REACTIVITY OF THE EEG SENSORIMOTOR RHYTHMS IN CHILDREN 4–7 YEARS OLD IN SITUATIONS OF HELPING BEHAVIOR
- Authors: Kaida A.I.1, Mikhailova A.A.1, Portugalskaya A.A.1, Pavlenko V.B.1
-
Affiliations:
- V.I. Vernadsky Crimean Federal University
- Issue: Vol 73, No 3 (2023)
- Pages: 384-397
- Section: ФИЗИОЛОГИЯ ВЫСШЕЙ НЕРВНОЙ (КОГНИТИВНОЙ) ДЕЯТЕЛЬНОСТИ ЧЕЛОВЕКА
- URL: https://ogarev-online.ru/0044-4677/article/view/136104
- DOI: https://doi.org/10.31857/S0044467723030073
- EDN: https://elibrary.ru/TTDUHS
- ID: 136104
Cite item
Full Text
Abstract
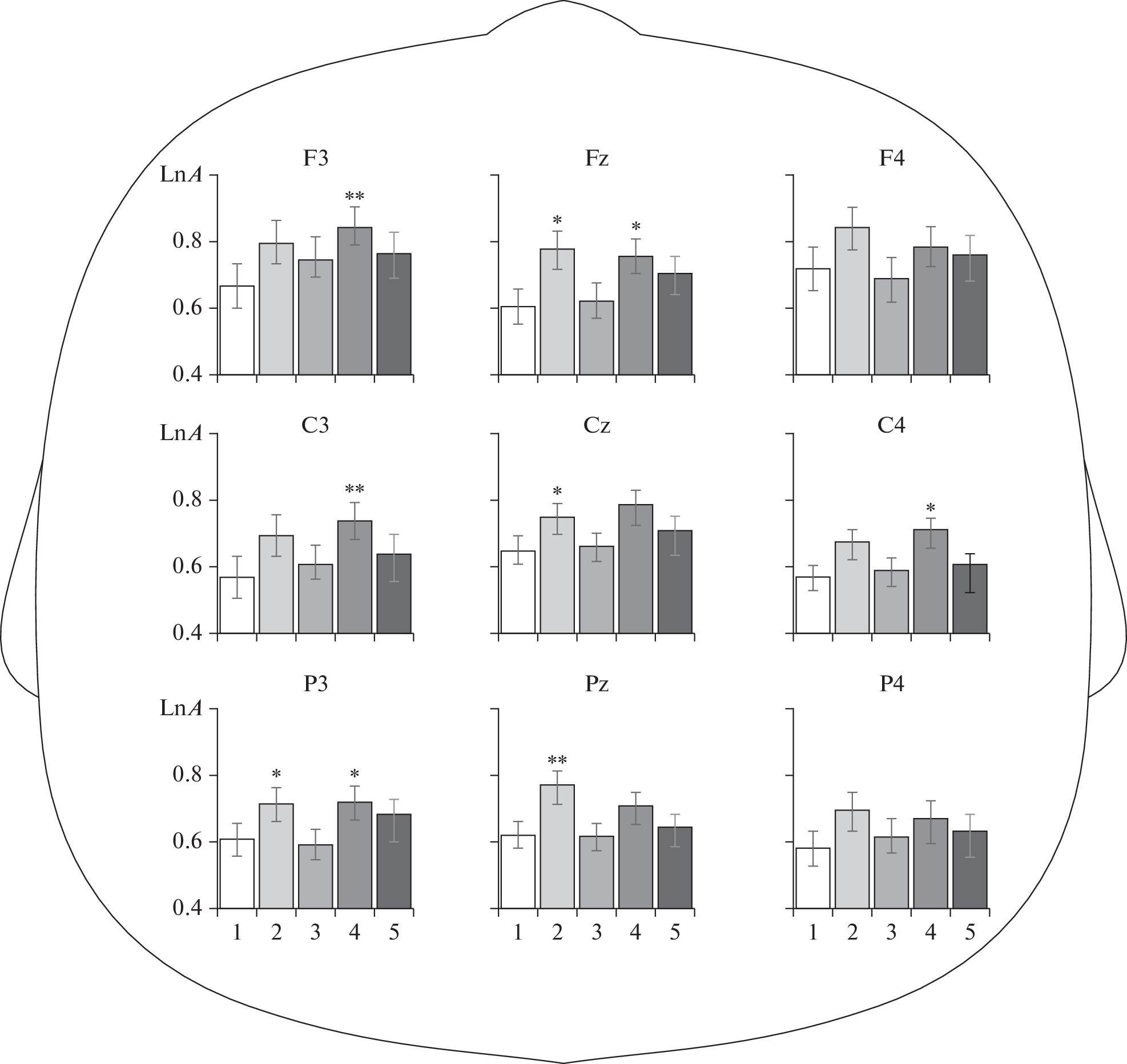
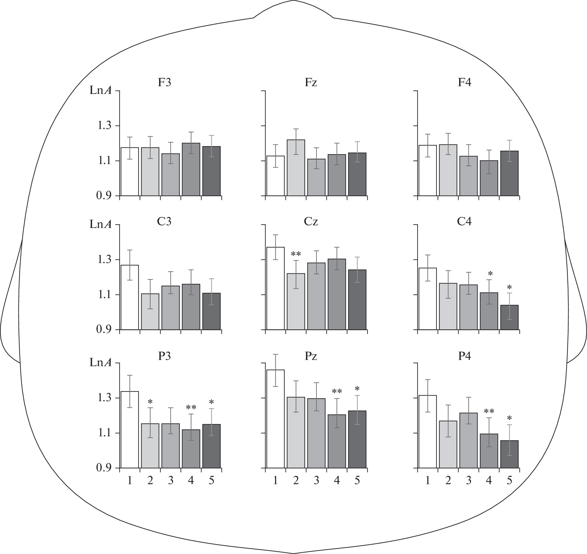
We studied the reactivity features of the EEG mu rhythm amplitude in the individually determined frequency range, as well as the beta rhythm in the central, frontal and parietal EEG leads in children while performing tasks for instrumental, emotional and altruistic helping behavior. The study engaged 24 children aged 4 to 7 years. ANOVA showed a significant decrease of the mu rhythm amplitude in the central and parietal regions, which is supposed to be associated with the activation of the mirror system of the brain. When performing tasks for instrumental and altruistic helping behavior, there was an increase in the amplitude of the beta rhythm in the frontal, central, and parietal regions, which may be associated with children observing actions that are emotionally charged and cause empathy with a person in need of help. The more the beta rhythm increased, the sooner the children provided help, which can be explained by a greater degree of emotional involvement and activation of cognitive processes in children with high performance of prosocial behavior.
About the authors
A. I. Kaida
V.I. Vernadsky Crimean Federal University
Email: vpav55@gmail.com
Russia, Simferopol
A. A. Mikhailova
V.I. Vernadsky Crimean Federal University
Email: vpav55@gmail.com
Russia, Simferopol
A. A. Portugalskaya
V.I. Vernadsky Crimean Federal University
Email: vpav55@gmail.com
Russia, Simferopol
V. B. Pavlenko
V.I. Vernadsky Crimean Federal University
Author for correspondence.
Email: vpav55@gmail.com
Russia, Simferopol
References
- Ларионова Е.В., Гарах Ж.В., Зайцева Ю.С. Мю-ритм в современных исследованиях: теоретические и методологические аспекты. Журнал высшей нервной деятельности им. И.П. Павлова. 2022. 72 (1): 11–35.
- Лебедева Н.Н., Зуфман А.И., Мальцев В.Ю. Система зеркальных нейронов мозга: ключ к обучению, формированию личности и пониманию чужого сознания. Успехи физиологических наук. 2017. 48 (4): 16–28.
- Лебедева Н.Н., Каримова Е.Д., Карпычев В.В., Мальцев В.Ю. Зеркальная система мозга при наблюдении, выполнении и представлении моторных задач – нейрофизиологическое отражение восприятия чужого сознания. Журнал высшей нервной деятельности им. И.П. Павлова. 2018. 2: 204–215.
- Лебедева Н.Н., Буркитбаев С.Е., Каримова Е.Д. Активация зеркальной системы мозга зависит от способа предъявления стимулов: непосредственно экспериментатором или как видеоролик. Журнал высшей нервной деятельности им. И.П. Павлова. 2020. 70 (4): 460–472.
- Михайлова А.А., Орехова Л.С., Дягилева Ю.О., Мухтаримова Т.И., Павленко В.Б. Реактивность мю-ритма ЭЭГ при наблюдении и выполнении действий у детей раннего возраста, имеющих разный уровень развития рецептивной речи. Журнал высшей нервной деятельности им. И.П. Павлова. 2020. 70 (3): 422–432.
- Михайлова А.А., Орехова Л.С., Махин С.А., Павленко В.Б. Реактивность сенсомоторных ритмов ЭЭГ при наблюдении за про- и антисоциальными действиями у детей в раннем возрасте. Журнал высшей нервной деятельности им. И.П. Павлова. 2022. 72 (2): 217–226.
- Сергиенко Е.А., Уланова А.Ю., Лебедева Е.И. Модель психического: Структура и динамика. М.: Институт психологии РАН, 2020. С. 503.
- Юдина Т.О., Котова Т.Н. Развитие просоциального поведения у детей раннего возраста. Шаги/Steps. 2015. 1 (1): 108–121.
- Arnett K., Roach A., Elzy M., Jelsone-Swain L. Childhood emotional invalidation and right hemispheric mu suppression during a pain empathy task: An EEG study. Soc Neurosci. 2019. 14 (2): 236–250.
- Babiloni C., Del Percio C., Vecchio F., Sebastiano F., Di Gennaro G., Quarato P.P., Morace R., Pavone L., Soricelli A., Noce G., Esposito V., Rossini P.M., Gallese V., Mirabella G. Alpha, beta and gamma electrocorticographic rhythms in somatosensory, motor, premotor and prefrontal cortical areas differ in movement execution and observation in humans. Clin Neurophysiol. 2016. 127 (1): 641–654.
- Bekkali S., Youssef G.J., Donaldson P.H., Albein-Urios N., Hyde C., Enticott P.G. Is the putative mirror neuron system associated with empathy? A systematic review and meta-analysis. Neuropsychol. Rev. 2021. 31 (1): 14–57.
- Bocharov A.V., Savostyanov A.N., Slobodskaya H.R., Tamozhnikov S.S., Levin E.A., Saprigyn A.E., Proshina E.A., Astakhova T.N., Merkulova E.A., Knyazev G.G. Associations of hyperactivity and inattention scores with theta and beta oscillatory dynamics of EEG in Stop-Signal task in healthy children 7–10 years old. Biology (Basel). 2021. 10 (10): 946.
- Bowman L.C., Thorpe S.G., Cannon E.N., Fox N.A. Action mechanisms for social cognition: behavioral and neural correlates of developing Theory of Mind. Dev Sci. 2017. 20(5).https://doi.org/10.1111/desc.12447
- Debnath R., Salo V.C., Buzzell G.A., Yoo K.H., Fox N.A. Mu rhythm desynchronization is specific to action execution and observation: Evidence from time-frequency and connectivity analysis. Neuroimage. 2019. 184: 496–507.
- Decety J., Holvoet C. The emergence of empathy: A developmental neuroscience perspective. Dev. Rev. 2021. 62: 100999.
- Decety J., Meidenbauer K.L., Cowell J.M. The development of cognitive empathy and concern in preschool children: A behavioral neuroscience investigation. Dev. Sci. 2018. 21 (3): e12570.
- Dunfield K., Kuhlmeier V.A., O’Connell L., Kelley E. Examining the Diversity of Prosocial Behavior: Helping, Sharing, and Comforting in Infancy. Infancy. 2011. 16 (3): 227–247.
- Dunfield K.A., Best L.J., Kelley E.A., Kuhlmeier V.A. Motivating moral behavior: helping, sharing, and comforting in young children with Autism Spectrum Disorder. Front. Psychol. 2019. 10: 25.
- Engel A.K., Fries P. Beta-band oscillations – signalling the status quo? Curr Opin Neurobiol. 2010. 20 (2): 156–165.
- Fox N.A., Bakermans-Kranenburg M.J., Yoo K.H., Bowman L.C., Cannon E.N., Vanderwert R.E., Ferrari P.F., van IJzendoorn M.H. Assessing human mirror activity with EEG mu rhythm: A meta-analysis. Psychol. Bull. 2016. 142 (3): 291–313.
- Gao C., Xie W., Green J.J., Wedell D.H., Jia X., Guo C., Shinkareva S.V. Evoked and induced power oscillations linked to audiovisual integration of affect. Biol Psychol. 2021. 158: 108006.
- Genzer S., Ong D.C., Zaki J., Perry A. Mu rhythm suppression over sensorimotor regions is associated with greater empathic accuracy. Soc. Cogn. Affect. Neurosci. 2022. 17 (9): 788–801.
- Gui D.Y., Yu T., Hu Z., Yan J., Li X. Dissociable functional activities of cortical theta and beta oscillations in the lateral prefrontal cortex during intertemporal choice. Sci. Rep. 2018. 8 (1): 11233.
- Güntekin B., Başar E. A review of brain oscillations in perception of faces and emotional pictures. Neuropsychologia. 2014. 58: 33–51.
- Kärtner J., Schuhmacher N., Collard J. Socio-cognitive influences on the domain-specificity of prosocial behavior in the second year. Infant. Behav. Dev. 2014. 7 (4): 665–675.
- Kochukhova O., Dyagileva Yu., Mikhailova A., Orekhova L., Makhin S., Pavlenko V. Better language – faster helper: the relation between spontaneous instrumental helping action and language ability in family-reared and institutionalized toddlers. Psychol Russia: State of the Art. 2021. 14 (4): 79–94.
- Köster M., Kärtner J. Why do infants help? A simple action reveals a complex phenomenon. Developmental Rev. 2019. 51: 175–187.
- Lee S., Lee T., Yang T., Seomoon E., Yoon C., Kim S.-P. Neural correlates of anxiety induced by environmental events during driving. TENCON 2018 – 2018 IEEE Region 10 Conference. 2018. 0446–0450.
- Liao Y., Acar Z.A., Makeig S., Deak G. EEG imaging of toddlers during dyadic turn-taking: Mu-rhythm modulation while producing or observing social actions. Neuroimage. 2015. 112: 52–60.
- Marshall P.J., Young T., Meltzoff A.N. Neural correlates of action observation and execution in 14-month-old infants: An event-related EEG desynchronization study. Developmental Science. 2011. 14 (3): 474–480.
- Meyer M., Endedijk H.M., Hunnius S. Intention to imitate: Top-down effects on 4-year-olds’ neural processing of others’ actions. Dev. Cogn. Neurosci. 2020. 45: 100851.
- Milston S., Vanman E., Cunnington R. Cognitive empathy and motor activity during observed actions. Neuropsychologia. 2013. 51: 1103–1108.
- Montirosso R., Piazza C., Giusti L., Provenzi L., Ferrari P.F., Reni G., Borgatti R. Exploring the EEG mu rhythm associated with observation and execution of a goal-directed action in 14-month-old preterm infants. Sci. Rep. 2019. 9 (1): 8975.
- Muralidharan V., Aron A.R. Behavioral induction of a high beta state in sensorimotor cortex leads to movement slowing. J. Cogn. Neurosci. 2021. 33 (7): 1311–1328.
- Orekhova L.S., Makhin S.A., Mikhailova A.A., Pavlenko V.B. EEG patterns in early childhood differ between children prone to reward “Bad” or “Good” actors. Psychol Russia: State of the Art. 2020. 13 (2): 84–95.
- Paulus M., Kühn-Popp N., Licata M., Sodian B., Meinhardt J. Neural correlates of prosocial behavior in infancy: different neurophysiological mechanisms support the emergence of helping and comforting. Neuroimage. 2013. 66: 522–530.
- Paulus M. The multidimensional nature of early prosocial behavior: a motivational perspective. Curr. Opin Psychol. 2018. 20: 111–116.
- Peled-Avron L., Goldstein P., Yellinek S., Weissman-Fogel I., Shamay-Tsoory S.G. Empathy during consoling touch is modulated by mu-rhythm: An EEG study. Neuropsychologia. 2018. 116 (Pt A): 68–74.
- Pineda J.A. The functional significance of mu rhythms: translating “seeing” and “hearing” into “doing”. Brain Res. Brain Res. Rev. 2005. 50 (1): 57–68.
- Pratt M., Goldstein A., Feldman R. Child brain exhibits a multi-rhythmic response to attachment cues. Soc. Cogn. Affect. Neurosci. 2018. 13 (9): 957–966.
- Raymaekers R., Wiersema J.R., Roeyers H. EEG study of the mirror neuron system in children with high functioning autism. Brain Res. 2009. 1304: 113–121.
- Salo V.C., Ferrari P.F., Fox N.A. The role of the motor system in action understanding and communication: Evidence from human infants and non-human primates. Dev. Psychobiol. 2019. 61 (3): 390–401.
- Simon S., Mukamel R. Power modulation of electroencephalogram mu and beta frequency depends on perceived level of observed actions. Brain Behav. 2016. 6 (8): e00494.
- Siqi-Liu A., Harris A.M., Atkinson A.P., Reed C.L. Dissociable processing of emotional and neutral body movements revealed by μ-alpha and beta rhythms. Soc. Cogn. Affect. Neurosci. 2018. 13 (12): 1269–1279.
- Spitzer B., Haegens S. Beyond the Status Quo: A Role for Beta Oscillations in Endogenous Content (Re) Activation. eNeuro. 2017 4 (4): ENEURO.0170-17.
- Svetlova M., Nichols S.R., Brownel C.A. Toddlers’ prosocial behavior: from instrumental to empathic to altruistic helping. Child Dev. 2010. 81 (6): 1814–1827.
- Tomasello M. The adaptive origins of uniquely human sociality. Philos. Trans R Soc. Lond. B Biol. Sci. 2020. 375 (1803): 20190493.
- Warneken F., Tomasello M. Altruistic helping in human infants and young chimpanzees. Science. 2006. 311 (5765): 1301–1303.
- Woodruff C.C., Barbera D., Von Oepen R. Task-related dissociation of EEG β enhancement and suppression. Int. J. Psychophysiol. 2016. 99: 18–23.



