Динамика сенсомоторного ритма ЭЭГ при мысленном повторении за наблюдаемым движением
- Авторы: Васильев А.Н.1,2, Маковская А.Е.1, Каплан А.Я.1,3
-
Учреждения:
- Московский Государственный Университет им. М.В. Ломоносова
- МЭГ-центр, Московский психолого-педагогический университет
- Балтийский Федеральный Университет им. И. Канта
- Выпуск: Том 73, № 4 (2023)
- Страницы: 490-509
- Раздел: ФИЗИОЛОГИЯ ВЫСШЕЙ НЕРВНОЙ (КОГНИТИВНОЙ) ДЕЯТЕЛЬНОСТИ ЧЕЛОВЕКА
- URL: https://ogarev-online.ru/0044-4677/article/view/136103
- DOI: https://doi.org/10.31857/S004446772304010X
- EDN: https://elibrary.ru/WHOMMY
- ID: 136103
Цитировать
Полный текст
Аннотация
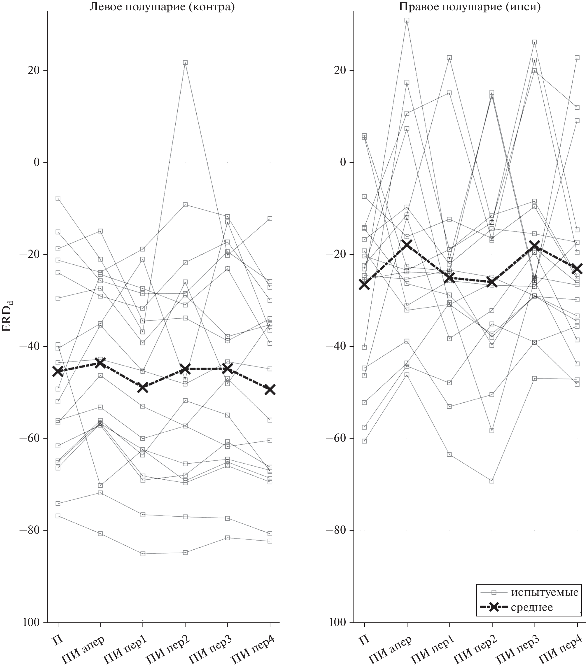
Мысленная симуляция собственного движения, или представление движения, а также наблюдение за движениями других людей применяются в нейрореабилитации в качестве методов стимуляции сенсомоторных отделов мозга. В настоящей работе тестируется новый способ представления – мысленная имитация движения, синхронная с движением, наблюдаемым от первого лица на видеоэкране. Задачами исследования являлись сравнение реактивности сенсомоторных ритмов ЭЭГ при произвольном представлении движения и представлении вслед за видеостимулом, а также выявление связи между фазами движения на видео и динамикой паттернов ЭЭГ. В исследовании приняли участие 30 здоровых добровольцев, у которых регистрировалась 69-канальная энцефалограмма во время выполнения и представления ими движений большим пальцем правой руки в двух режимах: произвольно (без внешнего ориентира) и синхронно имитируя движение на видеоролике. При анализе ЭЭГ у испытуемых выделялись индивидуальные пространственно-частотные компоненты с наибольшей реактивностью мю-ритма ЭЭГ (8–14 Гц), после чего проводилась количественная оценка десинхронизации в изучаемых условиях на основе анализа распределений плотности вероятности мощности мю-ритма. Для оценки связи динамики десинхронизации мю-ритма с событиями на видео применялась обобщенная аддитивная модель, описывающая функцию ответов на одиночные события в наблюдаемых движениях и их суммацию при серийном выполнении или представления движений. Было показано, что мысленная кинестетическая симуляция наблюдаемого движения не приводит к увеличению десинхронизации сенсомоторных ритмов по сравнению с произвольным представлением такого же движения. Впервые установлено, что во временном ходе десинхронизации мю-ритма возникают пертурбации, зависящие от фазы и скорости наблюдаемого движения как при его синхронном мышечном повторении, так и при мысленной синхронной имитации. Полученные результаты могут быть использованы для оптимизации параметров движений в индивидуальных системах идеомоторных тренировок с ЭЭГ-контролем для достижения наибольшей сенсомоторной активации.
Ключевые слова
Об авторах
А. Н. Васильев
Московский Государственный Университет им. М.В. Ломоносова; МЭГ-центр, Московский психолого-педагогический университет
Автор, ответственный за переписку.
Email: a.vasilyev@anvmail.com
Россия, Москва; Россия, Москва
А. Е. Маковская
Московский Государственный Университет им. М.В. Ломоносова
Email: a.vasilyev@anvmail.com
Россия, Москва
А. Я. Каплан
Московский Государственный Университет им. М.В. Ломоносова; Балтийский Федеральный Университет им. И. Канта
Email: a.vasilyev@anvmail.com
Россия, Москва; Россия, Калининград
Список литературы
- Васильев А.Н., Либуркина С.П., Каплан А.Я. Латерализация паттернов ЭЭГ у человека при представлении движений руками в интерфейсе мозг–компьютер. Журн. высшей нервной деятельности им И.П. Павлова. 2016. 66 (3): 302–312.
- Мокиенко О., Черникова Л., Фролов А., Бобров П. Воображение движения и его практическое применение. Журн. высшей нервной деятельности им И.П. Павлова. 2013. 63 (2): 195–195.
- Altschuler E.L., Wisdom S.B., Stone L., Foster C., Galasko D., Llewellyn D.M.E., Ramachandran V.S. Rehabilitation of hemiparesis after stroke with a mirror. The Lancet. 1999. 353 (9169): 2035–2036.
- Blankertz B., Tomioka R., Lemm S., Kawanabe M., Muller K.-R. Optimizing spatial filters for robust EEG single-trial analysis. IEEE Signal processing magazine. 2007. 25 (1): 41–56.
- Borroni P., Montagna M., Cerri G., Baldissera F. Cyclic time course of motor excitability modulation during the observation of a cyclic hand movement. Brain research. 2005. 1065 (1–2): 115–124.
- Braun S., Kleynen M., van Heel T., Kruithof N., Wade D., Beurskens A. The effects of mental practice in neurological rehabilitation; a systematic review and meta-analysis. Frontiers in human neuroscience. 2013. 7: 390.
- Buccino G. Action observation treatment: a novel tool in neurorehabilitation. Philosophical Transactions of the Royal Society B: Biological Sciences. 2014. 369 (1644): 20130185.
- Cengiz B., Vurallı D., Zinnuroğlu M., Bayer G., Golmohammadzadeh H., Günendi Z., Turgut A.E., İrfanoğlu B., Arıkan K.B. Analysis of mirror neuron system activation during action observation alone and action observation with motor imagery tasks. Experimental brain research. 2018. 236 (2): 497–503.
- Cohen M.X. A tutorial on generalized eigendecomposition for denoising, contrast enhancement, and dimension reduction in multichannel electrophysiology. Neuroimage. 2022. 247: 118809.
- De Vries S., Mulder T. Motor imagery and stroke rehabilitation: a critical discussion. Journal of rehabilitation medicine. 2007. 39 (1): 5–13.
- Eaves D.L., Behmer Jr L., Vogt S. EEG and behavioural correlates of different forms of motor imagery during action observation in rhythmical actions. Brain and cognition. 2016a. 106: 90–103.
- Eaves D.L., Riach M., Holmes P.S., Wright D.J. Motor imagery during action observation: a brief review of evidence, theory and future research opportunities. Frontiers in neuroscience. 2016b. 10: 514.
- Ehinger B.V., Dimigen O. Unfold: an integrated toolbox for overlap correction, non-linear modeling, and regression-based EEG analysis. PeerJ. 2019. 7: e7838.
- Elul R. The genesis of the EEG. International review of neurobiology. 1972. 15: 227–272.
- Emerson J.R., Binks J.A., Scott M.W., Kenny R.P., Eaves D.L. Combined action observation and motor imagery therapy: a novel method for post-stroke motor rehabilitation. AIMS neuroscience. 2018. 5 (4): 236.
- Ertelt D., Small S., Solodkin A., Dettmers C., McNamara A., Binkofski F., Buccino G. Action observation has a positive impact on rehabilitation of motor deficits after stroke. Neuroimage. 2007. 36: T164–T173.
- Fadiga L., Fogassi L., Pavesi G., Rizzolatti G. Motor facilitation during action observation: a magnetic stimulation study. J. neurophysiology. 1995. 73 (6): 2608–2611.
- Féry Y.-A. Differentiating visual and kinesthetic imagery in mental practice. Canadian Journal of Experimental Psychology/Revue canadienne de psychologie expérimentale. 2003. 57 (1): 1.
- Friesen C.L., Bardouille T., Neyedli H.F., Boe S.G. Combined action observation and motor imagery neurofeedback for modulation of brain activity. Frontiers in human neuroscience. 2017. 10: 692.
- Gerardin E., Sirigu A., Lehéricy S., Poline J.-B., Gaymard B., Marsault C., Agid Y., Le Bihan D. Partially overlapping neural networks for real and imagined hand movements. Cerebral cortex. 2000. 10 (11): 1093–1104.
- Grafton S.T., Arbib M.A., Fadiga L., Rizzolatti G. Localization of grasp representations in humans by positron emission tomography. Experimental brain research. 1996. 112 (1): 103–111.
- Guillot A., Collet C., Nguyen V.A., Malouin F., Richards C., Doyon J. Brain activity during visual versus kinesthetic imagery: an fMRI study. Human brain mapping. 2009. 30 (7): 2157–2172.
- Hardwick R.M., Caspers S., Eickhoff S.B., Swinnen S.P. Neural correlates of action: Comparing meta-analyses of imagery, observation, and execution. Neuroscience & Biobehavioral Reviews. 2018. 94: 31–44.
- Haufe S., Meinecke F., Görgen K., Dähne S., Haynes J.-D., Blankertz B., Bießmann F. On the interpretation of weight vectors of linear models in multivariate neuroimaging. Neuroimage. 2014. 87: 96–110.
- Hendricks H.T., Van Limbeek J., Geurts A.C., Zwarts M.J. Motor recovery after stroke: a systematic review of the literature. Archives of physical medicine and rehabilitation. 2002. 83 (11): 1629–1637.
- Hodges N.J. Observations on action-observation research: an autobiographical retrospective across the past two decades. Kinesiology Review. 2017. 6 (3): 240–260.
- Kondo T., Saeki M., Hayashi Y., Nakayashiki K., Takata Y. Effect of instructive visual stimuli on neurofeedback training for motor imagery-based brain–computer interface. Human movement science. 2015. 43: 239–249.
- Langhorne P., Coupar F., Pollock A. Motor recovery after stroke: a systematic review. The Lancet Neurology. 2009. 8 (8): 741–754.
- Machado S., Lattari E., Souza de Sa A., BF Rocha N., Yuan T.-F., Paes F., Wegner M., Budde H., E Nardi A., Arias-Carrión O. Is mental practice an effective adjunct therapeutic strategy for upper limb motor restoration after stroke? A systematic review and meta-analysis. CNS & Neurological Disorders-Drug Targets (Formerly Current Drug Targets-CNS & Neurological Disorders). 2015. 14 (5): 567–575.
- Meers R., Nuttall H.E., Vogt S. Motor imagery alone drives corticospinal excitability during concurrent action observation and motor imagery. Cortex. 2020. 126: 322–333.
- Moca V.V., Bârzan H., Nagy-Dăbâcan A., Mureșan R.C. Time-frequency super-resolution with superlets. Nature communications. 2021. 12 (1): 1–18.
- Nagai H., Tanaka T. Action observation of own hand movement enhances event-related desynchronization. IEEE Transactions on Neural Systems and Rehabilitation Engineering. 2019. 27 (7): 1407–1415.
- Nedelko V., Hassa T., Hamzei F., Schoenfeld M.A., Dettmers C. Action imagery combined with action observation activates more corticomotor regions than action observation alone. J. Neurologic Physical Therapy. 2012. 36 (4): 182–188.
- Neuper C., Scherer R., Wriessnegger S., Pfurtscheller G. Motor imagery and action observation: modulation of sensorimotor brain rhythms during mental control of a brain–computer interface. Clinical neurophysiology. 2009. 120 (2): 239–247.
- Nikulin V.V., Hohlefeld F.U., Jacobs A.M., Curio G. Quasi-movements: A novel motor–cognitive phenomenon. Neuropsychologia. 2008. 46 (2): 727–742.
- Nikulin V.V., Nolte G., Curio G. A novel method for reliable and fast extraction of neuronal EEG/MEG oscillations on the basis of spatio-spectral decomposition. NeuroImage. 2011. 55 (4): 1528–1535.
- Parra L.C., Spence C.D., Gerson A.D., Sajda P. Recipes for the linear analysis of EEG. Neuroimage. 2005. 28 (2): 326–341.
- Pfurtscheller G., Da Silva F.L. Event-related EEG/MEG synchronization and desynchronization: basic principles. Clinical neurophysiology. 1999. 110 (11): 1842–1857.
- Sarasso E., Gemma M., Agosta F., Filippi M., Gatti R. Action observation training to improve motor function recovery: a systematic review. Archives of physiotherapy. 2015. 5 (1): 1–12.
- Stinear C.M., Byblow W.D., Steyvers M., Levin O., Swinnen S.P. Kinesthetic, but not visual, motor imagery modulates corticomotor excitability. Experimental brain research. 2006. 168 (1–2): 157–164.
- Tsakiris M., Haggard P. The rubber hand illusion revisited: visuotactile integration and self-attribution. Journal of experimental psychology: Human perception and performance. 2005. 31 (1): 80.
- Vasilyev A., Liburkina S., Yakovlev L., Perepelkina O., Kaplan A. Assessing motor imagery in brain-computer interface training: psychological and neurophysiological correlates. Neuropsychologia. 2017. 97: 56–65.
- Villiger M., Estévez N., Hepp-Reymond M.-C., Kiper D., Kollias S.S., Eng K., Hotz-Boendermaker S. Enhanced activation of motor execution networks using action observation combined with imagination of lower limb movements. PloS one. 2013. 8 (8): e72403.
- Vogt S., Di Rienzo F., Collet C., Collins A., Guillot A. Multiple roles of motor imagery during action observation. Frontiers in human neuroscience. 2013. 7: 807.
- Yokoyama H., Kaneko N., Watanabe K., Nakazawa K. Neural decoding of gait phases during motor imagery and improvement of the decoding accuracy by concurrent action observation. Journal of Neural Engineering. 2021. 18 (4): 046099.
Дополнительные файлы








