STUDYING THE ABILITY FOR RESEARCH ACTIVITY IN MONKEYS
- Autores: Anikaev A.E.1, Chalyan V.G.1, Meishvili N.V.1, Anikaeva E.N.1
-
Afiliações:
- Federal State Budgetary Scientific Institution: Scientific Research Institute of Medical Primatology: (FSBI “SRI MP”)
- Edição: Volume 73, Nº 2 (2023)
- Páginas: 271-288
- Seção: ЭКСПЕРИМЕНТАЛЬНАЯ ПАТОЛОГИЯ ВЫСШЕЙ НЕРВНОЙ ДЕЯТЕЛЬНОСТИ
- URL: https://ogarev-online.ru/0044-4677/article/view/136093
- DOI: https://doi.org/10.31857/S004446772302003X
- EDN: https://elibrary.ru/IFOMSV
- ID: 136093
Citar
Texto integral
Resumo
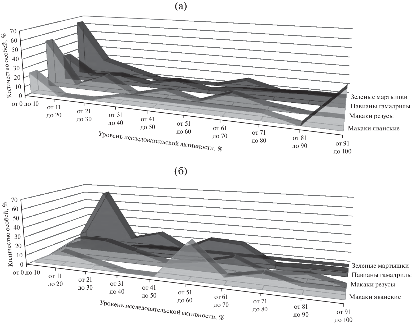
The level of research ability in four species of lower monkeys was studied: green monkeys (Chlorocebus aethiops), Javanese macaques (Macaca fascicularis), rhesus monkeys (Macaca mulatta) and hamadryas baboons (Papio hamadryas). The assessment was made according to such indicators as the level of research activity, the dynamics of research activity, the diversity of research activities. The results found indicate a higher level of the studied parameters in Javan macaques and hamadryas baboons in comparison with rhesus macaques and green monkeys.
Sobre autores
A. Anikaev
Federal State Budgetary Scientific Institution: Scientific Research Instituteof Medical Primatology: (FSBI “SRI MP”)
Autor responsável pela correspondência
Email: mg_anykey@mail.ru
Russia, Sochi
V. Chalyan
Federal State Budgetary Scientific Institution: Scientific Research Instituteof Medical Primatology: (FSBI “SRI MP”)
Email: mg_anykey@mail.ru
Russia, Sochi
N. Meishvili
Federal State Budgetary Scientific Institution: Scientific Research Instituteof Medical Primatology: (FSBI “SRI MP”)
Email: mg_anykey@mail.ru
Russia, Sochi
E. Anikaeva
Federal State Budgetary Scientific Institution: Scientific Research Instituteof Medical Primatology: (FSBI “SRI MP”)
Email: mg_anykey@mail.ru
Russia, Sochi
Bibliografia
- Аникаев А.Е., Мейшвили Н.В., Чалян В.Г., Аникаева Е.Н. Исследование различий между показателями обучения и исследовательской деятельности у половозрелых самцов макаков-резусов (Macaca mulatta) и павианов гамадрилов (Papio hamadryas). Бюллетень экспериментальной биологии и медицины. 2021. 172 (9): 380–384.
- Войтонис Н.Ю. Предистория интеллекта: (К проблеме антропогенеза). Изд-во АН СССР. 1949.
- Чалян В., Мейшвили Н. Павианы гамадрилы в лесах Черноморского побережья Кавказа. Litres, 2022.
- Шовен Р. Поведение животных. М.: Мир, 1972.
- Alexander G.M., Hines M. Sex differences in response to children’s toys in nonhuman primates (Cercopithecus aethiops sabaeus). Evolution and Human Behavior. 2002. 23 (6): 467–479.
- Barton R.A. Neocortex size and behavioural ecology in primates. Proceedings of the Royal Society of London. Series B: Biological Sciences. 1996. 263 (1367): 173–177.
- Belzung C. Measuring rodent exploratory behavior // Techniques in the behavioral and neural sciences. Elsevier. 1999. 13: 738–749.
- Bergman T.J., Kitchen D.M. Comparing responses to novel objects in wild baboons (Papio ursinus) and geladas (Theropithecus gelada). Animal cognition. 2009. 12 (1): 63–73.
- Berlyne D.E. Curiosity and learning. Motivation and emotion. 1978. 2 (2): 97–175.
- Bi S.G., Bené J.K., Bitty E.A., Koné I., Zinner D. Distribution of the green monkey (Chlorocebus sabaeus) in the coastal zone of Côte d’Ivoire. Primate Conservation. 2009. 24(1): 91–97.
- Cawthon Lang K.A. Primate Factsheets: Vervet (Chlorocebus) Taxonomy, Morphology, & Ecology. Primate Factsheets Retrieved. 2006. 7 (2012): 2012.
- Coleman K., Tully L.A., McMillan J.L. Temperament correlates with training success in adult rhesus macaques. American J. Primatology: Official J. American Society of Primatologists. 2005. 65 (1): 63–71.
- Deaner R.O., Isler K., Burkart J., van Schaik C. Overall Brain size and Not Encephalization Quotient, Best Predicts Cognitive Ability across Nonhuman Primates. Brain, Behavior and Evolution. 2007. 70 (2): 115–124.
- Dunbar R.I. Neocortex size as a constraint on group size in Primates. J. Human Evolution. 1992. 22 (6): 469–493.
- Ejigu D., Bekele A. Population structure, feeding ecology and human-grivet monkeys’ conflict at Bahir Dar University main campus, Bahir Dar. Ethiopian Journal Biological Science. 2010. 9 (1): 35–47.
- Ehrlich A. Response to novel objects in three lower primates: greater galago, slow loris, and owl monkey. Behaviour. 1970. 37 (1–2): 55–63.
- Fooden J. Systematic review of Southwest Asian longtail macaques, Macaca fasicularis (Rafles, 1821). Fieldiana Zool., new series. 1995. 81: 2–3.
- Hadi I., Suryobroto B., Perwitasari–Farajallah D. Food preference of semi-provisioned macaques based on feeding duration and foraging party size. HAYATI J. Biosciences. 2007. 14 (1): 13–17.
- Hansen M.F., Ellegaard S., Maeller M.M., van Beest F.M., Fuentes A., Nawangsari V.A., Groendahl C., Frederiksen M.L., Stelvig M. Comparative home range size and habitat selection in provisioned and non-provisioned long-tailed macaques (Macaca fascicularis) in Baluran National Park, East Java, Indonesia. Contributions to Zoology. 2020. 89 (4): 393–411.
- Harlow H.F., Blazek N.C., McClearn G.E. Manipulatory motivation in the infant rhesus monkey. J. Comparative and Physiological Psychology. 1956. 49 (5): 444.
- Hasan Md.K., Aziz M.A., Alam S.M.R., Kawamoto Y., Jones-Engel L., Kyes R.C., Akhtar Sh., Begum S., Feeroz M. Distribution of Rhesus Macaques (Macaca mulatta) in Bangladesh: inter-population variation in group size and composition. Primate Conservation. 2013. 26 (1): 125–132.
- Hassett J.M., Siebert E.R., Wallen K. Sex differences in rhesus monkey toy preferences parallel those of children. Hormones and behavior. 2008. 54 (3): 359–364.
- Joly M., Micheletta J., De Marco A., Langermanns J.A., Sterck E.H.M., Waller B.M. Comparative physical and social cognitive skills in macaque species with different degrees of social tolerance. Proceedings of the Royal Society B: Biological Sciences. 2017. 284 (1862): 20162738
- Helstab S.A., Kozonen Z.K., Koski S.E., Van Schaik C., Isler K. Manipulation complexity in primates coevolved with brain size and terrestriality. Scientific reports. 2016. 6 (1): 1–9.
- Kali G. Ecology and behavour of Rhesus monkeys (Macaca mulatta) in Baikunthapur forest division, Jalpaiguri, West Bengal, India: University of North Bengal. 2001.
- Keller H., Schneider K., Henderson B. (ed.). Curiosity and exploration. Springer Science & Business Media, 2012.
- Kemp N.J., Burnett J.B. A biodiversity risk assessment and recommendations for risk management of long-tailed macaques (Macaca fascicularis) in New Guinea. Indo-Pacific Conservation Alliance. 2003.
- Line S.W., Morgan K.N., Markowitz H. Simple toys do not alter the behavior of aged rhesus monkeys. Zoo Biology. 1991. 10 (6): 473–484.
- Loizos C. Play behaviour in higher primates: a review. Primate ethology. 2017. 176–218.
- Meguerditchian A., Marie D., Margiotoudi K., Roth M., Nazarian B., Anton J.L., Claidière N. Baboons (Papio anubis) living in larger social groups have bigger brains. Evolution and Human Behavior. 2021. 42 (1): 30–34.
- Marsh H.L., Vining A.Q., Levendoski E.K., Judge P.G. Inference by exclusion in lion-tailed macaques (Macaca silenus), a hamadryas baboon (Papio hamadryas), capuchins (Sapajus apella), and squirrel monkeys (Saimiri sciureus). J. Comparative Psychology. 2015. 129 (3): 256.
- Milton K. Foraging behavior and the evolution of primate intelligence. In: Byrne R.W., Whitten A. (eds). Machiavellian intelligence: social expertise and the evolution of intellect in monkeys, apes, and humans. Oxford University Press. Oxford. 1988.
- Menzel E.W. Responsiveness to objects in free-ranging Japanese monkeys. Behaviour. 1966. 26 (1–2): 130–150.
- Menzel Jr E.W., Davenport Jr R.K., Rogers C.M. Some aspects of behavior toward novelty in young chimpanzees. J. Comparative and Physiological Psychology. 1961. 54 (1): 16.
- National Research Council. Guide for the care and use of laboratory animals. National Academies Press. 2010.
- Petit O., Dufour V., Herrenschmidt M., De Marco A., Sterck E.H., Call J. Inferences about food location in three cercopithecinae species: an insight into the socioecological cognition of primates. Animal Cognition. 2015. 18(4): 821–830.
- Platt M.L., Brannon E.M., Briese T.L., French J.A. Differences in feeding ecology predict differences in performance between golden lion tamarins (Leontopithecus rosalia) and Wied’s marmosets (Callithrix kuhli) on spatial and visual memory tasks. Animal Learning & Behavior. 1996. 24(4): 384–393.
- Perelman P., Johnson W.E., Roos C., Seuánez H.N., Horvath J.E. A molecular phylogeny of living primates. PLoS Genet. 2011. 7(3): e1001342.
- Rajalingham R., Schmidt K., DiCarlo J.J. Comparison of object recognition behavior in human and monkey. J. Neuroscience. 2015. 35(35): 12127–12136.
- Rensch B. Ästhetische Faktoren bei Farb-und Formbevorzugungen von Affen. Zeitschrift für Tierpsychologie. 1957. 14(1): 71–99.
- Rossi A., Parada F.J., Stewart R., Barwell C., Demas G., Allen C. Hormonal Correlates of Exploratory and Play-Soliciting Behavior in Domestic Dogs. Frontiers in psychology. 2018. 9: 1559.
- Sackett G.P. Exploratory behavior of rhesus monkeys as a function of rearing experiences and sex. Developmental Psychology. 1972. 6 (2): 260.
- Santillán-Doherty A.M., Cortés-Sotres J., Arenas-Rosas R.V., Márquez-Arias A., Cruz C., Medellín A., Díaz J.L. Novelty-seeking temperament in captive stumptail macaques (Macaca arctoides) and spider monkeys (Ateles geoffroyi). J. Comparative Psychology. 2010. 124 (2): 211.
- Schmitt V., Pankau B., Fischer J. Old world monkeys compare to apes in the primate cognition test battery. PloS one. 2012. 7 (4): e32024.
- Schreier A.L., Schlaht R.M., Swedell L. Meat eating in wild hamadryas baboons: Opportunistic trade-offs between insects and vertebrates. American J. Primatology. 2019. 81 (7): e23029.
- Schwartz B.L. Using Natural Ecology to Predict Higher Cognition in Human and Non-human Primates. Animal Behavior and Cognition. 2019. 6 (4): 344–354.
- Sengupta A., Radhakrishna S. Influence of fruit availability on fruit consumption in a generalist primate, the rhesus macaque Macaca mulatta. International J. Primatology. 2016. 37(6): 703–717.
- Seth P.K., Seth S. Ecology and behaviour of rhesus monkeys in India. Primate ecology and conservation. 1986. 2: 89–103.
- Sigg H., Stolba A. Home range and daily march in a hamadryas baboon troop. Folia primatologica. 1981. 36 (1–2): 40–75.
- Siwak C.T., Tapp P.D., Milgram N.W. Effect of age and level of cognitive function on spontaneous and exploratory behaviors in the beagle dog. Learning & Memory. 2001. 8 (6): 317–325.
- Skinner J.D., Chimimba C.T. The mammals of the southern African sub-region. Cambridge University Press. 2005.
- Swedell L. Ranging behavior, group size and behavioral flexibility in Ethiopian hamadryas baboons (Papio hamadryas hamadryas). Folia Primatologica. 2002. 73 (2–3): 95–103.
- Swedell L., Hailemeskel G., Schreier A. Composition and seasonality of diet in wild hamadryas baboons: preliminary findings from Filoha. Folia Primatologica. 2008. 79 (6): 476–490.
- Tia B., Viaro R., Fadiga L. Tool-use training temporarily enhances cognitive performance in long-tailed macaques (Macaca fascicularis). Animal cognition. 2018. 21 (3): 365–378.
- Welker W.I. Effects of age and experience on play and exploration of young chimpanzees. J. comparative and physiological psychology. 1956a. 49 (3): 223.
- Welker W.I. Variability of play and exploratory behavior in chimpanzees. J. Comparative and Physiological Psychology. 1956b. 49 (2): 181.
Arquivos suplementares




