REVERSE INHIBITORY CONNECTIONS THROUGH GABA B-RECEPTORS SYNCHRONIZE INTERICTAL DISCHARGES IN THE CORTEX
- Авторлар: Marchenko V.G.1, Zaichenko M.I.1
-
Мекемелер:
- Institute of Higher Nervous Activity and Neurophysiology of the Russian Academy of Sciences
- Шығарылым: Том 73, № 4 (2023)
- Беттер: 524-536
- Бөлім: ФИЗИОЛОГИЧЕСКИЕ МЕХАНИЗМЫ ПОВЕДЕНИЯ ЖИВОТНЫХ: ВОСПРИЯТИЕ ВНЕШНИХ СТИМУЛОВ, ДВИГАТЕЛЬНАЯ АКТИВНОСТЬ, ОБУЧЕНИЕ И ПАМЯТЬ
- URL: https://ogarev-online.ru/0044-4677/article/view/136106
- DOI: https://doi.org/10.31857/S004446772304007X
- EDN: https://elibrary.ru/WHMBJJ
- ID: 136106
Дәйексөз келтіру
Толық мәтін
Аннотация
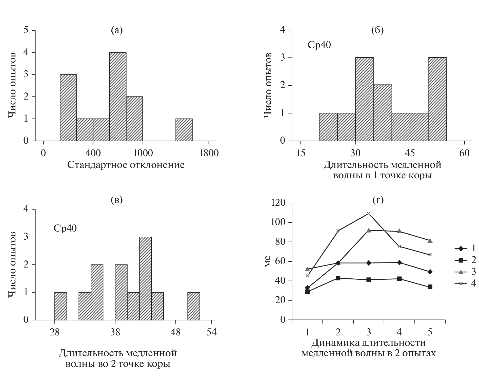
Modern experimental data show that interictal discharges consist of a short spike and a slow wave, which is regarded as a prolonged hyperpolarization. On the model of interictal discharges synchronization, a study of reciprocal inhibitory connections was carried out. In rats in light narcotic sleep, after application of GABA A-receptor blockers to the cortex, interictal discharges occurred in neighboring cortical areas independently of each other, and then synchronization occurred. In the experiments in which the interictal discharges occurred simultaneously, the durations of the slow wave (inhibitory phase) were the same. During the registration in these and other experiments, there was an increase in the time delay between the moments of interictal discharges generation. Under conditions of increased synchronization, the duration of the slow wave (inhibitory phase) of interictal discharges increased. Interictal discharges, which occurred first, had a longer duration of inhibition compared to the duration in the neighboring point, because the inhibition from the neighboring networks via feedback inhibitory connections is added to its own inhibition in the neuronal network. When excitation occurred, it was followed by inhibition via feedback, which limited the period of excitation, and thus created a temporary integration window, and this also happened in the neighboring neural networks of the cortex.
Негізгі сөздер
Авторлар туралы
V. Marchenko
Institute of Higher Nervous Activity and Neurophysiology of the Russian Academy of Sciences
Хат алмасуға жауапты Автор.
Email: vgmarchenko3@gmail.com
Russia, Moscow
M. Zaichenko
Institute of Higher Nervous Activity and Neurophysiology of the Russian Academy of Sciences
Хат алмасуға жауапты Автор.
Email: mariya-zajchenko@yandex.ru
Russia, Moscow
Әдебиет тізімі
- Марченко В.Г., Зайченко М.И. Динамика пространственной синхронизации эпилептиформных разрядов в неокортексе крыс. Журн. высш. нерв. деят. им. И.П. Павлова. 2015. 65 (1): 113–125.
- Марченко В.Г., Рысакова М.П., Зайченко М.И. Распространение внутренних электрических полей как возможный механизм синхронизации интериктальных спайков в неокортексе крыс. Журн. высш. нерв. деят. им. И.П. Павлова. 2018. 68 (2): 250–262.
- Марченко В.Г., Зайченко М.И. ГАМК Б торможение через обратные связи участвует в синхронизации интериктальных спайков в коре. Успехи физиологических наук. 2022. 53 (1): 1–24.
- Amakhin D.V., Ergina J.L., Chizhov A.V., Zaitsev A.V. Synaptic conductances during interictal discharges in pyramidal neurons of rat entorhinal cortex front. Cell. Neurosci. 2016. 10: 233.
- Bink H., Sedigh-Sarvestani M., Fernandez-Lamo I., Kini L., Ung H., Kuzum D., Vitale F., Litt B., Contreras D. Spatiotemporal evolution of focal epileptiform activity from surface and laminar field recordings in cat neocortex. J. Neurophysiol. 2018. 119 (6): 2068–2081.
- Chittajallu R., Pelkey K.A., McBain C.J. Neurogliaform cells dynamically regulate somatosensory integration via synapse-specific modulation. Nat. Neurosci. 2013. 16 (1): 13–15.
- Connors B.W. Synchrony and so much more: Diverse roles for electrical synapses in neural circuits. Dev Neurobiol. 2017. 77 (5): 610–624.
- de Curtis M., Avoli M. GABAergic networks jump-start focal seizures. Epilepsia. 2016. 57 (5): 679–687.
- de Curtis M., Radici C., Forti M. Cellular mechanisms underlying spontaneous interictal spikes in an acute model of focal cortical epileptogenesis. Neuroscience. 1999. 88 (1): 107–117.
- Ding L., Satish S., Zhou C., Gallagher M.J. Cortical activation in generalized seizures. Epilepsia. 2019. 60 (9): 1932–1941.
- Domann R., Dorn T., Witte O.W. Afterpotentials following penicillin-induced paroxysmal depolarizations in hippocampal pyramidal cells in vitro. Pfliigers Arch. 1991. 417: 469–478.
- Gerrard L.B., Tantirigama M.L.S., Bekkers J.M. Pre- and Postsynaptic Activation of GABA B Receptors Modulates Principal Cell Excitation in the Piriform Cortex. Front Cell Neurosci. 2018. 12: 28.
- Gibson J.R., Beierlein M., Connors B.W. Functional properties of electrical synapses between inhibitory interneurons of neocortical layer 4. J. Neurophysiol. 2005. 93 (1): 467–80.
- Gray C.M., Singer W. Stimulus-specific neuronal oscillations in orientation columns of cat visual cortex. Proc. Natl. Acad. Sci. U S A. 1989. 86 (5): 1698–702.
- Hilscher M.M., Leão R.N., Edwards S.J., Leão K.E., Kullander K. Chrna2-Martinotti cells synchronize layer 5 type a pyramidal cells via rebound excitation. PLoS Biol. 2017. 15 (2): e2001392.
- Isaacson J.S., Scanziani M. How inhibition shapes cortical activity. Neuron. 2011. 72 (2): 231–243.
- Jang H.J., Chung H., Rowland J.M., Richards B.A., Kohl M.M., Kwag J. Distinct roles of parvalbumin and somatostatin interneurons in gating the synchronization of spike times in the neocortex. Sci. Adv. 2020. 6 (17): eaay5333.
- Jurado-Parras M.T., Delgado-García J.M., Sánchez-Campusano R., Gassmann M., Bettler B., Gruart A. Presynaptic GABAB receptors regulate hippocampal synapses during associative learning in behaving mice. PLoS One. 2016. 11 (2): e0148800.
- Khazipov R. GABAergic Synchronization in Epilepsy. Cold Spring Harb Perspect Med. 2016. 6 (2): a022764.
- Knoblich U., Huang L., Zeng H., Li L. Neuronal cell-subtype specificity of neural synchronization in mouse primary visual cortex. Nat. Commun. 2019. 10 (1): 2533.
- Köhling R., D’Antuono M., Benini R., de Guzman P., Avoli M. Hypersynchronous ictal onset in the perirhinal cortex results from dynamic weakening in inhibition. Neurobiol. Dis. 2016. 87: 1–10.
- Knowles W.D., Schneiderman J.H., Wheal H.V., Stafstrom C.E., Schwartzkroin P.A. Hyperpolarizing potentials in guinea pig hippocampal CA3 neurons. Cell Mol Neurobiol. 1984. 4 (3): 207–230.
- Kubista H., Boehm S., Hotka M. The paroxysmal depolarization shift: reconsidering its role in epilepsy. Epileptogenesis and Beyond. Int. J. Mol. Sci. 2019. 20 (3): 577.
- Lévesque M., Biagini G., Avoli M. Neurosteroids and Focal Epileptic Disorders. Int. J. Mol. Sci. 2020. 21 (24): 9391.
- Lévesque M., Ragsdale D., Avoli M. Evolving mechanistic concepts of epileptiform synchronization and their relevance in curing focal epileptic disorders Curr. Neuropharmacol. 2019. 17 (9): 830–842.
- Li Q., Li Q.-Q., Jia J.-N., Liu Z.-Q., Zhou H.-H., Mao X.-Y. Targeting gap junction in epilepsy: Perspectives and challenges.Biomed Pharmacother. 2019. 109: 57–65.
- Mircheva Y., Peralta M.R. 3rd, Tóth K. Interplay of entorhinal input and local inhibitory network in the hippocampus at the origin of slow inhibition in granule cells. J. Neurosci. 2019. 39 (33): 6399–6413.
- Morishima M., Kobayashi K., Kato S., Kobayashi K., Kawaguchi Y. Segregated excitatory-inhibitory recurrent subnetworks in layer 5 of the rat frontal cortex. Cereb. Cortex. 2017. 27 (12): 5846–5857.
- Muldoon S.F., Villette V., Tressard T., Malvache A., Reichinnek S., Bartolomei F., Cossart R. GABAergic inhibition shapes interictal dynamics in awake epileptic mice. Brain. 2015. 138 (Pt 10): 2875–2890.
- Nicoll R.A., Malenka R.C., Kauer J.A. Functional comparison of neurotransmitter receptor subtypes in mammalian central nervous system. Physiol Rev. 1990. 70 (2): 513–565.
- Otsuka T., Kawaguchi Y. Cortical inhibitory cell types differentially form intralaminar and interlaminar subnetworks with excitatory neurons. J. Neurosci. 2009. 29 (34): 10533-40.
- Paxinos G., Watson C. The Rat Brain in Stereotaxic Coordinates. San Diego: Academic Press, 1998.
- Pham T.M., Nurse S., Lacaille J.C. Distinct GABAB actions via synaptic and extrasynaptic receptors in rat hippocampus in vitro. J. Neurophysiol. 1998. 80 (1): 297–308.
- Ridler T., Matthews P., Phillips K.G., Randall A.D., Brown J.T. Initiation and slow propagation of epileptiform activity from ventral to dorsal medial entorhinal cortex is constrained by an inhibitory gradient. J. Physiol. 2018. 596 (11): 2251–2266.
- Serrats J., Cunningham M. O., Davies C. H. GABA B receptor modulation-to B or not to be B a pro-cognitive medicine? Curr. Opin. Pharmacol. 2017. 35: 125–132.
- Simonnet J., Nassar M., Stella F., Cohen I., Mathon B., Boccara C. N., Miles R., Fricker D. Activity dependent feedback inhibition may maintain head direction signals in mouse presubiculum. Nat. Commun. 2017. 8: 16032.
- Terlau J., Yang J.-W., Khastkhodaei Z., Seidenbecher T., Luhmann H.J., Pape H.-C., Lüttjohann A. Spike-wave discharges in absence epilepsy: segregation of electrographic components reveals distinct pathways of seizure activity. J. Physiol. 2020. 598 (12): 2397–2414.
- Trevelyan A.J. Do cortical circuits need protecting from themselves? Trends Neurosci. 2016. 39 (8): 502–511.
- Wang Y., Neubauer F.B., Lüscher H.R., Thurley K. GABAB receptor-dependent modulation of network activity in the rat prefrontal cortex in vitro. Eur. J. Neurosci. 2010. 31 (9): 1582–1594.
- Wang G., Wu X. The potential antiepileptogenic effect of neuronal Cx36 gap junction channel blockage. Transl. Neurosci. 2021. 12(1): 46–51.
- Witte O.W. Afterpotentials of penicillin-induced epileptiform neuronal discharges in the motor cortex of the rat in vivo. Epilepsy Res. 1994. 18 (1): 43–55.
- Yekhlef L., Breschi G.L., Lagostena L., Russo G., Taverna S. Selective activation of parvalbumin- or somatostatin-expressing interneurons triggers epileptic seizure like activity in mouse medial entorhinal cortex. J. Neurophysiol. 2015. 113 (5): 1616–30.
- Zheng Yu., Zhang K., Dong L., Tian C. Study on the mechanism of high-frequency stimulation inhibiting low-Mg 2+-induced epileptiform discharges in juvenile rat hippocampal slices.Brain Res Bull. 2020. 165: 1–13.
Қосымша файлдар






