categorization compared to superordinate categorization.
Keywords
About the authors
N. Yu. Gerasimenko
Institute of Higher Nervous Activity and Neurophysiology, Russian Academy of Sciences
Author for correspondence.
Email: nataliagerasimenko@gmail.com
Russia, Moscow
A. B. Kushnir
Institute of Higher Nervous Activity and Neurophysiology, Russian Academy of Sciences
Email: nataliagerasimenko@gmail.com
Russia, Moscow
E. S. Mikhailova
Institute of Higher Nervous Activity and Neurophysiology, Russian Academy of Sciences
Email: nataliagerasimenko@gmail.com
Russia, Moscow
References
- Герасименко Н.Ю., Кушнир А.Б., Михайлова Е.С. Маскирующие эффекты нерелевантной зрительной информации в условиях базовой и суперординатной категоризации сложных изображений. Физиология человека. 2019. 45 (1): 5–18.
- Калинин С.А., Герасименко Н.Ю., Славуцкая А.В., Михайлова Е.С. Поведенческие и электрографические характеристики опознания сложных изображений в условиях их прямой маскировки. Влияние категориальной близости целевого и маскирующего стимулов. Физиология человека. 2014. 40 (4): 5–17.
- Лакофф Дж. Женщины, огонь и опасные вещи: Что категории языка говорят нам о мышлении. М.: Языки славянской культуры, 2004. 792 с.
- Мошникова Н.Ю., Кушнир А.Б., Михайлова Е.С. Психофизиологическое исследование базовой и суперординатной категоризации предметов, осложненной влиянием предшествующего нерелевантного стимула. Физиология человека. 2022. 48 (6): 44–56.
- Ashtiani M.N., Kheradpisheh S.R., Masquelier T., Ganjtabesh M. Object categorization in finer levels relies more on higher spatial frequencies and takes longer. Front. Psychol. 2017. 8: 1261.
- Carlson T.A., Ritchie B., Kriegeskorte N., Durvasula S., Ma J. Reaction time for object categorization is predicted by representational distance. J. Cogn. Neurosci. 2014. 26 (10): 132–142.
- Codispoti M., Ferrari V., De Cesarei A., Cardinale R. Implicit and explicit categorization of natural scenes. Prog. Brain Res. 2006. 156: 53–65.
- Cohen M.A., Alvarez G.A., Nakayama K., Konkle T. Visual search for object categories is predicted by the representational architecture of high-level visual cortex. J. Neurophysiol. 2017. 117: 388–402.
- Cohen M.A., Konkle T., Rhee J.Y., Nakayama K., Alvarez G.A. Processing multiple visual objects is limited by overlap in neural channels. Proc. Natl. Acad. Sci. USA. 2014. 111 (24): 8955–8960.
- Connolly A.C., Guntupalli J.S., Gors J., Hanke M., Halchenko Y.O., Wu Y.C., Abdi H., Haxby J.V. The Representation of Biological Classes in the Human Brain. J. Neurosci. 2012. 32 (8): 2608–2618.
- Contini E.W., Goddard E., Wardle S.G. Reaction times predict dynamic brain representations measured with MEG for only some object categorization tasks. Neuropsychol. 2021. 151: 107687.
- Davis T., Poldrack R.A. Quantifying the internal structure of categories using a neural typicality measure. Cereb. Cortex. 2014. 24: 1720–1737.
- Eddy M.D., Holcomb P.J. The temporal dynamics of masked repetition picture priming effects: manipulations of stimulus-onset asynchrony (SOA) and prime duration. Brain Res. 2010. 1340: 24–39.
- Fabre-Thorpe M. The characteristics and limits of rapid visual categorization. Front. Psychol. 2011. 2: 243.
- Farzmahdi A., Fallah F., Rajimehr R., Ebrahimpour R. Task-dependent neural representations of visual object categories. Eur. J. Neurosci. 2021. 54: 6445–6462.
- Grill-Spector K., Weiner K.S. The functional architecture of the ventral temporal cortex and its role in categorization. Nat. Rev. Neurosci. 2014. 15 (8): 536–548.
- Hantsch A., Jescheniak J.D., Mädebach A. Naming and categorizing objects: Task differences modulate the polarity of semantic effects in the picture–word interference paradigm. Mem. Cogn. 2012. 40: 760–768.
- Huth A.G., Nishimoto S., Vu A.T., Gallant J. A continuous semantic space describes the representation of thousands of object and action categories across the human brain. Neuron. 2012. 76: 1210–1224.
- Jiang Z., Qu Y., Xiao Y., Wu Q., Xia L., Li W., Liu Y. Comparison of affective and semantic priming in different SOA. Cogn. Process. 2016. 17: 357–375.
- Ko P.C., Duda B., Husseya E.P., Mason E.J., Ally B.A. The temporal dynamics of visual object priming. Brain and Cognition. 2014. 91: 11–20.
- Koivisto M., Rientamo E. Unconscious vision spots the animal but not the dog: Masked priming of natural scenes. Conscious. Cogn. 2016. 41: 10–23.
- Kutas M., Federmeier K.D. Thirty years and counting: finding meaning in the N400 component of the event-related brain potential (ERP). Annu. Rev. Psychol. 2011. 62 (1): 621–647.
- Long B., Yu C.P., Konkle T. Mid-level visual features underlie the high-level categorical organization of the ventral stream. Proc. Natl. Acad. Sci. USA. 2018. 115 (38): E9015–E9024.
- Mace M.J.M., Joubert O.R., Nespoulous J.L., Fabre-Thorpe M. The time-course of visual categorizations: You spot the animal faster than the bird. PLoS ONE. 2009. 4 (6): e5927.
- Macknik S.L. Visual masking approaches to visual awareness. Prog. Brain. Res. 2006. 155: 177–215.
- Macknik S.L., Livingstone M.S. Neuronal correlates of visibility and invisibility in the primate visual system. Nature Neurosci. 1998. 1 (2): 144–149.
- Macknik S.L., Martinez-Conde S. The spatial and temporal effects of lateral inhibitory networks and their relevance to the visibility of spatiotemporal edges. Neurocomp. 2004. 58–60: 775–782.
- Margalit E., Jamison K.W., Weiner K.S., Vizioli L., Zhang R.Y., Kay K.N., Grill-Spector K. Ultra-high-resolution fMRI of human ventral temporal cortex reveals differential representation of categories and domains. J. Neurosci. 2020. 40 (15): 3008–3024.
- Miyoshi K., Kimura Y., Ashida H. Longer prime presentation decreases picture–word cross-domain priming. Front. Psychol. 2015. 6: 1040.
- Ortells J. J., Kiefer M., Castillo A., Megías M., Morillas A. The semantic origin of unconscious priming: Behavioral and event-related potential evidence during category congruency priming from strongly and weakly related masked words. Cognition. 2016. 146: 143–157.
- Poncet M., Fabre-Thorpe M., Chakravarthi R. A simple rule to describe interactions between visual categories. Eur. J. Neurosci. 2020. 52: 4639–4666.
- Potter M.C., Hagmann C.E. Banana or fruit? Detection and recognition across categorical levels in RSVP. Psychon. Bull. Rev. 2015. 22: 578–585.
- Rabi R., Joanisse M.F., Zhu T., Minda J.P. Cognitive changes in conjunctive rule-based category learning: An ERP approach. Cogn. Affect. Behav. Neurosci. 2018. 18 (5): 1034–1048.
- Rajalingham R., DiCarlo J.J. Reversible inactivation of different millimeter-scale regions of primate IT results in different patterns of core object recognition deficits. Neuron. 2019. 102: 493–505.
- Roelofs A., Piai V. Distributional analysis of semantic interference in picture naming. Q. J. Exp. Psychol. 2017. 70 (4): 782–792.
- Rolls E.T., Tovee M.J. Processing speed in the cerebral cortex and the neurophysiology of visual masking. Proc. Biol. Sci. 1994. 257 (1348): 9–15.
- Rosch E., Mervis C.B., Gray W.D., Johnson D.M., Boyes-Braem P. Basic objects in natural categories. Cogn. Psychol. 1976. 8 (3): 382–439.
- Schmidt F., Schmidt T. Response control by primes, targets, and distractors: from feedforward activation to controlled inhibition. Psychol. Res. 2021. 85: 195–213.
- Taniguchi K., Kuraguchi K., Takano Y., Itakura S. Object categorization processing differs according to category level: Comparing visual information between the basic and superordinate levels. Front. Psychol. 2020. 11: 501.
- Vanmarcke S., Calders F., Wagemans J. The time-course of ultrarapid categorization: the influence of scene congruency and top-down processing. I-Persept. 2016. 7 (5): 2041669516673384.
- Wu C.T., Crouzet S.M., Thorpe S.J., Fabre-Thorpe M. At 120 msec you can spot the animal but you donʼt yet know itʼs a dog. J. Cogn. Neurosci. 2015. 27 (1): 141–149.
Supplementary files






