Каталитическое гидросилилирование циклоолефинов в присутствии комплексов переходных металлов (обзор)
- Autores: Алентьев Д.А.1, Козлова М.А.1, Зайцев К.В.1
-
Afiliações:
- Институт нефтехимического синтеза им. А. В. Топчиева РАН
- Edição: Volume 97, Nº 7-8 (2024)
- Páginas: 504-531
- Seção: Articles
- URL: https://ogarev-online.ru/0044-4618/article/view/277721
- DOI: https://doi.org/10.31857/S0044461824070016
- EDN: https://elibrary.ru/IVXWLD
- ID: 277721
Citar
Texto integral
Resumo
В обзоре рассмотрены известные на данный момент в литературе реакции каталитического гидросилилирования циклоолефинов в присутствии катализаторов на основе комплексов переходных металлов, таких как платина, родий, кобальт, палладий, никель и др., а также особенности этих реакций: влияние природы циклоолефина и катализатора на реакционную способность, селективность образования различных продуктов и выход реакции. Обсуждается возможность стерео- и энантиоселективного синтеза кремнийуглеводородов с применением этих реакций, а также другие способы проведения гидросилилирования циклоолефинов (под действием кислот Льюиса, термическое и фотокаталитическое гидросилилирование). Показано, что наилучшая стерео- и энантиоселективность гидросилилирования циклоолефинов достигается в присутствии катализаторов на основе Pd с хиральными лигандами (P,N-лиганды на основе ферроцена, бинафтильные лиганды). Тем не менее гидросилилирование под действием комплексов переходных металлов по-прежнему остается недостаточно универсальным способом синтеза силанов с циклическими заместителями из неактивированных (не содержащих хлор) силанов, в отличие от радикального гидросилилирования.
Texto integral
Перечень сокращений и обозначений
acac — ацетилацетон;
Ad — адамантил;
Et — этил;
Hex — гексил;
Me — метил;
Piv — пивалоил (трет -бутилкарбонил);
Ph — фенил;
Vin — винил.
K1–K28 — катализаторы, используемые для гидросилилирования циклоолефинов:
K1 — PdCl2(PhCN)2 с дифенилментилфосфином;
K2 — PdCl2(PhCN)2 с дифенилнеоментилфосфином;
K3 — PdCl2(PhCN)2 с 1-ментил-2,2,3,3-тетраметил-4-бензилфосфациклобутаном;
K4 — PdCl2 с двумя эквивалентами 1-ментил-2,2,3,3-тетраметил-4-бензилфосфациклобутана;
K5–K14 — комплексы палладия с ферроценовым P,N-лигандом (табл. 3);
K15 — димер хлорида аллилпалладия(II) с (R)-2-(дефинилфосфино)-2′-метокси-1,1′-бинафтилом;
K16 — димер хлорида аллилпалладия(II) с (R)-2-(дефинилфосфино)-2′-трет-бутилдиметилсилокси-1,1′-бинафтилом;
K17 — димер хлорида аллилпалладия(II) с (S)-2-(дефинилфосфино)-2′-этил-1,1′-бинафтилом;
K18 — димер хлорида аллилпалладия(II) с (S)-2-(дефинилфосфино)-1,1′-бинафтилом;
K19 — димер хлорида аллилпалладия(II) с (R)-2-(дефинилфосфино)-2′-трет-бутилдиметилсилокси-1,1′-бифенантрилом;
K20 — PdCl2(MeCN)2 с 1-сульфамидо-2-дифенилфосфиноэтилбензолом;
K21 — PdCl2(MeCN)2 с 1-сульфамидо-2-дифениларсиноэтилбензолом;
K22 — PdCl2(PPh3)2 ;
K23 — катализатор Брукхарта;
K24 — катионный комплекс дифенилфторфосфина с N-гетероциклическим карбеновым лигандом и тетракис[пентафторфенил]боратом в качестве противоиона;
K25 — катионный комплекс фенилцинка(II) с N-гетероциклическим карбеновым лигандом и тетракис[пентафторфенил]боратом в качестве противоиона;
K26 — катионный комплекс висмута(III) с гидридотрис(3,5-диметилпиразолил)боратом и тетракис[пентафторфенил]боратом в качестве противоиона;
K27 — катионный комплекс пентаметилциклопентадиенилкремния с тетракис[пентафторфенил]боратом в качестве противоиона;
K28 — бис[2,4-ди(трет-бутил)пирокатехинил]фосфония тетракис[пентафторфенил]борат.
Гидросилилирование — реакция присоединения силана, содержащего связь Si—H, к ненасыщенному органическому соединению (олефину, аллену или ацетилену), приводящая к образованию кремнийуглеводорода. Эту реакцию можно проводить как в присутствии катализаторов на основе комплексов переходных металлов, так и под действием температуры, радикальных инициаторов или ультрафиолетового излучения (по радикальному механизму). На данный момент наиболее обширное использование в химии элементоорганических соединений и полимеров имеет реакция гидросилилирования α-олефинов под действием катализатора Карстедта — комплекса Pt(0) с дивинилтетраметилдисилоксаном [(VinSiMe2) 2 O] в качестве лиганда: Pt 2 [(VinSiMe2)2O]3 . Такие преимущества катализатора Карстедта и аналогичных ему катализаторов на основе платины, как высокая химическая стабильность, каталитическая активность и универсальность по отношению к различным субстратам, содержащим двойную связь, сделали эту реакцию мощным инструментом для синтеза как новых кремнийорганических соединений, так и кремнийсодержащих дендримеров и полимеров [1–5]. В частности, реакция гидросилилирования стала универсальным подходом к модификации полимеров, содержащих в боковых цепях связи Si—H или двойные связи, позволяющим получать широкий круг функциональных полимерных материалов различного назначения [6–8].
Перспективным направлением кремнийорганической химии является исследование реакций гидросилилирования циклоолефинов. С использованием этой реакции возможно получение циклических соединений, в том числе напряженных циклических мономеров, содержащих кремнийорганические заместители, в одну стадию, из доступных реагентов, без использования высокотоксичных хлорсиланов [9]. В случае если реакция гидросилилирования используется, например, для модификации полимеров, ее регио- и стереоселективность не имеет решающего значения, поэтому целесообразно использовать для нее универсальный катализатор (например, катализатор Карстедта). В случае же циклоолефинов ключевую роль играет регио- и стереоселективность этой реакции. Поэтому использование универсальных катализаторов, которые хотя и являются очень активными, но не являются стереоселективными, целесообразно не во всех случаях, и важным вопросом является влияние природы катализатора гидросилилирования циклоолефинов на его активность и селективность. Помимо катализатора Карстедта в литературе описано множество комплексов переходных металлов, таких как родий, палладий, молибден, железо, кобальт, никель, проявляющих каталитическую активность в реакции гидросилилирования олефинов.
Цель обзора — обобщить имеющиеся литературные данные по гидросилилированию циклоолефинов с использованием этих комплексов и проанализировать их особенности, такие как активность, регио- и стереоселективность, в зависимости от природы катализатора.
Поиск литературы был осуществлен в базах данных CAS SciFinder и Reaxys с использованием поиска реакций по структуре реагентов и продуктов (в качестве реагентов указывали циклоолефины с различным размером цикла — от 3 до 8 атомов углерода, в качестве продуктов — соответствующие кремнийзамещенные циклоалканы; использовали инструмент «substructure», позволяющий искать все соединения, содержащие указанный фрагмент в своей структуре), по литературным источникам 1960–2024 гг.
Гидросилилирование циклоолефинов на Pt-катализаторе
В литературе встречается несколько примеров гидросилилирования циклоолефинов на Pt-катализаторе. Например, при гидросилилировании циклопентадиена (1) трихлорсиланом в присутствии катализатора Спайера (H2PtCl6) (I) образуется сложная смесь изомеров, причем основным продуктом является моносилилированный [2+1]-димер (40%) — продукт присоединения трихлорсилана к дициклопентадиену (2) [10].
Авторами работы [11] была предложена реакция гидросилилирования норборнадиена-2,5 различными силанами на Pt-катализаторах (II) (табл. 1). Температурный режим реакции, природа силана и катализатора определяют состав смеси продуктов. В зависимости от условий реакции в данном случае могут образовываться экзо-изомер, эндо-изомер и замещенный нортрициклан. Максимальный выход, 80%, достигается в реакции с HSiMeCl2 при температуре 50–60°С, а минимальный выход, 25% — с HSiCl3 при температуре 35–50°С. При этом силаны, содержащие органические заместители, вступали в реакцию гидросилилирования только при высоких температурах, 170–200°С, в то время как с HSiCl3 реакция активно протекала при 50–60°С. Если сравнить результаты реакции гидросилилирования норборнадиена-2,5 гидросиланами и синтез аналогичных соединений, например, по реакции Дильса–Альдера, то в случае реакции Дильса–Альдера наблюдается образование смеси экзо- и эндо-изомеров, преимущественно содержащей наименее активный в полимеризации эндо-изомер, а нортрициклан не образуется вовсе [13].
Таблица 1. Гидросилилирование норборнадиена-2,5 различными силанами
Силан | Температура, °С | Катализатор | Выход, % | Распределение продуктов, % | Литературный источник | ||
(4) | (5) | (6) | |||||
HSiMeCl2 | 50–60 | H2PtCl6 | 80 | 6 | 64 | 30 | [11] |
HSiMeCl2 | 50–60 | Pt/C | 77 | 0 | 6 | 94 | [11] |
HSiCl3 | 35–50 | Pt/C | 25 | 0 | 0 | 100 | [11] |
HSiMe3 | 175–200 | H2PtCl6 | 45 | 23 | 56 | 21 | [11] |
HSiMe3 | 175–200 | Pt/C | 55 | 35 | 53 | 12 | [11] |
HSiMe2OSiMe3 | 25 | Pt2[(VinSiMe2)2O]3 | — | 55 | 37 | 8 | [12] |
HSiMe(OSiMe3)2 | 25 | Pt2[(VinSiMe2)2O]3 | — | 75 | 24 | 1 | [12] |
Примечание. Me — метил, Vin — винил; «—» — данные отсутствуют.
В работе [14] использовали H2PtCl6 и комплекс PtCl2 с норборнадиеном-2,5 (3) для гидросилирования ряда олефинов (норборнадиен-2,5, 5-винил-[2.2.1]-бицикло-гепт-2-ен, 4-винилциклогексен) под действием 1,4-бис(диметилсилил)бензола, приводящего к получению полимеров.
В последнее время особый интерес вызывает гидросилилирование олефинов силанами, не содержащими атомы хлора, поскольку оно позволяет в одну стадию получать кремнийуглеводороды из гидросиланов без использования хлорсиланов. Так, действие гидросилоксанов HSiMe2 OSiMe3 и HSiMe(OSiMe3)2 на норборнадиен-2,5 (3) в присутствии катализатора Карстедта, Pt2[(VinSiMe2)2O]3 (0.05 мол. %, 25°C, 48 ч), приводит к образованию смеси соответствующих силилированных экзо- и эндо-норборненов и нортрициклана [(4)–(6); (II)], при этом процесс является стереоселективным; экзо-изомер образуется преимущественно [12].
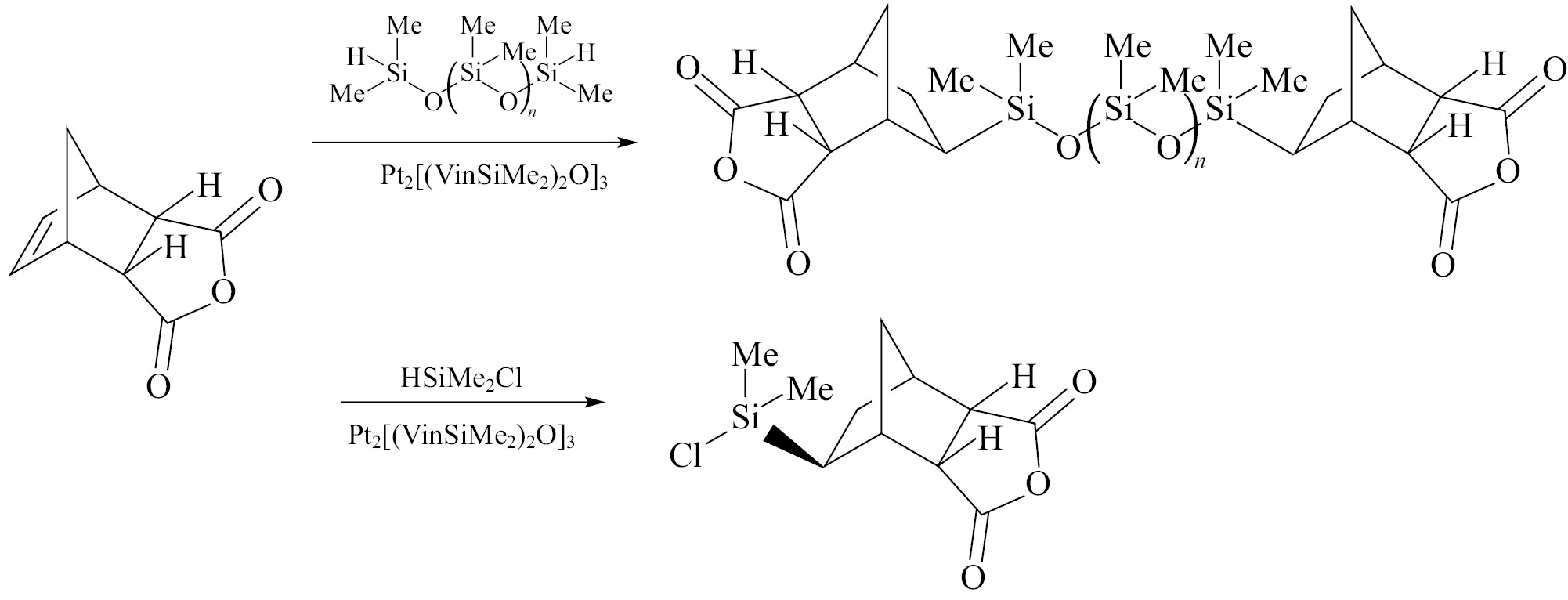
В работе [15] исследовали гидросилилирование ангидрида эндо-бицикло[2.2.1]гепт-5-ен-2,3-дикарбоновой кислоты под действием α,ω-бис(гидросилил)олигосилоксанов в присутствии катализатора Карстедта (III); полная конверсия достигается при повышенной температуре (100°С, толуол). Использование диметилхлорсилана HSiMe2Cl в этой реакции приводит к экзо-изомеру.
Гидросилилирование родственных эндо-, экзо- и транс-дизамещенных трициклических соединений (IV) (табл. 2) также приводит к селективному получению экзо-продуктов [16]. Установлено, что экзо-ангидрид реагирует быстрее, чем эндо-изомер; более того, эндо-N-фенилимид не вступает в реакцию в отличие от экзо-изомера. Такую реакционную способность авторы объясняют не столько стерическими причинами, сколько «эффектом поля» (смещением электронной плотности за счет частичного положительного заряда на соседних атомах углерода), обусловленного электроноакцепторными свойствами ангидридной и имидной функциональных групп. В качестве катализатора вместо катализатора Карстедта возможно применение PtCl4.
Таблица 2. Гидросилилирование замещенных бицикло[2.2.1]гепт-5-енов под действием силанов
Применение каталитической системы (карбоксилированный полиэтиленгликоль, HOOCCH=CHCOO×[CH2CH2O]n COCH=CHCOOH/H2PtCl6) при гидросилировании норборнена HSi(OMe)3 приводит селективно к образованию силилированного эндо-норборнана (соотношение эндо-: экзо-99.6:0.4) [17].
Гидросилилирование циклоолефинов на Co- и Rh-катализаторах
Комплексы металлов 9 группы также зачастую используют как катализаторы гидросилилирования циклоолефинов. Так, для осуществления гидросилилирования циклогексадиена-1,3 (16) и циклооктадиена-1,3 (17) моногидросиланами [HSi(OEt)3 и HSiEt3] был использован октакарбонилдикобальт [Сo2(CO)8] [18, 19] (V). Оба процесса проводили при 20°С в течение 12 ч. Выходы реакций составили 88 и 65%.
Гидросилилирование циклопентадиена (1) с участием HSi(OEt)3 или HSiMe2Cl в присутствии Co2(CO)8 [или Rh4(CO)12] протекает в мягких условиях, селективно и завершается за 1 ч [20] (VI). Соотношение компонентов реакции циклопетадиен/силан/Co2(CO)8 [или Rh4(CO)12] составляло 150:150:1.
В работе [21] описано гидросилилирование норборнена (15) моногидросилоксанами (пентаметилдисилоксаном и гептаметилтрисилоксаном) в присутствии каталитической системы Co(OPiv)2 (1 мол. %) и 1-адамантилизоцианид (CNAd) (3 мол. %) (VII).
Реакции приводили к образованию соответствующих Si-замещенных норборнанов в виде смеси экзо-/ эндо-изомеров в соотношении, близком к 9:1. Обе реакции протекали при нагревании 80°C. Реакция с пентаметилдисилоксаном протекала до количественной конверсии норборнена в течение 3 ч, а с более пространственно затрудненным гидросиланом — гептаметилтрисилоксаном — за 24 ч, что свидетельствует о влиянии объема гидросилана на активность: реакция с более стерически затрудненным гептаметилтрисилоксаном протекает медленнее. Выходы реакций близки к количественным: 91 и 93% соответственно.
Гидросилилирование норборнадиена-2,5 гидросилоксанами HSiMe2 OSiMe3 и HSiMe(OSiMe3)2 в присутствии (acac)Rh(CO)2 (0.05 мол. %, 25°C, 48 ч) приводит к смеси экзо- и эндо-норборненов и нортрициклана [(4)–(6); (II)], однако соотношение продуктов значительно меняется [применение катализатора на основе Rh дает образование 19–20% нортрициклана (6) по сравнению с платиновым катализатором, под действием которого образуется 1–8% нортрициклана] [12]. Преобладающим продуктом остается эндо-изомер силилированного норборнена (5).
В работе [22] установили, что норборнадиен-2,5 в присутствии (acac)Rh(CO)2 гидросилилируется фенилзамещенными гидросиланами HSiMe2Ph, HSiMePh2 , давая экзо- и эндо-силилзамещенные норборнены в соотношении 1:1, при этом доля соответствующих нортрицикланов не превышает 10%. Использование HSi(OSiMe3)3 в аналогичных условиях приводит в основном к гидросилилированному экзо-изомеру. Такая стереоселективность объясняется большим размером силилирующего реагента, препятствующим образованию более стерически напряженного эндо-изомера.
Таким образом, Co- и Rh-катализаторы активно используются в гидросилилировании циклоолефинов, соответствующие силилированные продукты получаются с высокими выходами. Селективность реакций гидросилилирования циклических диенов в заметной степени зависит от природы катализатора и условий проведения реакций.
Гидросилилирование циклоолефинов на Pd-катализаторах
Катализаторы на основе Pd в реакции гидросилилирования ненасыщенных углеводородов, в том числе и циклоолефинов, могут проявлять высокую как регио- и стерео-, так и энантиоселективность в этой реакции. Гидросилилирование циклоолефинов так же, как и гидросилилирование линейных моно- и 1,2-дизамещенных диенов, может сопровождаться образованием хирального центра, поэтому продукты этой реакции могут использоваться в качестве прекурсоров хиральных спиртов, которые впоследствии также можно использовать для асимметрического синтеза. Триметилсилильная группа может быть превращена в гидроксильную путем окисления в присутствии KF, при этом конфигурация хирального центра сохраняется [23, 24]. Кроме того, стереоселективное гидросилилирование напряженных циклических диенов (например, норборнадиена-2,5) может давать именно те стереоизомеры кремнийзамещенных олефинов, которые активны в полимеризации [12, 25, 26].
Первые работы по использованию Pd-катализаторов для гидросилилирования циклоолефинов были опубликованы в 70–80-х годах прошлого века [27–29]. Интересно отметить, что все эти работы были ориентированы на асимметрический синтез, и в них в качестве катализатора был использован комплекс Pd(II) с хиральным лигандом. В частности, было изучено гидросилилирование циклопентадиена и циклогексадиена-1,3 трихлорсиланом в присутствии Pd-катализаторов с хиральным ментильным или неоментильным заместителем [27] и гидросилилирование норборнена трихлорсиланом в присутствии катализатора на основе комплекса Pd(II) с производным ферроцена, содержащим фосфиновый и хиральный аминовый заместители [28]. В случае реакции с норборненом было показано, что продукт гидросилилирования является экзо-изомером, что свидетельствует о стереоспецифичности реакции. Кроме того, как в случае циклических диенов, так и в случае норборнена производные продуктов гидросилилирования имеют ненулевой угол оптического вращения, исходя из чего можно сделать вывод, что такая реакция гидросилилирования является также энантиоселективной. На данный момент известно большое число реакций катализируемого различными комплексами палладия (табл. 3) гидросилилирования трихлорсиланом, например, циклопентадиена, циклогексадиена-1,3 (VIII), а также бициклических олефинов и диенов: норборнена, норборнадиена-2,5, бицикло[2.2.2]октена-2 (IX) [27–36]. Трихлорсилан очень активен в этих реакциях, и они, как правило, протекают с высокими выходами, до 100% (табл. 3). Во всех случаях в качестве катализатора использован комплекс палладия с хиральным лигандом, и в большинстве случаев сообщается о том, что продукт реакции является оптически активным, и в нем преобладает определенный энантиомер. Выбор катализатора влияет на конфигурацию преобладающего энантиомера продукта: для одной и той же реакции, но в присутствии разных катализаторов может быть получен как (R)-, так и (S)-изомер (табл. 3) [32, 33].
Таблица 3. Условия, выходы и конфигурации асимметрических атомов углерода основных продуктов реакций гидросилилирования циклоолефинов трихлорсиланом
Наилучшую энантиоселективность проявили катализаторы с хиральными ферроценовыми лигандами, содержащие заместители с пиразольными фрагментами (K9–K14, табл. 3). Активность и селективность таких катализаторов имеет выраженную зависимость от объема заместителя при пиразольном фрагменте. Так, каталитическая система, содержащая лиганд с метильным заместителем (K9), активна при 70°C, и высокая конверсия достигается за 15 ч, однако энантиоселективность в этом случае оказывается низкой (энантиомерный избыток 10%). Катализаторы со стерически затрудненными 2,4,6-тризамещенными арильными заместителями (K12–K14) более активны и позволяют получать продукты с более высоким выходом, при этом процесс проводят при более низкой температуре (0°C) за то же время (15 ч). Эти катализаторы характеризуются также более высокой энантиоселективностью (энантиомерные избытки 82–91%). Кроме того, на энантиоселективность влияют акцепторные свойства заместителя при атоме фосфора, что подтверждается на примере лиганда, содержащего электроноакцепторные 3,5-бис(трифторметил)фенильные группы (K14). В этом случае энантиомерный избыток продукта превысил 99.5%, что является наибольшим значением, которое удавалось достичь в данной реакции.
В общем и целом такие P,N-лиганды являются подходящими соединениями для селективного гидросилилирования циклоолефинов трихлорсиланом в присутствии Pd-катализатора. Однако они не являются коммерчески доступными соединениями, и для применения их необходимо дополнительно синтезировать. Альтернативой являются катализаторы с хиральными бинафтильными P,O-лигандами (K15–K19, табл. 3). По сравнению с ферроценовыми лигандами такие лиганды являются более доступными соединениями (т. е. их синтез требует проведения меньшего числа стадий, либо они являются коммерчески доступными), что в совокупности с высокой энантиоселективностью реакций с их участием дает возможность их более широко применять в асимметрическом синтезе [35, 37]. Следует также отметить стереоспецифичность реакции гидросилилирования в присутствии Pd-катализаторов c участием этих лигандов: при их использовании в реакции с норборненом и норборнадиеном-2,5 образуются продукты, в которых заместитель ориентирован исключительно в экзо-положении [31, 35, 36]. Это может быть применено не только для синтеза хиральных спиртов, но также и для синтеза кремнийзамещенных мономеров норборненового ряда: экзо-изомер существенно более активен в аддитивной полимеризации, чем эндо-изомер, что позволяет синтезировать высокомолекулярные продукты с высокими выходами [36].
В литературе также описаны реакции гидросилилирования циклоолефинов в присутствии Pd-катализатора и с другими галогенсодержащими силанами, такими как HSiMe2Cl, HSiMeCl2, HSiPhCl2, HSiPhF2. В работе [38] было показано, что в гидросилилировании циклических диенов в присутствии Pd-катализаторов с хиральным P,N-лигандом (K20, K21) HSiMeCl2 не менее активен, чем HSiCl3, за исключением реакции с наиболее объемным 1-бутилциклогексадиеном-1,3 (табл. 4), однако HSiMe2Cl существенно менее активен: реакция с ним дает продукт с существенно меньшим выходом. При этом замена метильной группы в силане на фенильную способствует повышению активности. Энантиомерная чистота продукта также зависит от природы гидросилана: при реакции с HSiCl3 образуется рацемическая смесь, а при реакции с силанами, содержащими меньшее число атомов хлора, — преимущественно (S)-изомеры продуктов. Наибольший энантиомерный избыток (84%) был достигнут в случае наименее активного силана: HSiMe2Cl. Природа катализатора также оказывала влияние на энантиомерную чистоту продукта: при использовании более активного катализатора, содержащего арсиновый фрагмент, энантиомерный избыток продукта был ниже по сравнению с катализатором с фосфиновым фрагментом (табл. 4).
Таблица 4. Реакции гидросилилирования циклоолефинов галогенсодержащими гидросиланами (0°C, 40 ч) [38]
Примечание. Me – метил.
Гидросилилирование с HSiPhF2 описано в работах [33, 39]. В целом применение хиральных катализаторов в данном случае также ведет к оптически активному продукту. При этом в работе [39] было изучено влияние природы лиганда на энантиоселективность. Так же как и в случае с HSiCl3, ферроценсодержащие лиганды, аналогичные K5–K14 (табл. 3), проявили более высокую энантиоселективность, чем бинафтильные лиганды (K15–K19, табл. 3), что было показано на примере реакции с циклогексадиеном-1,3.
Еще одной характеристикой гидросилилирования циклоолефинов, определяющей возможность его применения для синтеза, является региоселективность. Авторы работы [40] показали, что гидросилилирование различных 1-винилциклоалкенов метилдихлорсиланом в присутствии Pd-катализатора [PdCl2(PPh3)2, K22] осуществляется региоселективно: в этом процессе атом кремния присоединяется преимущественно к эндоциклической двойной связи (X), а не к винильной группе. Двойная связь при этом в процессе реакции изомеризуется, в результате чего продукт содержит этилиденовый заместитель в отличие от реагента с винильным заместителем. Во всех случаях доля основного продукта превышала 90% (табл. 5). Кроме того, в случае субстратов с объемным трет -бутильным заместителем [(26), (X)] и мостиковым фрагментом [(27), (X)] реакция также протекала стереоселективно, с преимущественным образованием продукта, в котором эти структурные фрагменты ориентированы относительно кремнийсодержащего заместителя в противоположные стороны.
Таблица 5. Выходы и селективность реакций гидросилилирования 1-винилциклоалкенов метилдихлорсиланом в присутствии PdCl2(PPh3)2 (катализатор K22) при 80°С
* В качестве гидросилана был использован HSiCl3.
Стерео- и энантиоселективное гидросилилирование циклоолефинов неактивированными (не содержащими хлор) гидросиланами может значительно расширить возможности применения этой реакции и позволит использовать ее для синтеза кремнийорганических соединений непосредственно из силанов, минуя стадию алкилирования связи Si—Cl. В работе [41] такой процесс был успешно осуществлен с использованием циклических хиральных гидросиланов: реакция гидросилилирования этих силанов с норборненом протекает как стерео-, так и энантиоселективно (XI). В качестве катализатора в этой реакции был использован катализатор Брукхарта (K23) — катионный комплекс палладия со слабокоординирующим боратным противоионом. В результате реакции образовывались экзо- и эндо-изомеры продуктов в соотношении 99:1. Выходы продуктов гидросилилирования силанами (29) и (30) составили 20 и 58% соответственно. В обоих случаях наблюдается высокий энантиомерный избыток продукта (более 92%). Следует отметить, что силан (28) оказался малоактивным в реакции. Интересной особенностью данной реакции оказалось то, что при гидросилилировании норборнена силаном (30) энантиомерный избыток продукта (93%) превышал энантиомерный избыток реагента — силана (85%). Эта же особенность сохранялась при гидросилилировании и норборнадиена-2,5 по двум двойным связям (двойная асимметричная индукция),1 но отсутствовала при гидросилилировании 5,6-бензонорборнена (в этом случае как у реагента, так и у продукта энантиомерный избыток составляет 65%) [41].
Аналогично в работе [42] было изучено гидросилилирование 5,6-бензонорборнена хиральными циклическими гидросиланами с различным размером цикла, а также метил-трет-бутил-фенилсиланом (XII) в присутствии того же катализатора [K23, (XI)]. Выходы реакций составляли 70–95%, причем наибольшие — в случае силанов с шестичленными циклами. Во всех случаях реакций с энантиомерно чистыми гидросиланами [как в виде (R)-, так и в виде (S)-изомеров] наблюдалась высокая степень переноса хиральности от атома кремния к атому углерода. При этом реакции были более чем на 90% стереоселективны и характеризовались преимущественным образованием экзо-изомера. Аналогичным образом были изучены реакции гидросилилирования норборнадиена-2,5 этими же силанами по двум двойным связям. В этом случае также наблюдалась высокая степень переноса хиральности и присоединение силана только в положения 2 и 5 [(31), (XII)] при использовании реагентов в виде чистых энантиомеров. Образование продукта присоединения по положениям 2 и 6 [(32), (XII)] наблюдалось только в случае, когда исходный силан представлял собой рацемическую смесь.
В работах [43, 44] был предложен механизм этих реакций, включающий в себя две стадии. Первая стадия — присоединение комплекса со связью Pd—Si по двойной связи с образованием связей Pd—C и Si—C, вторая стадия — перенос атома Pd на новую молекулу гидросилана (с образованием нового комплекса со связью Pd—Si) и одновременный перенос атома водорода с гидросилана на промежуточный продукт со связью Pd—C. Было доказано, что ключевой стадией, определяющей перенос хиральности, является термодинамически контролируемое внедрение двойной связи по связи Pd—Si, а не взаимный перенос атомов Pd и водорода.
Как правило, силаны, содержащие ароматические заместители, такие как Ph3SiH, MePh2SiH, Me2PhSiH, в реакциях гидросилилирования при использовании Pd-катализаторов более реакционноспособны по сравнению с другими неактивированными силанами (не содержащими атомы галогенов) [45]. Триалкилсиланы и гидросилоксаны ранее не считались реакционноспособными в присутствии Pd-катализаторов. Тем не менее в недавних работах было успешно проведено гидросилилирование норборнадиена-2,5-пентаметилдисилоксаном (HSiMe2OSiMe3), гептаметилтрисилоксаном [(HSiMe(OSiMe3)2] и триэтилсиланом (HSiEt3) [12, 26]. Реакции осуществляли под действием катализатора на основе комплекса палладия с хиральным бинафтильным лигандом (K15, табл. 3) при нагревании до 75°C. В результате были получены продукты в виде смеси экзо-изомера моно-кремнийзамещенного норборнена [(4), (II)] и замещенного нортрициклана [(6), (II)]. То, что эндо-изомер при гидросилилировании не образуется, сделало эту реакцию перспективным одностадийным подходом к синтезу из доступных реагентов кремнийзамещенных норборненов, проявляющих высокую реакционную способность в полимеризации. В работе [12] было изучено влияние условий реакции и природы лигандов на кинетику гидросилилирования и их селективность. Был опробован широкий круг лигандов, таких как фосфины, ароматические азот- и кислородсодержащие соединения, хиральные бинафтильные лиганды. Однако оказалось, что лиганд K15 обеспечивает наилучшее сочетание скорости реакции гидросилилирования и селективности образования экзо-кремнийзамещенных норборненов.
Гидросилилирование циклоолефинов с использованием катализаторов на основе других переходных металлов
Известны примеры гидросилилирования циклоолефинов с использованием Ni-катализаторов. Например, в работе [46] циклогексадиен-1,3 гидросилилировали диметилхлорсиланом в присутствии ацетилацетоната никеля, активированного триэтилалюминием (XIII). Для применения этого катализатора не требуется высоких температур в отличие от палладиевых катализаторов, примененных в этой работе. Продукт был получен с выходом 72%.
Авторами [47] была разработана серия высокоэффективных и селективных катализаторов гидросилилирования олефинов неактивированными гидросиланами на основе никеля, один из которых был опробован в реакции гидросилилирования норборнена моно- и дигидросиланами (XIV). Этот катализатор оказался достаточно активным и экзо-стереоселективным. Реакция в его присутствии может быть проведена при комнатной температуре, а селективность образования экзо-изомера превышает 90%.
Еще один катализатор, эффективный для гидросилилирования циклоолефинов (XV) моно-, ди- и тригидросиланами, описан в работе [48]. Представлено много примеров использования его для получения различных силанов с циклопентильными заместителями. Все реакции протекают с высокими выходами (до 98%).
Авторами [49] было изучено гидросилилирование олефинов трифенилсиланами в присутствии рутений-силиленового комплекса рутения, по строению подобного металлокарбеновым комплексам, используемым в реакциях метатезиса олефинов (XVI). В частности, описаны реакции гидросилилирования циклогексена и 1-метилциклогексена с его участием. Реакции протекали стереоселективно и с высокими выходами (70–72%). В работе был предложен механизм гидросилилирования, включающий внедрение олефина в рутений-силиленовый комплекс по связи Si—H с образованием связи Si—C.
Гидросилилирование циклоолефинов под действием кислот Льюиса
Помимо гидросилилирования в присутствии комплексов переходных металлов также часто используется гидросилилирование, катализируемое кислотами Льюиса. В отличие от рассмотренных выше случаев такая реакция протекает по механизму электрофильного присоединения, причем в роли электрофила выступает атом кремния, а не атом H. Поэтому, если атомы углерода при двойной связи имеют разное число углеводородных заместителей, присоединение силана обычно осуществляется таким образом, что кремнийсодержащий заместитель оказывается на наименее замещенном атоме углерода. Такая ситуация часто встречается и в циклических олефинах. Например, гидросилилирование 1-метилциклогексена метилдихлорсиланом в присутствии AlCl3 приводит к образованию цис-1-метил-2-силилциклогексана (XVII) [50]. Такую стереохимию можно объяснить присоединением атома водорода к карбокатиону с наименее стерически затрудненной стороны.
Наличие атомов хлора в гидросилане не является необходимым условием его высокой реакционной способности в гидросилилировании, катализируемом кислотами Льюиса. Так, циклоолефины легко вступают в реакцию гидросилилирования триэтилсиланом (XVIII, табл. 6). Первоначально в качестве кислот Льюиса использовали AlCl3 и B(C6F5)3. Но за последние годы было предложено большое количество кислот Льюиса, некоторые из которых способны осуществлять эту реакцию при комнатной температуре менее чем за 1 ч с выходами, близкими к количественным (табл. 6). Наибольшую активность проявили предложенный в работе [51] катионный комплекс висмута (K26), комплекс цинка(II) с карбораном [52] и сильная кислота Льюиса на основе фосфониевой соли (K28) [53] (табл. 6).
Таблица 6. Условия реакции гидросилилирования циклоолефинов триэтилсиланом (XVIII) и выходы продукта реакции
Примечание. Hex — гексил, CB — карборан.
Один из способов гидросилилирования циклоолефинов — непрямое гидросилилирование. Этот процесс основан на использовании реакции циклоолефина с аддуктом гидросилана с бензолом — 3-силилгексадиеном-1,4, а не непосредственно с гидросиланом в присутствии кислоты Льюиса. Авторы работы [61] таким образом осуществили гидросилилирование серии циклоолефинов, что позволило им получить ряд циклоалканов, в том числе и SiMe3 -замещенных (XIX). В качестве кислоты Льюиса был использован B(C6F5)3 . Аддукт триалкилсилана с бензолом в свою очередь был получен по реакции соответствующего гидросилана с бензолом в присутствии той же кислоты Льюиса. В работе были оптимизированы условия реакции и найдено, что оптимальным растворителем является дихлорметан: выходы продуктов в этом случае достигали 95%. Разработанная методика гидросилилирования была использована для синтеза различных триметилсилилзамещенных цикло- и бициклоалканов, в том числе индана, метилиндана, циклооктана, норборнана. В случае норборнана с высокой селективностью (95%) образовывался экзо-изомер.
Фотокатализируемое и термическое гидросилилирование циклоолефинов
Реакция гидросилилирования олефинов также может протекать по радикальному механизму [7], в том числе в присутствии комплексов переходных металлов (чаще всего — карбонилов) [62]. При этом ключевой стадией является присоединение радикала SiR3, образующегося из гидросилана, по двойной связи. Такие процессы могут происходить под действием радикальных инициаторов, ультрафиолетового облучения либо при нагревании. Преимуществом радикального гидросилилирования перед каталитическим является возможность получать кремнийуглеводороды непосредственно из неактивированных гидросиланов (например, триэтилсилана). Однако, как правило, такие процессы не протекают стерео- и региоселективно. В литературе описано несколько примеров гидросилилирования циклоолефинов по радикальному механизму. Большая часть таких работ посвящена фото- и термически катализируемому гидросилилированию с использованием катализаторов переноса атома водорода. Так, в работе [63] нагревание циклооктена и норборнена с триэтилсиланом до 60°C в присутствии тиола в качестве катализатора переноса атома водорода дало продукты их гидросилилирования с относительно невысокими выходами (XX).
Также в качестве катализаторов переноса атома водорода можно использовать карбонилы металлов 6-й группы. Так, фотокатализируемое гидросилилирование циклогексадиена-1,3 в присутствии карбонила Cr(VI) приводит к образованию кремнийзамещенного циклогексена в виде смеси двух изомеров [64], а аналогичный процесс с участием норборнадиена-2,5 в присутствии карбонила Mo(VI) — к сложной смеси продуктов, содержащей как продукт моно-гидросилилирования, так и его гидрированный аналог, продукт ди-гидросилилирования и полимер, образующийся по метатезисной полимеризации с раскрытием цикла [65] (XXI).
Тем не менее и фотокатализируемое гидросилилирование циклоолефинов может быть региоселективным. В ряде недавних работ были изучены реакции гидросилилирования ненасыщенных циклических кетонов в присутствии фотокатализаторов переноса атома водорода (XXII). Так, авторы [66] использовали катализатор на основе комплекса вольфрама для гидросилилирования циклопентенона метилдифенилсиланом, в результате чего с выходом 40% был региоселективно получен 3-кремнийзамещенный циклопентан. В работе [67] изучали гидросилилирование цикопентенона, циклогексенона и циклогептенона триэтилсиланом в присутствии 1,3,4,5-тетракис[N-карбазолил]-2,6-дицианобензола — катализатора переноса атома водорода, не содержащего металлов. В результате также региоселективно были получены продукты присоединения кремния в положение 3 с выходами 33–74%. В работе [68] природный эозин использовали как фотокатализатор для гидросилилирования циклогексенона триэтилсиланом, и также региоселективно был получен продукт 3-присоединения с выходом 45%.
Авторы работы [69] показали, что в присутствии фотокатализатора можно проводить не только гидросилилирование, но и гидрогермилирование. В частности, в реакции циклопентенона с трифенилгерманом в присутствии п -толуолсульфониламида получен 3-трифенилгермилциклопентанон с выходом 91%.
Радикальное гидросилилирование циклоолефинов может также осуществляться без добавления катализаторов, путем непосредственного нагревания циклоолефина и гидросилана в инертной атмосфере. Так, авторы работы [70] показали, что при 250°С циклобутен, циклопентен, циклогексен, циклогептен и циклооктен могут реагировать с гидросиланами с образованием соответствующих силилциклоалканов (XXIII). При этом решающее влияние имеет размер цикла и природа гидросилана. Более напряженные циклооктен и циклопропен наиболее активны в этой реакции, а циклогексен — наименее активный; в то же время хлорсодержащие силаны более реакционноспособны по сравнению с триметилсиланом, причем чем больше число атомов хлора, тем больше реакционная способность. В ряде случаев (например, для реакции циклобутена с трихлорсиланом) конверсия циклоолефина, близкая к количественной, достигалась уже через 6 ч.
Заключение
Каталитическое гидросилилирование циклоолефинов в присутствии комплексов переходных металлов на основе Pt, Co, Rh, Pd, Ni и Ru — эффективный способ регио- и стереоселективного синтеза силанов с карбоциклическими заместителями. В зависимости от выбора катализатора можно получать продукты различной конфигурации. Наилучшая регио- и стереоселективность может быть достигнута с использованием катализаторов на основе палладия: в некоторых случаях гидросилилирование протекает стереоспецифично, с образованием изомера только одной конфигурации. Если использовать хиральные лиганды, возможно также синтезировать оптически активные силаны с высоким энантиомерным избытком, в ряде случаев даже превышающим энантиомерный избыток исходных реагентов. Наилучшую энантиоселективность обеспечивают ферроценовые P,N-лиганды. Более доступные бинафтильные лиганды также позволяют достичь высокой энантиоселекивности. В результате такие процессы можно использовать для асимметрического синтеза оптически активных органических соединений и стереоселективного синтеза мономеров для кремнийсодержащих полимеров. На данный момент недостаточно изучено каталитическое гидросилилирование циклоолефинов силанами, не содержащими атомов галогенов, и, несмотря на некоторые достижения в этом направлении, отсутствует универсальный подход к селективному синтезу кремнийзамещенных циклоалканов и циклоалкенов из триалкилсиланов. В ближайшем будущем можно ожидать развития этого направления, поскольку исключение хлорсиланов из синтеза является одной из главных тенденций современной кремнийорганической химии.
Финансирование работы
Работа выполнена в рамках госзадания ИНХС РАН (тема № 2).
Конфликт интересов
Авторы заявляют об отсутствии конфликта интересов, требующего раскрытия в данной статье.
1 Mewald M., Oestreich M. 1,2,3,4-Tetrahydro-1-(1,1-dimethylethyl)-1-silanaphthalene / Encyclopedia of Reagents for Organic Synthesis. 2012. https://doi.org/10.1002/047084289X.rn01479
Sobre autores
Дмитрий Алентьев
Институт нефтехимического синтеза им. А. В. Топчиева РАН
Autor responsável pela correspondência
Email: d.alentiev@ips.ac.ru
ORCID ID: 0000-0002-5010-6044
к.х.н.
Rússia, МоскваМарина Козлова
Институт нефтехимического синтеза им. А. В. Топчиева РАН
Email: d.alentiev@ips.ac.ru
ORCID ID: 0000-0002-3943-0177
к.х.н.
Rússia, МоскваКирилл Зайцев
Институт нефтехимического синтеза им. А. В. Топчиева РАН
Email: d.alentiev@ips.ac.ru
ORCID ID: 0000-0003-3106-8692
д.х.н.
Rússia, МоскваBibliografia
- Milenin S. A., Drozdov F. V., Selezneva E. V., Ardabevskaia S. N., Buzin M. I., Muzafarov A. M. Undecenoic acid-based polydimethylsiloxanes obtained by hydrosilylation and hydrothiolation reactions // J. Organomet. Chem. 2020. V. 907. ID 121074. h ttps://doi.org/10.1016/j.jorganchem.2019.121074
- Ryzhkov A. I., Drozdov F. V., Cherkaev G. V., Muzafarov A. M. Synthesis of carbosilane and carbosilane-siloxane dendrons based on limonene // Polymers. 2022. V. 14. ID 3279. h ttps://doi.org/10.3390/polym14163279
- Krizhanovskiy I., Temnikov M., Drozdov F., Peregudov A., Anisimov A. Sequential hydrothiolation–hydrosilylation: A route to the creation of new organosilicon compounds with preset structures // React. Chem. Eng. 2023. V. 8. P. 1005–1014. h ttps://doi.org/10.1039/D2RE00420H
- Tereshchenko A. A., Goncharova I. K., Zagrebaev A. D., Chapek S. V., Nechitailova I. O., Molodtsov D. Yu., Soldatov A. V., Beletskaya I. P., Arzumanyan A. V., Guda A. A. Heterophase Pt/EG-catalyzed hydrosilylation in droplet microfluidics: Spectral monitoring and efficient 3D-printed reactors // Chem. Eng. J. 2024. V. 498. ID 155016. h ttps://doi.org/10.1016/j.cej.2024.155016
- Platonov D. N., Kholodkov D. N., Goncharova I. K., Belaya M. A., Tkachev Ya. V., Dorovatovskii P. V., Volodin A. D., Korlyukov A. A., Tomilov Yu. V., Arzumanyan A. V., Novikov R.A. Ionic cyclopropenium-derived triplatinum cluster complex [(Ph3C3)2Pt3(MeCN) 4]2+(BF4–)2: Synthesis, structure, and perspectives for use as a catalyst for hydrosilylation reactions // Organometallics. 2021. V. 40. P. 3876–3885. h ttps://doi.org/10.1021/acs.organomet.1c00291
- Nakajima Y., Shimada S. Hydrosilylation reaction of olefins: Recent advances and perspectives // RSC Adv. 2015. V. 5. P. 20603–20616. h ttps://doi.org/10.1039/c4ra17281g
- Marciniec B. Hydrosilylation of unsaturated carbon–heteroatom bonds // Hydrosilylation / Ed. B. Marciniec. Springer, 2009. P. 289–339. h ttps://doi.org/10.1007/978-1-4020-8172-9_9
- Grushevenko Е. А., Sokolov S. Е., Kholodkov D. N., Arzumanyan А. V., Kuznetsov N. Yu., Nikul ʹ shin P. V., Bazhenov S. D., Volkov A. V., Borisov I. L., Maksimov A. L. Novel polyethylene glycol methyl ether substituted polysiloxane membrane materials with high CO2 permeability and selectivity // React. Funct. Polym. 2025. V. 206. ID 106102. h ttps://doi.org/10.1016/j.reactfunctpolym.2024.106102
- Темников М. Н., Крижановский И. Н., Анисимов А. А., Беденко С. П., Дементьев К. И., Крылова И. В., Миленин С. А., Максимов А. Л., Егоров М. П., Музафаров А. М. Прямой синтез алкоксисиланов: современное состояние, проблемы и перспективы // Успехи химии. 2023. Т. 92. № 7. ID RCR5081. https://doi.org/10.59761/rcr5081 [Temnikov M. N., Krizhanovskiy I. N., Anisimov A. A., Bedenko S. P., Dementiev K. I., Krylova I. V., Milenin S. A., Maksimov A. L., Egorov M. P., Muzafarov A. M. Direct synthesis of alkoxysilanes: Current state, challenges and prospects // Russ. Chem. Rev. 2023. V. 92. ID RCR5081. h ttps://doi.org/10.59761/rcr5081 ].
- Миронов В. Ф., Максимова Н. Г., Непомнина В. В. Синтез кремнийорганических соединений, содержащих циклопентильный, циклопентенильный и циклопентадиенильный радикалы // Изв. АH СССР. Сер. хим. 1967. № 2. С. 329–333.
- Kuivila H. G., Warner C. R. Trimethylsilyl-substituted norbornenes, norbornanes, and nortricyclene // J. Org. Chem. 1964. V. 29. P. 2845–2851. h ttps://doi.org/10.1021/jo01033a008
- Guseva M. A., Alentiev D. A., Bermesheva E. V., Zamilatskov I. A., Bermeshev M. V. The selective hydrosilylation of norbornadiene-2,5 by monohydrosiloxanes // RSC Adv. 2019. V. 9. P. 33029–33037. https://doi.org/10.1039/c9ra06784a
- Cunico R. F. The Diels-Alder reaction of α,β-unsaturated trihalosilanes with cyclopentadiene // J. Org. Chem. 1971. V. 36. P. 929–932. h ttps://doi.org/10.1021/jo00806a015
- Friedmann G., Shreim Y., Brossas J. Synthesis of organosilicon polymers-II. Norbornadiene/Pt II complex: Catalyst in step-polymerization // Eur. Polym. J. 1992. V. 28. P. 271–273. h ttps://doi.org/10.1016/0014-3057(92)90188-8
- Andre S., Guida-Pietrasanta F., Rousseau A., Boutevin B., Caporiccio G. Synthesis and thermal properties of telechelic α,ω-bis anhydride oligosiloxanes // Polymer. 2001. V. 42. P. 5505–5513. h ttps://doi.org/10.1016/S0032-3861(01)00040-4
- Eddy V. J., Hallgren J. E. Effects of proximate polar groups on the rates of hydrosilylation // J. Org. Chem. 1987. V. 52. P. 1903–1906. h ttps://doi.org/10.1021/jo00386a003
- Bai Y., Peng J., Li J., Lai G. Use of carboxylated polyethylene glycol as promoter for platinum-catalyzed hydrosilylation of alkenes // Appl. Organomet. Chem. 2011. V. 25. P. 400–405. h ttps://doi.org/10.1002/aoc.1776
- Cornish A. J., Lappert M. F., Terence A. N. Homogeneous catalysis: IV. Hydrosilylation of cyclic or linear dienes using low-valent nickel complexes and related experiments // J. Organomet. Chem. 1977. V. 132. P. 133–148. h ttps://doi.org/10.1016/S0022-328X(00)92521-X
- Cornish A. J., Lappert M. F., Macquitty J. J., Maskell R. K. Homogeneous catalysis: VII. The catalysis of isoprene hydrosilylation using metal atoms // J. Organomet. Chem. 1979. V. 177. P. 153–161. h ttps://doi.org/10.1016/S0022-328X(00)92340-4
- Magomedov G. K. I., Andrianov K. A., Shkolnik O. V., Izmailov B. A., Kalinin V. N. Hydrosilylation of olefins in the presence of metal carbonyls // J. Organomet. Chem. 1978. V. 149. P. 29–36. h ttps://doi.org/10.1016/S0022-328X(00)90374-7
- Noda D., Tahara A., Sunada Y., Nagashima H. Non-precious-metal catalytic systems involving iron or cobalt carboxylates and alkyl isocyanides for hydrosilylation of alkenes with hydrosiloxanes // J. Am. Chem. Soc. 2016. V. 138. P. 2480–2483. h ttps://doi.org/10.1021/jacs.5b11311
- Гусева М. А., Лежнин П. П., Алентьев Д. А., Зайцев К. В., Бермешев М. В. Одностадийный синтез монокремнийзамещенных норборненов с силоксановыми и арильными фрагментами и их полимеризация // Высокомолекуляр. соединения. Сер. С. 2023. Т. 65. № 2. С.210–219. h ttps://doi.org/10.31857/S230811472370036X [Guseva M. A., Lezhnin P. P., Alentiev D. A., Zaitsev K. V., Bermeshev M. V. One-step synthesis of monosilicon-substituted norbornenes with siloxane and aryl fragments and their polymerization // Polym. Sci. Ser. C. 2023. V. 65. P. 196–205. h ttps://doi.org/10.1134/S1811238223700248 ].
- Tietze L. F., Ila H., Bell H. P. Enantioselective palladium-catalyzed transformations // Chem. Rev. 2004. V. 104. P. 3453–3516. h ttps://doi.org/10.1021/cr030700x
- Matsuoka K., Komami N., Kojima M., Mita T., Suzuki K., Maeda S., Yoshino T., Matsunaga S. Chemoselective cleavage of Si–C(sp3) bonds in unactivated tetraalkylsilanes using iodine tris(trifluoroacetate) // J. Am. Chem. Soc. 2021. V. 143. P. 103–108. https://doi.org/10.1021/jacs.0c11645
- Гусева М. А., Алентьев Д. А., Гарилов Д. И., Бермешева Е. В., Чапала П. П., Финкельштейн Е. Ш., Бермешев М. В. Стереоселективный синтез и метатезисная полимеризация экзо-5-(пентаметилдисилоксанил)норборнена // Высокомолекуляр. соединения. Сер. С. 2019. Т. 61. № 1. С. 77–82. https://doi.org/10.1134/S2308114719010084 [Guseva M. A., Alentiev D. A., Gavrilov D. I., Bermesheva E. V., Chapala P. P., Finkelshtein E. Sh., Bermeshev M. V. Stereoselective synthesis and metathesis polymerization of exo-5-(pentamethyldisiloxanyl) norbornene // Polym. Sci. Ser. C. 2019. V. 61. P. 102–106. h ttps://doi.org/10.1134/S1811238219010089 ].
- Guseva M. A., Alentiev D. A., Bakhtin D. S., Borisov I. L., Borisov R. S., Volkov A. V., Finkelshtein E. Sh., Bermeshev M. V. Polymers based on exo-silicon-substituted norbornenes for membrane gas separation // J. Membr. Sci. 2021. V. 638. ID 119656. https://doi.org/10.1016/j.memsci.2021.119656
- Kiso Y., Yamamoto K., Tamao K., Kumada M. Asymmetric homogeneous hydrosilylation with chiral phosphine-palladium complexes // J. Am. Chem. Soc. 1972. V. 94. P. 4373–4374. h ttps://doi.org/10.1021/ja00767a074
- Hayashi T., Tamao K., Katsuro Y., Nakae I., Kumada M. Asymmetric hydrosilylation of olefins catalyzed by a chiral ferrocenylphosphine-palladium complex. Asymmetric synthesis of optically active alcohols and bromides from olefins // Tetrahedron Lett. 1980. V. 21. P. 1871–1874. h ttps://doi.org/10.1016/S0040-4039(00)92802-8
- Hayashi T., Kumada M. Asymmetric synthesis catalyzed by transition-metal complexes with functionalized chiral ferrocenylphosphine ligands // Acc. Chem. Res. 1982. V. 15. N 12. P. 395–401. h ttps://doi.org/10.1021/ar00084a003
- Hayashi T., Matsumoto Y., Morikawa I., Ito Y. Catalytic asymmetric hydrosilylation of 1,3-dienes with new chiral ferrocenylphosphine-palladium complexes // Tetrahedron: Asymmetry. 1990. V. 1. P. 151–154. https://doi.org/10.1016/S0957-4166(00)82367-8
- Hayashi T., Uozumi Y. Catalytic asymmetric synthesis of optically active alcohols via hydrosilylation of olefins by a chiral monophosphine-palladium catalyst // Pure Appl. Chem. 1992. V. 64. P. 1911–1916. https://doi.org/10.1351/pac199264121911
- Marinetti A. An investigation into a palladium catalyzed hydrosilylation of olefins // Tetrahedron Lett. 1994. V. 35. P. 5861–5864. h ttps://doi.org/10.1016/S0040-4039(00)78203-7
- Kitayama K., Tsuji H., Uozumi Y., Hayashi T. Asymmetric hydrosilylation of cyclic 1,3-dienes catalyzed by an axially chiral monophosphine-palladium complex // Tetrahedron Lett. 1996. V. 37. P. 4169–4172. h ttps://doi.org/10.1016/0040-4039(96)00786-1
- Pioda G., Togni A. Highly enantioselective palladium-catalyzed hydrosilylation of norbornene with trichlorosilane using ferrocenyl ligands // Tetrahedron: Asymmetry. 1998. V. 9. P. 3903–3910. h ttps://doi.org/10.1016/S0957-4166(98)00409-1
- Hayashi T. Chiral monodentate phosphine ligand MOP for asymmetric reactions // Acc. Chem. Res. 2000. V. 33. P. 354–362. https://doi.org/10.1021/ar990080f
- Alentiev D. A., Bermeshev M. V., Starannikova L. E., Bermesheva E. V., Shantarovich V. P., Bekeshev V. G., Yampolskii Yu. P., Finkelshtein E. Sh. Stereoselective synthesis and polymerization of exo -5-trimethylsilylnorbornene // J. Polym. Sci. Part A: Polym. Chem. 2018. V. 56. P. 1234–1248. h ttps://doi.org/10.1002/pola.29003
- Hayashi T., Hirate S., Kitayama K., Tsuji H., Torii A., Uozumi Y. Modification of chiral monodentate phosphine (MOP) ligands for palladium-catalyzed asymmetric hydrosilylation of styrenes // Chem. Lett. 2000. P. 1272–1273. h ttps://doi.org/10.1246/cl.2000.1272
- Gustafsson M., Bergqvist KE., Frejd T. Coordination of (β-N-sulfonylaminoalkyl)phosphines and their analogous arsines to PdII and PtII. Application of the Pd-complexes as chiral catalysts in asymmetric hydrosilylation of 1,3-dienes // J. Chem. Soc., Perkin Trans. 1. 2001. P. 1452–1457. h ttps://doi.org/10.1039/b101464l
- Ohmura H., Matsuhashi H., Tanaka M., Kuroboshi M., Hiyama T., Hatanaka Y., Goda K. Catalytic asymmetric hydrosilylation of 1,3-dienes with difluoro(phenyl)silane // J. Organomet. Chem. 1995. V. 499. P. 167–171. https://doi.org/10.1016/0022-328X(95)00311-D
- Hayashi T., Hengrasmee S., Matsumoto Y. Selective synthesis of (Z)-1-ethylidene-2-silylcycloalkanes by palladium-catalyzed hydrosilylation of 1-vinylcycloalkenes // Chem. Lett. 1990. V. 19. P. 1377–1380. https://doi.org/10.1246/cl.1990.1377
- Oestreich M., Rendler S. «True» chirality transfer from silicon to carbon: Asymmetric amplification in a reagent-controlled palladium-catalyzed hydrosilylation // Angew. Chem. Int. Ed. 2005. V. 44. P. 1661–1664. h ttps://doi.org/10.1002/anie.200462355
- Rendler S., Fröhlich R., Keller M., Oestreich M. Enantio- and diastereotopos differentiation in the palladium(II)-catalyzed hydrosilylation of bicyclo[2.2.1]alkene scaffolds with silicon-stereogenic silanes // Eur. J. Org. Chem. 2008. V. 2008. P. 2582–2591. https://doi.org/10.1002/ejoc.200800107
- Rendler S., Oestreich M., Butts C. P., Lloyd-Jones G. C. Intermolecular chirality transfer from silicon to carbon: Interrogation of the two-silicon cycle for Pd-catalyzed hydrosilylation by stereoisotopochemical crossover // J. Am. Chem. Soc. 2007. V. 129. P. 502–503. https://doi.org/10.1021/ja067780h
- Rendler S., Oestreich M. Conformational rigidity of silicon-stereogenic silanes in asymmetric catalysis: A comparative study // Beilstein J. Org. Chem. 2007. V. 3. N 9. https://doi.org/10.1186/1860-5397-3-9
- Zaranek M., Pawluc P. Markovnikov hydrosilylation of alkenes: How an oddity becomes the goal // ACS Catal. 2018. V. 8. P. 9865–9876. h ttps://doi.org/10.1021/acscatal.8b03104
- Bismara C., Di Fabio R., Donati D., Rossi T., Thomas R. J. The synthesis of a key intermediate of tricyclic beta-lactam antibiotics // Tetrahedron Lett. 1995. V. 36. P. 4283–4286. h ttps://doi.org/10.1016/0040-4039(95)00740-4
- Srinivas V., Nakajima Y., Ando W., Sato K., Shimada S. (Salicylaldiminato)Ni( II )-catalysts for hydrosilylation of olefins // Catal. Sci. Technol. 2015. V. 5. P. 2081–2084. https://doi.org/10.1039/c5cy00270b
- Pat. WO 2013/120057A1 (publ. 2013). First row metal-based catalysts for hydrosilylation.
- Glaser P. B., Tilley T. D. Catalytic hydrosilylation of alkenes by a ruthenium silylene complex. Evidence for a new hydrosilylation mechanism // J. Am. Chem. Soc. 2003. V. 125. P. 13640–13641. h ttps://doi.org/10.1021/ja037620v
- Yamamoto K., Takemae M. Stereochemistry of aluminum chloride catalyzed hydrosilylation of methylcyclohexenes // Synlett. 1990. V. 5. P. 259–260. h ttps://doi.org/10.1055/s-1990-21055
- Balasubramaniam S., Kumar S., Andrews A. P., Varghese B., Jemmis E. D., Venugopal A. A dicationic bismuth(III) Lewis acid: Catalytic hydrosilylation of olefins // Eur. J. Inorg. Chem. 2019. V. 2019. P. 3265–3269. https://doi.org/10.1002/ejic.201900459
- Adet N., Specklin D., Gourlaouen C., Damiens T., Jacques B., Wehmschulte R.J., Dagorne S. Towards naked zinc(II) in the condensed phase: A highly Lewis acidic Zn II dication stabilized by weakly coordinating carborate anions // Angew. Chem. Int. Ed. 2021. V. 60. P. 2084–2088. https://doi.org/10.1002/anie.202012287
- Roth D., Stirn J., Stephan D. W., Greb L. Lewis superacidic catecholato phosphonium ions: Phosphorus-ligand cooperative C-H bond activation // J. Am. Chem. Soc. 2021. V. 143. P. 15845–15851. h ttps://doi.org/10.1021/jacs.1c07905
- Song Y. S., Yoo B. R., Lee G. H., Jung I. N. Lewis acid-catalyzed regio- and stereoselective hydrosilylation of alkenes with trialkylsilanes // Organometallics. 1999. V. 18. P. 3109–3115. h ttps://doi.org/10.1021/om990220p
- Rubin M., Schwier T., Gevorgyan V. Highly efficient B(C6F5)3 -catalyzed hydrosilylation of olefins // J. Org. Chem. 2002. V. 67. P. 1936–1940. h ttps://doi.org/10.1021/jo016279z
- Pérez M., Hounjet L. J., Caputo C. B., Dobrovetsky R., Stephan D. W. Olefin isomerization and hydrosilylation catalysis by Lewis acidic organofluorophosphonium salts // J. Am. Chem. Soc. 2013. V. 135. P. 18308–18310. https://doi.org/10.1021/ja410379x
- Holthausen M. H., Mehta M., Stephan D. W. The highly Lewis acidic dicationic phosphonium salt: [(SIMes)PFPh 2][B(C 6 F 5 ) 4] 2 // Angew. Chem. Int. Ed. 2014. V. 53. P. 6538–6541. h ttps://doi.org/10.1002/anie.201403693
- Specklin D., Hild F., Fliedel C., Gourlaouen C., Veiros L. F., Dagorne S. Accessing two-coordinate ZnII organocations by NHC coordination: Synthesis, structure, and use as π-Lewis acids in alkene, alkyne, and CO 2 hydrosilylation // Chemistry — A Eur. J. 2017. V. 23. P. 15908–15912. h ttps://doi.org/10.1002/chem.201704382
- Fritz-Langhals E. Silicon(II) cation Cp*Si: +X– : A new class of efficient catalysts in organosilicon chemistry // Org. Process Res. Dev. 2019. V. 23. P. 2369–2377. h ttps://doi.org/10.1021/acs.oprd.9b00260
- Grochowska-Tatarczak M., Koteras K., Kazimierczuk K., Malinowski P. J. Hydrosilylation of olefins activated on highly Lewis-acidic calcium cation // Chemistry — A Eur. J. 2024. V. 30. N 45. https://doi.org/10.1002/chem.202401322
- Simonneau A., Oestreich M. 3-Silylated cyclohexa-1,4-dienes as precursors for gaseous hydrosilanes: The B(C 6 F 5 ) 3 -catalyzed transfer hydrosilylation of alkenes // Angew. Chem. Int. Ed. 2013. V. 52. P. 11905–11907. h ttps://doi.org/10.1002/anie.201305584
- Goncharova I. K., Filatov S. A., Drozdov A. P., Tereshchenko A. A., Knyazev P. A., Guda A. A., Beletskaya I. P., Arzumanyan A. V. White-light initiated Mn 2 (CO) 10 /HFIP-catalyzed anti-Markovnikov hydrosilylation of alkenes // J. Catal. 2024. V. 429. P. 115269. h ttps://doi.org/10.1016/j.jcat.2023.115269
- Dang H. S., Roberts B. P. Polarity-reversal catalysis by thiols of radical-chain hydrosilylation of alkenes // Tetrahedron Lett. 1995. V. 36. P. 2875–2878. h ttps://doi.org/10.1016/0040-4039(95)00372-J
- Abdelqader W., Chmielewski D., Grevels F. W., Özkar S., Peynircioglu N. B. Photocatalytic hydrosilylation of conjugated dienes with triethylsilane in the presence of Cr(CO) 6 // Organometallics. 1996. V. 15. P. 604–614. h ttps://doi.org/10.1021/om950369a
- Stosur M., Szymańska-Buzar T. Facile hydrosilylation of norbornadiene by silanes R 3 SiH and R 2 SiH 2 with molybdenum catalysts // J. Mol. Catal. A: Chemical. 2008. V. 286. P. 98–105. h ttps://doi.org/10.1016/j.molcata.2008.02.005
- Qrareya H., Dondi D., Ravelli D., Fagnoni M. Decatungstate-photocatalyzed Si–H/C–H activation in silyl hydrides: Hydrosilylation of electron-poor alkenes // ChemCatChem. 2015. V. 7. N 20. P. 3350–3357. https://doi.org/10.1002/cctc.201500562
- Zhou R., Goh Y. Y., Liu H., Tao H., Li L., Wu J. Visible-light-mediated metal-free hydrosilylation of alkenes through selective hydrogen atom transfer for Si−H activation // Angew. Chem. Int. Ed. 2017. V. 56. P. 16621–16625. h ttps://doi.org/10.1002/anie.201711250
- Fan X., Zhang M., Gao Y., Zhou Q., Zhang Y., Yu J., Xu W., Yan J., Liu H., Lei Z., Ter Y. C., Chanmungkalakul S., Lum Y., Liu X., Cui G., Wu J. Stepwise on-demand functionalization of multihydrosilanes enabled by a hydrogen-atom-transfer photocatalyst based on eosin Y // Nat. Chem. 2023. V. 15. P. 666–676. h ttps://doi.org/10.1038/s41557-023-01155-8
- Ram Bajya K., Kumar M., Ansari A., Selvakumar S. Sulfonamide as photoinduced hydrogen atom transfer catalyst for organophotoredox hydrosilylation and hydrogermylation of activated alkenes // Adv. Synth. Catal. 2023. V. 365. P. 976–982. h ttps://doi.org/10.1002/adsc.202300040
- Jung D. E., Han J. S., Yoo B. R. Thermal hydrosilylation of olefin with hydrosilane. Preparative and mechanistic aspects // J. Organomet. Chem. 2011. V. 696. P. 3687–3692. h ttps://doi.org/10.1016/j.jorganchem.2011.08.019
Arquivos suplementares





























