Активность зеркальной системы мозга у людей с депрессивным симптомокомплексом
- Авторы: Каримова Е.Д.1, Смольская Д.В.2, Нараткина А.А.2
-
Учреждения:
- Институт высшей нервной деятельности и нейрофизиологии РАН
- Московский государственный университет им. Ломоносова
- Выпуск: Том 73, № 2 (2023)
- Страницы: 230-241
- Раздел: ФИЗИОЛОГИЯ ВЫСШЕЙ НЕРВНОЙ (КОГНИТИВНОЙ) ДЕЯТЕЛЬНОСТИ ЧЕЛОВЕКА
- URL: https://ogarev-online.ru/0044-4677/article/view/136088
- DOI: https://doi.org/10.31857/S0044467723020053
- EDN: https://elibrary.ru/ILDDCT
- ID: 136088
Цитировать
Полный текст
Аннотация
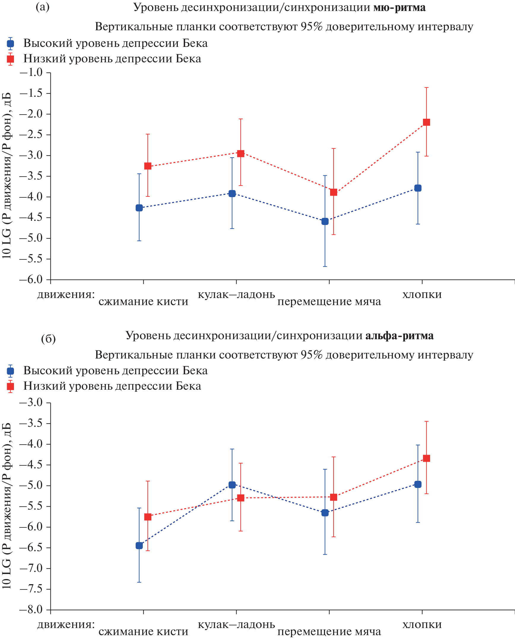
Мировые события последних нескольких лет привели к тому, что все больше людей начинают испытывать депрессивные симптомы, которые в значительной степени влияют на эмоциональный фон человека и его восприятие окружающего мира. Целью данного исследования было проанализировать реакции мю- и альфа-ритмов, отражающих работу зеркальной и зрительной систем головного мозга, при восприятии и повторении эмоционально окрашенных социальных стимулов у людей с разным уровнем депрессии. В исследовании приняли участие 32 здоровых испытуемых, которые были разделены на две группы – с высоким и низким уровнем депрессии по шкале Бека. Регистрировали 32-канальную ЭЭГ в двух экспериментальных блоках, активирующих эмоциональную и моторную составляющие зеркальной системы мозга (ЗСМ): 1) при восприятии эмоциональных лиц, выражающих счастье или горе; 2) при наблюдении и повторении моторных жестов рукой. Анализировали степень десинхронизации компонент мю- и альфа-ритма, выделенных методом независимых компонент (ICA), в каждой из задач. Было получено, что десинхронизация мю-ритма была достоверно выше у людей с высоким уровнем депрессии при повторении моторных движений рукой, а также при восприятии негативной эмоциональной мимики. Десинхронизация альфа-ритма не отличалась у двух групп испытуемых. Таким образом, развитие депрессивного состояния усиливает активацию ЗСМ, при этом повышается ее чувствительность к негативным эмоциональным стимулам. Данный эффект не распространяется на зрительную кору и визуальное внимание.
Ключевые слова
Об авторах
Е. Д. Каримова
Институт высшей нервной деятельности и нейрофизиологии РАН
Автор, ответственный за переписку.
Email: e.d.karimova@gmail.com
Россия, Москва
Д. В. Смольская
Московский государственный университет им. Ломоносова
Email: e.d.karimova@gmail.com
Россия, Москва
А. А. Нараткина
Московский государственный университет им. Ломоносова
Email: e.d.karimova@gmail.com
Россия, Москва
Список литературы
- Ablin P., Cardoso J.F., Gramfort A. Faster independent component analysis by preconditioning with hessian approximations. IEEE Transactions on Signal Processing. 2018. 66 (15): 4040–4049. https://doi.org/10.1109/TSP.2018.2844203
- Alkhamees A.A., Alrashed S.A., Alzunaydi A.A., Almohimeed A.S., Aljohani, M.S. The psychological impact of COVID-19 pandemic on the general population of Saudi Arabia. Comprehensive Psychiatry. 2020. 102: 152192. https://doi.org/10.1016/j.comppsych.2020.152192
- Andrews S.C., Enticott P.G., Hoy K.E., Thomson R.H., Fitzgerald P.B. Reduced mu suppression and altered motor resonance in euthymic bipolar disorder: Evidence for a dysfunctional mirror system? Social Neuroscience. 2016. 11 (1): 60–71. https://doi.org/10.1080/17470919.2015.1029140
- Arnstein D., Cui F., Keysers C., Maurits N.M., Gazzola V. μ-suppression during action observation and execution correlates with BOLD in dorsal premotor, inferior parietal, and SI cortices. The Journal of neuroscience : the official J. Society for Neuroscience. 2011. 31 (40): 14243–14249. https://doi.org/10.1523/JNEUROSCI.0963-11.2011
- Basavaraju R., Mehta U.M., Pascual-Leone A., Thirthalli J. Elevated mirror neuron system activity in bipolar mania: Evidence from a transcranial magnetic stimulation study. Bipolar Disorders. 2019. 21 (3): 259–269. https://doi.org/10.1111/bdi.12723
- Batterham P.J., Calear A.L., McCallum S.M., Morse A.R., Banfield M., Farrer L.M., Gulliver A., Cherbuin N., Rodney Harris R.M., Shou Y., Dawel A. Trajectories of depression and anxiety symptoms during the COVID-19 pandemic in a representative Australian adult cohort. Medical J. Australia. 2021. 214 (10): 462–468. https://doi.org/10.5694/mja2.51043
- Beck A.T. An Inventory for Measuring Depression, Archives of General Psychiatry. 1961. 4(6): 561. https://doi.org/10.1001/archpsyc.1961.01710120031004
- Bekkali S., Youssef G.J., Donaldson P.H., Albein-Urios N., Hyde C., Enticott P.G. Is the Putative Mirror Neuron System Associated with Empathy? A Systematic Review and Meta-Analysis, Neuropsychology Review. 2021. 31 (1): 14–57. https://doi.org/10.1007/s11065-020-09452-6
- Bimbi M., Festante F., Coudé G., Vanderwert R.E., Fox N.A., Ferrari P.F. Simultaneous scalp recorded EEG and local field potentials from monkey ventral premotor cortex during action observation and execution reveals the contribution of mirror and motor neurons to the mu-rhythm, NeuroImage. 2018. 175: 22–31. https://doi.org/10.1016/j.neuroimage.2018.03.037
- Bodnar A., Rybakowski J.K. Increased affective empathy in bipolar patients during a manic episode, Revista Brasileira de Psiquiatria. 2017. 39 (4): 342–345. https://doi.org/10.1590/1516-4446-2016-2101
- Borra E., Gerbella M., Rozzi S., Luppino G. The macaque lateral grasping network: A neural substrate for generating purposeful hand actions. Neuroscience & Biobehavioral Reviews. 2017. 75: 65–90. https://doi.org/10.1016/j.neubiorev.2017.01.017
- Bowers A., Saltuklaroglu T., Harkrider A., Cuellar M. Suppression of the µ Rhythm during Speech and Non-Speech Discrimination Revealed by Independent Component Analysis: Implications for Sensorimotor Integration in Speech Processing. Sinigaglia, C. (ed.) PLoS One. 2013. 8 (8): e72024. https://doi.org/10.1371/journal.pone.0072024
- Bowman L.C., Bakermans-Kranenburg M.J., Yoo K.H., Cannon E.N., Vanderwert R.E., Ferrari P.F., van IJzendoorn M.H., Fox, N.A. The mu-rhythm can mirror: Insights from experimental design, and looking past the controversy. Cortex; a journal devoted to the study of the nervous system and behavior. 2017. 96: 121–125. https://doi.org/10.1016/j.cortex.2017.03.025
- Carr L., Iacoboni M., Dubeau M.-C., Mazziotta J.C., Lenzi G.L. Neural mechanisms of empathy in humans: A relay from neural systems for imitation to limbic areas. Proceedings of the National Academy of Sciences. 2003. 100 (9): 5497–5502. https://doi.org/10.1073/pnas.0935845100
- Chen L.L., Cheng C.H.K., Gong T. Inspecting Vulnerability to Depression From Social Media Affect. Frontiers in Psychiatry. 2020. 11: 54. https://doi.org/10.3389/fpsyt.2020.00054
- Cook R., Bird G., Catmur C., Press C., Heyes C. Mirror neurons: From origin to function. Behavioral and Brain Sciences. 2014. 37 (2): 177–192. https://doi.org/10.1017/S0140525X13000903
- Ensenberg N.S., Perry A., Aviezer H. Are you looking at me? Mu suppression modulation by facial expression direction. Cognitive, Affective, & Behavioral Neuroscience. 2017. 17 (1): 174–184. https://doi.org/10.3758/s13415-016-0470-z
- Ferrari P.F., Gerbella M., Coudé G., Rozzi S. Two different mirror neuron networks: The sensorimotor (hand) and limbic (face) pathways. Neuroscience. 2017. 358: 300–315. https://doi.org/10.1016/j.neuroscience.2017.06.052
- Fox N.A., Yoo K.H., Bowman L.C., Cannon E.N., Ferrari P.F., Bakermans-Kranenburg M.J., Vanderwert R.E., Van IJzendoorn M.H. Assessing human mirror activity With EEG mu rhythm: A meta-analysis. Psychological Bulletin. 2016. 142 (3): 291–313. https://doi.org/10.1037/bul0000031
- Gerbella M., Borra E., Tonelli S., Rozzi S., Luppino G. Connectional Heterogeneity of the Ventral Part of the Macaque Area 46. Cerebral Cortex. 2013. 23 (4): 967–987. https://doi.org/10.1093/cercor/bhs096
- Goodin P., Lamp G., Hughes M.E., Rossell S.L., Ciorciari J. Decreased Response to Positive Facial Affect in a Depressed Cohort in the Dorsal Striatum During a Working Memory Task – A Preliminary fMRI Study. Frontiers in Psychiatry. 2019. 10: 60. https://doi.org/10.3389/fpsyt.2019.00060
- Hobson H.M., Bishop D.V.M. Mu suppression – A good measure of the human mirror neuron system? Cortex. 2016. 82: 290–310. https://doi.org/10.1016/j.cortex.2016.03.019
- Hobson H.M., Bishop D.V.M. The interpretation of mu suppression as an index of mirror neuron activity: past, present and future. Royal Society Open Science. 2017. 4 (3): 160662. https://doi.org/10.1098/rsos.160662
- Hyvärinen A., Oja E. Independent component analysis: Algorithms and applications, Neural Networks. 2020. 13 (4–5). https://doi.org/10.1016/S0893-6080(00)00026-5
- Iacoboni M. Understanding others: imitation, language, empathy. Perspectives on Imitation: From Cognitive Neuroscience to Social Science. 2005. 1: 77–99.
- Iacoboni M., Dapretto M. The mirror neuron system and the consequences of its dysfunction. Nature Reviews Neuroscience. 2006. 7 (12): 942–951. https://doi.org/10.1038/nrn2024
- Jenson D., Bowers A.L., Harkrider A.W., Thornton D., Cuellar M., Saltuklaroglu T. Temporal dynamics of sensorimotor integration in speech perception and production: independent component analysis of EEG data. Frontiers in Psychology. 2014. 5. https://doi.org/10.3389/fpsyg.2014.00656
- Krivan S.J., Caltabiano N., Cottrell D., Thomas N.A. I’ll cry instead: Mu suppression responses to tearful facial expressions. Neuropsychologia. 2020. 143: 107490. https://doi.org/10.1016/j.neuropsychologia.2020.107490
- Kumar P., Waiter G.D., Dubois M., Milders M., Reid I., Steele J.D. Increased neural response to social rejection in major depression. Depression and Anxiety. 2017. 34 (11): 1049–1056. https://doi.org/10.1002/da.22665
- Kupferberg A., Bicks L., Hasler G. Social functioning in major depressive disorder. Neuroscience & Biobehavioral Reviews. 2016. 69: 313–332. https://doi.org/10.1016/j.neubiorev.2016.07.002
- Mikulan E.P., Reynaldo L., Ibáñez A. Homuncular mirrors: misunderstanding causality in embodied cognition, Frontiers in Human Neuroscience. 2014. 8: 299. https://doi.org/10.3389/fnhum.2014.00299
- Molnar-Szakacs I., Iacoboni M., Koski L., Mazziotta J.C. Functional Segregation within Pars Opercularis of the Inferior Frontal Gyrus: Evidence from fMRI Studies of Imitation and Action Observation. Cerebral Cortex. 2005. 15 (7): 986–994. https://doi.org/10.1093/cercor/bhh199
- Mundy L.K., Canterford L., Moreno-Betancur M., Hoq M., Sawyer S.M., Allen N.B., Patton G.C. Social networking and symptoms of depression and anxiety in early adolescence. Depression and Anxiety. 2021. 38 (5): 563–570. https://doi.org/10.1002/da.23117
- Oztop E., Kawato M., Arbib M.A. Mirror neurons: Functions, mechanisms and models. Neuroscience Letters. 2013. 540: 43–55. https://doi.org/10.1016/j.neulet.2012.10.005
- Pizzagalli D.A., Roberts A.C. Prefrontal cortex and depression. Neuropsychopharmacology. 2022. 47 (1): 225–246. https://doi.org/10.1038/s41386-021-01101-7
- Ritter P., Moosmann M., Villringer A. Rolandic alpha and beta EEG rhythms’ strengths are inversely related to fMRI-BOLD signal in primary somatosensory and motor cortex. Human brain mapping. 2009. 30 (4): 1168–87. https://doi.org/10.1002/hbm.20585
- Rizzolatti G., Craighero L. The Mirror-Neuron System. Annual Review of Neuroscience. 2004. 27 (1): 169–192. https://doi.org/10.1146/annurev.neuro.27.070203.14-4230
- Rizzolatti G., Sinigaglia C. The mirror mechanism: a basic principle of brain function. Nature Reviews Neuroscience. 2016. 17 (12): 757–765. https://doi.org/10.1038/nrn.2016.135
- Rondung E., Leiler A., Meurling J., Bjärtå A. Symptoms of Depression and Anxiety During the Early Phase of the COVID-19 Pandemic in Sweden. Frontiers in Public Health. 2021. 9: 562437. https://doi.org/10.3389/fpubh.2021.562437
- Salo V.C., Ferrari P.F., Fox N.A. The role of the motor system in action understanding and communication: Evidence from human infants and non-human primates. Developmental Psychobiology. 2019. 61 (3): 390–401. https://doi.org/10.1002/dev.21779
- Shimada K., Kasaba R., Fujisawa T.X., Sakakibara N., Takiguchi S., Tomoda A. Subclinical maternal depressive symptoms modulate right inferior frontal response to inferring affective mental states of adults but not of infants. J. Affective Disorders. 2018. 229: 32–40. https://doi.org/10.1016/j.jad.2017.12.031
- Simone L., Bimbi M., Rodà F., Fogassi L., Rozzi S. Action observation activates neurons of the monkey ventrolateral prefrontal cortex. Scientific Reports. 2017. 7 (1): 44378. https://doi.org/10.1038/srep44378
- Simone L., Rozzi S., Bimbi M., Fogassi L. Movement-related activity during goal-directed hand actions in the monkey ventrolateral prefrontal cortex, Foxe, J. (ed.). European Journal of Neuroscience. 2015. 42 (11): 2882–2894. https://doi.org/10.1111/ejn.13040
- Sliwa J., Freiwald W.A. A dedicated network for social interaction processing in the primate brain. Science. 2017. 356 (6339): 745–749. https://doi.org/10.1126/science.aam6383
- Suffel A., Nagels A., Steines M., Kircher T., Straube B. Feeling addressed! The neural processing of social communicative cues in patients with major depression. Human Brain Mapping. 2020. 41 (13): 3541–3554. https://doi.org/10.1002/hbm.25027
- Vahratian A., Blumberg S.J., Terlizzi E.P., Schiller J.S. Symptoms of Anxiety or Depressive Disorder and Use of Mental Health Care Among Adults During the COVID-19 Pandemic – United States, August 2020–February 2021, MMWR. Morbidity and Mortality Weekly Report. 2021. 70 (13): 490–494. https://doi.org/10.15585/mmwr.mm7013e2
- Visted E., Vøllestad J., Nielsen M.B., Schanche E. Emotion Regulation in Current and Remitted Depression: A Systematic Review and Meta-Analysis, Frontiers in Psychology. 2018. 9: 756. https://doi.org/10.3389/fpsyg.2018.00756
- de Waal F.B.M., Preston S.D. Mammalian empathy: behavioural manifestations and neural basis. Nature Reviews Neuroscience. 2017. 18 (8): 498–509. https://doi.org/10.1038/nrn.2017.72
- Wolf S., Seiffer B., Zeibig J.-M., Welkerling J., Brokmeier L., Atrott B., Ehring T., Schuch F.B. Is Physical Activity Associated with Less Depression and Anxiety During the COVID-19 Pandemic? A Rapid Systematic Review. Sports Medicine. 2021. 51 (8): 1771–1783. https://doi.org/10.1007/s40279-021-01468-z
Дополнительные файлы






