Полимерсодержащие катализаторы в селективном гидрировании левулиновой кислоты и фурфурола (обзор)
- Authors: Теренина М.В.1, Кардашева Ю.С.1, Соколов Д.В.1, Синикова Н.А.1, Хорошутин А.В.1, Дубиняк А.М.1, Куликов Л.А.1, Караханов Э.А.1
-
Affiliations:
- Московский государственный университет им. М. В. Ломоносова
- Issue: Vol 97, No 9-10 (2024)
- Pages: 592-613
- Section: Articles
- URL: https://ogarev-online.ru/0044-4618/article/view/280849
- DOI: https://doi.org/10.31857/S0044461824090019
- EDN: https://elibrary.ru/IKMBJU
- ID: 280849
Cite item
Full Text
Abstract
Гидрирование фурфурола и левулиновой кислоты — это сложный многостадийный процесс, протекающий с образованием большого числа продуктов. Разработка эффективных каталитических систем селективного гидрирования левулиновой кислоты и фурфурола имеет большое практическое значение, поскольку продукты этих превращений — фурфуриловый спирт и γ-валеролактон — являются востребованным сырьем для получения смол, растворителей, пластмасс, клеев, ингибиторов коррозии, полимеров и др. В обзоре обобщены сведения об использовании гетерогенных катализаторов на основе органических полимерных носителей в селективном гидрировании фурфурола и левулиновой кислоты в фурфуриловый спирт и γ-валеролактон соответственно. При проведении процесса селективного гидрирования фурфурола и левулиновой кислоты в условиях повышенного давления водорода используются пористые полимеры с развитой поверхностью, которые могут быть модифицированы функциональными группами для оптимизации кислотных свойств и эффективного закрепления активного металла. В трансферном гидрировании с наибольшей эффективностью применяются полимерные катализаторы, в состав которых входят кислородсодержащие хелатирующие функциональные группы, решающее влияние на активность катализатора оказывает соотношение и сила кислотных центров полимерной матрицы. Использование органических полимеров в качестве носителей для гетерогенных катализаторов гидрирования фурфурола и левулиновой кислоты имеет значительные перспективы развития, обусловленные широкими возможностями получения материалов нужной пористости и модифицирования поверхности путем применения различных исходных соединений и подходов к синтезу, что позволяет создавать на их основе катализаторы, устойчивые к дезактивации и отличающиеся высокой активностью и селективностью по отношению к целевому продукту гидрирования. Основной проблемой разработки новых полимерных каталитических систем является сложность синтеза полимерных подложек. С этой точки зрения заметным потенциалом обладают природные полимеры (гуминовые кислоты, лигнин), получаемые из возобновляемых природных источников.
Full Text
Введение
Сокращение запасов ископаемых энергоресурсов (уголь, нефть, природный газ) приводит к необходимости поиска новых альтернативных возобновляемых источников энергии и ресурсов. Важным и перспективным направлением развития химических технологий является разработка методов получения из биомассы — возобновляемого растительного сырья — биотоплив (бионефти) и ценных химических сырьевых продуктов [1]. Фурфурол и левулиновая кислота являются важными базовыми соединениями, также получаемыми при переработке биомассы. Эти вещества можно использовать в качестве исходных соединений для синтеза биодобавок к углеводородному моторному топливу, повышающих октановое число, температуру вспышки, изменяющих вязкость и плотность [2, 3]. Кроме топливных добавок из фурфурола и левулиновой кислоты путем гидрирования, окисления или конденсации можно получать целый ряд химических веществ, широко применяемых в качестве растворителей, агрохимикатов, ароматизаторов, фармацевтических препаратов и др. [4, 5].
В настоящее время накоплено большое количество научно-технических данных по переработке фурфурола и левулиновой кислоты в продукты с высокой добавленной стоимостью с использованием разнообразных каталитических систем, как гомогенных, так и гетерогенных (см., например, [6, 7]). Среди продуктов, получаемых из фурфурола и левулиновой кислоты, наиболее заметное место (в количественном выражении) занимают фурфуриловый спирт и γ-валеролактон, которые в свою очередь являются сырьем для получения смол, растворителей, пластмасс, клеев, ингибиторов коррозии, полимеров и др. (см., например, [8, 9]). Оба этих продукта получают путем селективного гидрирования.
Гетерогенный катализ является эффективным и экономичным процессом химической трансформации биомассы [4]. В условиях гетерогенного катализа селективность процессов в значительной мере определяется выбором активной фазы катализатора. Выбор носителя для гетерогенизации металлокатализатора также немаловажен, поскольку, помимо того, что он способен оказывать влияние на селективность процесса, от носителя зависит стабильность работы катализатора и его устойчивость к дезактивации [10]. Наиболее часто используемыми типами носителей для катализаторов гидрирования базовых соединений, получаемых из биомассы, в частности фурфурола и левулиновой кислоты, являются оксидные и углеродные материалы в силу их дешевизны и доступности (см., например, [11, 12]). Их применение не лишено недостатков, связанных со сложностью массопереноса в реакционной среде ввиду микропористой структуры большинства таких носителей. Развитие методов синтеза и технологий определения структурных характеристик способствовало разработке металлических катализаторов, нанесенных на более сложные микроструктурные или гибридные композиты, функционализированные носители с подходящей микроструктурой или сильным взаимодействием с активной фазой, к которым относятся ковалентные каркасные структуры, металлоорганические каркасы, пористые органические полимеры [13–15]. Последние выделяются на общем фоне широкими возможностями получения нужной пористости и модифицирования поверхности путем использования различных исходных соединений и подходов к синтезу, что позволяет создавать на их основе катализаторы, устойчивые к дезактивации и отличающиеся не только высокой активностью, но и селективностью по отношению к целевому продукту гидрирования [14]. Сами по себе пористые органические полимеры практически не обладают каталитической активностью, но благодаря их структурным характеристикам (высокая удельная площадь поверхности, регулируемый размер пор, сшитая трехмерная структура и др.) они могут стабилизировать каталитически активные центры — наночастицы металлов и оксидов металлов, а также позволяют добиться высокой дисперсности наночастиц, внедренных в их структуру [16].
В обзоре приведено обобщение и анализ имеющихся в литературе данных об использовании гетерогенных катализаторов на основе органических полимерных носителей для селективного гидрирования фурфурола и левулиновой кислоты в фурфуриловый спирт и γ-валеролактон соответственно.
Цель работы — оценка перспективы применения полимерных материалов в качестве носителей для катализаторов селективного гидрирования фурфурола и левулиновой кислоты в фурфуриловый спирт и γ-валеролактон соответственно. Поиск проводился по базам данных Scopus и Web of Science за последние 25 лет по ключевым словам селективное гидрирование, органические полимерные носители, фурфурол, левулиновая кислота, фурфуриловый спирт, γ-валеролактон.
Гидрирование фурфурола до фурфурилового спирта
В настоящее время около 50% производимого фурфурола используется для синтеза фурфурилового спирта, который в свою очередь применяется в полимерной, парфюмерной, фармацевтической и биохимической промышленности, как компонент моторного топлива (алкиллевулинат).1 В процессе гидрирования фурфурола до фурфурилового спирта может протекать множество побочных реакций, таких как образование тетрагидрофурфурилового спирта, 2-метилфурана и др. [17, 18].
Одно из первых упоминаний применения гетерогенных полимерных катализаторов для селективного гидрирования фурфурола до фурфурилового спирта приводится в [19]. Авторы использовали комплекс палладия с меламино-формальдегидным полимерным лигандом (I), привитым на MgO, в гидрировании широкого спектра субстратов. Процесс гидрирования фурфурола протекает хоть и с небольшой скоростью (TOF = 144 ч–1), но с практически 100%-ной селективностью по фурфуриловому спирту и в крайне мягких условиях (30°С при атмосферном давлении водорода).
(I)
Часто на палладиевых катализаторах наблюдается более глубокое гидрирование — до тетрагидрофурфурилового спирта (см., например, [20–22]), однако немало и удачных примеров селективного гидрирования до фурфурилового спирта [23]. Так, в [24] описан высокоселективный гетерогенный катализатор для этого процесса на основе Pd-содержащих наночастиц магнетита, инкапсулированных в матрицах сверхразветвленного пиридилфениленового полимера (II) и линейного полифенилхиноксалина (III). Наибольшая селективность, составляющая 99.3% при почти 100%-ной конверсии фурфурола, достигается при использовании палладиевых частиц, стабилизированных в жесткой структуре гиперразветвленного полимера (II) при температуре 120°С и давлении водорода 6 МПа в изопропаноле в качестве растворителя; частота оборотов при этом составляет 871 мин–1. Аналогичные платиновые катализаторы оказались гораздо менее активны и селективны. Авторы выяснили, что структура полимера оказывает заметное влияние на активность катализатора — гиперразветвленный полимер (II) обеспечивает лучший доступ к каталитическим центрам по сравнению с линейным полимером (III), что приводит к более высокой каталитической активности. Наличие магнитного сердечника позволяет выделять катализатор из реакционной среды и использовать его многократно — в течение пяти циклов активность катализатора не снижалась, и содержание палладия оставалось на первоначальном уровне.
(II)
(III)
Среди полимерных носителей для гетерогенных катализаторов заметное место занимают пористые сшитые полимеры, поскольку представляют собой крупнотоннажные продукты, обладающие контролируемыми характеристиками пористости и высокой механической прочностью [25]. Один из типов таких полимеров — сверхсшитый полистирол — характеризуется большой площадью поверхности и наличием жесткой пористой структуры, благодаря которой может быть использован как наноструктурированная матрица для стабилизации наночастиц металлов [11].
Микро/мезопористый сверхсшитый полистирол был успешно использован для закрепления наночастиц палладия, которые исследовались в качестве катализаторов гидрирования фурфурола в фурфуриловый спирт [26]. Установлено, что на активность катализатора значительное влияние оказывает дисперсность частиц металла, которая в свою очередь зависит от используемого прекурсора палладия. Из ацетата палладия наночастицы образовывались большего размера и менее однородные по размеру, тогда как использование гидрофобного PdCl2(CH3CN)2 приводило к получению монодисперсных частиц со средним диаметром 5.4 нм. Сравнение каталитической активности полученных образцов показало, что в присутствии более дисперсного катализатора наблюдались и более высокие значения конверсии субстрата (56 против 36%) и селективности (87 против 84%) по фурфуриловому спирту, значение числа оборотов реакции (TOF) достигало 128 против 83.7 ч–1. Вместе с тем в более раннем исследовании той же группы ученых [27] утверждалось, что на палладиевом катализаторе, полученном в матрице сверхсшитого полистирола из PdCl2 с размером частиц 25–30 нм, конверсия фурфурола составила более 95% с селективностью по фурфуриловому спирту более 94% в идентичных вышеописанным условиях (при температуре 120°С и давлении водорода 6 МПа), в то время как мелкодисперсный катализатор, полученный из PdCl2(CH3CN)2, оказался менее активным и селективным. Легирование палладиевых частиц, полученных из PdCl2(CH3CN)2, медью [28] позволило довести конверсию фурфурола до количественной с селективностью по фурфуриловому спирту более 95%. Авторы установили, что оптимальные показатели достигаются при мольном соотношении Pd:Cu = 1:1.7, а изменение этого соотношения приводит к снижению селективности по фурфуриловому спирту и увеличению доли других соединений в продуктах (тетрагидрофурфуриловый спирт, фуран и 2-метилфуран). Предполагается, что легирование медью приводит к изменению электронной структуры частиц палладия в биметаллической системе, снижая скорость декарбонилирования и одновременно увеличивая скорость гидрирования. При изучении механизма реакции биметаллических наночастиц Pd-Cu было обнаружено, что присутствие Cu улучшает селективность по отношению к фурфуриловому спирту, тогда как Pd в основном увеличивает конверсию фурфурола. Стабильность работы биметаллического катализатора также оказалась весьма высокой — активность сохранялась на неизменном уровне в течение десяти последовательных циклов.
Рутениевые наночастицы, иммобилизованные в матрице сверхсшитого полистирола, проявляют схожие каталитические свойства [29] — конверсия фурфурола 99%, селективность по фурфуриловому спирту 96% в условиях, идентичных вышеописанным. Отмечается, что в данном случае Ru0 более предпочтителен, а катализатор, содержащий RuO2, оказывается менее активным и селективным.
Довольно часто для селективного получения фурфурилового спирта из фурфурола, как и для синтеза γ-валеролактона из левулиновой кислоты, который будет рассмотрен ниже, используется процесс трансферного гидрирования (или гидрирования с переносом водорода, реакция Меервейна–Понндорфа–Верлея), где донором протонов служит изопропиловый спирт. Полагают, что механизм гетерогенной реакции включает координацию донора водорода с электронодефицитными кислотными центрами Льюиса и его депротонирование с образованием поверхностного алкоксида. Одновременно происходит координация карбонильной группы на соседних центрах, что облегчает образование циклического шестичленного переходного состояния и способствует протеканию трансферного гидрирования [30–33]. Описано множество гетерогенных катализаторов этой реакции — алкоксиды металлов, комплексы металлов, гидротальциты, оксиды или гидроксиды металлов, металлоорганические гибриды и различные цеолиты [34, 35]; широко используются в этом процессе металлоорганические катализаторы на основе Zr [33]. В последние годы появилось значительное количество работ, описывающих полимерные гетерогенные катализаторы трансферного гидрирования, общей особенностью которых можно назвать наличие кислородсодержащих хелатирующих групп. Поскольку значительное влияние на реакцию Меервейна–Понндорфа–Верлея оказывают кислотно-основные свойства катализатора, внимание исследователей, разрабатывающих катализаторы для этой реакции, в большой степени уделяется регулированию этой характеристики материала.
(IV)
В работе [36] была синтезирована серия органо-неорганических композитных циркониевых гетерогенных катализаторов с различным соотношением кислотных центров Льюиса и Бренстеда. Обогащенные кислородсодержащими группами полиолефины, привитые на поверхность мезопористого кремнезема, были использованы в качестве лигандов для координации с частицами Zr4+ (IV). В качестве мономеров для получения полиолефиновых фрагментов применялись функциональные олефины с различным типом и плотностью кислородсодержащих групп (—COOH, —SO3H и —OH). Наилучшие каталитические характеристики в трансферном гидрировании фурфурола в изопропаноле показал материал, синтезированный с использованием дикарбоновой малеиновой кислоты. Кроме того, существенное значение имела кислотность среды при синтезе катализатора — оптимальные кислотно-основные характеристики достигались при pH около 0.2. Основной продукт — фурфуриловый спирт — с высоким выходом 96% и высокой селективностью 98% был получен при 85°С за 8 ч. При повторном использовании выход фурфурилового спирта постепенно снижался с 96 в 1-м цикле до 84% в 4-м, но при регенерации катализатора промывкой метанолом восстанавливался до 91 и 89% в 5-м и 6-м циклах соответственно. При этом вымывания частиц Zr4+ в реакционную среду практически не наблюдалось [36].
Q. Liu с сотр. [37] использовали смесь гуминовых кислот (как коммерческую, так и полученную непосредственно экстракцией из бурого угля) в качестве биополимерного макролиганда для координации с частицами Zr4+. В случае обоих вариантов катализатора был достигнут высокий выход фурфурилового спирта (более 90%) при температуре ниже 100°С и продемонстрирован высокий уровень стабильности в течение 7 циклов.
(V)
Еще один удачный пример использования биополимера для получения эффективного катализатора селективного трансферного гидрирования фурфураля описан в [38]. В этой работе Zr-содержащий полифенольный биополимерный катализатор (V) получали при взаимодействии побочного продукта бумажной промышленности лигносульфоната (LS) с ZrCl4 в гидротермальных условиях. Авторы полагают, что сильная координация между Zr4+ и фенольными гидроксильными группами в лигносульфонате приводит к образованию сильных кислотно-основных пар Льюиса (Zr4+–O2–) и пористой неорганической–органической каркасной структуры (мезопоры со средним диаметром 6.1 нм), тогда как сульфоновые группы лигносульфоната могут служить кислотными центрами Бренстеда. Комбинированное действие этих кислотно-основных центров в структуре (V) обеспечивает высокие показатели выходов целевых продуктов в реакции трансферного гидрирования широкого спектра химикатов биологического происхождения в мягких условиях (80°C), особенно для селективного преобразования фурфурола в фурфуриловый спирт с близким к количественному выходом (96%) и высокой скоростью (9600 мкмоль·г–1·ч–1 и TOF 4.37 ч–1). Активность катализатора сохранялась по крайней мере в течение 7 реакционных циклов.
Природный лигнин, в составе которого имеется большое число гидроксильных групп, в комбинации с нановолокнами полиакрилонитрила также оказался весьма подходящим носителем для конструирования циркониевого катализатора гидрирования фурфурола [39]. Лигнин способствует координации между ионами циркония и нановолокнами полиакрилонитрила с образованием кислотных и основных центров Льюиса, что обусловливает высокую каталитическую активность в трансферном гидрировании фурфурола в фурфуриловый спирт с выходом 96% и высоким значением TOF 15.1 ч–1. Кроме того, катализатор не терял активности при многократном использовании.
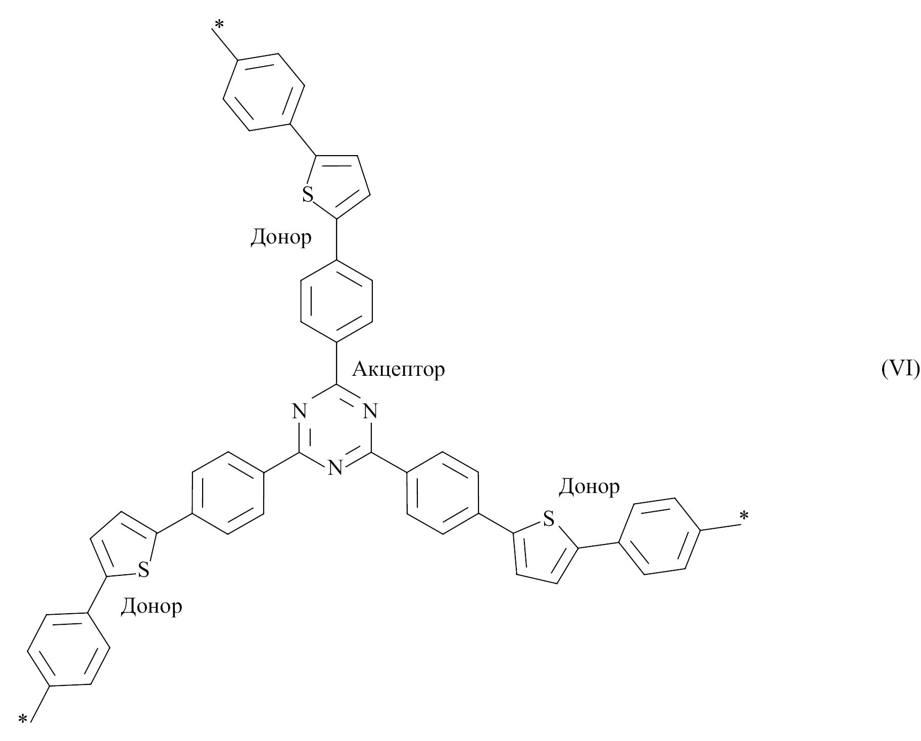
Интересный пример не содержащего металл полимерного катализатора селективного трансферного гидрирования фурфурола описан в [40]. Тиофенсодержащий ковалентный триазиновый полимер (VI) эффективно катализирует фотокаталитическое гидрирование под воздействием видимого света. За счет чередования тиофеновых и триазиновых фрагментов возникает уникальная донорно-акцепторная структура, которая способствует делокализации π-электронов и усиливает разделение зарядов. Гидрирование проводили в водном растворе аскорбиновой кислоты, выступавшей донором протонов, скорость преобразования фурфурола в фурфуриловый спирт составила 0.5 ммоль·г–1·ч–1. Стабильность работы катализатора продемонстрирована на трех шестичасовых циклах — катализатор сохранил 92% исходной активности, причем снижение активности авторы связывают не с дезактивацией катализатора, а с механическими потерями при выделении и промывке полимера при проведении повторных экспериментов. Структура материала, по данным спектроскопических исследований, изменений не претерпела.
(VI)
Ковалентная иммобилизация дрожжевой алкогольдегидрогеназы на аминофункционализированной полимерной смоле позволила авторам [41] разработать стабильный гетерогенный биокатализатор селективного гидрирования фурфурола до фурфурилового спирта (около 60% за 4 ч), причем его активность оказалась сравнимой с активностью растворимого фермента и ~94% активности сохранялось после 20 получасовых циклов. Реакцию проводили в присутствии этилового спирта, выполнявшего роль восстановителя, в среде водного натрий-фосфатного буфера (pH 8) при комнатной температуре.
Гидрирование левулиновой кислоты до γ-валеролактона
Среди различных вариантов превращения левулиновой кислоты в ценные продукты селективное каталитическое гидрирование до γ-валеролактона считается одним из наиболее важных процессов переработки биомассы и в последние годы вызывает обширный интерес [42]. В качестве источника водорода в этом процессе используют как газообразный водород, так и воду, муравьиную кислоту или спирты [30, 31, 43, 44].
γ-Валеролактон является нетоксичным, биоразлагаемым и универсальным сырьем для производства различных ценных химических соединений, растворителей, углеводородов, полимеров, а также может использоваться в качестве пищевой и топливной добавки [45–50]. В литературе представлены несколько обзорных статей по каталитическому гидрированию левулиновой кислоты до γ-валеролактона с использованием как гомогенных, так и гетерогенных катализаторов на основе благородных (Ru, Rh, Pd) и неблагородных металлов (Ni, Cu) [51–57], самые высокие выходы достигались при использовании катализаторов на основе Ru, что связано с его способностью в мягких условиях эффективно восстанавливать кето-группу левулиновой кислоты в спиртовую. В настоящее время большинство гомогенных катализаторов реакции превращения левулиновой кислоты в γ-валеролактон основано на фосфиновых комплексах переходных металлов [58]. Однако гомогенные системы не совсем подходят для селективного получения γ-валеролактона, поскольку не выдерживают воздействия высоких температур при отгонке высококипящих продуктов, что делает разделение продукта и катализатора методом дистилляции неэкономичным. Были также исследованы различные двухфазные системы с водорастворимыми лигандами (трифенилфосфинотрисульфонат натрия, циклодекстрин, полиэтиленгликоль и др.) [59–63]. Но для крупномасштабных процессов наиболее перспективно использование гетерогенных систем, легко отделяющихся от нелетучего продукта, γ-валеролактона, что сильно затруднено в случае гомогенных катализаторов.
Существует два основных пути синтеза γ-валеролактона из левулиновой кислоты: первый — гидрирование с последующей внутримолекулярной дегидратацией (замыканием цикла и образованием γ-валеролактона), второй — каталитическая дегидратация левулиновой кислоты с образованием α-ангеликалактона и его гидрирование в γ-валеролактон.
Как и в случае селективного гидрирования фурфурола до фурфурилового спирта, среди полимерных носителей гетерогенных катализаторов преобразования левулиновой кислоты в γ-валеролактон существенное место занимают гиперразветвленные полистиролы [64]. Так, в работах [65–67] описаны примеры использования рутениевых катализаторов на основе сверхсшитого полистирола (5%-Ru/HPS) в гидрировании левулиновой кислоты в водной среде в мягких условиях: 90°С, 2 МПа H2. Выход γ-валеролактона составил 99%. Было показано, что предварительное восстановление катализатора в токе водорода позволяет повысить его активность в гидрировании левулиновой кислоты. Были исследованы два типа сверхсшитого полистирола — содержащий аминогруппы и нефункционализированный. При использовании аминированного полистирола наблюдали образование более мелких наночастиц Ru (диаметр около 1–2 нм). Установлено, что активность катализатора на основе нефункционализированного полистирола в 2.5 раза ниже активности катализатора на основе полистирола, содержащего аминогруппы.
В работе [68] проведено сравнение активности моно- (Ru) и биметаллических (Ru-Co) катализаторов на основе рутенийсодержащих наночастиц, иммобилизованных в сверхсшитом полистироле. Проведение реакции в присутствии монометаллического катализатора позволяет достичь практически количественного выхода γ-валеролактона при 120°С и парциальном давлении водорода 2 МПа за 60 мин. Введение кобальта в состав катализатора приводит к перераспределению Ru внутри полимерного носителя и оказывает влияние на скорость гидрирования левулиновой кислоты — при соотношении Ru:Co = 30:1 (3 мас% Ru, 0.1 мас% Co) она увеличивается в 1.5 раза.
Серия рутениевых катализаторов на носителе из сверхсшитого пористого полимера, полученного с использованием различных гидрофобных (1,3,5-трифенилбензол, этилбензол, метилбензол, дифенилметан) и гидрофильных (1-фенилэтанол-1, фенол) мономеров исследована в работе [69]. Гидрофобные катализаторы показали гораздо более высокую активность в гидрировании левулиновой кислоты — конверсия составила от 67 до 75% при использовании в качестве мономеров этилбензола, метилбензола и дифенилметана, а в случае использования носителя, полученного с использованием 1,3,5-трифенилбензола, конверсия достигала практически 100%. Между тем, два гидрофильных катализатора оказались намного менее активны — конверсия левулиновой кислоты не превышала 21 и 46% соответственно. Авторы полагают, что при проведении реакции в водной среде гидрофильные носители слишком сильно адсорбируют растворитель, который затрудняет контакт поверхности катализатора с субстратом. В случае гидрофобных материалов наблюдается обратная ситуация — поверхность катализатора имеет большее сродство к субстрату, что создает благоприятные условия для протекания каталитического процесса. Следует отметить, что при гидрировании 2-гептанона в 2-гептанол было показано, что гидрирование левулиновой кислоты до γ-валеролактона протекает через образование 4-гидроксипентановой кислоты в качестве промежуточного продукта.
Пористый полимерный материал на основе лиганда пинцерного типа был получен и испытан в работе [70] в качестве носителя для рутениевого катализатора (VII), продемонстрировавшего высокую каталитическую эффективность в гидрировании левулиновой кислоты: за 24 ч конверсия составила 98% при селективности по γ-валеролактону 93% в среде метанол–вода (1:1). Катализатор стабильно работал на протяжении 5 последовательных циклов без выщелачивания рутения, что авторы объясняли прочным связыванием лиганда с металлоцентрами.
(VII)
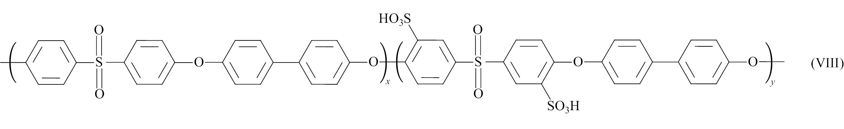
Диспергирование наночастиц рутения в матрице сульфированного полиэфирсульфона (VIII), полученного с использованием мета-тригидроксибензола в роли сшивающего агента, позволило авторам [71] получить активный и стабильный катализатор селективного гидрирования левулиновой кислоты в γ-валеролактон. Конверсия левулиновой кислоты составила 88% за 2 ч при 70°C и 3 МПа H2, причем в течение 5 последовательных циклов она не только не снижалась, а даже несколько возрастала — с 88 до 97%. Этот эффект связывают с набуханием полимерного носителя в реакционной среде, разрыхлением его пористой структуры, приводящим к увеличению площади контакта между реагентами и каталитическими активными центрами. Кроме того, в процессе реакции металл, находившийся на поверхности свежего катализатора в окисленном состоянии, мог восстанавливаться, что тоже приводило к увеличению его активности. К недостаткам данной системы можно отнести довольно продолжительный синтез носителя.
(VIII)
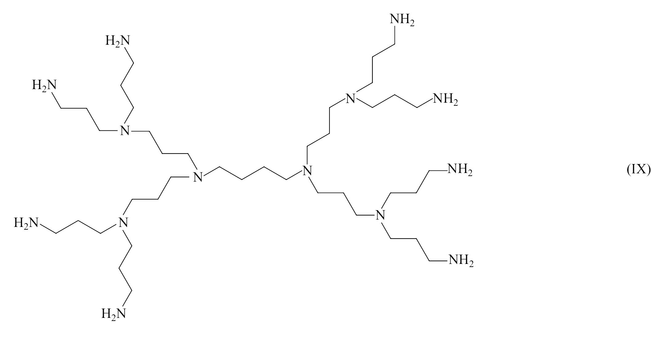
В качестве темплатов и стабилизаторов для получения наночастиц металлов широко используются различные дендримеры [72, 73]. Это свойство дендримерных молекул стабилизировать наночастицы благородных металлов было использовано при синтезе гибридных рутениевых каталитических систем на основе полипропилениминных дендримеров (IX) [74].
(IX)
При синтезе носителя дендример третьего поколения играл роль темплата в формировании пористой структуры силикатного носителя. Полученный гибридный материал пропитывали раствором соли рутения, при этом происходило комплексообразование ионов Ru3+ с дендримерными аминогруппами носителя, затем проводили восстановление NaBH4, приводящее к образованию наночастиц Ru. Отличительной чертой таких гибридных материалов является наличие как слабокислотных (SiO2), так и органических основных центров (аминогрупп дендримеров), что делает возможным равномерное диспергирование наночастиц Ru в структуре носителя. Показано, что основные аминогруппы в катализаторе стабилизируют наночастицы Ru в процессе синтеза и способствуют адсорбции левулиновой кислоты на поверхности Ru в процессе гидрирования. Синтезированные Ru-катализаторы [Ru/(IX)/SiO2] доказали свою эффективность в селективном гидрировании левулиновой кислоты и ее эфиров при 80°С, 3.0 МПа H2 и 50%-ной объемной концентрации субстрата в воде. Количественные выходы γ-валеролактона получены в случае как микро-, так и мезопористых Ru-катализаторов за 2 ч. Было обнаружено, что скорость реакции и селективность по γ-валеролактону в значительной степени зависят не только от условий (температура, давление) реакции и соотношений реагентов, но и от структуры носителя — мезопористый материал оказался более подходящим носителем для катализатора гидрирования ЛК, нежели его аморфный аналог с микропористой структурой. Повышенная активность катализаторов на основе дендримеров объясняется более высокой дисперсностью наночастиц, а также доступностью активных центров для молекул субстрата.
Гиперразветвленные полимеры по своей структуре похожи на дендримеры и являются их альтернативой в связи с менее трудоемкой процедурой их синтеза. В исследовании [75] разработаны нанокомпозиты (X) на основе сверхразветвленного пиридилфениленового полимера (III), служащие мультилигандной стабилизирующей матрицей для наночастиц Ru.
(X)
Усиление кислотных свойств носителя путем функционализации его поверхности сульфогруппами позволило существенно повысить активность катализатора при селективном гидрировании левулиновой кислоты до γ-валеролактона в мягких условиях (100°С, 2 МПа Н2) в воде и при низкой загрузке катализатора (0.016 мол%). Количественный выход γ-валеролактона на сульфированном катализаторе достигался уже за 4 ч, а на не содержащем сульфогрупп аналоге составлял лишь 32% за то же время. При этом стабильность работы обоих типов катализаторов отмечалась авторами исследования на протяжении четырех циклов.
Еще один перспективный в катализе тип углеродсодержащих материалов — пористые ароматические каркасы. К настоящему времени пористые полимеры зарекомендовали себя как перспективные системы в улавливании, хранении, транспортировке и разделении газов, хранении водорода и метана, экстракции, катализе, люминесценции [76–79]. Для их модификации различными функциональными группами доступны относительно простые и хорошо изученные способы. Синтез пористых ароматических каркасов (см. схему) не так сложен и дорог, как, например, синтез дендримеров [74]. Наиболее часто применяемый способ их получения — Pd-катализируемая реакция кросс-сочетания по Судзуки между арилборной кислотой и арилгалогенидом. Преимуществами метода являются простота реакции и доступность реагентов [80–82].
Размер пор в получаемых каркасах зависит от того, какая именно диборная кислота (бензол-1,4-диборная или бифенил-4,4ʹ-диборная кислота) была использована при синтезе. Это дает возможность влиять на активность и селективность соответствующих катализаторов за счет сочетания π–π стэкинг-взаимодействий и ограничения по размерам субстратов. Полимерная природа носителя открывает широкие перспективы для модификации его поверхности функциональными группами, что позволяет направленно контролировать состав, структуру и свойства получаемых материалов и каталитических систем с необходимым расположением и конфигурацией активных центров. Кроме того, благодаря гидрофобной природе носителя катализаторы на основе пористых ароматических каркасов устойчивы к наличию воды в сырье, что особенно важно для процессов гидрооблагораживания бионефти. При этом упорядоченная структура углеродсодержащих материалов сохраняется, а контакт активной фазы с водой практически полностью исключается.
Попытка применения таких материалов в селективном гидрировании левулиновой кислоты до γ-валеролактона описана в [83]. Были синтезированы как не содержащие функциональных групп каркасные структуры (XIa) и (XIб), так и пористые ароматические каркасы, модифицированные амино- и сульфогруппами, которые, по мнению авторов, были призваны повысить эффективность закрепления рутениевых наночастиц в структуре носителя. В гидрировании левулиновой кислоты до γ-валеролактона наибольшая активность показана в системах, содержащих катализаторы на основе немодифицированных носителей, конверсия левулиновой кислоты за 1 ч составила 100% при 100%-ной селективности по γ-валеролактону, при температуре 200°С и давлении 1 МПа. Активность модифицированных катализаторов оказалась несколько ниже (конверсия левулиновой кислоты 57–95%) вследствие возникающих стерических ограничений внутри пор каркасов, вызванных присутствием на поверхности достаточно объемных сульфо- и аминогрупп. Вместе с тем стабильность работы при повторном использовании катализаторов на основе функционализированных носителей оказалась намного выше — активность сохранялась на неизменном уровне в течение 5 циклов использования, в то время как в случае немодифицированного носителя она планомерно снижалась от цикла к циклу.
Схема синтеза пористых ароматических каркасов (XI)
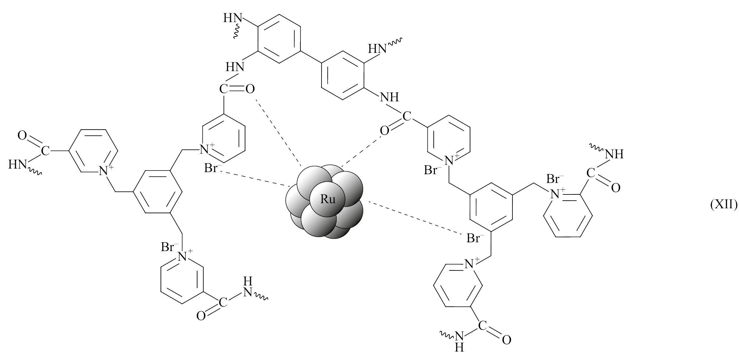
Каталитические характеристики наноразмерных катализаторов в значительной степени зависят от их дисперсности, электронного состояния и стабильности. Немаловажную роль в определении этих параметров играет матрица, в которой формируются, в частности, наночастицы активных в катализе металлов. Один из примеров такого влияния описан в [84]. Мезопористый полиамид, в скелете которого амидные группы соседствуют с ионными фрагментами, был синтезирован сольвотермальным методом. Авторы полагают, что за счет синергического воздействия этих двух компонентов мономерного звена происходит формирование ультратонкой (около 2 нм) моноразмерной дисперсии наночастиц рутения (XII). Подбор сочетания мономеров и композиции растворителей, используемых при синтезе, позволил выявить условия, при которых образуется полимер, обладающий оптимальным соотношением плотности амидных и ионных фрагментов с текстурными характеристиками — размером пор и площадью поверхности (Dp = 16.1 нм, SBET = 150 м2·г–1). Высокая стабильность и каталитическая активность в гидрировании левулиновой кислоты при относительно низком давлении водорода и использовании воды в качестве растворителя наблюдалась в присутствии наночастиц рутения, иммобилизованных в матрице (XII) (150°C, 4 ч, 1 МПа H2). Выход γ-валеролактона составил 98% при 100% селективности, активность и стабильность полученного катализатора превышала таковую для коммерческого Ru/C при аналогичной нагрузке металлом.
(XII)
Помимо рутения палладий и иридий также использовались в качестве активного металла для гидрирования левулиновой кислоты [85]. Пористые металлоорганические полимеры (POMP) с иерархической структурой пор, высокой удельной поверхностью и атомно-дисперсными центрами металлов (Ir, Pd, Ru) были успешно получены простым однореакторным синтезом — прямым сшиванием разнообразных N-гетероциклических металлокарбенов. Полученные на их основе катализаторы оказались высокоактивными и селективными в гидрировании левулиновой кислоты до γ-валеролактона. Наибольшую активность проявил иридиевый катализатор (XIII). Количественный выход γ-валеролактона был достигнут при 100°C, давлении водорода 3.0 МПа в течение 4 ч, все остальные катализаторы приводили к более низким выходам γ-валеролактона (~80%). Катализатор (XIII) можно было повторно использовать до 15 циклов без очевидных потерь каталитической активности даже при загрузке катализатора на уровне 0.678 ppm, а также при его использовании удалось достичь рекордного числа оборотов (TON) 1.01·106, что в 750 раз выше, чем при использовании соответствующего комплекса бис-NHC-Ir.
(XIII)
Благородные металлы могут применяться в качестве активных катализаторов при облагораживании биотоплива, но их высокая стоимость и ограниченные запасы в земной коре создают препятствия для широкого практического применения. В связи с этим можно рассматривать создание биметаллических катализаторов на основе благородных металлов с добавками недорогого металла. В работе [86] был получен высокоактивный, стабильный, селективный и магнитно-извлекаемый наногибридный катализатор Pd-Fe3O4 на основе пористого органического полимера [PPTPA — нанопористый политрифениламин (XIV)], который в свою очередь получали методом одностадийной окислительной полимеризации из трифениламина. Наногибридный катализатор Pd-Fe3O4/PPTPA проявляет существенно более высокую активность по сравнению с монометаллическими аналогами (Pd/PPTPA и Fe3O4/PPTPA). Авторы полагают, что такое повышение активности объясняется синергическим эффектом, вызванным электронными взаимодействиями между Pd и Fe, которые подтверждались различными исследованиями, включая смещение энергии связи в рентгеновских фотоэлектронных спектрах. Кроме того, наногибридный катализатор продемонстрировал исключительную стабильность, сохраняя активность и селективность по γ-валеролактону при многократном повторном использовании — на протяжении 10 циклов — на практически неизменном уровне. Исследования методом просвечивающей электронной микроскопии высокого разрешения подтвердили образование и равномерное распределение наногибрида Pd-Fe3O4 на внешней поверхности политрифениламина. Наилучшие показатели (96%-ная конверсия левулиновой кислоты при селективности по γ-валеролактону 94% за 12 ч при 140°С) достигались при использовании в качестве источника водорода муравьиной кислоты, тогда как при давлении водорода эффективность катализатора была несколько ниже (52%-ная конверсия и 71%-ная селективность по γ-валеролактону за 12 ч, 120°С, 0.5 МПа Н2).
(XIV)
Каталитическое трансферное гидрирование левулиновой кислоты до γ-валеролактона с использованием спиртов в качестве донора водорода и одновременно растворителя позволяет избежать прямого использования взрывчатого H2 и делает метод более безопасным и экономичным. В работах, представленных ниже, изопропанол был использован именно в качестве источника водорода.
Используя в качестве прекурсора циануровую кислоту, авторы [87] разработали пористый координационный полимер на основе циркония и циануровой кислоты (Zr-CA), который показал не только высокую конверсию левулиновой кислоты (100%) и селективность по γ-валеролактону (97%), но и стабильность (система была использована повторно не менее 5 раз без снижения активности и селективности). Реакцию проводили при 150°C в течение 4 ч в изопропаноле. Высокую эффективность и прекрасные каталитические характеристики авторы объясняли удачным сочетанием кислотных и основных центров в полученном материале.
В работе [88] были использованы гуминовые кислоты для приготовления Zr-содержащего катализатора (XV), который был испытан в гидрировании этиллевулината до γ-валеролактона. В оптимальных условиях (150°C, 24 ч, изопропанол) выход γ-валеролактона достигал 88% при полной конверсии этиллевулината. Катализатор был использован по меньшей мере 11 раз без заметных изменений как в активности, так и в структуре.
(XV)
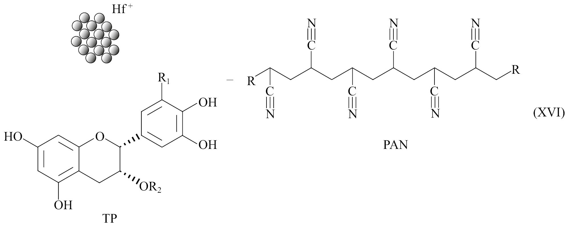
Еще один полимерный носитель был испытан в гидрировании левулиновой кислоты — это полиакрилонитрильное нановолокно, легированное гафнием (XVI) [89]. Нановолокна из полиакрилонитрила широко используются в качестве носителя для катализаторов в фотокатализе [90]. В данной работе в качестве связующего агента для лучшей стабилизации частиц металла (гафния) на нановолокне был использован полифенол, имеющий в своем составе хелатирующие фенольные гидроксильные группы. Выход γ-валеролактона составил 99% при 100% конверсии левулиновой кислоты в изопропаноле при 170°C в течение 5 ч, при этом каталитическая активность оставалась неизменной в течение пяти циклов. Помимо левулиновой кислоты различные ее эфиры также были преобразованы в γ-валеролактон с выходами и селективностью до 90 и 95% соответственно.
(XVI)
Заключение
Использование органических полимеров в качестве носителей для гетерогенных катализаторов селективного гидрирования различных субстратов, в том числе платформенных молекул бионефти, таких как фурфурол и левулиновая кислота, имеет значительные перспективы развития. Такие катализаторы применяются как в условиях повышенного давления водорода, так и в условиях трансферного гидрирования. В первом случае широко используются пористые полимеры, которые характеризуются развитой поверхностью и могут быть модифицированы соответствующими функциональными группами для оптимизации кислотных свойств и эффективного закрепления активного металла. В трансферном гидрировании с наибольшей эффективностью применяются полимерные катализаторы, в состав которых входят кислородсодержащие хелатирующие функциональные группы, а решающее влияние на активность катализатора оказывает соотношение и сила кислотных центров полимерной матрицы.
Основной проблемой разработки новых полимерных каталитических систем является сложность синтеза полимерных подложек. С этой точки зрения заметным потенциалом обладают природные полимеры (гуминовые кислоты, лигнин), сочетающие в себе положительные качества синтетических материалов с относительной доступностью, поскольку их получают из возобновляемых природных источников.
Финансирование работы
Исследование выполнено в рамках государственного задания № 121031300092-6 «Нефтехимия и катализ. Рациональное использование углеродсодержащего сырья».
Конфликт интересов
Авторы заявляют об отсутствии конфликта интересов, требующего раскрытия в данной статье.
Информация о вкладе авторов
Э. А. Караханов — разработка концепции и структуры обзора; М. В. Теренина, Ю. С. Кардашева, А. В. Хорошутин — постановка задач исследования, анализ данных литературы; А. М. Дубиняк, Л. А. Куликов — сбор материалов по гидрированию левулиновой кислоты до γ-валеролактона; Д. В. Соколов, Н. А. Синикова — сбор материалов по гидрированию фурфурола до фурфурилового спирта.
1 Furfural market to reach US$ 672.58 Mn by 2026; rise in demand for furfuryl alcohol to drive market: transparency market research. https://markets.businessinsider.com/news/stocks/furfural-market-to-reachus-672-58-mn-by-2026-rise-in-demand-for-furfuryl-alcoholto-drive-market-transparency-market-research-1028137958
About the authors
Мария Владимировна Теренина
Московский государственный университет им. М. В. Ломоносова
Email: atesller@mail.ru
ORCID iD: 0000-0002-4336-9786
к.х.н., химический факультет
Russian Federation, 119991, ГСП-1, г. Москва, Ленинские горы, д. 1, стр. 3Юлия Сергеевна Кардашева
Московский государственный университет им. М. В. Ломоносова
Email: atesller@mail.ru
ORCID iD: 0000-0002-6580-1082
к.х.н., химический факультет
Russian Federation, 119991, ГСП-1, г. Москва, Ленинские горы, д. 1, стр. 3Даниил Васильевич Соколов
Московский государственный университет им. М. В. Ломоносова
Email: atesller@mail.ru
ORCID iD: 0009-0001-8414-4751
химический факультет
Russian Federation, 119991, ГСП-1, г. Москва, Ленинские горы, д. 1, стр. 3Наталья Александровна Синикова
Московский государственный университет им. М. В. Ломоносова
Email: atesller@mail.ru
ORCID iD: 0000-0001-7196-0082
к.х.н., химический факультет
Russian Federation, 119991, ГСП-1, г. Москва, Ленинские горы, д. 1, стр. 3Андрей Васильевич Хорошутин
Московский государственный университет им. М. В. Ломоносова
Email: atesller@mail.ru
ORCID iD: 0000-0001-5161-1221
к.х.н., химический факультет
Russian Federation, 119991, ГСП-1, г. Москва, Ленинские горы, д. 1, стр. 3Андрей Максимович Дубиняк
Московский государственный университет им. М. В. Ломоносова
Author for correspondence.
Email: atesller@mail.ru
ORCID iD: 0009-0002-2994-4243
химический факультет
Russian Federation, 119991, ГСП-1, г. Москва, Ленинские горы, д. 1, стр. 3Леонид Андреевич Куликов
Московский государственный университет им. М. В. Ломоносова
Email: atesller@mail.ru
ORCID iD: 0000-0002-7665-5404
к.х.н., химический факультет
Russian Federation, 119991, ГСП-1, г. Москва, Ленинские горы, д. 1, стр. 3Эдуард Аветисович Караханов
Московский государственный университет им. М. В. Ломоносова
Email: atesller@mail.ru
ORCID iD: 0000-0003-4727-954X
д.х.н., химический факультет
Russian Federation, 119991, ГСП-1, г. Москва, Ленинские горы, д. 1, стр. 3References
- Klass D. L. Chapter 1. Energy consumption, reserves, depletion, and environmental issues // Biomass for renewable energy, fuels, and chemicals. 1998. P. 1–27. https://doi.org/10.1016/B978-012410950-6/50003-9
- Варфоломеев С. Д., Моисеев И. И., Мясоедов Б. Ф. Энергоносители из возобновляемого сырья. Химические аспекты // Вестн. РАН. 2009. Т. 79. № 7. C. 595–604. https://www.elibrary.ru/kptvfj [Varfolomeev S. D., Moiseev I. I., Myasoedov B. F. Energy carriers from renewable raw materials: Chemical aspects // Herald of RAS. 2009. V. 79. N 7. P. 595–604. https://www.elibrary.ru/MWVGFX ].
- Тарабанько В. Е., Черняк М. Ю., Симакова И. Л., Кайгородов К. Л., Безбородов Ю. Н., Орловская Н. Ф. Антидетонационные свойства производных фурфурола // ЖПХ. 2015. Т. 88. № 11. С. 1563–1567. https://www.elibrary.ru/guxkpw [Tarabanko V. E., Chernyak M. Yu., Simakova I. L., Kaigorodov K. L., Bezborodov Yu. N., Orlovskaya N. F. Antiknock properties of furfural derivatives // Russ. J. Appl. Chem. 2015. V. 88. N 1. P. 1778−1782. https://doi.org/10.1134/S10704272150110063 ].
- Shomal R., Zheng Y. Development of processes and catalysts for biomass to hydrocarbons at moderate conditions: A comprehensive review // Nanomaterials. 2023. V. 13. N 21. ID 2845. https://doi.org/10.3390/nano13212845
- Werpy T., Petersen G. Top value added chemicals from biomass: Volume I — Results of screening for potential candidates from sugars and synthesis gas //National Renewable Energy Lab.(NREL). Golden. CO (United States). 2004. https://www.nrel.gov/docs/fy04osti/35523.pdf
- Mika L. T., Cséfalvay E., Németh Á. Catalytic conversion of carbohydrates to initial platform chemicals: Chemistry and sustainability // Chem. Rev. 2018. V. 118. N 2. P. 505–613. https://doi.org/10.1021/acs.chemrev.7b00395
- Racha A., Samanta C., Sreekantan S., Marimuthu B. Review on catalytic hydrogenation of biomass-derived furfural to furfuryl alcohol: Recent advances and future trends // Energy Fuels. 2023. V. 37. N 16. P. 11475–11496. https://doi.org/10.1021/acs.energyfuels.3c01174
- Mariscal R., Maireles-Torres P., Ojeda M., Sádaba I., López Granados M. Furfural: A renewable and versatile platform molecule for the synthesis of chemicals and fuels // Energy Environ. Sci. 2016. V. 9. N 4. P. 1144–1189. https://doi.org/10.1039/C5EE02666K
- Khalid M., Granollers Mesa M., Scapens D., Osatiashtiani A. Advances in sustainable γ-valerolactone (GVL) production via catalytic transfer hydrogenation of levulinic acid and its esters // ACS Sustain. Chem. Eng. 2024. V. 12. N 45. P. 16494–16517. https://doi.org/10.1021/acssuschemeng.4c05812
- Misono M. Chapter 1. Basis of heterogeneous catalysis // Stud. Surf. Sci. Catal. 2013. P. 1–23. https://doi.org/10.1016/B978-0-444-53833-8.00001-6
- Wang Y., Zhao D., Rodríguez-Padrón D., Len C. Recent advances in catalytic hydrogenation of furfural // Catalysts. 2019. V. 9. N 10. ID 796. https://doi.org/10.3390/catal9100796
- Wright W. R. H., Palkovits R. Development of heterogeneous catalysts for the conversion of levulinic acid to γ-valerolactone // ChemSusChem. 2012. V. 5. N 9. P. 1657–1667. https://doi.org/10.1002/cssc.201200111
- Yu Z., Lu X., Bai H., Xiong J., Feng W., Ji N. Effects of solid acid supports on the bifunctional catalysis of levulinic acid to γ-valerolactone: Catalytic activity and stability // Chem. An Asian J. 2020. V. 15. N 8. P. 1182–1201. https://doi.org/10.1002/asia.202000006
- Kaur P., Hupp J. T., Nguyen S. T. Porous organic polymers in catalysis: Opportunities and challenges // ACS Catal. 2011. V. 1. N 7. P. 819–835. https://doi.org/10.1021/cs200131g
- Bronstein L. M., Matveeva V. G., Sulman E. M. Nanoparticulate catalysts based on nanostructured polymers // Nanoparticles and Catalysis. 2007. P. 93–127. https://doi.org/10.1002/9783527621323.ch3
- Tsvetkova I. B., Matveeva V. G., Doluda V. Y., Bykov A. V., Sidorov A. I., Schennikov S. V., Sulman M. G., Valetsky P. M., Stein B. D., Chen C.-H., Sulman E. M., Bronstein L. M. Pd(II) nanoparticles in porous polystyrene: Factors influencing the nanoparticle size and catalytic properties // J. Mater. Chem. 2012. V. 22. N 13. P. 6441–6448. https://doi.org/10.1039/C2JM30634D
- Audemar M., Wang Y., Zhao D., Royer S., Jérôme F., Len C., De Oliveira Vigier K. Synthesis of furfuryl alcohol from furfural: A comparison between batch and continuous flow reactors // Energies. 2020. V. 13. N 4. ID 1002. https://doi.org/10.3390/en13041002
- Wang Y., Zhao D., Rodríguez-Padrón D., Len C. Recent advances in catalytic hydrogenation of furfural // Catalysts. 2019. V. 9. N 10. ID 796. https://doi.org/10.3390/catal9100796
- Xu S., He J., Cao S. Catalytic behaviors of the palladium complex of MgO-supported melamino- formaldehyde polymer for hydrogenations of different substrates // J. Mol. Catal. A: Chemical. 1999. V. 147. N 1–2. P. 155–158. https://doi.org/10.1016/S1381-1169(99)00140-5
- Szubiakiewicz E., Modelska M., Brzezinska M., Binczarski M. J., Severino C. J., Stanishevsky A., Witonska I. Influence of modification of supported palladium systems by polymers: PVP, AMPS and AcrAMPS on their catalytic properties in the reaction of transformation of biomass into fuel bio-components // Fuel. 2020. V. 271. ID 117584. https://doi.org/10.1016/j.fuel.2020.117584
- Yin J. B., Chen X. S., Zhang L., Liu A., Yang Y. N., Yin M., Lou L. Liquid-phase hydrogenation of furfural to tetrahydrofurfuryl alcohol catalyzed by polymer resin supported palladium catalysts // Chem. J. Chinese Universities. 2002. V. 23. N 7. P. 1363–1366.
- Boro B., Koley P., Tan H. L., Biswas S., Paul R., Bhargava S., Liu W., Wong B. M., Mondal J. Influence of the intrinsic nanocore environment in a Pd-metalated porous organic polymer for catalytic biomass-derived furfural upgrading // ACS Appl. Nano Mater. 2022. V. 5. N 10. P. 14706–14721. https://doi.org/10.1021/acsanm.2c03052
- Мироненко Р. М., Бельская О. Б., Лихолобов В. А. Влияние растворителя на скорость и направления превращений фурфурола в ходе его гидрирования в присутствии катализатора Pd/C // Изв. АН, Cер. хим. 2022. Т. 71. № 1. С. 64–69. https://www.elibrary.ru/ehlvvh [Mironenko R. M., Belskaya O. B., Likholobov V. A. Solvent effect on the rate and direction of furfural transformations during hydrogenation over the Pd/C catalyst // Russ. Chem. Bull. 2022. V. 71. N 1. P. 64–69. https://www.elibrary.ru/imjqfp ].
- Alibegovic K., Morgan D. G., Losovyj Y., Pink M., Stein B. D., Kuchkina N. V., Serkova E. S., Salnikova K. E., Shifrina Z. B., Matveeva V. G., Sulman E. M., Bronstein L. M. Efficient furfuryl alcohol synthesis from furfural over magnetically recoverable catalysts: Does the catalyst stabilizing medium matter? // ChemistrySelect. 2017. V. 2. N 20. P. 5485–5491. https://doi.org/10.1002/slct.201701100
- Shifrina Z. B., Matveeva V. G., Bronstein L. M. Role of polymer structures in catalysis by transition metal and metal oxide nanoparticle composites // Chem. Rev. 2020. V. 120. N 2. P. 1350–1396. https://doi.org/10.1021/acs.chemrev.9b00137
- Salnikova K. E., Matveeva V. G., Larichev Y. V., Bykov A. V., Demidenko G. N., Shkileva I. P., Sulman M. G. The liquid phase catalytic hydrogenation of furfural to furfuryl alcohol // Catal. Today. 2019. V. 329. P. 142–148. https://doi.org/10.1016/j.cattod.2018.12.036
- Сальникова К. Е., Исаев В. C., Матвеева В. Г., Сидоров А. И., Быков А. В., Шкилёва И. П., Сульман Э. М. Каталитическое гидрирование фурфурола // Катализ в пром-сти. 2018. Т. 18. № 2. С. 6–10. https://doi.org/10.18412/1816-0387-2018-2-6-10
- Salnikova K. E., Larichev Y. V., Sulman E. M., Bykov A. V., Sidorov A. I., Demidenko G. N., Sulman M. G., Bronstein L. M., Matveeva V. G. Selective hydrogenation of biomass-derived furfural: enhanced catalytic performance of Pd−Cu alloy nanoparticles in porous polymer // ChemPlusChem. 2020. V. 85. N 8. P. 1697–1703. https://doi.org/10.1002/cplu.202000383
- Sulman M., Matveeva V., Salnikova K., Larichev Y., Mikhailov S., Bykov A., Demidenko G., Sidorov A., Sulman E. Catalytic performance of Ru/polymer catalyst in the hydrogenation of furfural to furfuryl alcohol // Chem. Eng. Trans. 2020. V. 81. P. 1231–1236. https://doi.org/10.3303/CET2081206
- Kuwahara Y., Kaburagi W., Osada Y., Fujitani T., Yamashita H. Catalytic transfer hydrogenation of biomass-derived levulinic acid and its esters to γ-valerolactone over ZrO2 catalyst supported on SBA-15 silica // Catal. Today. 2017. V. 281. P. 418–428. https://doi.org/10.1016/j.cattod.2016.05.016
- Kuwahara Y., Kango H., Yamashita H. Catalytic transfer hydrogenation of biomass-derived levulinic acid and its esters to γ-valerolactone over sulfonic acid-functionalized UiO-66 // ACS Sustain. Chem. Eng. 2017. V. 5. N 1. P. 1141–1152. https://doi.org/10.1021/acssuschemeng.6b02464
- Valekar A. H., Cho K.-H., Chitale S. K., Hong D.-Y., Cha G.-Y., Lee U. H., Hwang D. W., Serre C., Chang J.-S., Hwang Y. K. Catalytic transfer hydrogenation of ethyl levulinate to γ-valerolactone over zirconium-based metal–organic frameworks // Green Chem. 2016. V. 18. N 16. P. 4542–4552. https://doi.org/10.1039/C6GC00524A
- Marçon H. M., Pastre J. C. Continuous flow Meerwein–Ponndorf–Verley reduction of HMF and furfural using basic zirconium carbonate // RSC Adv. 2022. V. 12. N 13. P. 7980–7989. https://doi.org/10.1039/d2ra00588c
- Jiménez-Sanchidrián C., Ruiz J. R. Tin-containing hydrotalcite-like compounds as catalysts for the Meerwein–Ponndorf–Verley reaction // Appl. Catal. A: General. 2014. V. 469. P. 367–372. https://doi.org/10.1016/j.apcata.2013.09.049
- Wang Z., Xie C., Li X., Nie J., Yang H., Zhang Z. Amberlyst-15 supported zirconium sulfonate as an efficient catalyst for Meerwein–Ponndorf–Verley reductions // Chem. Commun. 2022. V. 58. N 25. P. 4067–4070. https://doi.org/10.1039/d2cc00157h
- Cen S., Wang L., Wan C., Chai X., Li L., Linghu W. Oxygenated groups enriched polyolefin-Zr(IV) complexes catalyzing low-temperature transfer hydrogenation of biomass-derived furfural with 2-propanol // Fuel. 2024. V. 357. ID 129864. https://doi.org/10.1016/j.fuel.2023.129864
- Sha Y., Xiao Z., Zhou H., Yang K., Song Y., Li N., He R., Zhi K., Liu Q. Direct use of humic acid mixtures to construct efficient Zr-containing catalysts for Meerwein–Ponndorf–Verley reactions // Green Chem. 2017. V. 19. N 20. P. 4829–4837. https://doi.org/10.1039/C7GC01925D
- Zhou S., Dai F., Xiang Z., Song T., Liu D., Lu F., Qi H. Zirconium–lignosulfonate polyphenolic polymer for highly efficient hydrogen transfer of biomass-derived oxygenates under mild conditions // Appl. Catal. B: Environmental. 2019. V. 248. P. 31–43. https://doi.org/10.1016/j.apcatb.2019.02.011
- Lin W., Wang Y., Zhang J., Liu H., Peng L. Lignin-assembled zirconium-based PNA nanofiber for the catalytic transfer hydrogenation of furfural into furfuryl alcohol // Sustain. Energy Fuels. 2023. V. 7. N 15. P. 3716–3726. https://doi.org/10.1039/D3SE00513E
- Hu Y., Huang W., Wang H., He Q., Zhou Y., Yang P., Li Y., Li Y. Metal-free photocatalytic hydrogenation using covalent triazine polymers // Angew. Chem. Int. Ed. 2020. V. 59. N 34. P. 14378–14382. https://doi.org/10.1002/anie.202006618
- Sharma V. K., Binder T. P., Allgeier A. M. Covalent immobilization of yeast alcohol dehydrogenase on an amine-functionalized polymeric resin enhances stability for furfural hydrogenation to furfuryl alcohol using ethanol as the terminal reductant // Ind. Eng. Chem. Res. 2023. V. 62. N 43. P. 17604–17615. https://doi.org/10.1021/acs.iecr.3c02526
- Niaze A. A., Dhaker D., Upadhyayula S. A meta-analysis of catalytic hydrogenation of levulinic acid to γ-valerolactone // ChemBioEng Rev. 2023. V. 10. N 4. P. 399–411. https://doi.org/10.1002/cben.202200028
- Yu Z., Lu X., Xiong J., Li X., Bai H., Ji N. Heterogeneous catalytic hydrogenation of levulinic acid to γ-valerolactone with formic acid as internal hydrogen source // ChemSusChem. 2020. V. 13. N 11. P. 2916–2930. https://doi.org/10.1002/cssc.202000175
- Luo Y., Yi J., Tong D., Hu C. Production of γ-valerolactone via selective catalytic conversion of hemicellulose in pubescens without addition of external hydrogen // Green Chem. 2016. V. 18. N 3. P. 848–857. https://doi.org/10.1039/C5GC01775K
- Horváth I. T., Mehdi H., Fábos V., Boda L., Mika L. T. γ-Valerolactone — a sustainable liquid for energy and carbon-based chemicals // Green Chem. 2008. V. 10. N 2. P. 238–242. https://doi.org/10.1039/B712863K
- Martínez Figueredo K. G., Martínez F. A., Segobia D. J., Bertero N. M. Valeric biofuels from biomass-derived γ-valerolactone: A critical overview of production processes // ChemPlusChem. 2023. V. 88. N 11. ID e202300381. https://doi.org/10.1002/cplu.202300381
- Gallo J. M. R., Alonso D. M., Mellmer M. A., Dumesic J. A. Production and upgrading of 5-hydroxymethylfurfural using heterogeneous catalysts and biomass-derived solvents // Green Chem. 2013. V. 15. N 1. P. 85–90. https://doi.org/10.1039/C2GC36536G
- Alonso D. M., Wettstein S. G., Dumesic J. A. Gamma-valerolactone, a sustainable platform molecule derived from lignocellulosic biomass // Green Chem. 2013. V. 15. N 3. P. 584–595. https://doi.org/10.1039/C3GC37065H
- Kuwahara Y., Magatani Y., Yamashita H. Ru nanoparticles confined in Zr-containing spherical mesoporous silica containers for hydrogenation of levulinic acid and its esters into γ-valerolactone at ambient conditions // Catal. Today. 2015. V. 258. P. 262–269. https://doi.org/10.1016/j.cattod.2015.01.015
- Kerkel F., Markiewicz M., Stolte S., Müller E., Kunz W. The green platform molecule gamma-valerolactone — ecotoxicity, biodegradability, solvent properties, and potential applications // Green Chem. 2021. V. 23. N 8. P. 2962–2976. https://doi.org/10.1039/D0GC04353B
- Song S., Yao S., Cao J., Di L., Wu G., Guan N., Li L. Heterostructured Ni/NiO composite as a robust catalyst for the hydrogenation of levulinic acid to γ-valerolactone // Appl. Catal. B. 2017. V. 217. P. 115–124. https://doi.org/10.1016/j.apcatb.2017.05.073
- Feng J., Gu X., Xue Y., Han Y., Lu X. Production of γ-valerolactone from levulinic acid over a Ru/C catalyst using formic acid as the sole hydrogen source // Sci. Total Environ. 2018. V. 633. P. 426–432. https://doi.org/10.1016/j.scitotenv.2018.03.209
- Oklu N. K., Makhubela B. C. E. Highly selective and efficient solvent-free transformation of bio-derived levulinic acid to γ-valerolactone by Ru(II) arene catalyst precursors // Inorg. Chim. Acta. 2018. V. 482. P. 460–468. https://doi.org/10.1016/j.ica.2018.06.050
- Aderemi T. A., Hitler L., Ozioma U. A., Innocent J., Obieze C. E., Dass P. M. A Review on the conversion of levulinic acid and its esters to various useful chemicals // AIMS Energy. 2019. V. 7. N 2. P. 165–185. https://doi.org/10.3934/energy.2019.2.165
- Dutta S., Yu I. K. M., Tsang D. C. W., Ng Y. H., Ok Y. S., Sherwood J., Clark J. H. Green synthesis of gamma-valerolactone (GVL) through hydrogenation of biomass-derived levulinic acid using non-noble metal catalysts: A critical review // Chem. Eng. J. 2019. V. 372. P. 992–1006. https://doi.org/10.1016/j.cej.2019.04.199
- Seretis A., Diamantopoulou P., Thanou I., Tzevelekidis P., Fakas C., Lilas P., Papadogianakis G. Recent advances in ruthenium-catalyzed hydrogenation reactions of renewable biomass-derived levulinic acid in aqueous media // Front. Chem. 2020. V. 8. ID 221. https://doi.org/10.3389/fchem.2020.00221
- Maumela M., Marx S., Meijboom R. Heterogeneous Ru catalysts as the emerging potential superior catalysts in the selective hydrogenation of bio-derived levulinic acid to γ-valerolactone: Effect of particle size, solvent, and support on activity, stability, and selectivity // Catalysts. 2021. V. 11. N 2. ID 292. https://doi.org/10.3390/catal11020292
- Omoruyi U., Page S., Hallett J., Miller P. W. Homogeneous catalyzed reactions of levulinic acid: To γ-valerolactone and beyond // ChemSusChem. 2016. V. 9. N 16. P. 2037–2047. https://doi.org/10.1002/cssc.201600517
- Chalid M., Broekhuis A. A., Heeres H. J. Experimental and kinetic modeling studies on the biphasic hydrogenation of levulinic acid to γ-valerolactone using a homogeneous water-soluble Ru–(TPPTS) catalyst // J. Mol. Catal. A: Chemical. 2011. V. 341. N 1. P. 14–21. https://doi.org/10.1016/j.molcata.2011.04.004
- Delhomme C., Schaper L.-A., Zhang-Preße M., Raudaschl-Sieber G., Weuster-Botz D., Kühn F. E. Catalytic hydrogenation of levulinic acid in aqueous phase // J. Organomet. Chem. 2013. V. 724. P. 297–299. https://doi.org/10.1016/j.jorganchem.2012.10.030
- Chen M., Dong Q., Ni W., Zhao X., Gu Q., Tang G., Li D., Ma W., Hou Z. Cyclodextrin-based polymer-assisted Ru nanoparticles for the aqueous hydrogenation of biomass-derived platform molecules // ChemistrySelect. 2017. V. 2. N 32. P. 10537–10545. https://doi.org/10.1002/slct.201702229
- Patil N. M., Bhanage B. M. Greener, recyclable, and reusable ruthenium(III) chloride/polyethylene glycol/water system for the selective hydrogenation of biomass-derived levulinic acid to γ-valerolactone // ChemCatChem. 2016. V. 8. N 22. P. 3458–3462. https://doi.org/10.1002/cctc.201600872
- Максимов А. Л., Золотухина А. В., Наранов Е. Р. Супрамолекулярный Ru-нанокатализатор на основе сополимера β-циклодекстрина с эпихлоргидрином в гидрировании непредельных соединений // Изв. АН. Сер. хим. 2023. Т. 72. № 4. С. 853–872. https://www.elibrary.ru/tritjp [Maksimov A. L., Zolotukhina A. V., Naranov E. R. Supramolecular Ru nanocatalyst, based on a β-cyclodextrin copolymer with epichlorohydrin, in the hydrogenation of unsaturated compounds // Russ. Chem. Bull. 2023. V. 72. P. 853–872. https://doi.org/10.1007/s11172-023-3849-4 ].
- Kuchkina N., Sorokina S., Grigoriev M., Sulman M., Bykov A., Shinde S., Shifrina Z., Bhanage B. Polymer supported Ru nanoparticles for highly selective hydrogenation of biomass-derived levulinic acid to γ-valerolactone: Does the polymer affect the catalytic performance? // J. Nanopart. Res. 2024. V. 26. N 2. ID 38. https://doi.org/10.1007/s11051-024-05951-2
- Protsenko I. , Nikoshvili L., Matveeva V., Sulman E., Rebrov E. Selective hydrogenation of levulinic acid to gamma-valerolactone using polymer-based Ru-containing catalysts // Chem. Eng. Trans. 2016. V. 52. P. 679–684. https://doi.org/10.3303/CET1652114
- Nikoshvili L., Protsenko I., Abusuek D., Zaykovskaya A., Bykov A., Matveeva V., Sulman E. Hydrogenation of biomass-derived levulinic acid to gamma-valerolactone using polymer-based metal-containing catalysts // Chem. Eng. Trans. 2017. V. 61. P. 895–900. https://doi.org/10.3303/CET1761147
- Protsenko I., Nikoshvili L., Bykov A., Matveeva V., Sulman A., Sulman E., Rebrov E. Hydrogenation of levulinic acid using Ru-containing catalysts based on hypercrosslinked polystyrene // Green. Process. Synth. 2017. V. 6. N 3. P. 281–286. https://doi.org/10.1515/gps-2016-0189
- Grigorev M. E., Mikhailov S. P., Bykov A. V., Sidorov A. I., Tiamina I. Y., Vasiliev A. L., Nikoshvili L. Z., Matveeva V. G., Plentz Meneghetti S. M., Sulman M. G., Sulman E. M. Mono- and bimetallic (Ru-Co) polymeric catalysts for levulinic acid hydrogenation // Catal. Today. 2021. V. 378. P. 167–175. https://doi.org/10.1016/j.cattod.2020.11.023
- Gong X., Feng X., Cao J., Wang Y., Zheng X., Yu W., Wang X., Shi S. Hydrogenation of levulinic acid to γ-valerolactone over hydrophobic Ru@HCP catalysts // Chem. Commun. 2023. V. 59. P. 14717–14720. https://doi.org/10.1039/D3CC04405J
- Park K., Padmanaban S., Kim S.-H., Jung K.-D., Yoon S. NNN pincer-functionalized porous organic polymer supported Ru(III) as a heterogeneous catalyst for levulinic acid hydrogenation to γ-valerolactone // ChemCatChem. 2021. V. 13. N 2. P. 695–703. https://doi.org/10.1002/cctc.202001376
- Yao Y., Wang Z., Zhao S., Wang D., Wu Z., Zhang M. A stable and effective Ru/polyethersulfone catalyst for levulinic acid hydrogenation to γ-valerolactone in aqueous solution // Catal. Today. 2014. V. 234. P. 245–250. https://doi.org/10.1016/j.cattod.2014.01.020
- King A. S. H., Twyman L. J. Heterogeneous and solid supported dendrimer catalysts // J. Chem. Soc. Perkin Trans. 2002. N 20. P. 2209–2218. https://doi.org/10.1039/B204207J
- Myers V. S., Weir M. G., Carino E. V., Yancey D. F., Pande S., Crooks R. M. Dendrimer-encapsulated nanoparticles: New synthetic and characterization methods and catalytic applications // Chem. Sci. 2011. V. 2. N 9. P. 1632–1646. https://doi.org/10.1039/C1SC00256B
- Maximov A. L., Zolotukhina A. V., Mamedli A. A., Kulikov L. A., Karakhanov E. A. Selective levulinic acid hydrogenation in the presence of hybrid dendrimer-based catalysts. Part I: Monometallic // ChemCatChem. 2018. V. 10. N 1. P. 222–233. https://doi.org/10.1002/cctc.201700691
- Sorokina S. A., Mikhailov S. P., Kuchkina N. V., Bykov A. V., Vasiliev A. L., Ezernitskaya M. G., Golovin A. L., Nikoshvili L. Z., Sulman M. G., Shifrina Z. B. Ru@hyperbranched polymer for hydrogenation of levulinic acid to gamma-valerolactone: The role of the catalyst support // Int. J. Mol. Sci. 2022. V. 23. N 2. P. 799. https://doi.org/10.3390/ijms23020799
- Zhang S., Li J., Liu J., Jiang S., Chen X., Ren H., Liu T. X., Zou X., Zhu G. Mixed monomer derived porous aromatic frameworks with superior membrane performance for CO2 capture // J. Membr. Sci. 2021. V. 632. ID 119372. https://doi.org/10.1016/j.memsci.2021.119372
- Ben T., Pei C., Zhang D., Xu J., Deng F., Jing X., Qiu S. Gas storage in porous aromatic frameworks (PAFs) // Energy Environ. Sci. 2011. V. 4. N 10. P. 3991–3999. https://doi.org/10.1039/C1EE01222C
- Wang Z., Jiang H., Tian Y., Zou X., Zhu G. Porous aromatic frameworks with engineered properties for gas separation membranes // Trends Chem. 2023. V. 5. N 6. P. 446–459. https://doi.org/10.1016/j.trechm.2023.02.011
- Jing L.-P., Sun J.-S., Sun F., Chen P., Zhu G. Porous aromatic framework with mesopores as a platform for a super-efficient heterogeneous Pd-based organometallic catalysis // Chem. Sci. 2018. V. 9. N 14. P. 3523–3530. https://doi.org/10.1039/C8SC00510A
- Makeeva D., Kulikov L., Zolotukhina A., Maximov A., Karakhanov E. Functionalization strategy influences the porosity of amino-containing porous aromatic frameworks and the hydrogenation activity of palladium catalysts synthesized on their basis // Mol. Catal. 2022. V. 517. ID 112012. https://doi.org/10.1016/j.mcat.2021.112012
- Калинина М. А., Куликов Л. А., Чередниченко К. А., Максимов А. Л., Караханов Э. А. Влияние сульфо-групп в структуре пористых ароматических каркасов на активность платиновых катализаторов в гидродеоксигенации компонентов бионефти // Нефтехимия. 2021. Т. 61. № 5. С. 692–703. https://doi.org/10.31857/S0028242121050129 [Kalinina M. A., Kulikov L. A., Maximov A. L., Karakhanov E. A., Cherednichenko K. A. The effect of sulfonate groups in the structure of porous aromatic frameworks on the activity of platinum catalysts towards hydrodeoxygenation of biofuel components // Petrol. Chem. 2021. V. 61. N 9. P. 1061–1070. https://doi.org/10.1134/S0965544121090115 ].
- Куликов Л. А., Макеева Д. А., Калинина М. А., Чередниченко К. A., Максимов А. Л., Караханов Э. А. Pt- и Ru-катализаторы на основе пористого ароматического каркаса для гидрирования компонентов лигнинной бионефти // Нефтехимия. 2021. Т. 61. № 4. С. 461–472. https://doi.org/10.31857/S002824212104002X [Kulikov L. A., Makeeva D. A., Kalinina M. A., Maximov A. L., Karakhanov E. A., Cherednichenko K. A. Pt and Ru catalysts based on porous aromatic frameworks for hydrogenation of lignin biofuel components // Petrol. Chem. 2021. V. 61. N 7. P. 711–720. https://doi.org/10.31857/S002824212104002X ].
- Kulikov L., Dubiniak A., Makeeva D., Egazarʹyants S., Maximov A., Karakhanov E. Ruthenium catalysts based on porous aromatic frameworks synthesized by modified impregnation methods for hydrogenation of levulinic acid and its esters // Mater. Today Sustain. 2023. V. 25. ID 100637. https://doi.org/10.1016/j.mtsust.2023.100637
- Wang Q., Ling X., Ye T., Zhou Y., Wang J. Ionic mesoporous polyamides enable highly dispersed ultrafine Ru nanoparticles: A synergistic stabilization effect and remarkable efficiency in levulinic acid conversion into γ-valerolactone // J. Mater. Chem. A. 2019. V. 7. N 32. P. 19140–19151. https://doi.org/10.1039/C9TA02343G
- Shen Y., Zheng Q., Zhu H., Tu T. Hierarchical porous organometallic polymers fabricated by direct knitting: Recyclable single-site catalysts with enhanced activity // Adv. Mater. 2020. V. 32. N 6. ID 1905950. https://doi.org/10.1002/adma.201905950
- Dhanalaxmi K., Singuru R., Mondal S., Bai L., Reddy B. M., Bhaumik A., Mondal J. Magnetic nanohybrid decorated porous organic polymer: Synergistic catalyst for high performance levulinic acid hydrogenation // ACS Sustain. Chem. Eng. 2017. V. 5. N 1. P. 1033–1045. https://doi.org/10.1021/acssuschemeng.6b02338
- Xue Z., Jiang J., Li G., Zhao W., Wang J., Mu T. Zirconium–cyanuric acid coordination polymer: Highly efficient catalyst for conversion of levulinic acid to γ-valerolactone // Catal. Sci. Technol. 2016. V. 6. N 14. P. 5374–5379. https://doi.org/10.1039/C5CY02215K
- Xiao Z., Zhou H., Hao J., Hong H., Song Y., He R., Zhi K., Liu Q. A novel and highly efficient Zr-containing catalyst based on humic acids for the conversion of biomass-derived ethyl levulinate into gamma-valerolactone // Fuel. 2017. V. 193. P. 322–330. https://doi.org/10.1016/j.fuel.2016.12.072
- Huang R., Liu H., Zhang J., Cheng Y., He L., Peng L. Tea polyphenol and HfCl4 Co-doped polyacrylonitrile nanofiber for highly efficient transformation of levulinic acid to γ-valerolactone // Renew. Energy. 2022. V. 200. P. 234–243. https://doi.org/10.1016/j.renene.2022.09.105
- García-Mateos F. J., Berenguer R., Valero-Romero M. J., Rodríguez-Mirasol J., Cordero T. Phosphorus functionalization for the rapid preparation of highly nanoporous submicron-diameter carbon fibers by electrospinning of lignin solutions // J. Mater. Chem. A. 2018. V. 6. N 3. P. 1219–1233. https://doi.org/10.1039/C7TA08788H
Supplementary files


















