Новые сополимеры N,N,Nʹ,Nʹ-тетраглицидил-4,4ʹ-диаминодифенилметана и диэтилентриаминов: синтез и исследование свойств
- Authors: Нуриев В.Н.1, Агаева М.У.1, Манкаев Б.Н.1, Тимофеев С.В.1, Тарасевич Б.Н.1, Беркович A.К.1, Карлов С.С.1
-
Affiliations:
- Московский государственный университет им. М. В. Ломоносова
- Issue: Vol 97, No 11-12 (2024)
- Pages: 752-763
- Section: Высокомолекулярные соединения и материалы на их основе
- URL: https://ogarev-online.ru/0044-4618/article/view/284484
- DOI: https://doi.org/10.31857/S0044461824110033
- EDN: https://elibrary.ru/LCCXKO
- ID: 284484
Cite item
Full Text
Abstract
Подобраны условия синтеза ранее не описанных сополимеров диэтилентриамина (ДЭТА) и тетраглицидильного производного бис-(диаминофенил)метана. Подтверждена стехиометрия новых смол, оценена их термостабильность, скорость конверсии при полимеризации в растворе. Методика расширена на производные ДЭТА с заместителями различной природы. Определены структурные и цветовые изменения сополимера при кислых значениях pH.
Full Text
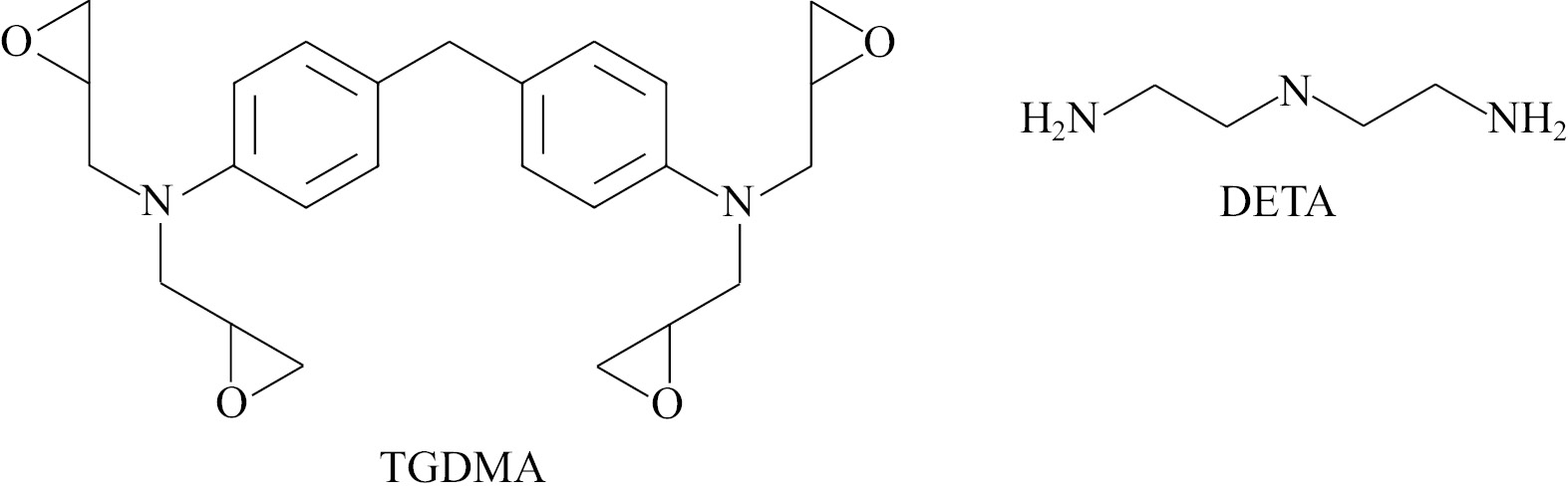
Создание новых материалов с улучшенными свойствами за счет варьирования компонентов хорошо изученных полимерных композиций является важной и перспективной задачей. В то же время заметную сложность с точки зрения решения технологических задач представляет подбор условий синтеза новых полимеров, который зависит от структуры варьируемых составляющих. Одним из важных в настоящее время типов полимерных композиций являются эпоксидные смолы, находящие широкое применение в различных отраслях техники. Среди мономеров эпоксидов особое место занимает мономер N-тетраглицидильного производного метилендианилина (TGDMA). Это производное способно к сополимеризации с широким кругом сомономеров, имеющих промышленное значение, и уже давно используется в производстве полимерных эпоксидных композитов, имеющих широчайший диапазон применения [1–3]. Чаще всего в качестве сомономера (отвердителя) в этих композициях используются ди- и полиамины с итоговым содержанием азотсодержащего мономера в смоле обычно менее 10% по массе. Наиболее популярны для использования в качестве отвердителя производные бис-анилинов. Эти соединения демонстрируют невысокую активность в раскрытии оксиранового кольца, что важно для отвердителя, и имеют структуру, сходную с TGDMA [4, 5].
Однако в последнее время важным направлением исследований становится изучение взаимодействия эпоксидных прекурсоров и алифатических ди- и полиаминов [6–8]. Подобные композиции приводят к созданию «умных» полимерных материалов с ценными свойствами, в частности свойством механохромии — способности обратимо менять цвет после деформационных воздействий [9]. Одним из наиболее доступных триаминов является диэтилентриамин (DETA). Несмотря на то что в литературе имеются данные по взаимодействию TGDMA и DETA [9], состав и условия синтеза сополимера TGDMA с DETA в широком диапазоне соотношения реагентов, а также поведение в этой реакции структурных аналогов DETA до сих пор оставались не исследованными.
Цель работы — синтез и изучение сополимеров TGDMA и с диэтилентриамином и его производными.
Экспериментальная часть
В синтезе использовали тетраглицидил-пара-метилендианилин (TGDMA) (SAGECHEM LIMITED, чистота, согласно данным ЯМР и ВЭЖХ, более 97%). Диэтилентриамин (Aldrich, 99%) однократно перегнан с гидрида кальция в вакууме водоструйного насоса в атмосфере аргона и хранился при 0°С в герметично запечатанной таре. Амины 1,7-дифенил-4-бензил-1,4,7-триазагептан (DPBTAH), 1,7-ди-трет-бутил-4-бензил-1,4,7-триазагептан (DBBTAH) и 1,7-дибензил-4-этил-1,4,7-триазагептан (DBETAH) были синтезированы непосредственно перед использованием и дополнительно очищены доступными способами [10], диметоксиэтан (DME) (Alfa Aesar), диметиловый эфир диэтиленгликоля (Acros) и метанол (Merck) перегоняли и использовали непосредственно перед синтезом. Все синтезы проходили в атмосфере аргона марки в.ч. В качестве внутреннего стандарта в реакции и в образцы ЯМР добавлялась точная навеска 1,4-дибромбензола (Lancaster, 99%). Спектры ЯМР регистрировали на спектрометре Bruker Avance 400 (1H, 400 МГц) при 27°С в шкале δ относительно остаточного сигнала растворителя или внутреннего стандарта в D-хлороформе или метаноле-D4. ИК-спектры регистрировали на приборе Thermo Nicolet iS5 FTIR с приставкой ATR, количество сканирований 32, разрешение 4 см–1. Кинетические измерения проводили на том же приборе, но между пластинами фторида кальция. Термическую стабильность образцов изучали с помощью прибора синхронного термического анализа STA 449 F3 Jupiter (NETZSCH). Использовали сенсор ДТА + ТГ. Навеску в тигле из керамики оксида алюминия помещали в печь прибора. Печь 3 раза откачивали и продували большим потоком азота (99.999%, НИИ КМ). Далее печь продували потоком азота 50 мл·мин–1, а весовой блок — потоком защитного газа азота 20 мл·мин–1 и нагревали тигель с образцом со скоростью 1 град·мин–1 до 40°С, выдерживали 20 мин в режиме ожидания до установления показаний весов. Затем осуществляли нагрев со скоростью 5 град·мин–1 до 1000°С, попутно регистрируя сигналы ДТА (дифференциального термического анализа — тепловые эффекты), ТГ (термогравиметрии — изменение веса), ДТГ (дифференциальной термогравиметрии — скорость изменения веса). Для всех измерений осуществляли коррекцию базовой линии по измерению с пустым тиглем. Точность измерений (±3°С и 3% для определения энтальпии) обеспечена калибровками по температуре и чувствительности с помощью стандартов In, Sn, Bi, Zn, Al, Ag и Au. Калибровка по весу проведена с использованием внутреннего стандарта прибора. Все калибровки проверены измерением разложения гидрата оксалата кальция. Дифференциальную сканирующую калориметрию (ДСК) проводили с использованием прибора DSC 204 F1 (Netzsch, Selb) в диапазоне 20–300°C при постоянной скорости нагрева 10 град·мин–1 в токе аргона 100 мл·мин–1. Эксперимент проводили в корундовых тиглях. Масса образца составляла 20–30 мг. Перед проведением анализов были записаны базовые линии ТГ и ДСК при той же скорости нагрева. Элементный анализ выполнен на приборе EuroEA-3000 (EuroVector). Измерение pH проводили для образцов, приготовленных в тяжелой воде, методом последовательного разбавления из раствора 9.1 мг 96% серной кислоты в 400 мкл D2O, pH-метр pX-150, откалиброванный по трем точкам в соответствии со значениями стационарного измерителя pH МАРК-902А (Эталон-прибор). Температуру плавления измеряли на приборе ThermoFischer IA-9000 в запаянных капиллярах 0.8 × 200 мм в атмосфере аргона.
Получение твердых образцов сополимера через отверждение в массе. В толстостенную виалу на 20 мл помещали 650–750 мкмоль TGDMA и растворяли при перемешивании в сухом диметоксиэтане в атмосфере аргона так, чтобы концентрация реагента была примерно 1 М, быстро добавляли согласно пропорции количество 1 М раствор ДЭТА в абсолютном метаноле, убирали перемешивание, закрывали сосуд пробкой-септа и термостатировали его в силиконовой бане при 60°С. В качестве отводящей пары растворителя трубки был использован капилляр 0.8 × 200 мм, который заменяли на иглу, подающую инертный газ, во время охлаждения и отбора пробы (через 2, 4, 8, 16 и 24 ч). По окончании реакции смесь перенесли на фильтр Шотта, измельчили и промыли гексаном и метанолом, высушили в вакууме при остаточном давлении не более 8 мм рт. ст. и температуре 60°С до постоянной массы. Описание продуктов приведено в табл. 1.
Таблица 1. Характеристики продуктов сополимеризации TGDMA и DETA (от избытка эпоксида до эквимольной стехиометрии), полученных полимеризацией в массе*
Сополимер | Соотношение TGDMA:DETA | Условия реакции | Выход,1 % | Внешний вид полимера | Температура разложения,2 °С | Данные ПМР для экстракта чистого продукта |
TGDE-81 | 8:1 | 65°С, 54 ч | 94 | Прозрачная, твердая бесцветная смола | 297 | Сигналы соответствуют чистой эпоксирезине3 |
TGDE-41 | 4:1 | 65°С, 24 ч | 96 | Плотная белая с желтым оттенком смола | 297 | Все сигналы уширены, частично соответствуют эпоксирезине |
TGDE-21 | 2:1 | 65°С, 18 ч | 95 | Ломкая белая с желтым оттенком смола | 311 | Все сигналы уширены, есть сигналы CH2N для звена аминомономера |
TGDE-11m | 1:1 | 65°С, 16 ч | 91 | Рыхлая белая с желтым оттенком смола | 332 | Зарегистрированы только следы TGDMA. Основной продукт нерастворим в CDCl3 |
* 1 — выход полимера определяли по весу выделенного, промытого, высушенного в вакууме и доведенного до постоянной массы твердого остатка, без учета поглощенных полимером растворителей; 2 — для измерений в запаянном капилляре в атмосфере аргона; 3 — синтез и выделение полимерного TGDMA проводили аналогично при 65°С, 72 ч.
Синтез сополимеров со стехиометрией 1:1 и более через раствор. К 0.125 М раствору TGDMA в диметоксиэтане или диглиме в круглодоннной колбе, при перемешивании, в течение 1 мин прикапали 0.125–0.25 М раствор ДЭТА в метаноле, снабдили колбу обратным холодильником и грели (с отбором проб, в случае введения в смесь внутреннего стандарта). Раствор охладили в токе аргона, отфильтровали на фильтре Шотта и промыли петролейным эфиром и метанолом. Высушили в вакууме при остаточном давлении не более 8 мм рт. ст. и температуре 60°С до постоянной массы. Более подробное описание условий представлено в табл. 2.
Таблица 2. Характеристики продуктов сополимеризации TGDMA DETA (от стехиометрии 1:1 к избытку амина), полученных полимеризацией через раствор*
Сополимер | Соотношение TGDMA:DETA | Условия реакции | Выход,1 % | Внешний вид полимера | Температура разложения,2 °С | Данные ПМР для экстракта чистого продукта |
TGDE-11sa | 1:1 | 51°С, 72 ч, только DME | 83 | Светло-желтая плотная смола | 341 | Зарегистрированы только следы TGDMA. Основной продукт нерастворим в CDCl3 |
TGDE-11sb | 1:1 | 48–51°С, 14 ч, DME–MeOH 4:1 об. | 82 | Светло-желтая плотная смола | 340 | Зарегистрированы только следы TGDMA. Основной продукт нерастворим в CDCl3 |
TGDE-12sa | 1:2 | 48–51°С, 14 ч, DME–MeOH 4:1 об. | 87 | Светло-желтая рыхлая смола | 337 | Зарегистрированы только следы DETA. Основной продукт нерастворим в CDCl3 |
TGDE-12sb | 1:2 | 60°С, 72 ч, диглим–MeOH 4:1 об. | 77 | Светло-желтая рыхлая смола | 335 | Зарегистрированы только следы полимера. Основной продукт нерастворим в CDCl3 |
TGDE-14s | 1:4 | 48–51°С, 74 ч, DME–MeOH 4:1 об. | 62 | Светло-желтая плотная смола | 322 | Зарегистрированы только следы DETA. Основной продукт нерастворим в CDCl3 |
* 1 — выход полимера определяли по весу выделенного, промытого, высушенного в вакууме и доведенного до постоянной массы твердого остатка, с учетом поглощенных полимером растворителей; 2 — для измерений в запаянном капилляре в атмосфере аргона.
Оценка кинетики полимеризации методом ИК-спектроскопии. Аналогично предыдущему эксперименту навеску в колбе на 20 мл охлаждали в токе аргона, отбирали на 6-м, 14-м и 28-м часу нагревания и перемешивания 200 мкл раствора и сравнивали с контрольным экспериментом, в котором такое же количество компонент только перемешивали, но не нагревали. Эксперимент прекратили, как только в колбе появилось значимое количество неотбираемого пипеткой осадка.
Синтез сополимеров с 1,4,7-замещенными-1,4,7-триазагептанами (TAH) в соотношении 1:1 и более через раствор. Аналогично общей методике для ДЭТА смешивали 0.6–0.8 М раствор тетраэпоксида в диглиме или диметоксиэтане с 3-4 М раствором амина в метаноле, вводили стандарт и нагревали последовательно при 50, 60, 75, 95, 120°С, если проба показывала минимальные изменения состава. После охлаждения весь растворитель упаривали при пониженном давлении, остаток растворяли в смеси петролейного эфира и диметоксиэтана 3:1 об. Если осадок не образовывался, но раствор мутнел, то к раствору приливали холодный метанол и декантировали жидкость с выпавшего масла. Декантат упаривали, определяя количества непровзаимодействовавших реагентов. Масло длительное время высушивали в вакууме водоструйного насоса при 4 мм рт. ст. и 75°С.
Полимер TGDMA с DPBTAH (по стехиометрии 1:2). Из 97 мг эпоксида и 158 мг амина после нагревания 36 ч при 120°С было выделено 135 мг смеси исходных примерно в соотношении 1:2.2 и 95 мг темного масла полимера, застывающего при стоянии. Выход (без учета конверсии) 33%. Спектр ЯМР 1H (CDCl3), δ м. д.: 7.30 уш. м (Bn); 7.02 уш. м (PhNH); 6.71 уш. м (PhNH); 3.73–3.02 уш. м (PhCH2N, CHO); 2.82–2.41 уш. м (CH2N). ИК-спектр, ν, см–1: 3367, 2904, 1666, 1599, 1514, 1505, 1452, 1359, 1231, 1188, 1098, 1027, 906, 797, 746, 692.
Найдено (%): C 71.81, H 6.36, N 9.57.
C71H84N8O4·(CH3OH)4. Вычислено (%): C 72.55, H 8.12, N 9.02.
Полимер TGDMA с DPBTAH (по стехиометрии 1:1). Из 253 мг эпоксида и 251 мг амина после нагревания 96 ч при 80°С было выделено 215 мг смеси исходных примерно в соотношении 1:0.4 и 165 мг белого масла, застывающего при стоянии, плохо растворимого в органических растворителях. Выход (без учета конверсии) 38%. Спектр ЯМР 1H (CDCl3), δ м. д.: 7.3 уш. м (Bn); 7.0 уш. м (PhNH); 6.7 уш. м (PhNH); 3.8–3.0 уш. м (PhCH2N, CHO); 2.8–2.4 уш. м (CH2N). ИК-спектр, ν, см–1: 3379, 2915, 1599, 1514, 1505, 1382, 1337, 1231, 1188, 1098, 1027, 972, 946, 824, 795, 745, 693.
Найдено (%): C 71.11, H 7.92, N 10.44.
C71H84N8O4·(CH3OH)4. Вычислено (%): C 72.55, H 8.12, N 9.02.
Полимер TGDMA с DBBTAH (по стехиометрии 1:2). Из 94.1 мг эпоксида и 136 мг амина после нагревания 48 ч при 65–85°С было выделено 58 мг смеси исходных примерно в соотношении 1:2 и 131 мг светло-желтого масла, медленно застывающего при стоянии. Выход (без учета конверсии) 52%. Спектр ЯМР 1H (CDCl3), δ м. д.: 7.3 уш. м (Bn); 7.1 уш. м (PhNH); 6.7 уш. м (PhNH); 3.8–3.4 уш. м (PhCH2N, CHO); 2.8 уш. м (CH2N); 2.65–2.55 уш. м (CH2N); 1.12 уш. с (Me3C). ИК-спектр, ν, см–1: 3301, 2962, 1652, 1614, 1515, 1505, 1452, 1387, 1361, 1229, 1190, 1111, 1053, 1027, 959, 906, 825, 797, 733, 698.
Найдено (%): C 70.06, H 9.82, N 10.24.
C63H100N8O4·(CH3OH)3. Вычислено (%): C 70.17, H 9.99, N 9.92.
Полимер TGDMA с DBETAH (по стехиометрии 1:2). Из 93 мг эпоксида и 140 мг амина после нагревания 40 ч при 65–85°С было выделено 42 мг смеси исходных примерно в соотношении 1:2.1 и 135 мг рыхлого бежевого порошка, темнеющего на воздухе. Выход (без учета конверсии) 55%. Тпл = 309–315°С (разл.). Спектр ЯМР 1H (CDCl3), δ м. д.: 7.3 уш. м (Bn); 7.0 уш. м (PhNH); 6.7 уш. м (PhNH); 3.8–3.2 уш. м (PhCH2N, CHO); 3.1 уш. м (NH); 2.8 уш. м (EtN); 2.6 уш. м (CH2N); 1.0 уш. м (EtN). ИК-спектр, ν, см–1: 3363, 2815, 2359, 1613, 1514, 1494, 1451, 1362, 1226, 1188, 1073, 1050, 1026, 971, 910, 796, 737, 698.
Найдено (%): C 72.40, H 8.15, N 10.55.
C65H88N8O4·(CH3OH)2. Вычислено (%): C 72.53, H 8.72, N 10.10.
Обсуждение результатов
При получении сополимеров TGDMA и DETA мы варьировали соотношение сомономеров. Для получения образцов, как уже описанных в литературе, где соотношение TGDMA:DETA составляет 2:1 и больше (до 8:1), так и ранее не описанного в соотношении 1:1, синтез проводили согласно методике, приведенной в работах [11, 12], а именно при смешении раствора амина в метаноле и раствора TGDMA в диметоксиэтане. Характеристики полученных сополимеров приведены в табл. 1.
Отметим, что свойства сополимеров с соотношением TGDMA:DETA 8:1 и 4:1 практически не отличаются от свойств гомополимера TGDMA. При увеличении количества триамина до 2:1 и 1:1 меняются механические свойства смолы (она становится более хрупкой).
В соответствии с предлагаемой в работе [13] методикой синтеза мы изменили условия реакции и ввели компоненты в раствор в DME или в диглиме в стехиометрических соотношениях для получения сополимеров с соотношением TGDMA:DETA 1:1 и меньше (до 1:2), оптимизировали условия и получили новые сополимеры согласно разработанной препаративной процедуре. Общая схема сополимеризации представлена на рис. 1, выходы реакций и характеристики продуктов приведены в табл. 2. Время окончания реакции определялось по окончанию расходования DETA (по данным ЯМР).
Рис. 1. Общая схема сополимеризации TGDMA и DETA с образованием сверхсшитой структуры полимера.
Кроме того, для более точного установления времени реакции в одном случае был проведен эксперимент с двойным контролем: по остаточной концентрации исходного вещества в спектре ЯМР 1H и по данным ИК-спектров образцов реакционной смеси. Эксперимент проводили для соотношения TGDMA:DETA 1:2 в условиях: DME–метанол, 50°С. Анализ данных ИК-спектра сополимера согласно подходу работы [14] и данные спектров исходных мономеров позволили выбрать характеристическую полосу поглощения, подходящую для оценки степени превращения (рис. 2).
Рис. 2. Фрагмент ИК-спектра TGDE-12sa c соотнесенными полосами, выбранными для наблюдения (а), сравнение фрагментов ИК-спектров в стартовой и конечной точках (продукт полимеризации) (б), зависимость относительной интегральной интенсивности А1044/А1515 от времени протекания реакции (в).
При конверсии мономеров полоса поглощения при 1514 ± 2 см–1, относящаяся к колебательному переходу фрагмента N–Ph–CH2–Ph–N, практически не смещается для растворимой части продуктов и не изменяется даже в спектре твердого продукта, следовательно, не зависит от концентрации и может быть использована в качестве внутреннего стандарта. Тогда как интенсивность полосы 1044 ± 2 см–1 для вторичных спиртов N–CH2–CH(OH)–CH2–N–Ph со временем нарастает. Учет изменение ее вклада в суммарный спектр смеси позволил дать приблизительную оценку скорости накопления продукта полимеризации (рис. 2).
Важной характеристикой полимера является молекулярная масса. К сожалению, оценить среднюю молекулярную массу полимера таким методом, как гельпроникающая хроматография, в случае сверхсшитого полимера практически невозможно, так как растворимость такого рода полимера в органических растворителях крайне низкая. Для подтверждения того, что полученный полимер в соотношениях TGDMA:DETA 1:1 и 1:2 относится к типу сверхсшитых, мы провели оценку степени набухания образцов сополимера в ацетонитриле, ДМФА, метаноле и воде. Результаты представлены в табл. 3. Отметим крайне малую степень набухания, что свидетельствует от сверхсшитости сополимеров, а также тот факт, что изученные сополимеры более склонны к взаимодействиям с протонными растворителями, чем с полярными апротонными (табл. 3). Последнее можно объяснить как повышением степени гидрофилизации полимера за счет введения в его структуру фрагментов полиаминного типа, так и за счет обмена абсорбированного метанола и диметоксиэтана на большее число молекул воды.
Таблица 3. Оценка степени набухания синтезированных полимеров в различных растворителях при 23°С, % от загруженной массы (±2%)
Сольвент | TGDE-11sb | TGDE-12sa | TGDE-14s | поли-TGDM |
Ацетонитрил | 4 | 5 | 5 | нет |
ДМФА | 5 | 5 | 6 | 2 |
Метанол | 3 | 5 | 6 | нет |
Вода | 5 | 6 | 10 | нет |
Для выделенных в ходе серии экспериментов сополимеров при соотношениях TGDMA:DETA (1:1, 1:2 и 1:4) был изучен элементный состав, который подтвердил практически стехиометрический состав образцов в соответствии с соотношением, но с некоторыми отклонениями в составе, которые указывают в пользу побочно протекающей реакции амина со свободными эпоксидными фрагментами, а также в пользу захвата молекул растворителя сополимером (табл. 4).
Таблица 4. Найденный состав некоторых продуктов сополимеризации TGDMA и DETA*
Сополимер | Стехиометрия сополимеров TGDMA:DETA | Найденный мольный избыток1 DETA | Найденный растворитель, содержание в полимере2 |
TGDE-11sa | 1:1 | 15 | MeOH (10%) |
TGDE-12sa | 1:2 | 6 | MeOH (13%) |
TGDE-12sb | 1:2 | нет | Диглим (21%) |
TGDE-14s | 1:4 | нет | MeOH (3%) DME (7%) |
* 1 — мольный процент свыше предполагаемого состава, заложенного стехиометрией реагентов; 2 — по отношению к общей массе полимера.
По данным термогравиметрии и дифференциальной сканирующей калориметрии, образцы полимеров состава 1:1 и 1:2 начинают терять растворитель уже примерно при 80–100°C, превращаясь в еще более сверхсшитый полимер [12] (рис. 3–5). Свободные аминогруппы в полимере способны дополнительно участвовать в реакции нуклеофильного раскрытия эпоксидного цикла, образуя сложные сшивки как внутри одного блока сополимера, так и с соседними, а также близлежащими остатками (рис. 1). Этот процесс не настолько экзотермичен, как сам процесс отверждения эпоксидной смолы, и композит остается стабилен вплоть до температуры 200°C и более. Один из образцов состава 1:1 TGDE-11sa был специально получен в отсутствие метанола, что, по данным ДСК, не привело к значительным изменениям в энергиях переходов, а скорее сепарировало процессы перестройки структуры полимера и десорбции менее прочно связанного с ним диметоксиэтана. По данным ТГ-ДТА, изменения массы для образцов TGDE-12sb и TGDE-11sa в диапазоне 80–260°C составили ~9 и 4%, что приходится на потерю полимером молекул диглима и метанола соответственно. Изученные сополимеры разлагаются выше 340°C и имеют примерно одинаковую стабильность.
Рис. 3. Кривые ДСК для образцов полимеров TGDE-12sb (1), TGDE-12sa (2), TGDE-11sb (3), TGDE-11sa (4).
Рис. 4. Кривые ТГ-ДТА для TGDE-12sb.
Рис. 5. Кривые ТГ-ДТА для TGDE-11sa.
С целью понимания роли и влияния заместителей при нуклеофильных центрах, их стереоэлектронной природы на кинетику образования сополимера и на состав высокомолекулярных продуктов использовали серию соединений на базе семейства дизамещенных аминов, ранее описанных нами [10].
Синтез и выделение проводили аналогично незамещенному амину, однако реакции требуют более жестких условий. Были изучены следующие соотношения: DPBTAH:TGDMA 1:1 и 2:1, DPBTAH:TGDMA 2:1 и DBETAH:TGDMA 2:1 Найдено, что реакция для DPBTAH протекает быстрее при большем количестве амина. Все четыре полученных полимера представляют собой масла, которые при сушке и последующем охлаждении медленно стекловались. За счет гидрофобизации аминосодержащего фрагмента все полимеры хорошо высаживаются из неполярных растворителей метанолом. Выход конечного продукта составляет от среднего до хорошего с учетом конверсии исходных (см. Экспериментальную часть). Все сополимеры относятся к растворимым в полярных органических жидкостях и, по всей видимости, имеют невысокие значения среднемолекулярной массы, что позволяет регистрировать для них спектры ЯМР. Выходы, результаты элементного анализа этих соединений и их спектральные данные представлены в табл. 5. N-Арилзамещенный аналог диэтилентриамина показал худшую реакционную способность, в то время как оба алифатических амина прекрасно реагируют с TGDMA.
Таблица 5. Характеристики продуктов сополимеризации TGDMA и 1,4,7-тризамещенных производных TAH, полученных полимеризацией через раствор
Амин | Стехиометрия TGDMA:TAH | Условия реакции | Выход, % | Конверсия, % | Состав полимера по данным ЭА | Найденный растворитель, содержание в полимере* |
DPBTAH | 1:2 | 120°С, 36 ч, диглим–MeOH 5:1 об. | 33 | 50 | 1:2 | CH3OH (10%) |
DPBTAH | 1:1 | 80°С, 96 ч, DME–MeOH 5:1 об. | 38 | 51 | 1:2 | CH3OH (10%) |
DBBTAH | 1:2 | 65–85°С, 48 ч, DME–MeOH 5:1 об. | 52 | 75 | 1:2 | CH3OH (8%) |
DBETAH | 1:2 | 65–85°С, 40 ч, DME–MeOH 5:1 об. | 55 | 82 | 1:2 | CH3OH (5%) |
* По отношению к общей массе полимера.
При проведении эксперимента по набуханию для полимеров серии TGDE-12 и TGDE-11 было обнаружено обратимое изменение окраски водных растворов с бесцветной на голубую при переходе в диапазон кислых значений pH. При этом растворимость соединения значительно улучшалась, особенно для TGDE-12, что согласуется с составом и количеством введенных в полимер гидрофильных остатков. Серия экспериментов показала, что ни исходный мономер, ни чистая эпоксидная смола, а также прекурсоры не приводят к значимому изменению окраски раствора вследствие плохой растворимости органического соединения или низкой скорости раскрытия эпоксидных фрагментов. При значениях pH < 1 твердая структура TGDE-12 и TGDE-11 начинает ощутимо разрушаться, вещества солюбилизируются, при pH > 8 происходит седиментация бесцветного порошка полимера из раствора.
На рис. 6 представлены изменения химических сдвигов протонов диэтилентриаминового остова, которые заметно сдвигаются в слабое поле относительно внутреннего стандарта, нечувствительного к изменению pH среды. Также хорошо видно увеличение интенсивности сигнала в протонном спектре ЯМР вследствие возросшей растворимости полимера. Время появления окраски для полимеров разного состава практически не различается.
Рис. 6. Фрагменты спектров ЯМР 1H c сигналами CH2N TGDE-11sb (а) и TGDE-12sb (б) в D2O при 27°С для трех значений pH, сmax полимера в образцах 0.44 и 0.35 мМ соответственно.
Выводы
Найдены условия для получения новых сополимеров тетраглицидил-пара-метилендианилина с диэтилентриамином состава 1:1, 1:2 и 1:4 соответственно. Определены границы термостабильности этих полимеров. Показано, что вторичные бис-замещенные (аминоэтил)бензил- или этиламины также способны давать полимерные композиты, но в более жестких условиях и с меньшими выходами продукта.
Благодарности
Авторы выражают признательность научному сотруднику кафедры физической химии МГУ им. М. В. Ломоносова к.х.н. Я. Б. Платоновой за подбор условий эксперимента, выполнение и расшифровку анализа термической стабильности образцов.
Статья публикуется в авторской редакции.
Финансирование работы
Исследование выполнено в рамках КНТП, утвержденной Распоряжением Правительства Российской Федерации от 04.07.2023 г. №1789-р. по мероприятию «Новые композиционные материалы: технологии конструирования и производства» при финансовой поддержке Минобрнауки России по Соглашению от 28 августа 2023 г. № 075-15-2023-616 (внутренний номер 14.1789.23.0014/КНТП) с использованием оборудования ЦКП МГУ имени М. В. Ломоносова.
Конфликт интересов
Авторы заявляют об отсутствии конфликта интересов, требующего раскрытия в данной статье.
About the authors
В. Н. Нуриев
Московский государственный университет им. М. В. Ломоносова
Author for correspondence.
Email: nvn@org.chem.msu.ru
ORCID iD: 0000-0002-0915-7894
к.х.н., доцент
Russian Federation, 119991, ГСП-1, Москва, Ленинские горы, д. 1, стр. 3М. У. Агаева
Московский государственный университет им. М. В. Ломоносова
Email: nvn@org.chem.msu.ru
ORCID iD: 0009-0004-1881-4579
Russian Federation, 119991, ГСП-1, Москва, Ленинские горы, д. 1, стр. 3
Б. Н. Манкаев
Московский государственный университет им. М. В. Ломоносова
Email: nvn@org.chem.msu.ru
к.х.н.
Russian Federation, 119991, ГСП-1, Москва, Ленинские горы, д. 1, стр. 3С. В. Тимофеев
Московский государственный университет им. М. В. Ломоносова
Email: nvn@org.chem.msu.ru
ORCID iD: 0000-0002-6699-7910
к.х.н., доцент
Russian Federation, 119991, ГСП-1, Москва, Ленинские горы, д. 1, стр. 3Б. Н. Тарасевич
Московский государственный университет им. М. В. Ломоносова
Email: nvn@org.chem.msu.ru
ORCID iD: 0000-0001-7420-7934
к.х.н., доцент
Russian Federation, 119991, ГСП-1, Москва, Ленинские горы, д. 1, стр. 3A. К. Беркович
Московский государственный университет им. М. В. Ломоносова
Email: nvn@org.chem.msu.ru
ORCID iD: 0000-0002-6909-0791
к.х.н.
Russian Federation, 119991, ГСП-1, Москва, Ленинские горы, д. 1, стр. 3С. С. Карлов
Московский государственный университет им. М. В. Ломоносова
Email: s.s.karlov@chemistry.msu.ru
ORCID iD: 0000-0001-5243-5397
д.х.н., проф.
Russian Federation, 119991, ГСП-1, Москва, Ленинские горы, д. 1, стр. 3References
- van Innis C., Budzik M. K., Pardoen T. Ultra-tough architected adhesive joints for integrated composite processing and bonding // Composites. Part A: Applied Science and Manufacturing. 2024. V. 177. P. 107949. https://doi.org/10.1016/j.compositesa.2023.107949
- Sterligov G. K., Rzhevskiy S. A., Isaeva D. K., Belov N. M., Rasskazova M. A., Drokin E. A., Topchiy M. A., Minaeva L. I., Babkin A. V., Erdni-Goryaev E. M., Kepman A. V., Asachenko A. F. The physicochemical characterization of new «green» epoxy-resin hardener made from PET waste // Polymers. 2022. V. 14. N 20. 4456. https://doi.org/10.3390/polym14204456
- Cheng X., Han Q., Yue B., Shi M., Yang C. Self-assembled nano-polymers modified water-based sizing agent for enhancing the dual interfacial properties of carbon fibre/epoxy resin composites // Composites. Part B: Engineering. 2023. V. 262. 110828. https://doi.org/10.1016/j.compositesb.2023.110828
- Markley F., Forster G. A., Booth R. Radiation damage studies of zero gradient syncijrotron magnet insulation and related materials // IEEE Transactions on Nuclear Science. 1969. V. 16. N 3. P. 606–610. https://doi.org/10.1109/TNS.1969.4325312
- Maierhofer T., Loukaides E. G., Carr C., Bisagni C., Butler R. Resistance-welded thermoset composites: A Bayesian approach to process optimisation for improved fracture toughness // Composites. Part A: Applied Science and Manufacturing. 2024. V. 177. 107894. https://doi.org/10.1016/j.compositesa.2023.107894
- Patel S. R., Patel R. G. Glass fiber-reinforced epoxy composites // Die Angewandte Makromolekulare Chemie. 1992. V. 197. N 1. P. 141–147. https://doi.org/10.1002/apmc.1992.051970112
- Patel S. R., Patel R. G. Properties of glass-fibre-reinforced composites of epoxy resins cured with different amines // High Performance Polymers. 1993. V. 3. N 4. P. 231–236. https://doi.org/10.1088/0954-0083/3/4/002
- Patel K. J., Amin K. G., Patel R. G., Patel V. S. Properties of glass-fibre reinforced epoxy composites of tetrafunctional epoxy resin // Int. J. Polym. Mater. Polym. Biomater. 1998. V. 41. N 1–2. P. 37–44. https://doi.org/10.1080/00914039808034852
- Toivola R., Lai P. N., Yang J., Jang S. H., Jen A. K. Y., Flinn B. D. Mechanochromic fluorescence in epoxy as a detection method for barely visible impact damage in CFRP composites // Composites. Sci. Technol. 2017. V. 139. P. 74–82. https://doi.org/10.1016/j.compscitech.2016.11.026
- Agaeva M. U., Mankaev B. N., Filippenko V. I., Serova V. A., Egorov M. P., Karlov S. S. A convenient synthesis of N,Nʹ,Nʺ-trisubstituted diethylenetriamines // Mendeleev Commun. 2023. V. 33. N 2. P. 157–159. https://doi.org/10.1016/j.mencom.2023.02.003
- Patel S. R., Patel R. G. Comparative studies on the curing kinetics and thermal stability of tetrafunctional epoxy resins using various amines as curing agents // J. Thermal Analysis. 1993. V. 39. N 2. P. 229–238. https://doi.org/10.1007/bf01981736
- Yu S., Li X., Zou M., Guo X., Ma H., Wang S. Effect of the aromatic amine curing agent structure on properties of epoxy resin-based syntactic foams // ACS Omega. 2020. V. 5. N 36. P. 23268–23275. https://doi.org/10.1021/acsomega.0c03085
- Pat. US 7985424 B2 (publ. 2005). Dendritic polymers with enhanced amplification and interior functionality.
- Colthup N. B., Daly L. H., Wiberley S. E. Introduction to Infrared and Raman spectroscopy. 3rd Еd. Acad. Press, INC., 1990. P. 327–339.
Supplementary files










